当前位置:首页>文档>专题08特殊三角形及勾股定理中的九类模型(几何模型讲义)(教师版)_北师大初中数学_8上-北师大版初中数学_初中数学北师大8上-2025秋季新版_第二套推荐25_08专项讲练_2026版

专题08特殊三角形及勾股定理中的九类模型(几何模型讲义)(教师版)_北师大初中数学_8上-北师大版初中数学_初中数学北师大8上-2025秋季新版_第二套推荐25_08专项讲练_2026版

  • 2026-04-12 23:59:39 2026-04-12 22:10:57

文档预览

专题08特殊三角形及勾股定理中的九类模型(几何模型讲义)(教师版)_北师大初中数学_8上-北师大版初中数学_初中数学北师大8上-2025秋季新版_第二套推荐25_08专项讲练_2026版
专题08特殊三角形及勾股定理中的九类模型(几何模型讲义)(教师版)_北师大初中数学_8上-北师大版初中数学_初中数学北师大8上-2025秋季新版_第二套推荐25_08专项讲练_2026版
专题08特殊三角形及勾股定理中的九类模型(几何模型讲义)(教师版)_北师大初中数学_8上-北师大版初中数学_初中数学北师大8上-2025秋季新版_第二套推荐25_08专项讲练_2026版
专题08特殊三角形及勾股定理中的九类模型(几何模型讲义)(教师版)_北师大初中数学_8上-北师大版初中数学_初中数学北师大8上-2025秋季新版_第二套推荐25_08专项讲练_2026版
专题08特殊三角形及勾股定理中的九类模型(几何模型讲义)(教师版)_北师大初中数学_8上-北师大版初中数学_初中数学北师大8上-2025秋季新版_第二套推荐25_08专项讲练_2026版
专题08特殊三角形及勾股定理中的九类模型(几何模型讲义)(教师版)_北师大初中数学_8上-北师大版初中数学_初中数学北师大8上-2025秋季新版_第二套推荐25_08专项讲练_2026版
专题08特殊三角形及勾股定理中的九类模型(几何模型讲义)(教师版)_北师大初中数学_8上-北师大版初中数学_初中数学北师大8上-2025秋季新版_第二套推荐25_08专项讲练_2026版
专题08特殊三角形及勾股定理中的九类模型(几何模型讲义)(教师版)_北师大初中数学_8上-北师大版初中数学_初中数学北师大8上-2025秋季新版_第二套推荐25_08专项讲练_2026版
专题08特殊三角形及勾股定理中的九类模型(几何模型讲义)(教师版)_北师大初中数学_8上-北师大版初中数学_初中数学北师大8上-2025秋季新版_第二套推荐25_08专项讲练_2026版
专题08特殊三角形及勾股定理中的九类模型(几何模型讲义)(教师版)_北师大初中数学_8上-北师大版初中数学_初中数学北师大8上-2025秋季新版_第二套推荐25_08专项讲练_2026版
专题08特殊三角形及勾股定理中的九类模型(几何模型讲义)(教师版)_北师大初中数学_8上-北师大版初中数学_初中数学北师大8上-2025秋季新版_第二套推荐25_08专项讲练_2026版
专题08特殊三角形及勾股定理中的九类模型(几何模型讲义)(教师版)_北师大初中数学_8上-北师大版初中数学_初中数学北师大8上-2025秋季新版_第二套推荐25_08专项讲练_2026版
专题08特殊三角形及勾股定理中的九类模型(几何模型讲义)(教师版)_北师大初中数学_8上-北师大版初中数学_初中数学北师大8上-2025秋季新版_第二套推荐25_08专项讲练_2026版
专题08特殊三角形及勾股定理中的九类模型(几何模型讲义)(教师版)_北师大初中数学_8上-北师大版初中数学_初中数学北师大8上-2025秋季新版_第二套推荐25_08专项讲练_2026版
