当前位置:首页>文档>专题09反比例函数(解析版)_北师大初中数学_9上-北师大版初中数学_05习题试卷_5专项练习_专题09反比例函数-2023-2024学年九年级数学上学期期中期末挑战满分冲刺卷(北师大版)

专题09反比例函数(解析版)_北师大初中数学_9上-北师大版初中数学_05习题试卷_5专项练习_专题09反比例函数-2023-2024学年九年级数学上学期期中期末挑战满分冲刺卷(北师大版)

  • 2026-04-12 22:25:52 2026-04-12 22:25:52

文档预览

专题09反比例函数(解析版)_北师大初中数学_9上-北师大版初中数学_05习题试卷_5专项练习_专题09反比例函数-2023-2024学年九年级数学上学期期中期末挑战满分冲刺卷(北师大版)
专题09反比例函数(解析版)_北师大初中数学_9上-北师大版初中数学_05习题试卷_5专项练习_专题09反比例函数-2023-2024学年九年级数学上学期期中期末挑战满分冲刺卷(北师大版)
专题09反比例函数(解析版)_北师大初中数学_9上-北师大版初中数学_05习题试卷_5专项练习_专题09反比例函数-2023-2024学年九年级数学上学期期中期末挑战满分冲刺卷(北师大版)
专题09反比例函数(解析版)_北师大初中数学_9上-北师大版初中数学_05习题试卷_5专项练习_专题09反比例函数-2023-2024学年九年级数学上学期期中期末挑战满分冲刺卷(北师大版)
专题09反比例函数(解析版)_北师大初中数学_9上-北师大版初中数学_05习题试卷_5专项练习_专题09反比例函数-2023-2024学年九年级数学上学期期中期末挑战满分冲刺卷(北师大版)
专题09反比例函数(解析版)_北师大初中数学_9上-北师大版初中数学_05习题试卷_5专项练习_专题09反比例函数-2023-2024学年九年级数学上学期期中期末挑战满分冲刺卷(北师大版)
专题09反比例函数(解析版)_北师大初中数学_9上-北师大版初中数学_05习题试卷_5专项练习_专题09反比例函数-2023-2024学年九年级数学上学期期中期末挑战满分冲刺卷(北师大版)
专题09反比例函数(解析版)_北师大初中数学_9上-北师大版初中数学_05习题试卷_5专项练习_专题09反比例函数-2023-2024学年九年级数学上学期期中期末挑战满分冲刺卷(北师大版)
专题09反比例函数(解析版)_北师大初中数学_9上-北师大版初中数学_05习题试卷_5专项练习_专题09反比例函数-2023-2024学年九年级数学上学期期中期末挑战满分冲刺卷(北师大版)
专题09反比例函数(解析版)_北师大初中数学_9上-北师大版初中数学_05习题试卷_5专项练习_专题09反比例函数-2023-2024学年九年级数学上学期期中期末挑战满分冲刺卷(北师大版)
专题09反比例函数(解析版)_北师大初中数学_9上-北师大版初中数学_05习题试卷_5专项练习_专题09反比例函数-2023-2024学年九年级数学上学期期中期末挑战满分冲刺卷(北师大版)
专题09反比例函数(解析版)_北师大初中数学_9上-北师大版初中数学_05习题试卷_5专项练习_专题09反比例函数-2023-2024学年九年级数学上学期期中期末挑战满分冲刺卷(北师大版)
专题09反比例函数(解析版)_北师大初中数学_9上-北师大版初中数学_05习题试卷_5专项练习_专题09反比例函数-2023-2024学年九年级数学上学期期中期末挑战满分冲刺卷(北师大版)
专题09反比例函数(解析版)_北师大初中数学_9上-北师大版初中数学_05习题试卷_5专项练习_专题09反比例函数-2023-2024学年九年级数学上学期期中期末挑战满分冲刺卷(北师大版)
