当前位置:首页>文档>专题07一次函数中规律、最值、平移与新定义型综合问题(5大题型)(专项训练)(教师版)_北师大初中数学_8上-北师大版初中数学_初中数学北师大8上-2025秋季新版_第二套推荐25

专题07一次函数中规律、最值、平移与新定义型综合问题(5大题型)(专项训练)(教师版)_北师大初中数学_8上-北师大版初中数学_初中数学北师大8上-2025秋季新版_第二套推荐25

  • 2026-04-12 22:10:06 2026-04-12 21:05:39

文档预览

专题07一次函数中规律、最值、平移与新定义型综合问题(5大题型)(专项训练)(教师版)_北师大初中数学_8上-北师大版初中数学_初中数学北师大8上-2025秋季新版_第二套推荐25
专题07一次函数中规律、最值、平移与新定义型综合问题(5大题型)(专项训练)(教师版)_北师大初中数学_8上-北师大版初中数学_初中数学北师大8上-2025秋季新版_第二套推荐25
专题07一次函数中规律、最值、平移与新定义型综合问题(5大题型)(专项训练)(教师版)_北师大初中数学_8上-北师大版初中数学_初中数学北师大8上-2025秋季新版_第二套推荐25
专题07一次函数中规律、最值、平移与新定义型综合问题(5大题型)(专项训练)(教师版)_北师大初中数学_8上-北师大版初中数学_初中数学北师大8上-2025秋季新版_第二套推荐25
专题07一次函数中规律、最值、平移与新定义型综合问题(5大题型)(专项训练)(教师版)_北师大初中数学_8上-北师大版初中数学_初中数学北师大8上-2025秋季新版_第二套推荐25
专题07一次函数中规律、最值、平移与新定义型综合问题(5大题型)(专项训练)(教师版)_北师大初中数学_8上-北师大版初中数学_初中数学北师大8上-2025秋季新版_第二套推荐25
专题07一次函数中规律、最值、平移与新定义型综合问题(5大题型)(专项训练)(教师版)_北师大初中数学_8上-北师大版初中数学_初中数学北师大8上-2025秋季新版_第二套推荐25
专题07一次函数中规律、最值、平移与新定义型综合问题(5大题型)(专项训练)(教师版)_北师大初中数学_8上-北师大版初中数学_初中数学北师大8上-2025秋季新版_第二套推荐25
专题07一次函数中规律、最值、平移与新定义型综合问题(5大题型)(专项训练)(教师版)_北师大初中数学_8上-北师大版初中数学_初中数学北师大8上-2025秋季新版_第二套推荐25
专题07一次函数中规律、最值、平移与新定义型综合问题(5大题型)(专项训练)(教师版)_北师大初中数学_8上-北师大版初中数学_初中数学北师大8上-2025秋季新版_第二套推荐25
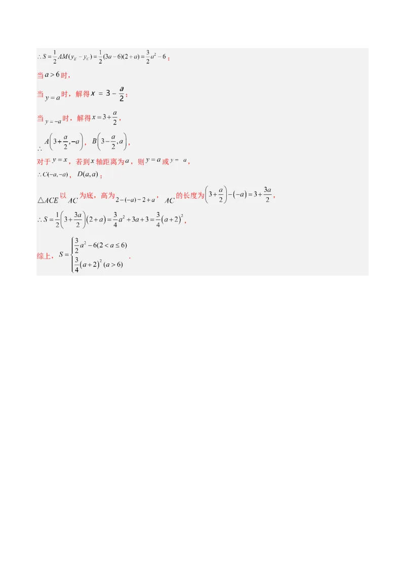
专题07一次函数中规律、最值、平移与新定义型综合问题(5大题型)(专项训练)(教师版)_北师大初中数学_8上-北师大版初中数学_初中数学北师大8上-2025秋季新版_第二套推荐25
专题07一次函数中规律、最值、平移与新定义型综合问题(5大题型)(专项训练)(教师版)_北师大初中数学_8上-北师大版初中数学_初中数学北师大8上-2025秋季新版_第二套推荐25
专题07一次函数中规律、最值、平移与新定义型综合问题(5大题型)(专项训练)(教师版)_北师大初中数学_8上-北师大版初中数学_初中数学北师大8上-2025秋季新版_第二套推荐25
专题07一次函数中规律、最值、平移与新定义型综合问题(5大题型)(专项训练)(教师版)_北师大初中数学_8上-北师大版初中数学_初中数学北师大8上-2025秋季新版_第二套推荐25
专题07一次函数中规律、最值、平移与新定义型综合问题(5大题型)(专项训练)(教师版)_北师大初中数学_8上-北师大版初中数学_初中数学北师大8上-2025秋季新版_第二套推荐25
专题07一次函数中规律、最值、平移与新定义型综合问题(5大题型)(专项训练)(教师版)_北师大初中数学_8上-北师大版初中数学_初中数学北师大8上-2025秋季新版_第二套推荐25
专题07一次函数中规律、最值、平移与新定义型综合问题(5大题型)(专项训练)(教师版)_北师大初中数学_8上-北师大版初中数学_初中数学北师大8上-2025秋季新版_第二套推荐25
专题07一次函数中规律、最值、平移与新定义型综合问题(5大题型)(专项训练)(教师版)_北师大初中数学_8上-北师大版初中数学_初中数学北师大8上-2025秋季新版_第二套推荐25
专题07一次函数中规律、最值、平移与新定义型综合问题(5大题型)(专项训练)(教师版)_北师大初中数学_8上-北师大版初中数学_初中数学北师大8上-2025秋季新版_第二套推荐25
专题07一次函数中规律、最值、平移与新定义型综合问题(5大题型)(专项训练)(教师版)_北师大初中数学_8上-北师大版初中数学_初中数学北师大8上-2025秋季新版_第二套推荐25
专题07一次函数中规律、最值、平移与新定义型综合问题(5大题型)(专项训练)(教师版)_北师大初中数学_8上-北师大版初中数学_初中数学北师大8上-2025秋季新版_第二套推荐25
专题07一次函数中规律、最值、平移与新定义型综合问题(5大题型)(专项训练)(教师版)_北师大初中数学_8上-北师大版初中数学_初中数学北师大8上-2025秋季新版_第二套推荐25
专题07一次函数中规律、最值、平移与新定义型综合问题(5大题型)(专项训练)(教师版)_北师大初中数学_8上-北师大版初中数学_初中数学北师大8上-2025秋季新版_第二套推荐25
专题07一次函数中规律、最值、平移与新定义型综合问题(5大题型)(专项训练)(教师版)_北师大初中数学_8上-北师大版初中数学_初中数学北师大8上-2025秋季新版_第二套推荐25
专题07一次函数中规律、最值、平移与新定义型综合问题(5大题型)(专项训练)(教师版)_北师大初中数学_8上-北师大版初中数学_初中数学北师大8上-2025秋季新版_第二套推荐25
专题07一次函数中规律、最值、平移与新定义型综合问题(5大题型)(专项训练)(教师版)_北师大初中数学_8上-北师大版初中数学_初中数学北师大8上-2025秋季新版_第二套推荐25
