当前位置:首页>文档>3.2频率的稳定性(培优)(含答案)_北师大初中数学_7下-北师大版初中数学_7下-初中数学北师大版(2025春季新版)持续更新_6.习题试卷_同步练习_第1套(齐全)

3.2频率的稳定性(培优)(含答案)_北师大初中数学_7下-北师大版初中数学_7下-初中数学北师大版(2025春季新版)持续更新_6.习题试卷_同步练习_第1套(齐全)

  • 2026-04-12 06:07:27 2026-04-12 05:58:39

文档预览

3.2频率的稳定性(培优)(含答案)_北师大初中数学_7下-北师大版初中数学_7下-初中数学北师大版(2025春季新版)持续更新_6.习题试卷_同步练习_第1套(齐全)
3.2频率的稳定性(培优)(含答案)_北师大初中数学_7下-北师大版初中数学_7下-初中数学北师大版(2025春季新版)持续更新_6.习题试卷_同步练习_第1套(齐全)
3.2频率的稳定性(培优)(含答案)_北师大初中数学_7下-北师大版初中数学_7下-初中数学北师大版(2025春季新版)持续更新_6.习题试卷_同步练习_第1套(齐全)
3.2频率的稳定性(培优)(含答案)_北师大初中数学_7下-北师大版初中数学_7下-初中数学北师大版(2025春季新版)持续更新_6.习题试卷_同步练习_第1套(齐全)
3.2频率的稳定性(培优)(含答案)_北师大初中数学_7下-北师大版初中数学_7下-初中数学北师大版(2025春季新版)持续更新_6.习题试卷_同步练习_第1套(齐全)
3.2频率的稳定性(培优)(含答案)_北师大初中数学_7下-北师大版初中数学_7下-初中数学北师大版(2025春季新版)持续更新_6.习题试卷_同步练习_第1套(齐全)
3.2频率的稳定性(培优)(含答案)_北师大初中数学_7下-北师大版初中数学_7下-初中数学北师大版(2025春季新版)持续更新_6.习题试卷_同步练习_第1套(齐全)