专题09反比例函数(解析版)_北师大初中数学_9上-北师大版初中数学_05习题试卷_5专项练习_专题09反比例函数-2023-2024学年九年级数学上学期期中期末挑战满分冲刺卷(北师大版)
专题09反比例函数(解析版)_北师大初中数学_9上-北师大版初中数学_05习题试卷_5专项练习_专题09反比例函数-2023-2024学年九年级数学上学期期中期末挑战满分冲刺卷(北师大版)
专题09反比例函数(解析版)_北师大初中数学_9上-北师大版初中数学_05习题试卷_5专项练习_专题09反比例函数-2023-2024学年九年级数学上学期期中期末挑战满分冲刺卷(北师大版)
专题09反比例函数(解析版)_北师大初中数学_9上-北师大版初中数学_05习题试卷_5专项练习_专题09反比例函数-2023-2024学年九年级数学上学期期中期末挑战满分冲刺卷(北师大版)
专题09反比例函数(解析版)_北师大初中数学_9上-北师大版初中数学_05习题试卷_5专项练习_专题09反比例函数-2023-2024学年九年级数学上学期期中期末挑战满分冲刺卷(北师大版)
专题09反比例函数(解析版)_北师大初中数学_9上-北师大版初中数学_05习题试卷_5专项练习_专题09反比例函数-2023-2024学年九年级数学上学期期中期末挑战满分冲刺卷(北师大版)
专题09反比例函数(解析版)_北师大初中数学_9上-北师大版初中数学_05习题试卷_5专项练习_专题09反比例函数-2023-2024学年九年级数学上学期期中期末挑战满分冲刺卷(北师大版)
专题09反比例函数(解析版)_北师大初中数学_9上-北师大版初中数学_05习题试卷_5专项练习_专题09反比例函数-2023-2024学年九年级数学上学期期中期末挑战满分冲刺卷(北师大版)
专题09反比例函数(解析版)_北师大初中数学_9上-北师大版初中数学_05习题试卷_5专项练习_专题09反比例函数-2023-2024学年九年级数学上学期期中期末挑战满分冲刺卷(北师大版)
专题09反比例函数(解析版)_北师大初中数学_9上-北师大版初中数学_05习题试卷_5专项练习_专题09反比例函数-2023-2024学年九年级数学上学期期中期末挑战满分冲刺卷(北师大版)
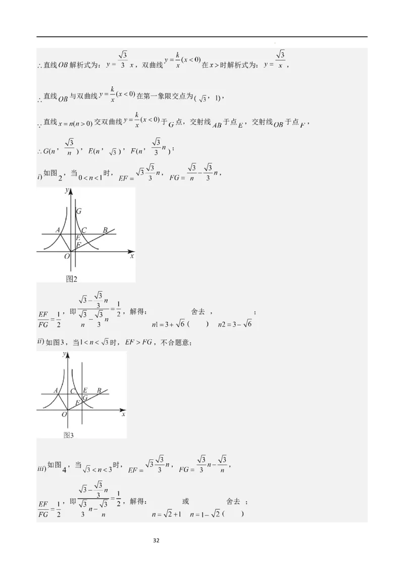
专题09反比例函数(解析版)_北师大初中数学_9上-北师大版初中数学_05习题试卷_5专项练习_专题09反比例函数-2023-2024学年九年级数学上学期期中期末挑战满分冲刺卷(北师大版)
专题09反比例函数(解析版)_北师大初中数学_9上-北师大版初中数学_05习题试卷_5专项练习_专题09反比例函数-2023-2024学年九年级数学上学期期中期末挑战满分冲刺卷(北师大版)
专题09反比例函数(解析版)_北师大初中数学_9上-北师大版初中数学_05习题试卷_5专项练习_专题09反比例函数-2023-2024学年九年级数学上学期期中期末挑战满分冲刺卷(北师大版)
专题09反比例函数(解析版)_北师大初中数学_9上-北师大版初中数学_05习题试卷_5专项练习_专题09反比例函数-2023-2024学年九年级数学上学期期中期末挑战满分冲刺卷(北师大版)
专题09反比例函数(解析版)_北师大初中数学_9上-北师大版初中数学_05习题试卷_5专项练习_专题09反比例函数-2023-2024学年九年级数学上学期期中期末挑战满分冲刺卷(北师大版)
专题09反比例函数(解析版)_北师大初中数学_9上-北师大版初中数学_05习题试卷_5专项练习_专题09反比例函数-2023-2024学年九年级数学上学期期中期末挑战满分冲刺卷(北师大版)