专题07一次函数中规律、最值、平移与新定义型综合问题(5大题型)(专项训练)(教师版)_北师大初中数学_8上-北师大版初中数学_初中数学北师大8上-2025秋季新版_第二套推荐25
专题07一次函数中规律、最值、平移与新定义型综合问题(5大题型)(专项训练)(教师版)_北师大初中数学_8上-北师大版初中数学_初中数学北师大8上-2025秋季新版_第二套推荐25
专题07一次函数中规律、最值、平移与新定义型综合问题(5大题型)(专项训练)(教师版)_北师大初中数学_8上-北师大版初中数学_初中数学北师大8上-2025秋季新版_第二套推荐25
专题07一次函数中规律、最值、平移与新定义型综合问题(5大题型)(专项训练)(教师版)_北师大初中数学_8上-北师大版初中数学_初中数学北师大8上-2025秋季新版_第二套推荐25
专题07一次函数中规律、最值、平移与新定义型综合问题(5大题型)(专项训练)(教师版)_北师大初中数学_8上-北师大版初中数学_初中数学北师大8上-2025秋季新版_第二套推荐25
专题07一次函数中规律、最值、平移与新定义型综合问题(5大题型)(专项训练)(教师版)_北师大初中数学_8上-北师大版初中数学_初中数学北师大8上-2025秋季新版_第二套推荐25
专题07一次函数中规律、最值、平移与新定义型综合问题(5大题型)(专项训练)(教师版)_北师大初中数学_8上-北师大版初中数学_初中数学北师大8上-2025秋季新版_第二套推荐25
专题07一次函数中规律、最值、平移与新定义型综合问题(5大题型)(专项训练)(教师版)_北师大初中数学_8上-北师大版初中数学_初中数学北师大8上-2025秋季新版_第二套推荐25
专题07一次函数中规律、最值、平移与新定义型综合问题(5大题型)(专项训练)(教师版)_北师大初中数学_8上-北师大版初中数学_初中数学北师大8上-2025秋季新版_第二套推荐25
专题07一次函数中规律、最值、平移与新定义型综合问题(5大题型)(专项训练)(教师版)_北师大初中数学_8上-北师大版初中数学_初中数学北师大8上-2025秋季新版_第二套推荐25
专题07一次函数中规律、最值、平移与新定义型综合问题(5大题型)(专项训练)(教师版)_北师大初中数学_8上-北师大版初中数学_初中数学北师大8上-2025秋季新版_第二套推荐25
专题07一次函数中规律、最值、平移与新定义型综合问题(5大题型)(专项训练)(教师版)_北师大初中数学_8上-北师大版初中数学_初中数学北师大8上-2025秋季新版_第二套推荐25
专题07一次函数中规律、最值、平移与新定义型综合问题(5大题型)(专项训练)(教师版)_北师大初中数学_8上-北师大版初中数学_初中数学北师大8上-2025秋季新版_第二套推荐25
专题07一次函数中规律、最值、平移与新定义型综合问题(5大题型)(专项训练)(教师版)_北师大初中数学_8上-北师大版初中数学_初中数学北师大8上-2025秋季新版_第二套推荐25
专题07一次函数中规律、最值、平移与新定义型综合问题(5大题型)(专项训练)(教师版)_北师大初中数学_8上-北师大版初中数学_初中数学北师大8上-2025秋季新版_第二套推荐25
专题07一次函数中规律、最值、平移与新定义型综合问题(5大题型)(专项训练)(教师版)_北师大初中数学_8上-北师大版初中数学_初中数学北师大8上-2025秋季新版_第二套推荐25
专题07一次函数中规律、最值、平移与新定义型综合问题(5大题型)(专项训练)(教师版)_北师大初中数学_8上-北师大版初中数学_初中数学北师大8上-2025秋季新版_第二套推荐25
专题07一次函数中规律、最值、平移与新定义型综合问题(5大题型)(专项训练)(教师版)_北师大初中数学_8上-北师大版初中数学_初中数学北师大8上-2025秋季新版_第二套推荐25
专题07一次函数中规律、最值、平移与新定义型综合问题(5大题型)(专项训练)(教师版)_北师大初中数学_8上-北师大版初中数学_初中数学北师大8上-2025秋季新版_第二套推荐25
专题07一次函数中规律、最值、平移与新定义型综合问题(5大题型)(专项训练)(教师版)_北师大初中数学_8上-北师大版初中数学_初中数学北师大8上-2025秋季新版_第二套推荐25
专题07一次函数中规律、最值、平移与新定义型综合问题(5大题型)(专项训练)(教师版)_北师大初中数学_8上-北师大版初中数学_初中数学北师大8上-2025秋季新版_第二套推荐25
专题07一次函数中规律、最值、平移与新定义型综合问题(5大题型)(专项训练)(教师版)_北师大初中数学_8上-北师大版初中数学_初中数学北师大8上-2025秋季新版_第二套推荐25
专题07一次函数中规律、最值、平移与新定义型综合问题(5大题型)(专项训练)(教师版)_北师大初中数学_8上-北师大版初中数学_初中数学北师大8上-2025秋季新版_第二套推荐25

文档信息

文档格式
docx
文档大小
3.138 MB
文档页数
45 页
上传时间
2026-04-12 21:05:39

文档内容

专题 07 一次函数中规律、最值、平移与新定义型综合问题 目录 A题型建模・专项突破 题型一、一次函数中的规律探究问题..................................................................................................................1 题型二、一次函数中求线段和最值问题..............................................................................................................4 题型三、一次函数中直线平移的综合问题..........................................................................................................8 题型四、一次函数中分段函数探究问题............................................................................................................12 题型五、一次函数中的新定义型综合问题........................................................................................................17 B综合攻坚・能力跃升 题型一、一次函数中的规律探究问题 1.