专题08特殊三角形及勾股定理中的九类模型(几何模型讲义)(教师版)_北师大初中数学_8上-北师大版初中数学_初中数学北师大8上-2025秋季新版_第二套推荐25_08专项讲练_2026版
专题08特殊三角形及勾股定理中的九类模型(几何模型讲义)(教师版)_北师大初中数学_8上-北师大版初中数学_初中数学北师大8上-2025秋季新版_第二套推荐25_08专项讲练_2026版
专题08特殊三角形及勾股定理中的九类模型(几何模型讲义)(教师版)_北师大初中数学_8上-北师大版初中数学_初中数学北师大8上-2025秋季新版_第二套推荐25_08专项讲练_2026版
专题08特殊三角形及勾股定理中的九类模型(几何模型讲义)(教师版)_北师大初中数学_8上-北师大版初中数学_初中数学北师大8上-2025秋季新版_第二套推荐25_08专项讲练_2026版
专题08特殊三角形及勾股定理中的九类模型(几何模型讲义)(教师版)_北师大初中数学_8上-北师大版初中数学_初中数学北师大8上-2025秋季新版_第二套推荐25_08专项讲练_2026版
专题08特殊三角形及勾股定理中的九类模型(几何模型讲义)(教师版)_北师大初中数学_8上-北师大版初中数学_初中数学北师大8上-2025秋季新版_第二套推荐25_08专项讲练_2026版
专题08特殊三角形及勾股定理中的九类模型(几何模型讲义)(教师版)_北师大初中数学_8上-北师大版初中数学_初中数学北师大8上-2025秋季新版_第二套推荐25_08专项讲练_2026版
专题08特殊三角形及勾股定理中的九类模型(几何模型讲义)(教师版)_北师大初中数学_8上-北师大版初中数学_初中数学北师大8上-2025秋季新版_第二套推荐25_08专项讲练_2026版
专题08特殊三角形及勾股定理中的九类模型(几何模型讲义)(教师版)_北师大初中数学_8上-北师大版初中数学_初中数学北师大8上-2025秋季新版_第二套推荐25_08专项讲练_2026版
专题08特殊三角形及勾股定理中的九类模型(几何模型讲义)(教师版)_北师大初中数学_8上-北师大版初中数学_初中数学北师大8上-2025秋季新版_第二套推荐25_08专项讲练_2026版
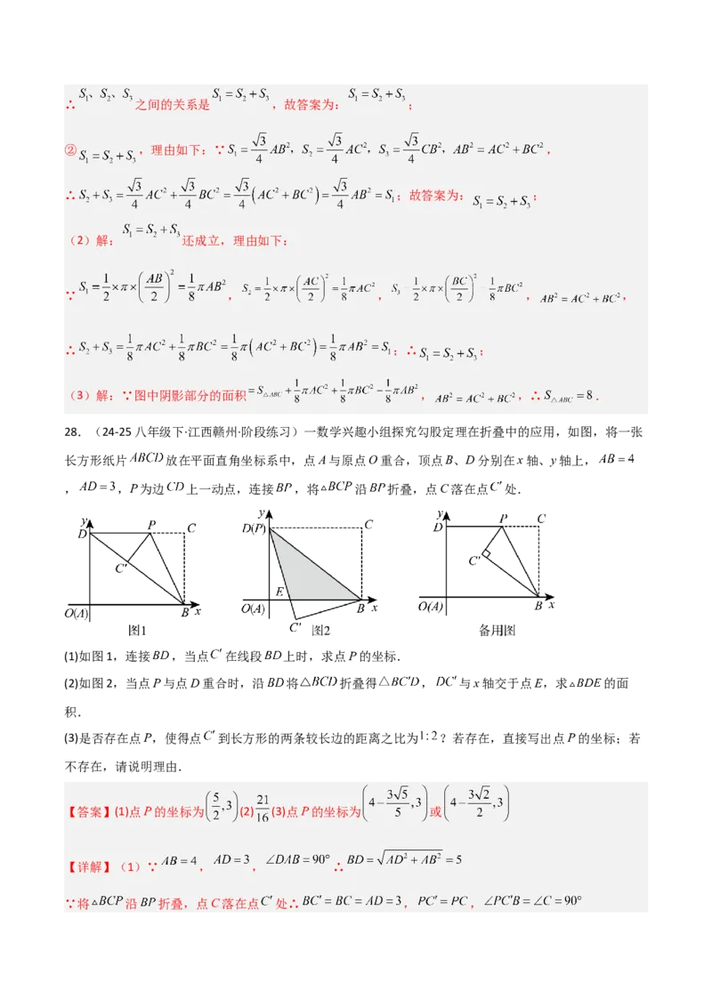
专题08特殊三角形及勾股定理中的九类模型(几何模型讲义)(教师版)_北师大初中数学_8上-北师大版初中数学_初中数学北师大8上-2025秋季新版_第二套推荐25_08专项讲练_2026版
专题08特殊三角形及勾股定理中的九类模型(几何模型讲义)(教师版)_北师大初中数学_8上-北师大版初中数学_初中数学北师大8上-2025秋季新版_第二套推荐25_08专项讲练_2026版
专题08特殊三角形及勾股定理中的九类模型(几何模型讲义)(教师版)_北师大初中数学_8上-北师大版初中数学_初中数学北师大8上-2025秋季新版_第二套推荐25_08专项讲练_2026版
专题08特殊三角形及勾股定理中的九类模型(几何模型讲义)(教师版)_北师大初中数学_8上-北师大版初中数学_初中数学北师大8上-2025秋季新版_第二套推荐25_08专项讲练_2026版
专题08特殊三角形及勾股定理中的九类模型(几何模型讲义)(教师版)_北师大初中数学_8上-北师大版初中数学_初中数学北师大8上-2025秋季新版_第二套推荐25_08专项讲练_2026版

文档信息

文档格式
docx
文档大小
2.200 MB
文档页数
25 页
上传时间
2026-04-12 22:10:57

文档内容