专题09反比例函数(解析版)_北师大初中数学_9上-北师大版初中数学_05习题试卷_5专项练习_专题09反比例函数-2023-2024学年九年级数学上学期期中期末挑战满分冲刺卷(北师大版)
专题09反比例函数(解析版)_北师大初中数学_9上-北师大版初中数学_05习题试卷_5专项练习_专题09反比例函数-2023-2024学年九年级数学上学期期中期末挑战满分冲刺卷(北师大版)
专题09反比例函数(解析版)_北师大初中数学_9上-北师大版初中数学_05习题试卷_5专项练习_专题09反比例函数-2023-2024学年九年级数学上学期期中期末挑战满分冲刺卷(北师大版)
专题09反比例函数(解析版)_北师大初中数学_9上-北师大版初中数学_05习题试卷_5专项练习_专题09反比例函数-2023-2024学年九年级数学上学期期中期末挑战满分冲刺卷(北师大版)
专题09反比例函数(解析版)_北师大初中数学_9上-北师大版初中数学_05习题试卷_5专项练习_专题09反比例函数-2023-2024学年九年级数学上学期期中期末挑战满分冲刺卷(北师大版)
专题09反比例函数(解析版)_北师大初中数学_9上-北师大版初中数学_05习题试卷_5专项练习_专题09反比例函数-2023-2024学年九年级数学上学期期中期末挑战满分冲刺卷(北师大版)
专题09反比例函数(解析版)_北师大初中数学_9上-北师大版初中数学_05习题试卷_5专项练习_专题09反比例函数-2023-2024学年九年级数学上学期期中期末挑战满分冲刺卷(北师大版)

文档信息

文档格式
docx
文档大小
1.719 MB
文档页数
33 页
上传时间
2026-04-12 22:25:52

文档内容

专题09 反比例函数 一、单选题 1.下列函数中,是反比例函数的是( ) A. B. C. D. 【答案】C 【分析】根据反比例函数的定义,逐项判断即可求解. 【解析】解:A、 不是反比例函数,故本选项不符合题意; B、 不是反比例函数,故本选项不符合题意; C、 是反比例函数,故选项符合题意; D、 不是反比例函数,故本选项不符合题意; 故选:C. 【点睛】本题考查了反比例函数的定义,熟练掌握反比例函数的一般式是 是解题的关键. 2.若反比例函数 的图象经过点 ,则它的图象一定还经过点( ) A. B. C. D. 【答案】C 【分析】根据反比例函数 中,系数k=xy解答即可. 【解析】解:∵反比例函数 的图象经过点(3,-4), ∴k-1=3×(-4)=-12, 符合题意的只有C:k-1=-12×1=-12. 故选:C. 【点睛】本题考查了反比例函数 图象上点的坐标特征,关键是熟练运用k=xy解决问题. 3.关于反比例函数 的图象,下列说法正确的是( ) A. 随着 的增大而增大 B.图象分布在一三象限 1C.当 时, D.若 在该图象上,则 也在该图象上 【答案】D 【分析】根据反比例函数的性质即可逐一分析找出正确选项. 【解析】解: 中, , (1)在每个象限内, 随 的增大而增大,故A错误, (2)图象分布在二、四象限,故B错误, (3)当 时, ;当 时, ,故C错误, (4)图象关于原点对称,故若 在该图象上,则 也在该图象上,故D正确, 故选:D. 【点睛】本题考查反比例函数的性质,准确理解反比例函数的性质是解题关键,可结合图象更易于分析. 4.若点 , , 在反比例函数 ( 是常数)的图像上,则 , , 的大小关系是( ) A. B. C. D. 【答案】A 【分析】由-m2-1<0可知,反比例函数 (m是常数)的图象在第二、四象限,在每一象限内y 随x的增大而增大;由-2<0,-3<0可知A,B在第四象限,且x>x>0,由2>0可知:C在第二象限, 1 2 x<0,综上所述,结论可得. 3 【解析】解:∵-m2-1<0, ∴反比例函数 (m是常数)的图象在第二、四象限,在每一象限内y随x的增大而增大. ∵-2<0,-3<0, ∴A,B在第四象限,且x>x>0. 