(24-25八年级上·河北保定·期中)如图,过点 作 轴的垂线,交直线 于点 ;点 与点 关于直线 对称;过点 作 轴的垂线,交直线 于点 ;点 与点 关于直线 对称; 过点 作 轴的垂线,交直线 于点 ;按 此规律作下去,则点 的坐标为 , 的坐标为 . 【答案】 【分析】本题考查了一次函数图象上点的坐标特征:一次函数图象上点的坐标满足其解析式.也考查了轴 对称的性质. 先根据题意求出 点的坐标,再根据 点的坐标求出 的坐标,以此类推总结规律便可求出点 、 的 坐标. 【详解】解: 点 坐标为 , , 过点 作 轴的垂线交直线于点 , ∴将 代入 得 ,∴ 点的坐标为 , 点 与点 关于直线 对称, , , 点 的坐标为 ,同理可得 的坐标为 , 点 与点 关于直线 对称. 故点 的坐标为 ,同理 的坐标为 , 以此类推便可求出点 的坐标为 ,同理点 的坐标为 . 故答案为: , . 2.(24-25八年级下·河南三门峡·期末)如图,在平面直角坐标系中,已知直线 的表达式为 ,点 的坐标为 ,以 为圆心, 为半径画弧,交直线 于点 ,过点 作直线 的垂线交 轴于点 ; 以 为圆心, 为半径画弧,交直线 于点 ,过点 作直线 的垂线交 轴于点 ;以 为圆心, 为半径画弧,交直线 于点 ,过点 作直线 的垂线交 轴于点 ;⋯⋯.按照这样的规律进行下去, 点 的横坐标是 .(结果要求最简形式) 【答案】 【分析】本题考查的是一次函数性质应用,勾股定理,等腰直角三角形的判定与性质及点的坐标规律问题, 作 轴于点 ,依次求出 ,找出规律即可解决. 【详解】解:作 轴于点 ,∵ 均在直线 上, , , , , , , ∴由勾股定理得: , , 同理, , , 同理, , , 即点 的横坐标是 , 故答案为: . 题型二、一次函数中求线段和最值问题 3.平面直角坐标系内,已知点 和点 ,点 为 轴上一动点,当 最小时.点 的坐标 为 . 【答案】 【知识点】几何问题(一次函数的实际应用)、根据成轴对称图形的特征进行求解 【分析】本题考查了利用轴对称求最短路径,一次函数的实际应用; 作点B关于x轴的对称点 ,连接 交x轴于点P,连接 ,根据轴对称求最短路径的方法可知此时点 P即为 最小时点的位置,然后利用待定系数法求出直线 的解析式,进而可求点 的坐标. 【详解】解:如图,作点B关于x轴的对称点 ,连接 交x轴于点P,连接 ,则 , ∴ , ∴ 与x轴的交点P即为 最小时点的位置, ∵ , ∴ 设直线 的解析式为y=kx+b(k≠0), 把 , 代入得: , 解得: , ∴直线 的解析式为 , 令 ,解得: , ∴点 的坐标为 , 故答案为: . 4.一次函数 的图象交 轴、 轴分别于点 , ,点 , 分别是 , 的中点, 若 是 上一动点.当 周长最小时, 的坐标是 . 【答案】 【知识点】几何问题(一次函数的实际应用)、线段问题(轴对称综合题) 【分析】本题考查了一次函数图象上点的坐标特征、待定系数法求一次函数解析式以及轴对称 最短路线问题,由点 , 的坐标及点 , 分别是 , 的中点,可得出点 , 的坐标,作点 关于 轴的 对称点 ,连接 交 于点 ,此时 周长最小,由点 的坐标可得出点 的坐标,由点 , 的坐标,利用待定系数法可求出直线 的解析式,再利用一次函数图象上点的坐标特征,即可求出当 周长最小时 点的坐标. 【详解】解: 点 的坐标为 ,点 的坐标为 ,点 是 的中点,点 为 的中点, 点 的坐标为(2,0),点 的坐标为 . 作点 关于 轴的对称点 ,连接 交 于点 ,此时 周长最小,如图所示. 点 的坐标为(2,0), 点 的坐标为 . 设直线 的解析式为 , 将 , 代入 得: , 解得: , 直线 的解析式为 . 当 时, , 此时点 的坐标为(0,2). 故答案为: (0,2). 5.如图,在平面直角坐标系中,点 , 的坐标分别为(1,4)和 ,点 是 轴上的一个动点,且 , , 三点不在一条直线,上,当 的周长最小时,点 的坐标是 , 周长的最小值是 . 【答案】 (0,3)【知识点】几何问题(一次函数的实际应用)、坐标与图形变化——轴对称、用勾股定理解三角形 【分析】此题考查了最短路线问题以及运用待定系数法求函数的解析式,作 点关于 轴对称点 点,连 接 ,交 轴于点 ,根据题意确定点 的位置是解题的关键. 【详解】如图,作 点关于 轴对称点 点,连接 ,交 轴于点 , ∵ , ∴两点之间线段最短,则点 即为所求; ∴ , ∵ , 则对称点 , 设 解析式为 , ∴ ,解得: , ∴ 解析式为 , 当 时, ,则点 , ∵ , ∴ 周长的最小值是 , 故答案为: , . 6.如图,直线 与x轴、y轴分别交于点A和点B,点C在线段AB上,且到x轴的距离为1. (1)点B的坐标为__________,点C的坐标为__________;(2)若点P是x轴上的一个动点,画图说明并求出当点P运动到什么位置时, 的值最小,直接写出 最小值. 【答案】(1) , (2)当点P运动到 时, 的值最小,最小为 【知识点】一次函数图象与坐标轴的交点问题、坐标与图形变化——轴对称、已知两点坐标求两点距离 【分析】本题考查一次函数的图象与性质,轴对称求线段和最小值; (1)分别令 、 求解即可; (2)点 关于x轴的对称点为 ,连接 交x轴相交,当点P运动到 与x轴的交点处时, 连接BP,此时 的值最小,据此求解即可. 【详解】(1)∵点C在线段AB上,且到x轴的距离为1. ∴点C纵坐标为1, 当 时, 解得 , ∴ , 当 时, 解得 , ∴ , 故答案为: , ; (2)点 关于x轴的对称点为 ,则 , 连接 交x轴相交,当点P运动到 与x轴的交点处时, 连接BP,此时 的值最小, 设直线 的表达式为 将点 和点 分别代入上式,得 解得 , ∴直线 的表达式为当 时,解得 , ∴点P的坐标为 当点P运动到 时, 的值最小,最小值为 . 题型三、一次函数中直线平移的综合问题 7.