专题 08.特殊三角形及勾股定理中的九类模型 本专题包含特殊三角形及勾股定理中的九类重要模型,主要有:奔驰模型、等直内接等直模型、等 直+高分模型、中点模型、翻折模型、赵爽弦图模型、勾股树模型、空间最短路径模型、将军饮马模型等 模型等。通过这些综合训练希望能让大家弄清楚这些模型的适用条件,深刻认识几何模型,认真理解每一 个题型,做到活学活用! 1.(2025·陕西咸阳·模拟预测)如图,已知 是等腰三角形, , 是直角三角形, 为 斜边 上的中线,连接 .若 , ,则 的长为( ) A. B. C. D. 【答案】B 【详解】解:∵ 是直角三角形, 为斜边 上的中线, ∴点 为 的中点, ,∵ ,∴ , 又∵ 是等腰三角形, ,∴ ,∴ , 又∵ ,∴ ,故选: . 2.(24-25八年级下·江苏苏州·期中)如图,在 中, , ,点D为 边的中点, ,将 绕点D旋转,它的两边分别交 、 所在直线于点E、F,有以下4个结论:① ;② ;③ ;④当点E、F落在 、 的延长线上时, ,在旋转的过程中上述结论一定成立的有( )A.1个 B.2个 C.3个 D.4个 【答案】C 【详解】解:如图1,连接 , , , 为 中点, , , , , , , , , 在 和 中, , , , , , ,故①正确; , 如图2,当点 、 落在 、 的延长线上时,连接 ,同理可证 , ,故②错误,由 , , ,故③正确; 如图2,连接 ,同理可证: , , , .故④正确,故选:C. 3.(24-25八年级上·黑龙江·期末)如图在△ABC中,∠ABC=45°,CD⊥AB于D,BE平分∠ABC,且BE⊥AC 于E,BE与CD相交于点F,BF=2CE,H是BC边的中点,连接DH与BE相交于点G,下列结论中: ①∠A=67.5°;②DF=AD;③BE=2BG;④DH⊥BC 其中正确的个数是( ) A.1个 B.2个 C.3个 D.4个 【答案】C 【详解】解:∵∠ABC=45°,CD⊥AB于D,∴△BCD是等腰直角三角形,∴BD=CD, ∵BE平分∠ABC,∴∠ABE=22.5°,∴∠A=67.5°;故①正确; ∵CD⊥AB于D,BE⊥AC于E,∴∠DBF+∠A=90°,∠ACD+∠A=90°,∴∠DBF=∠ACD, 在△BDF与△CDA中 ,∴△BDF≌△CDA(ASA),∴AD=DF,故②正确; ∵BE平分∠ABC,且BE⊥AC于E,∴∠ABE=∠CBE,∠AEB=∠CEB=90°, ∴在△ABE与△CBE中 ,∴△ABE≌△CBE(ASA),∴AE=CE= AC, ∵△BCD是等腰直角三角形,H是BC边的中点,∴DH⊥BC,故④正确;∴DH不平行于AC, ∵BH=CH,∴BG≠EG;∴BE≠2BG,故③错误.故选:C. 4.(24-25八年级上·浙江绍兴·期中)我国汉代数学家赵爽为了证明勾股定理,创制了一幅“弦图”,后人 称其为“赵爽弦图”,如图是由弦图变化得到,它是用八个全等的直角三角形拼接而成,记图中正方形 ,正方形EFGH,正方形 的面积分别为 , , .若 ,则下列关于 , , 的说法正确的是( )A. B. C. D. 【答案】D 【详解】解: 八个直角三角形全等,四边形 ,EFGH, 是正方形, , , , , , , , , , , , ,故选:D. 5.(24-25八年级下·河北唐山·期末)如图,在矩形 中, , ,点E为 上一点,把 沿 翻折,点C恰好落在 边上的点F处,则 的长是( ) A. B. C.2 D. 【答案】A 【详解】解: 在矩形 中, , ,设 ,则 , 把 沿 翻折,点C恰好落在 边上的点F处, 在 中,由勾股定理,得 , , 在 中,由勾股定理,得 ,即 ,解得 , .