1 2 ∵2>0, ∴C在第二象限. ∴x<0. 3 ∴x>x>x. 1 2 3 2故选:A. 【点睛】本题主要考查了反比例函数的性质,反比例函数图象上点的坐标的特征.熟记反比例函数图象的 性质并熟练运用是解题的关键. 5.一次函数y=kx+b和反比例函数y= (k•k≠0)的图象如图所示,若y>y,则x的取值范围是 1 1 2 1 2 1 2 ( ) A.﹣2<x<0或x>1 B.﹣2<x<1 C.x<﹣2或x>1 D.x<﹣2或0<x<1 【答案】D 【分析】根据函数图象,写出一次函数图象在反比例函数图象上方所对应的自变量的范围即可. 【解析】解:由图可知,当y>y, 的取值范围为x<﹣2或0<x<1. 1 2 故选D. 【点睛】本题考查了反比例函数与一次函数的交点问题,解题的关系是根据函数图象的位置关系确定x的 取值范围. 6.在一个可以改变体积的密闭容器内装有一定质量的气体,当改变容器的体积时,气体的密度也会随之 改变,密度 是体积 的反比例函数,它的图象如图所示,当气体的密度为 时, 体积是( ) . A.1 B.2 C.4 D.8 【答案】A 3【分析】根据图象求出反比例函数解析式,再代入求值即可. 【解析】解:∵密度 是体积 的反比例函数, ∴设解析式为 ,把 代入得, , 解得, ,解析式为 , 把 代入得, , 解得, , 故选:A. 【点睛】本题考查了反比例函数的应用,解题关键是根据图象上的坐标,求出反比例函数解析式. 7.关于x的函数 和 ,它们在同一坐标系内的图像大致是( ) A. B. C. D. 【答案】A 【分析】首先根据反比例函数图象所经过的象限判断出k的符号;然后由k的符号判定一次函数图象所经 过的象限,图象一致的选项即为正确选项. 【解析】解:A、反比例函数 (k≠0)的图象经过第一、三象限,则k>0.所以一次函数y=kx-k的图 象经过第一、三象限,且与y轴交于负半轴.故本选项正确; 4B、反比例函数 (k≠0)的图象经过第一、三象限,则k>0.所以一次函数y=kx-k的图象经过第一、 三象限,且与y轴交于负半轴.故本选项错误; C、反比例函数 (k≠0)的图象经过第二、四象限,则k<0.所以一次函数y=kx-k的图象经过第二、 四象限,且与y轴交于正半轴.故本选项错误; D、反比例函数 (k≠0)的图象经过第一、三象限,则k>0.所以一次函数y=kx-k的图象经过第一、 三象限,且与y轴交于负半轴.故本选项错误; 故选A. 【点睛】本题考查反比例函数与一次函数的图象特点:①反比例函数 的图象是双曲线;②当k>0时, 它的两个分支分别位于第一、三象限;③当k<0时,它的两个分支分别位于第二、四象限. 8.如图,菱形AOBC的边BO在x轴正半轴上,点A(2, ),反比例函数 图象经过点C,则k的值 为( ) A.12 B. C. D. 【答案】C 【分析】根据题意可求出菱形的边长.再根据边BO在x轴正半轴上,即可判断 轴,从而可求出C 点坐标,代入反比例函数解析式求解即可. 【解析】解:∵点A(2, ), ∴ , ∴菱形的边长为4,即 . ∵边BO在x轴正半轴上, ∴ 轴, 5∴ , , ∴C(6, ). 将C(6, )代入 ,得: 解得: . 故选C. 【点睛】本题考查两点的距离公式,菱形的性质,坐标与图形以及求反比例函数解析式.利用数形结合的 思想是解题关键. 9.点P,Q,R在反比例函数 图象上的位置如图所示,分别过这三个点作x轴,y轴的平行线.图中 所构成的阴影部分面积从左到右依次为 , , .