在平面直角坐标中,直线 分别与x轴、y轴交于点A与点B,过点B作 交x轴于点 C.过点C作y轴的平行线交 于点D. (1)求线段 与 的长度; (2)现将线 沿A至C向右平移2个单位长度得线段 (如图),求线段 在整个平移过程中扫过图形 的面积; (3)试探索在平移过程中,在直线 上是否存在点M,使 是以 为斜边的等腰直角三角形,若存 在,请求出所有符合要求的点E的坐标;若不存在,请说明理由. 【答案】(1) , (2)4 (3)存在, 或 【知识点】坐标与图形、一次函数图象与坐标轴的交点问题、全等的性质和ASA(AAS)综合(ASA或者 AAS)、用勾股定理解三角形 【分析】本题考查了一次函数图象与坐标轴的交点问题、平移性质、坐标与图形、全等三角形的判定与性 质,添加合适的辅助线求解是解答的关键. (1)求得点A、B坐标即可求解; (2)根据平移性质得到线段 在整个平移过程中扫过图形是平行四边形 ,且 ,利用平行四 边形的面积公式求解即可; (3)设平移距离为b,则 , ,设 ,利用勾股定理求得 ,则设,分当M在 下方时和当M在 上方时两种情况,利用全等三角形的判定与性质,结合坐 标与图形列方程求的b值即可. 【详解】(1)解:对于 , 当 时, ,则 , ∴ ; 当 时,由 得 , 则 , ∴ ; (2)解:连接 , 根据平移性质,线段 在整个平移过程中扫过的图形是平行四边形 ,且 , ∴线段 在整个平移过程中扫过图形的面积为 ; (3)解:存在.理由如下, 设平移距离为b,则 , , 设 ,由题意, , , ∴ , 解得 , ∴设 , 当M在 下方时,如图,过M作 轴,过E作 轴交 于P,过F作 轴交 于 H,则 ,∵ 是以 为斜边的等腰直角三角形, ∴ , , ∴ , ∴ , ∴ , , ∴ , , 解得 ,则 ; 当M在 上方时,如图, 同理可证 , , ∴ , , 解得 ,则 , 综上,满足条件的点E的坐标为 或 . 8.在平面直角坐标系中, , , ,且 .(1)直接写出点A,B的坐标及c的值; (2)如图1,若三角形 的面积为9,求点C的坐标; (3)如图2,将线段 向右平移m个单位长度得到线段 (点A与D对应,点B与E对应),若直线 恰好经过点C,求m,n之间的数量关系. 【答案】(1) , , (2) 或 (3) 【知识点】坐标与图形、一次函数图象平移问题、绝对值非负性、利用算术平方根的非负性解题 【分析】(1)由 ,可得 ,计算求解,然后作答即可; (2)由 , ,可知 轴,则 ,计算求解,然后作答即可; (3)待定系数法求直线 的解析式为 ,则平移后的解析式为 ,将 代入得, ,整理即可. 【详解】(1)解:∵ , ∴ , 解得, , ∴ , , ; (2)解:∵ , , ∴ 轴, ∴ , 解得, 或 , ∴ 或 ; (3)解:设直线 的解析式为 , 将 , 代入得 ,解得, , ∴直线 的解析式为 , ∴平移后的解析式为 , 将 代入得, ,整理得, . 【点睛】本题考查了算术平方根、绝对值的非负性, 坐标与图形,一次函数解析式,一次函数图象的平 移.熟练掌握算术平方根、绝对值的非负性, 坐标与图形,一次函数解析式,一次函数图象的平移是解 题的关键. 题型四、一次函数中分段函数探究问题 9.小明根据学习函数的经验,对函数 的图象与性质进行了探究并解决了相关问题,请补全下面 的过程. (1)函数 的自变量 的取值范围是___________. (2)下表是 与 的几组对应值: 0 1 2 3 1 3 写出表中 的值; (3)如图,在平面直角坐标系 中,描出已补全后的表中各对对应值为坐标的点,画出该函数的图象;(4)小明结合该函数图象,解决了以下问题: ①对于图象上两点 ,若 ,则 _________ (填“>”,“=”或“<”); ②当 时,若对于 的每一个值,函数 的值都大于一次函数 的值,则 的取值范围 是_________. 【答案】(1)全体实数 (2)0 (3)见详解 (4)①<;② 且 【知识点】求自变量的值或函数值、判断一次函数的图象、求自变量的取值范围、用描点法画函数图象 【分析】本题考查了一次函数的图象和性质,根据图表画出函数的图象是解题的关键. (1)由图表可知可以是任意实数; (2)把 代入 即可求得; (3)根据坐标系中的点,用平滑的曲线连接即可; (4)观察图象即可解决问题. 【详解】(1)解:函数 中自变量 可以是任意实数; 故答案为:任意实数; (2)当 时, , ∴ . (3)函数图象如图所示; (4)观察该函数图象: ①对于图象上两点 ,若 ,则 ;②当x>2时,若对于 的每一个值,函数 的值大于一次函数 的值,则 的取值 范围是 且 . 故答案为:① ;② 且 . 10.探究函数 的图象与性质. 数学兴趣小组根据学习一次函数的经验,对函数 的图象与性质进行了探究: (1)在函数 中,自变量x可以是任意实数,下表是y与x的几组对应值. x … 0 1 2 3 4 … y … 0 1 2 3 4 3 2 1 a … 表格中a的值为________; (2)在平面直角坐标系中,描出表中的各点,画出该函数的图象; (3)结合图象回答下列问题: ①函数的最大值为________; ②写出该函数的一条性质________. 【答案】(1)0 (2)见解析; (3)①4;②函数 的图象关于y轴对称(答案不唯一). 【知识点】一次函数图象与坐标轴的交点问题、用描点法画函数图象、求一次函数自变量或函数值 【分析】本题考查了一次函数的图象与性质,一次函数图象上的点的坐标特点,利用数形结合思想. (1)代入x的值即可求出a即可得出答案; (2)描点,连线即可; (3)①根据函数图象可知最大值;②根据图象得出函数性质即可. 【详解】(1)解:把 代入 ,得 , 故答案为:0; (2)解:描点,画出函数图象如图所示:; (3)解:根据函数图象可知: ①函数最大值为4; 故答案为:4; ②由图象可知该函数的一条性质:函数 的图象关于y轴对称(答案不唯一); 故答案为:函数 的图象关于y轴对称(答案不唯一). 11.某数学兴趣小组根据学习一次函数的经验,对函数 的图象与性质进行了探究,下面是该小组 的探究过程,请补充完整: (1)列表: x … 0 1 2 3 … y … b 1 0 1 2 … 其中, ______; (2)描点并连线; 在下面平面直角坐标系中画出函数 的图象; (3)根据图象直接写出函数 图象的两条性质. 