故选: A. 6.(2024·黑龙江绥化·模拟预测)如图,在正方形 外取一点E,连接 , , ,过点 作 的垂线交 于点P,若 , 则下列结论:① ;② ;③点 C到直线 的距离为 ;④ 其中结论正确的个数有( ) A.1个 B.2个 C.3个 D.4个 【答案】C 【详解】解: 四边形 为正方形, , , , , , , ,故①正确; , , , , , ,故②正确; 过点 作 的延长线于点 ,如图所示,, , , , , , , , , , ,故③错误; , , , , ,故④正确;综上所述,正确的有 个,故选:C. 7.(24-25八年级下·湖北十堰·期末)如图,透明的圆柱形容器(容器厚度忽略不计)的高为 ,底面周 长为 ,在容器内壁离容器底部 的点B处有一饭粒,此时一只蚂蚁正好在容器外壁,且离容器上 沿 的点A处,则该蚂蚁要吃到饭粒需爬行的最短路径长是( ) A. B. C. D. 【答案】C 【详解】解:如图:将容器侧面展开,作A关于EF的对称点A′,连接A′B,则A′B即为最短距离, ∵高为 ,底面周长为 ,在容器内壁离容器底部 的点B处有一饭粒, 此时蚂蚁正好在容器外壁,离容器上沿 与饭粒相对的点A处, ∴ , , ,∴ . 故选:C.8.(24-25八年级下·福建厦门·期末)如图,是用4个全等的直角三角形与1个小正方形镶嵌而成的正方形 图案,已知大正方形面积为49,小正方形面积为4,若用x,y表示直角三角形的两直角边 ( ),下列 四个说法:① ;② ;③ ;④ .其中说法正确的结论有 .(填序 号) 【答案】① 【详解】解:根据题意,得 , , ∵ ,∴ ,∴ ,故 . 故①正确;②错误;③错误;④错误;故答案为:①. 9.(24-25八年级下·浙江温州·期中)如图, 的顶点C在等边 的边 上,点E在 的延长 线上,G为 的中点,连接 .若 ,则 的长为 . 【答案】 /2.5 【详解】解:∵四边形 是平行四边形,∴ , ∵ ,∴ ,∴ , ∵ 是等边三角形,G为 的中点,∴ ,延长 交 于点H,∵ ,∴ ,在 和 中, , ∴ ,∴ ,∵ ,∴ , ∵ ,∴ 是等边三角形, ∴ ,∴ ,故答案为: . 10.(24-25九年级下·四川成都·阶段练习)如图,将矩形 沿EF折叠,使点D落在点B处,P为折痕 上的任意一点,过点P作 ,垂足分别为G,H,若 , ,则 . 【答案】8 【详解】解:如图,过点E作 于Q,连接 , ∵四边形 是矩形,∴ ,∴ , 由折叠可得, ,∴ ,∴ , ∵ 、 ,∴ , ∵ ,∴ ,∵四边形 是长方形,∴ , . ∵ , ,∴ . 由折叠易知, , , ,∴ ∴ .∴ .故答案为:8. 11.(24-25八年级上·浙江宁波·期中)如图,P是等边三角形ABC内一点,且PA=4,PB=2 ,PC= 2,以下五个结论:①∠BPC=120°;②∠APC=120°;③S ABC=14 ;④AB= ;⑤点P到△ABC △ 三边的距离分别为PE,PF,PG,则有PE+PF+PG= AB,其中正确的有 . 【答案】②④⑤ 【详解】如图,将△APC绕点A顺时针旋转60°,得到△AHB,连接HP, ∴△APC△AHB,∠HAP=60°,∴AH=AP=4,BH=PC=2,∠AHB=∠APC, ∴△AHP是等边三角形,∴HP=4,∠AHP=∠APH=60°, ∵HP2=16,BH2+BP2=16,∴HP2=BH2+BP2,∴∠HBP=90°, ∵HB= HP,∴∠HPB=30°,∴∠BHP=60°,∠APB=∠HPB+∠APH=90°, ∴∠AHB=∠AHP+∠BHP=120°=∠APC,∴∠BPC=360°−∠APB−∠APC=150°, 故①不符合题意,②符合题意, ∵∠APB=90°,∴AB= ,∴S = , ABC △ 故③不合题意,④符合题意,如图,∵S = AB×PG+ AC×PF+ BC×PE=7 ,∴ × ×(PG+PF+PE)=7 ABC △ ∴PG+PF+PE= = AB,故⑤符合题意,故答案为:②④⑤. 12.