文档信息

文档格式
docx
文档大小
0.145 MB
文档页数
7 页
上传时间
2026-04-12 05:58:39

文档内容

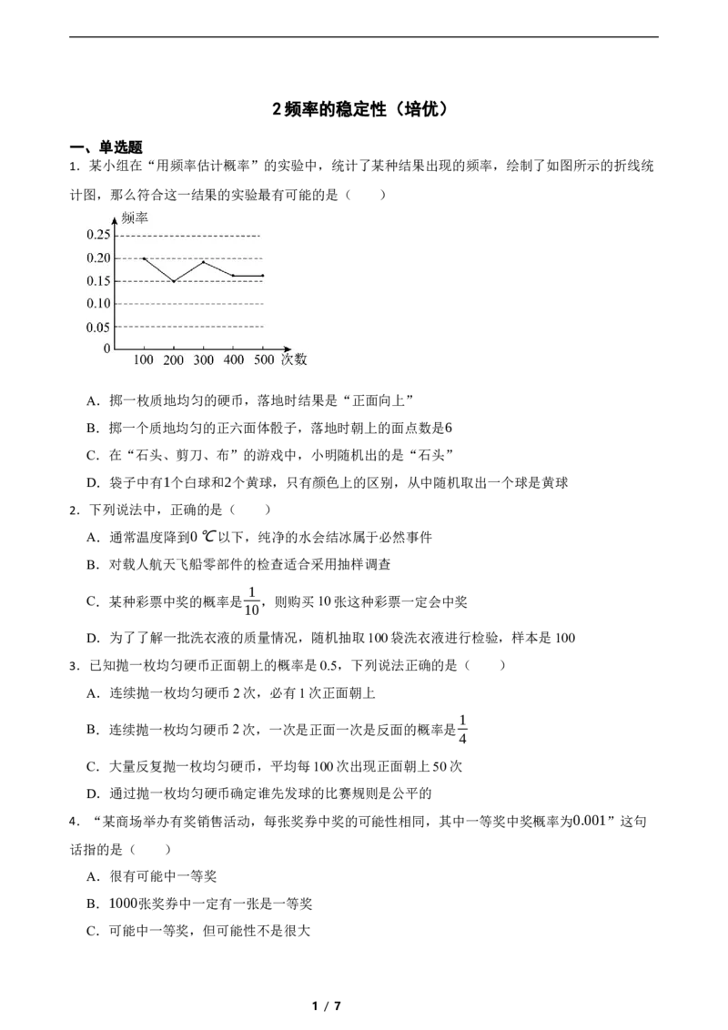
2频率的稳定性(培优) 一、单选题 1.某小组在“用频率估计概率”的实验中,统计了某种结果出现的频率,绘制了如图所示的折线统 计图,那么符合这一结果的实验最有可能的是( ) A.掷一枚质地均匀的硬币,落地时结果是“正面向上” B.掷一个质地均匀的正六面体骰子,落地时朝上的面点数是6 C.在“石头、剪刀、布”的游戏中,小明随机出的是“石头” D.袋子中有1个白球和2个黄球,只有颜色上的区别,从中随机取出一个球是黄球 2.下列说法中,正确的是( ) A.通常温度降到0℃以下,纯净的水会结冰属于必然事件 B.对载人航天飞船零部件的检查适合采用抽样调查 1 C.某种彩票中奖的概率是 ,则购买10张这种彩票一定会中奖 10 D.为了了解一批洗衣液的质量情况,随机抽取100袋洗衣液进行检验,样本是100 3.已知抛一枚均匀硬币正面朝上的概率是0.5,下列说法正确的是( ) A.连续抛一枚均匀硬币2次,必有1次正面朝上 1 B.连续抛一枚均匀硬币2次,一次是正面一次是反面的概率是 4 C.大量反复抛一枚均匀硬币,平均每100次出现正面朝上50次 D.通过抛一枚均匀硬币确定谁先发球的比赛规则是公平的 4.“某商场举办有奖销售活动,每张奖券中奖的可能性相同,其中一等奖中奖概率为0.001”这句 话指的是( ) A.很有可能中一等奖 B.1000张奖券中一定有一张是一等奖 C.可能中一等奖,但可能性不是很大 1 / 7D.1000个顾客中一定有一人中一等奖 5.下列四种说法;①为了了解某批灯泡的使用寿命可以用普查的方式;②“在同一年出生的367名 学生中,至少有两人的生日是同一天”是必然事件;③“打开电视机,正在播放少儿节目”是随机 事件;④如果一个事件发生的概率只有十亿分之一,那么它是不可能事件.其中,正确的说法是( ) A.②④ B.①② C.③④ D.②③ 二、判断题 6.盒子中有3个红球和2个白球,球除颜色外完全相同,从中任意摸出一个球,摸红球的可能性大. 三、填空题 7.某林业局将一种树苗移植成活的情况绘制成如统计图,由此可估计这种树苗移植成活的概率约是 .(结果精确到0.1) 8.某批青稞种子在相同条件下发芽试验结果如下表: 每次试验粒数 50 100 300 400 600 1000 发芽频数 47 96 284 380 571 950 估计这批青稞发芽的概率是 ..(结果保留到0.01) 9.在不透明的箱子里,装有若干个除颜色外完全相同的红球和白球,其中白球的个数为12个.为 了估计红球的个数,将箱子里面的球搅匀后,随机从中摸出一个球并记下颜色.然后把它放回箱子 中,重复上述摸球过程100次,其中摸到红球的次数为40次,由此可以估计箱子里红球的个数约是 个. 10.在一个不透明的口袋中装有红球和白球共12个,这些球除颜色外都相同,将口袋中的球搅匀后, 从中随机摸出1个球,记下它的颜色后再放回口袋中,不断重复这一过程,共摸球200次,发现有50 次摸到红球,则口袋中红球约有 个. 11.在做“抛掷一枚质地均匀的硬币”试验时,下列说法正确的是 . ①不同次数的试验,正面向上的频率可能会不相同 n ②当抛掷的次数 n 很大时,正面向上的次数一定为 2 ③多次重复试验中,正面向上发生的频率会在某个常数附近摆动,并趋于稳定 2 / 71 ④连续抛掷 5 次硬币都是正面向上,第 6 次抛掷出现正面向上的概率小于 2 12.如图,为测量平地上一块不规则区域(图中的阴影部分)的面积,画一个边长为3m的正方形, 使不规则区域落在正方形内,现向正方形内随机投掷小石子(假设小石子落在正方形内每一点都是 等可能的),经过大量重复投掷试验,发现小石子落在不规则区域的频率稳定在常数0.25附近,由 此可估计不规则区域的面积是m2. 四、计算题 13.自18世纪以来一些统计学家做“抛掷质地均匀的硬币实验”获得的数据如下表 m 实验者 实验次数n 正面朝上的频数m 正面朝上的频率 n 布丰 4040 2048 0.5069 德·摩根 4092 2048 0.5005 费勒 10000 4979 a 皮尔逊 12000 6019 0.5016 皮尔逊 24000 12012 b 罗曼诺夫斯基 80640 39699 0.4923 (1)表中的a=______,b=______; (2)估计硬币正面朝上的概率.(精确到0.1) 14.某校生物兴趣小组在相同的试验条件下,对某植物种子发芽率进行试验研究时,收集的试验结 果如表所示: 试验的种子粒数(n) 500 1000 1500 2000 3000 4000 发芽的种子粒数(m) 471 946 1425 1898 2853 3812 发芽频率 0.942 0.946 0.950 0.949 x 0.953 (1)求表中x的值; (2)任取一粒这种植物的种子,请你估计它能发芽的概率(精确到0.01); (3)若该学校劳动基地需要这种植物幼苗7600株,试估算该小组至少需要准备多少粒种子进行 发芽培育. 