【答案】(1)2 (2)见解析 (3)①当 时, 随 值的增大而增大,当 时, 随 值的增大而减小;②函数 图象关于直 线 对称(答案不唯一)【知识点】用描点法画函数图象、判断一次函数的增减性、求一次函数自变量或函数值 【分析】 本题考查的知识点是一次函数图像及一次函数的性质,解题的关键是熟练的掌握一次函数图像及一次函数 的性质. (1)把 代入函数解析式,求出y的值即可; (2)在坐标系内描出各点,再顺次连接即可; (3)根据函数图象即可得出结论. 【详解】(1)解:当 时, . ∴ , 故答案为:2. (2)描点、连线,画出函数图象,如图所示. (3)观察函数图象,可知: ①当 时, 随 值的增大而增大,当 时, 随 值的增大而减小; ②函数 图象关于直线 对称; ③当 时,函数有最小值1. 题型五、一次函数中的新定义型综合问题 12.我们规定:如果两个一次函数的图像都经过坐标轴上的同一个点,那么就称这两个一次函数互为“交轴 一次函数”,如:一次函数 与 的图像都经过 轴上的同一个点 ,所以这两个函 数为“交轴一次函数”,又如一次函数 与 的图像都经过 轴上的同一个点 ,所 以这两个函数为“交轴一次函数”. (1)一次函数 与 是否是“交轴一次函数”?若是,请说明理由;若不是,也请说明理由, 并写出其中一个函数的一个“交轴一次函数”. (2)已知一次函数 , ,若 与 互为“交轴一次函数”,求 的值. 【答案】(1)不是,理由见详解,一次函数 与 是“交轴一次函数” (2) 与 互为“交轴一次函数”时, 的值为 或 【知识点】一次函数图象与坐标轴的交点问题 【分析】(1)根据一次函数以坐标轴的交点坐标的计算方法,“交轴一次函数”的定义即可求解;(2)根据 与 互为“交轴一次函数”,分类讨论,①当 与 的图像都经过 轴上的同一个点时,即 ;②当 与 的图像都经过 轴上的同一个点时,即 ;由此即可求解. 【详解】(1)解:根据题意,在 中,令 时, ;令 时, ; ∴一次函数 与 轴的交点为 ,与 轴的交点为 ; 同理,一次函数 中,令 时, ;令 时, ; ∴一次函数 与 轴的交点为 ,与 轴的交点为 ; ∴一次函数 与 的图像与 轴的交点不同,与 轴的交点不同, ∴一次函数 与 不是“交轴一次函数”; 当 时,则 时, , ∴一次函数 中,函数值 ,即一次函数 与 的图像都经过 轴上的同一个点 , ∴一次函数 与 是“交轴一次函数”. (2)解:∵一次函数 , ,若 与 互为“交轴一次函数”, ①当 与 的图像都经过 轴上的同一个点时,即 , ∴在 中, , ∴一次函数 , 的图像都经过 轴上的同一个点 , ∴在 中, ,解得, ; ②当 与 的图像都经过 轴上的同一个点时,即 , ∴在 中, , ∴一次函数 , 的图像都经过 轴上的同一个点 , ∴在 中, ,解得, ; 综上所述, 与 互为“交轴一次函数”时, 的值为 或 . 【点睛】本题主要考查一次函数的定义新运算,掌握一次函数图形的性质,一次函数与坐标轴交点的计算 方法代入求值是解题的关键. 13.定义:在平面直角坐标系中,我们称直线 , 为常数)是点 的关联直线,点 是直线 的关联点;特别地,当 时,直线 的关联点为 . 如图,直线 与 轴交于点 ,与 轴交于点 .【定义辨析】 (1)直线 的关联点的坐标是( ) A. B. C. D. 【定义延伸】 (2)点 的关联直线与直线 交于点 ,求点 的坐标;; 【定义应用】 (3)点 的关联直线与 轴交于点 , ,求 的值. 【答案】(1)D;(2)C的坐标为 ;(3) 的值为 或 . 【知识点】一次函数图象与坐标轴的交点问题、全等的性质和ASA(AAS)综合(ASA或者AAS) 【分析】(1)根据题中所给新定义可直接进行求解; (2)求出点 的坐标为 ,根据题中所给新定义可得点 的关联直线为 ,联立直线 即可求解; (3)根据题中所给新定义可得点 的关联直线为 ,则点 ,分两种情况:①当点 在 直线 左侧时,②当点 在直线 右侧时,分别求解即可. 【详解】解:(1) 直线 , 为常数),点 是直线 的关联点, 直线 的关联点的坐标是 , 故答案为:D; (2)直线 ,当 时, ,解得 , 点 的坐标为 , 直线 , 为常数)是点 的关联直线, 点 的关联直线为 , 联立得 ,解得 , 的坐标为 ; (3)点 的关联直线为 , 当 时, , 点 的坐标为 , 当 时, ,点 的坐标为 , ①如图1,当点 在直线 左侧时,过点 作 ,交直线 于点 ,过点 作 垂直 轴于点 . , , , , , , , , 是等腰直角三角形, , , , , , 的坐标为 , 把点 代入 得, ; ②如图2,当点 在直线 右侧时,同理可证 , , , 点 的坐标为 把点 代入 得, , 综上所述, 的值为 或 . 【点睛】本题是一次函数的综合题,也是有关关联点和关联直线的新定义问题,考查了一次函数图象上点 的坐标特征、理解新定义、利用待定系数法求一次函数的解析式,本题中理解关联点和关联直线的定义, 正确进行分类讨论是解题的关键. 14.定义:在平面直角坐标系中,将直线 的点的横坐标和纵坐标都扩大到原来的 倍,得到新的直线 ,则称直线 为直线 的“k倍伴随线”. 【定义辨析】 (1)若点 在 上,则下列四个点① 、② 、③ 、 ④ ,在 的 “k 倍伴随 线” 上的点有______(填序号); (2)下列函数图像是直线 的“2倍伴随线”的是( ); A. B. C. D. 【定义延伸】 (3)若直线 的“k倍伴随线”记为 .现给出两个关系式:① ;② .其中正确是是______(填序号); 【定义应用】 (4)如图,已知直线 与x轴、y轴相交于A、B两点,若在它的“k倍伴随线”上存在一点 C,能使 为等腰直角三角形,求k的值. 【答案】(1)②④;(2)B;(3)②;(4) 或3. 【知识点】几何问题(一次函数的实际应用)、求一次函数解析式、等腰三角形的性质和判定 【分析】本题主要考查了一次函数的应用,解题时要熟练掌握并能灵活运用是关键. (1)依据“k倍伴随线”求解即可; (2)依据“k倍伴随线”求解即可;(3)先求出直线 与坐标轴的交点坐标,再将横、纵坐标都乘以 ,得 ,再 将 代入 可得结果; (4)先求出 , ,再求出直线 的“k倍伴随线”为 , 再分三种情况讨论即可求解. 