(24-25九年级上·四川广元·期中)在平面直角坐标系中设两个点A、B坐标分别为 , 则A和B两点之间的距离为: .小明遇到如下问题:求 的最小值,聪明的你认为答案是 . 【答案】5 【详解】解: , ∵把式 看成点 到两点 和 的距离之和, 作点 关于 轴的对称点 ,连接 交 轴于点 ,此时 的值最小,最小值为 的长, ,即 的最小值为5,故答案为:5. 13.(24-25八年级上·广东佛山·期末)如图,在 中, , , , 是 是的平分线, 是线段 上一点, 是线段 上一点,则 的最小值为 .【答案】 【详解】解:如图所示,作 关于 的对称点 ,∴ , ∵ 是 是的平分线,∴ 在 上, ,∴ , 当 时, 取得最小值,过点 作 于点 ,则 的长,即为 的最小值, ∵在 中, , , ,∴ , ∵ ,∴ ,故答案为: . 14.(24-25八年级上·河南新乡·期末)如图,在 中, , 的垂直平分线交 于点 ,交 于点 ,连接 , , 的周长为18.若点 在直线 上,连接 、 ,则 , 的最大值为 . 【答案】 8 8 【详解】解:∵ 的垂直平分线交 于点F,交 于点E,∴ , ∵ 的周长是18, ,∴ 的周长 ,点P在直线 上,如图,连接 , ∵点P在 的垂直平分线 上,∴ ,∴ , 故 的最大值为8,此时点P是直线 与直线 的交点.故答案为:8,8. 15.(24-25八年级下·贵州遵义·期中)如图,四边形 中, , 在 上分别找一点M、N,使 周长最小,则最小值为 . 【答案】 【详解】解:作A关于 和 的对称点 ,连接 ,交 于 ,交 于 ,则 即为 的周长最小值,作 交 的延长线于 ,∴ , ∵ ,∴ ,在 中,∵ , ∴ , ,∴ , ,在 中, , ∴ 周长的最小值 .故答案为: . 16.(2024·和平区·八年级期末)如图, ,点M,N分别是边 , 上的定点,点P,Q分 别是边 , 上的动点,记 , ,当 的值最小时, 的大小=___ (度). 【答案】50 【详解】作M关于OB的对称点 ,N关于OA的对称点 ,连接 ,交OB于点P,交OA于点Q, 连接MP,QN,如图所示.根据两点之间,线段最短,可知此时 最小,即 , ∴ , ∵ ,∴ , ∵ , ,∴ , ∴ .故答案为:50.17.(24-25八年级下·广东江门·阶段练习)如图,在长方形 中, , ,将长方形 折叠,使点B与点D重合,折痕为 ,则 . 【答案】 【详解】解:设 ,则 , 又 ∵在 中 ,即 ,解得 .故答案为: . 18.(24-25八年级上·广东深圳·阶段练习)如图所示,在 中, ,将 沿着 翻折,使 点落在边 上的点 处. , ,则 的长为 . 【答案】 / 【详解】解:在 中, , , , 折叠, 点落在边 上的点 处, , , , ,设 ,则 , , 在 中, ,即 ,解得 , ,故答案为:19.(24-25八年级上·浙江绍兴·期中)如图,在四边形 中, 是对角线, 是等边三角形. , ,则 的长为 . 【答案】3.2 【详解】解: 是等边三角形 如图,将 绕点 顺时针旋转 ,点 为点 的对应点,连接 点 为点 旋转后的对应点;由旋转的性质得: , 是等边三角形 则在 中 故答案为:3.2 20.