五、解答题 15.在一只不透明的口袋里,装有若干个除了颜色外均相同的小球,某数学学习小组做摸球试验, 3 / 7将球搅匀后从中随机摸出一个球记下颜色,再把它放回袋中,不断重复.下表是活动进行中的一组 统计数据: 摸球的次数n 100 150 200 500 800 1000 摸到白球的次数m 59 96 b 295 480 601 m 摸到白球的频率 a 0.64 0.58 0.59 0.60 0.601 n (1)上表中的a=________,b=________; (2)“摸到白球的”的概率的估计值是________(精确到0.1); (3)如果袋中有18个白球,那么袋中除了白球外,还有多少个其它颜色的球? 16.在一个不透明的口袋里装有若干个相同的红球,为了用估计袋中红球的数量,八(1)班学生在 数学实验室分组做摸球实验:每组先将10个与红球大小形状完全相同的白球装入袋中,搅匀后从中 随机摸出一个球并记下颜色,再把它放回袋中,不断重复.下表是这次活动统计汇总各小组数据后 获得的全班数据统计表: 摸球的次数s 150 300 600 900 1200 1500 摸到白球的频数n 63 a 247 365 484 606 n 摸到白球的频率 0.420 0.410 0.412 0.406 0.403 b s (1)按表格数据格式,表中的a=______;b=______; (2)请估计:当次数s很大时,摸到白球的频率将会接近______(精确到0.1); (3)请推算:摸到红球的概率是_______(精确到0.1); (4)试估算:这一个不透明的口袋中红球有______只. 六、综合题 17.一个不透明的袋中装有若干个红球,为了估计袋中红球的个数,在袋中放入3个除了颜色外其 余均相同的白球,从袋子中随机摸出一个球,记录下颜色后,放回袋中并摇匀,通过大量重复这样 的试验后发现,摸到白球的频率稳定在0.15附近,请估计袋子中红球的个数. 18.某玩具公司承接了第19届杭州亚运会吉祥物公仔的生产任务,现对一批公仔进行抽检,其结果 统计如下,请根据表中数据,回答问题: 抽取的公仔数n 10 100 1000 2000 3000 5000 优等品的频数m 9 96 951 1900 2856 4750 m 0.9 0.96 a 0.95 0.952 b 优等品的频率 n (1)a= ;b= . (2)从这批公仔中任意抽取1只公仔是优等品的概率的估计值是 .(精确到0.01) 4 / 7(3)若该公司这一批次生产了10000只公仔,请问这批公仔中优等品大约是多少只? 19.一个不透明的袋子里装有6个白球,若干个黑球,这些球除颜色外都相同.从袋子中随机摸出 一个球,记下颜色后放回并搅匀,不断重复上面的过程.根据所得数据绘制了如图所示的折线统计 图,根据统计图提供的信息解决下列问题: (1)摸到白球的概率约为______(精确到0.1),黑球的个数为______; (2)若再将n个相同的白球放进这个不透明的袋子里,大量重复上述试验,则摸出白球的概率约 为______.(用含n的代数式表示) 5 / 7答案解析部分 1.【答案】B 【知识点】频数与频率;利用频率估计概率 2.【答案】A 【知识点】全面调查与抽样调查;总体、个体、样本、样本容量;事件的分类;概率的意义 3.【答案】D 【知识点】概率的意义 4.【答案】C 【知识点】概率的意义 5.【答案】D 【知识点】全面调查与抽样调查;事件的分类;概率的意义 6.【答案】× 【知识点】可能性的大小;概率的意义 7.【答案】0.9 【知识点】利用频率估计概率 8.【答案】0.95 【知识点】利用频率估计概率 9.【答案】8 【知识点】利用频率估计概率;解含括号的一元一次方程 10.【答案】3 【知识点】利用频率估计概率 11.【答案】①③ 【知识点】概率的意义 12.【答案】2.25 【知识点】利用频率估计概率 13.【答案】(1)0.4979;0.5005 (2)0.5 【知识点】频数与频率;利用频率估计概率 14.【答案】(1)0.951 (2)0.95 (3)8000 【知识点】利用频率估计概率 6 / 715.【答案】(1)0.59,116 (2)0.6 (3)除白球外,还有大约12个其它颜色的小球. 【知识点】利用频率估计概率 16.【答案】(1)123;0.404;(2)0.40;(3)0.6;(4)15. 【知识点】利用频率估计概率 17.【答案】17个 【知识点】利用频率估计概率 18.【答案】(1)0.951;0.95 (2)0.95 (3)解:根据题意得: 1000×0.95=9500 (只) 答:这批公仔中优等品大约是9500只 【知识点】利用频率估计概率 19.【答案】(1)0.3,14 6+n (2) 20+n 【知识点】利用频率估计概率 7 / 7