【详解】(1)∵将 横、纵坐标都乘以2,得到 , 将 横、纵坐标都乘以3,得到 , ∴在 的“k 倍伴随线” 上的点有② 、 ④ , 故答案为:②④; (2)直线 经过 ,将这两点横、纵坐标都乘以2,得 , 设直线 的“2倍伴随线”关系式为 , 将 代入得: ,解得: , ∴直线 的“2倍伴随线”关系式为 , 故选:B; (3)直线 中,令 ,得 ,令 ,得 , ∴ 经过 ,将这两点横、纵坐标都乘以 ,得 , ∵直线 的“k倍伴随线”记为 . ∴将 代入 得: , 故答案为:②; (4)直线 中,令 ,得 ,令 ,得 , ∴ , , 设直线 的“k倍伴随线”为 , 将 横、纵坐标都乘以 ,得到 , , ∴ , ∴直线 的“k倍伴随线”为 , 为等腰直角三角形,如图,分三种情况讨论:当 且 时,得 , ∴ , ∴ , 当 且 时,得 , ∴ , ∴ , 当 且 时,得 , ∴ , ∴ , 综上所述, 或3 一、单选题 1.(25-26八年级上·全国·单元测试)在如图所示的平面直角坐标系中,P是直线 上的动点, , 是x轴上的两点,则 的最小值为( )A.2 B.4 C. D. 【答案】C 【分析】本题主要考查的是最短线路问题,勾股定理,熟知两点之间线段最短是解答此题的关键. 首先作出点A关于 的对称点 ,从而得到 ,故此 ,由两点之间线段最短 可知 即为所求. 【详解】解:由题意知,作 关于直线 的对称点 ,交y轴于 ,连接 ,则 ,如 图所示: , 在 和 中 ∴ , ∴ , ∵点 , ∴ ∴ , 由两点之间线段最短可知:当点 、P、B在一条直线上时, 有最小值, , ∴ , 在 中, ,利用勾股定理得 , 故选:C.2.(24-25八年级下·福建福州·期中)定义:对于给定的一次函数 ( 为常数,且 ), 把形如 的函数称为一次函数 的“相依函数”,已知一次函数 ,若点 在这个一次函数的“相依函数”图象上,则 的值是( ) A.0 B.1 C.2 D.3 【答案】A 【分析】本题考查了求一次函数的函数值,正确理解一次函数的“相依函数”的定义是解题关键.先求出 一次函数 的“相依函数”,再将 代入计算即可得. 【详解】解:由题意得:一次函数 的“相依函数”为 , ∵点 在一次函数 的“相依函数”图象上,且 , ∴ , 故选:A. 3.(24-25八年级下·浙江台州·期末)如图, ,将直线 以每秒2 个单位长度向右平移 秒,当直线 与四边形 有公共点时, 的取值范围为( ) A. B. C. D. 【答案】A 【分析】本题主要考查了一次函数图象与几何变换及一次函数的性质,根据题意,分别求出平移后的直线 经过点B和点D时的函数解析式,进而可得出平移的距离,据此可解决问题. 【详解】解:将 代入 得 , 解得 , 所以直线l与x轴的交点坐标为 . 令平移后的直线函数解析式为 , 当平移后的直线经过点B时, , 解得 , 所以此时直线的函数解析式为 , 则 .当平移后的直线经过点D时, , 解得 , 所以此时直线的函数解析式为 , 令 得, , 解得 , 所以 , 所以当直线l与四边形 有公共点时,t的取值范围是: . 故选:A. 4.(24-25八年级下·四川资阳·期末)如图,在平面直角坐标系中,点 在过原点的直线 上,以点 O为圆心, 长为半径画弧交直线 于点 ,过点 作 轴交 于点 ;以点O为圆心, 长为半径画弧交直线 于点 ,过点 作 轴交 于点 ;…按此规律,则点 的坐标为( ) A. B. C. D. 【答案】C 【分析】本题主要考查了函数图象上点的坐标特征、规律型:点的坐标、正比例函数的图象与性质、勾股 定理,解题时要熟练掌握并能灵活运用正比例函数的性质是关键.依据题意,由 ,则 , ,结合 在直线 上,设 ,可得 , 则 ,同理可得 , , , , , ,最后即 可判断得解. 【详解】解:由题意,∵ , ∴ , 设直线 的解析式为 ,代入 ,得 ,∴ , ∵ 在直线 上, ∴可设 , ∵ , ∴ , ∴ (负值舍), ∴ , 又∵ 轴, ∴ 纵坐标为1, ∴代入 ,得 , ∴ , ∴ , 设 , ∴ , ∴ , ∴ , 同理可得, , , , . ∴当 时, . 故选:C. 二、填空题 5.(23-24八年级下·全国·期末)如图,在平面直角坐标系中,点 的坐标为 ,直线 与 轴、 轴分别交于点 , ,点 是直线 上的一个动点,则线段 的最小值为 .【答案】 【分析】连接 ,过点P作 于点M,根据垂线段最短,当点Q 与点M重合时,取得最小值,利 用三角形面积不变性,列式解答即可. 本题考查了垂线段最短,一次函数与坐标轴的交点问题,熟练掌握垂线段最短,是解题的关键. 【详解】解:连接 ,过点P作 于点M,根据垂线段最短, 当点Q 与点M重合时,取得最小值, ∵直线 与 轴、 轴分别交于点 , , ∴ , , ∴ , ∴ , ∵点 的坐标为 , ∴ , ∵ , ∴ , 故答案为: . 6.(23-24八年级下·山西吕梁·期末)如图,把 放在直角坐标系内,其中 , , 点 , 的坐标分别为 , ,将 沿 轴向右平移,当点 落在直线 上的点 时, 线段 的长为 .【答案】 【分析】本题主要考查了一次函数图象上点的坐标特征,坐标与图形变化-平移,勾股定理等知识,解题时 要熟练掌握并能灵活运用一次函数的性质是关键. 依据题意,由 ,则 ,又由勾股定理得 ,故 ,又设平移距离为 , 平移后点 的坐标为 ,点 的坐标为 ,又点 在直线 上,故 ,可得 ,则 ,进而计算可以得解. 【详解】解: , , 设平移距离为 , 平移后点 的坐标为 ,点 的坐标为 , 又 点 在直线 上, . ∴ , , 线段 的长为 , 故答案为: . 7.(24-25八年级下·甘肃白银·期中)如图,在平面直角坐标系 中,点 在直线 上,过 点 作 轴于点 ,作等腰直角三角形 ( 与原点O重合),再以 为腰作等腰直角三角 形 ,以 为腰作等腰直角三角形 ;按照这样的规律进行下去,那么 的坐标为【答案】 【分析】本题考查了一次函数图象上点的坐标特征、等腰直角三角形的性质以及规律型中点的坐标,由题 意可得点 在x轴上,且 ,求出 , , ,得出规律 ,即可得解. 【详解】解:由题意可得:点 在x轴上,且 , ∵ 在直线 上, ∴ , ∴ , ∴直线为 , ∴ , , , …, ∴ , ∴ 的坐标为 , 故答案为: . 