(24-25八年级下·内蒙古赤峰·阶段练习)如图,长宽高分别为3、2、1的长方体木块上有一只小虫从顶 点 出发沿着长方体的外表面爬到顶点 ,则它爬行的最短路程是 . 【答案】 【详解】解:由题意有以下路线 路线一,如图1,路线二,如图2, 路线三,如图3, ∵ ,∴最短距离为 .故答案为: . 21.(24-25八年级下·广东·假期作业)如图,一只蚂蚁从楼梯上的点 处沿楼梯台阶的表面爬到点 处,它 爬行的最短距离为 m. 【答案】 【详解】解:该楼梯的水平长度为 ,将楼梯台阶表面展开,如图: 则 , , ∴在 中, , ∴蚂蚁爬行的最短距离为 .故答案为: 22.(24-25上·山东·八年级统考期中)如图,在 中, ,D是 边上一点, 垂直平分 ,交 于点E,交 于点F,连接 .(1)说明: ;(2)若 ,求 的度数.【答案】(1)见详解(2) 【详解】(1)证明:∵ 垂直平分 , (2)解:∵ , 平分 23.(24-25上·湖南衡阳·八年级校考阶段练习)已知:如图, 的角平分线与 的垂直平分线 交 于点 , , ,垂足分别为 , . (1)求证: ;(2)若 , ,求 的周长. 【答案】(1)见解析(2) 【详解】(1)证明:连接 , ∵D在 的中垂线上,∴ ,∵ , , 平分 , ∴ , ,∴ ,∴ ;(2)∵ 平分 ,∴ ,∵ , ,∴ , 又∵ ,∴ ,∴ ,由(1)可知 , ∴ 的周长为: . 24.(24-25八年级上·山东滨州·期末)如图所示,直线 交 轴于点 ,交 轴于点 满 足 .(1)求点 、 的坐标;(2)如图1,若 的坐标为 ,且 于点 交 于点 .①求证: .②试求点 的坐标.(3)如图2,若点 为 的中点,点 为 轴正半轴上一动点,连接 ,过 作 交 轴于 点,当 点在 轴正半轴上运动的过程中, 式子 的值是否发生改变?如发生改变,求出该式子的值的变化范围;若不改变,求该式子的 值. 【答案】(1)点 的坐标为 ,点 的坐标为 (2)①见解析;② (3) 的值不发生改变,等于4 【详解】(1)解: ; ; 点 的坐标为 ,点 的坐标为 ; (2)①证明: 点 的坐标为 ,点 的坐标为 , , , , , , , 在 和 中, , ; ②解: , , 点 的坐标为 ;(3)解: 的值不发生改变,等于4,理由如下:如图,连接 , 为 的中点, , , , , , , 在 与 中, , , . 25.(24-25八年级上·四川成都·期末)已知 中, , ,直角 的顶点 为 斜边 上的一个动点,直角的两边分别交线段 、 于 、 两点. 图1 图2 图3 (1)如图1,当 ,且 时,求 的长度; (2)如图2,当 时,求证: ; (3)如图3,在(2)的条件下,将直角 绕点 旋转,点 是 的中点,连接 ,过一点 作 ,垂足为 ,交 于 ;当线段 最短时,求三角形 的面积. 【答案】(1) ;(2)见解析;(3) . 【详解】(1)解:∵ , ,∴ , , ∵ ,∴ ,∵ ,∴ ,∴ ,∴ , ∵ ,∴ 即 ,解得 ; (2)证明∶连接 ,如图 . ∵ , , ∴ , , ,∴ , ∵ ,∴ , 在 和 中, ∴ ,∴ ; (3)解:由( )知 ,∵D是 中点,∴ , ∴当 时,线段 最短,∵ , ,∴四边形 是矩形, ∵ ,∴四边形 是正方形,∴ , ∵ ,∴ ,∴ , ∵ ,∴ ,∵ ,∴ , ∵ ,∴ ,∴ ,∴ , ∵ ,∴ , ∴ ,∴ . 26.(24-25八年级下·广东深圳·期中)【综合与实践学习】阅读下面的证明过程:如图1, 、 和 都是直角三角形,其中 ,且直角顶点都在直线l上,求证: . 证明:由题意, , .