8.(24-25八年级下·上海青浦·期末)定义:函数图像上到两坐标轴的距离都不大于 ( )的点叫做 这个函数图像的“ 阶方点”.例如:点 是函数 图像的“ 阶方点”;点 是函数 图像的“2阶方点”.如果 关于 的一次函数 图像的“2阶方点”有且只有一个,那么 的值为 . 【答案】 或 【分析】本题考查了一次函数的图像和性质,新定义,根据题意得到当 时, 经过 或 ;当 时, 经过 或 ;计算即可. 【详解】解:∵ 关于 的一次函数 图像的“2阶方点”有且只有一个, ∴当 时, 经过 或 ,∴ 或 , 解得: (舍去)或 ; 当 时, 经过 或 , ∴ 或 , 解得: (舍去)或 ; 综上所述, 的值为 或 . 故答案为: 或 . 三、解答题 9.(24-25八年级下·江西上饶·阶段练习)如图,平面直角坐标系中,已知点 , ,点M在 坐标轴上. (1)直接写出A,B两点到y轴的距离分别为______和______; (2)若点M在y轴上,求 的最小值; (3)若点M在x轴,当 最大时,求点M的坐标. 【答案】(1)1,2 (2) 的最小值为 . (3) 【分析】(1)根据点 到y轴的距离为 即可得出答案; (2)作点 关于 轴的对称点 ,连接 交 轴于点 ,此时 达到最小,且最小为 ,过 点 作 轴的平行线,过点 作 轴的垂直线,两线相交于点 ,然后利用勾股定理求得答案即可; (3)作点 关于 轴的对称点 ,连接 ,交 轴于点 ,此时 ,那么 达到最大,且最大值为 ,然后用待定系数法求出直线 的解析式,然后 再求出直线 与 轴的交点即可. 【详解】(1)解: 已知点 , , 到y轴的距离为 , 到y轴的距离为2;(2)解:作点 关于 轴的对称点 ,连接 交 轴于点 ,如图所示: 关于 轴对称, , , , , 取得最小值,且最小值为 , 过点 作 轴的平行线,过点 作 轴的垂直线,两线相交于点 , , , , , , , 的最小值为 . (3)解: 作点 关于 轴的对称点 ,连接 ,交 轴于点 ,此时 ,那么 达到最大,且最大值为 , 关于 轴对称, , , 设直线 为 ,代入 , ,, 直线 为 , 当 时, ,解得 , 故 . 【点睛】本题考查了点到坐标轴的距离,轴对称的性质,两点之间线段最短,勾股定理,待定系数法求一 次函数解析式,一次函数与坐标轴的交点,熟练掌握以上知识点是解题的关键. 10.(24-25八年级上·四川成都·阶段练习)如图1,已知直线 : 交 轴于 ,交 轴于 . (1)求直线 的表达式; (2)如图2,直线 的表达式为 ,点 为线段 的中点,在直线 上找一点 ,使得 最小,并求出最小值; (3)如图3,已知点 ,点 为直线 右侧一点,且满足 ,求 的值. 【答案】(1) (2)作点 关于 的对称点 ,连接 交 于点 ,则此时 的值最小,最小值为 (3) 【分析】(1)把 , 代入 ,即可求解; (2)如图:作点 关于 的对称点 ,连接 交 于点 ,则此时 最小,设 交 于点 ,则点 是 的中点,先根据中点坐标公式求出点 的坐标为 ,进而求出直线 的解析式为 ,然后求出点 的坐标为 ,设点 的坐标为 ,根据两点之间的距离公式得出 , ,根据勾股定理,列出方程,求出 的值,得出点 的坐 标为 ;先根据中点坐标公式求出点 的坐标为 ,根据两点之间的距离公式求出 的值,即可求解; (3)作 关于 轴的对称点 ,以 为直角顶点, 为直角边在 右侧作等腰直角三角形 , 过 作 轴于 ,根据等腰直角三角形的判定和性质推得 ,根据直角三角形两个锐 角互余和等角的余角相等得出 ,根据全等三角形的判定和性质得出 , ,推得点 的坐标为 ,待定系数法求出直线 的解析式为 .得出点 的 坐标,结合题意,列出方程,即可求出 的值. 【详解】(1)解:把 , 代入 得: , 解得: , 故直线 的表达式为 . (2)解:如图:作点 关于 的对称点 ,连接 交 于点 ,则此时 最小, 理由: , 设 交 于点 ,则点 是 的中点, ∵ , ,点 为线段 的中点, ∴点 的坐标为 , 把 代入 得: , 解得: , ∴直线 的解析式为 . 令 ,则 , 解得: , 即点 的坐标为 ; 则 ,设点 的坐标为 ,则 , , 在 中, , 即 , 解得: 或 (不符合题意,舍去), 故点 的坐标为 ; 又∵点 是 的中点, ∴点 的坐标为 , ∴ ; 即 最小值为 . (3)解:作 关于 轴的对称点 ,以 为直角顶点, 为直角边在 右侧作等腰直角三角形 ,过 作 轴于 ,如图: 则 , ∵ , , ∴ 是等腰直角三角形, ∴ , ∵ 是等腰直角三角形, ∴ , , ∴ , ∴ , ∴ 在直线 上, ∵ , ,∴ , , ∴ , ∵ , , , ∴ , ∴ , , ∴点 的坐标为 , 设直线 的解析式为 , 将 , 代入 ,得 , 解得: , ∴直线 的解析式为 . ∵点 在直线 上,故当 时, , 即点 的坐标为 , ∴ , 解得 . 【点睛】本题考查一次函数的图象和性质,待定系数法求一次函数的解析式,等腰直角三角形的性质,全 等三角形判定与性质,轴对称的性质,勾股定理等知识,正确作出辅助线是解题的关键. 11.(24-25八年级上·陕西榆林·阶段练习)如图①,直线 : 与 轴交于点 ,与 轴交于点 , 直线 : 与 轴交于点 ,与直线 交于点 ,且 . (1)直线 的函数表达式为______,(2)点 为直线 上一动点,若有 ,求点 的坐标; (3)如图②,在 轴负半轴有一点 , , ,将直线 平移过点 得直线 ,连接 , 若点 为直线 上一动点,是否存在点 ,使得 ?若存在,请求出点 的坐标;若不存在, 请说明理由. 【答案】(1) (2) 或 (3)存在, 或 【分析】本题考查了待定系数法求函数解析式、勾股定理、含 角的直角三角形的特征、一次函数图象 的平移,熟练掌握相关知识,利用分类讨论思想解决问题是解题的关键. (1)当 时,得 ,进而可得 ,进而可得 ,再求出 ,利用待定系数法即 可求解; (2)过点 作 轴垂线交 于点 ,设 ,则 ,根据 得 ,进而可求解; (3)先求出 ,可得 ,进而可得 ,由 ,根据由平移的性质得出直线 的解析式为 ,然后分两种情况分析:当点M在y轴右侧时,作点E关于y轴的对称点F,连 接 并延长交 于点M;当点M在y轴左侧时,过点B作 轴交交 于点M,分别利用一次函数的 性质及平行线的性质求解即可. 【详解】(1)解:当 时, , 解得: , , , , , ∵ 在 上, ∴ ,故点 ,将 , 代入 得: , 解得: , ∴直线 的解析式为: . (2)解:∵ , , , ∴ , 过点 作 轴垂线交 于点 ,如图: 设 ,则 , , 即: ∴ , 或 , ∴ 或 . (3)存在,理由如下: 由(1)得: ,令 ,则 , , , , , , , ∴ , ∵将直线 平移过 点得直线 ,直线 的解析式 , ∴设直线 的解析式为 , 将点 代入得: , 解得: , ∴直线 的解析式为 , 当点M在y轴右侧时,作点E关于y轴的对称点F,连接 并延长交 于点M,如图所示: ∴ , ∴ , ∴ ,符合题意, 设直线 的函数解析式为 ,将点B、M代入得: , 解得: ,∴直线 的函数解析式为 , 联立 , 解得: , ∴ ; 当点M在y轴左侧时,过点B作 轴交交 于点M,如图所示: ∵ , , , ∵ ,直线 的解析式为 , ∴当 时, , 解得 , ∴ , 综上可得: 或 . 12.(24-25八年级下·北京·期中)小明根据学习函数的经验,对函数 的图象与性质进行了探究 并解决了相关问题,请补全下面的过程. (1)下表是y与x的几组对应值: x … 0 1 2 3 …y … m … 写出表中m的值: ___________. (2)如图,在平面直角坐标系 中,描出以补全后的表中各对对应值为坐标的点,画出该函数的图象; (3)小明结合该函数图象,解决了以下问题: ①对于图象上两点 , ,若 ,则 ___________ (填“ ”,“ ”或“ ”); ②对于函数 ,当 时,y的取值范围是___________; ③写出由函数 的图象得到 的图象的平移方式. 【答案】(1)0 (2)见解析 (3)① ;② ;③向左平移1个单位,向下平移 个单位 【分析】本题考查了一次函数的图象和性质,根据图表画出函数的图象是解题的关键. (1)把 代入 即可求得; (2)根据坐标系中的点,用平滑的曲线连接即可; (3)观察图象即可解决问题. 【详解】(1)解:当 时, , ∴ ; 故答案为:0; (2)解:函数 图象如图所示;; (3)解:观察该函数图象: ①对于图象上两点 ,若 ,则 ; ②对于函数 ,当 时,y的取值范围是 ; ③当 时, ,当 时, , ∴函数 的图象得到 的图象的平移方式是向左平移1个单位,向下平移 个单位. 故答案为:① ;② ;③向左平移1个单位,向下平移 个单位. 13.(24-25九年级下·海南海口·自主招生)在平面直角坐标系 中,对于任意两点 与 的“特别距离”,给出如下定义∶若 ,则点 与点 的“特别距离”为 ;若 ,则点 与点 的“特别距离”为 . 例如∶点 ,点 ,因为 ,所以点 与点 的“特别距离”为 ,也就是图1中线段 与线段 长度的较大 值(点 为垂直于 轴的直线 与垂直于 轴的直线 交点). (1)已知点 , 为 轴上的一个动点. ①若点 与点 的“特别距离”为3,写出一个满足条件的点 的坐标; ②直接写出点 与点 的“特别距离”的最小值. (2)已知 是直线 上的一个动点,如图2,点 的坐标是 ,求点 与点 的“特别距离”的 最小值及相应的点 的坐标.【答案】(1)①点B的坐标是 或 ;② (2) , 【分析】本题考查了一次函数综合题,考查了新定义“特别距离”、点的坐标、绝对值等知识,本题综合 性强,弄清楚题干中的已知条件,正确理解“特别距离”的定义是解题的关键. (1)①根据点B位于y轴上,可以设点B的坐标为 ,由“特别距离”的定义可以确定 ,据 此可以求得y的值; ②设点B的坐标为 .根据 ,“特别距离”为 即可求得最小值; (2)设点C的坐标为 .根据材料可知C、D两点的“特别距离”取最小值时, ,据此可以求得最小值和点C的坐标. 【详解】(1)解:①∵B为y轴上的一个动点, ∴设点B的坐标为 . ∵ , ∴ , 解得 或 ; ∴点B的坐标是 或 ; ②设点B的坐标为 , 当点A与点B的“特别距离”取最小值时,根据运算定义可知 , ∴ , ∴当 时,点A与点B的“特别距离”最小,最小值为 ; (2)解:当点C与点D的“特别距离”取最小值时,根据运算定义可知 , ∵C是直线 上的一个动点,点D的坐标是 ,∴设点C的坐标为 , ∴ , , ∴若 , 解得 ,此时较大值为 ; 当 , 解得 ,此时较大值为 , ∴当 时, ∴点C与点D的“特别距离”的最小值为 , 此时 . 14.(24-25八年级下·辽宁沈阳·期末)定义:在平面直角坐标系中,函数图象上到一条坐标轴的距离等于 ,到另一条坐标轴的距离不大于 的点叫做该函数图象的“ 阶界点”.例如:直线 上的 点 到 轴的距离为 ,到 轴的距离为 , ,所以点 是它的“3阶界点”. (1)若 三点的坐标分别为 ,则 三点中,是直线 的“1阶界 点”的有点 (直接填空); (2)如图,直线 与直线 相交于点 . ①求点 的坐标; ②已知直线 上有两个“ 阶界点” 和 ,点 在点 的下方,直线 上有两个“ 阶界 点” 和 ,点 在点 的下方,连接 .设 的面积为 ,求 与 之间的函数表达式,并写出 的取值范围.【答案】(1)A,C (2)①(2,2);②当2<a<6时 ;当a≥6时 【分析】本题考查了一次函数的综合应用,涉及新定义“ 阶界点”,通过联立方程求交点坐标,利用坐 标求三角形面积,关键是理解新定义并准确计算. (1)根据“a阶界点”的定义,分别计算点A、B、C到坐标轴的距离并判断; (2)①联立直线方程求解交点坐标;②结合图形,先根据“a阶界点”定义确定 的坐标,再 根据三角形面积公式求解; 【详解】(1)解: ,‘ 点A到x,y轴的距离都等于于,满足“1阶界点”定义; 点B到x轴的距离是3,到y轴的距离是1, ,不满足“1阶界点”定义; 点C到x轴距离是1,到y轴的距离是0, ,满足“1阶界点”定义; 故答案为: ; (2)①直线 与直线 相交于点 , 解方程组 , 解得, , 点E的坐标为 ; ② 直线 上有两个“ 阶界点”, , 如图, 对于 ,若到 轴距离为 ,则 或 , 当 时,即 , , 此时过 作 轴交 于点 ,则 , ,; 当 时, 当 时,解得 ; 当 时,解得 , , , 对于 ,若到 轴距离为 ,则 或 , , ; 以 为底,高为 , 的长度为 , , 综上, .