∴ .在 和 中, ,∴ . 像这种“在一条直线上有三个直角顶点”的几何图形,我们一般称其为“一线三垂直”图形,随着几何学 习的深入,我们还将对这类图形有更深入的探索.请结合以上阅读,解决下列问题: (1)如图2,在 中, , ,过点A作直线 , 于点D, 于点 E,探索 、 、 之间的数量关系,并证明你的结论. (2)如图3,在一款名为超级玛丽的游戏中,玛丽到达一个高为12米的高台A,利用旗杆顶部的绳索,划过 到达与高台A水平距离为18米,高为4米的矮台B,请写出旗杆 的高度是 .(不必书写解题过 程) (3)如图4, 和 都是等腰直角三角形, , , ,且点E在 上,连接 ,思考: 与 之间有什么样的数量关系?请证明你的猜想. 【答案】(1) ,理由见解析(2) 米(3) 【详解】(1)解: ,理由如下:∵ ,∴ , ∵ , ,∴ , ,∴ , ∵ ,∴ ,∴ , ,∴ ; (2)过A作 ,过B作 ,如图: 同理可证 ,∴ , ,由题意知 , ,∴ , ∵ ,即 ,∴ ,∴ ,∴ (米). (3)证明:过D作 交 的延长线于点F,如图: ∵ ,∴ , , ∴ ,而 ,∴ , ∴ , ,∴ ,∴ ,∵ ,∴ . 27.(24-25八年级上·河南开封·阶段练习)小华阅读了华师大课本第119页阅读材料“美丽的勾股树”的主 题内容后,深受启发,于是,他又对 进行了一系列的探究,猜想,验证和运用,请 你和他一起完成下面的探究. (1)观察猜想:①如图1,将 放置在边长为1的正方形网格中,则 , , 之间的关系是______; ②如图2,以 的三边向外作等边三角形 , , ,则 , , 之间的关系是 ______; (2)探究论证:如图3,以 的三边为直径向外作半圆,若 , , ,则判断在(1) 中发现的 , , 之间的关系是否还成立,并说明理由. (3)拓展应用:如图4,以 的三边为直径向外作半圆,已知阴影部分的面积为8,请直接写出 的面积. 【答案】(1)① ;② ;(2) 还成立,理由见解析(3)8 【详解】(1)解:① ,理由如下:由网格可知: ,∴ 之间的关系是 ,故答案为: ; ② ,理由如下:∵ , ∴ ;故答案为: ; (2)解: 还成立,理由如下: ∵ , , , , ∴ ;∴ ; (3)解:∵图中阴影部分的面积 , ,∴ . 28.(24-25八年级下·江西赣州·阶段练习)一数学兴趣小组探究勾股定理在折叠中的应用,如图,将一张 长方形纸片 放在平面直角坐标系中,点A与原点O重合,顶点B、D分别在x轴、y轴上, , ,P为边 上一动点,连接 ,将 沿 折叠,点C落在点 处. (1)如图1,连接 ,当点 在线段 上时,求点P的坐标. (2)如图2,当点P与点D重合时,沿 将 折叠得 , 与x轴交于点E,求 的面 积. (3)是否存在点P,使得点 到长方形的两条较长边的距离之比为 ?若存在,直接写出点P的坐标;若 不存在,请说明理由. 【答案】(1)点P的坐标为 (2) (3)点P的坐标为 或 【详解】(1)∵ , , ∴ ∵将 沿 折叠,点C落在点 处∴ , ,∴ 设 ,则 ∴在 中, ∴ 解得 ∴ ∴ ∴点P的坐标为 ; (2)∵ ∴ ∵沿 将 折叠得 ,∴ ∴ ∴ 设 ,则 ∴在 中, ∴ 解得 ∴ ∴ 的面积 ; (3)如图所示,过点C作 交 于点E,交 于点F, ∵ , ∴ ∴四边形 是长方形∴ 当 时,∴ , 由折叠得, ∴ ∴ ∴设 ,则 ∴在 中, ∴ 解得 ∴ ∴ ∴点P的坐标为 ; 当 时,∴ , 由折叠得, ∴ ∴ ∴设 ,则 ∴在 中, ∴ 解得 ∴∴ ∴点P的坐标为 ; 综上所述,点P的坐标为 或 .