若 ,则 的值为( ) A.10 B.12 C.14 D.16 【答案】B 【分析】由 得到四边形 的面积 ,四边形 的面积 ,再由反比例函数比例 系数的几何意义即可得到 . 【解析】解:∵ , ∴四边形 的面积 ,四边形 的面积 , ∵点P,Q,R在反比例函数 图象上 ∴ , 6故选B. 【点睛】本题主要考查了反比例函数关系式中k的几何意义,即反比例函数图象上的任意一点向坐标轴作 垂线得到矩形的面积是 . 10.如图.矩形 的顶点 在反比例函数 ( , )的图象上,点 、 分别是矩形的边 , 上的动点,直线 分别交 轴、 轴于 , 两点.现给出如下命题:①若点 、 恰同在反 比例函数 ( )的图象上,则 ;② ;③ .其 中结论正确的个数是( ) A.0 B.1 C.2 D.3 【答案】B 【解析】作 于 , 于 ,如图,根据反比例函数图象上点的坐标特征可设 ,则 的纵坐标为 , 点的横坐标为 ,得出 , , ,根据 ;故①正确;证得 ,但无法证得 ,故 与 不一定全等,故②错误;假设 、 分别是 、 的中点时,则 ,故③错误. 7【解答】解:作 于 , 于 ,如图, 设 ,则 的纵坐标为 , 点的横坐标为 , 、 点在反比例函数 的图象上, , , , ;故①正确; 四边形 是矩形, , , , , , , 无法证得 , 与 不一定全等,故②错误; 点 、 分别是矩形的边 , 上的动点, 假设 、 分别是 、 的中点时,则 ,故③错误; 故选:B. 【点睛】本题是四边形的综合题,考查了反比例函数图象上点的坐标特征和矩形的性质;相似三角形的判 定与性质,全等三角形的判定和性质,用 表示出 、 两点的坐标,再根据三角形的面积公式求解是解 答此题的关键. 二、填空题 11.若函数 是 关于 的反比例函数,则 的值为 . 8【答案】1 【分析】根据反比例函数的定义可得关于m的一元一次方程,解方程求出m的值即可得答案. 【解析】∵函数 是 关于 的反比例函数, ∴ , 解得:m=1, 故答案为:1 【点睛】本题考查反比例函数的定义,熟练掌握定义是解题关键. 12.若反比例函数 的图象位于第二、四象限,则k的取值范围是 . 【答案】 【分析】根据反比例函数 的性质: ,图象位于第一、三象限, ,图象位于第二、四象限, 可知 ,解出即可得出 的取值范围. 【解析】 反比例函数 的图象位于第二、四象限, , . 【点睛】本题考查反比例函数的性质,掌握反比例函数图像经过象限与 的关系是解题的关键. 13.如图, ,反比例函数 的图象过点B,若点A的坐标为 , ,则 . 【答案】 【分析】过点A作 轴,过点B作 轴,证明 ,求得 .据此即可求解. 【解析】解:如解图,过点A作 轴,过点B作 轴,垂足分别为C,D, 9则 , ∴ . ∵ , ∴ , ∴ , ∴ , ∴ . ∵点A的坐标为 , ∴ , ∴ , ∴ ,即 , ∴ . ∵反比例函数 的图象经过点B, ∴k的值为 . 故答案为: . 【点睛】本题考查了求反比例函数的解析式,相似三角形的判定和性质,证明 是解题的关 键. 14.如图,正比例函数 ,一次函数 和反比例函数 的图象在同一直角坐标系中,若 10,则自变量 的取值范围是 . 【答案】 或 【分析】根据图象,找出双曲线 落在直线 上方,且直线 落在直线 上方的部分对应的自变量x的取 值范围即可. 【解析】解:由图象可知,当 或 时,双曲线 落在直线 上方,且直线 落在直线 上方, 即 , 所以若 ,则自变量x的取值范围是 或 . 故答案为: 或 . 【点睛】本题考查了反比例函数与一次函数的交点问题,利用数形结合是解题的关键. 15.有6张正面分别标有数字﹣2,﹣1,0,1,2,3的卡片,他们除了数字不同外,其余全部相同.现将 他们背面朝上,洗匀后从中随机抽取一张,记卡片上的数字为k,则使反比例函数y= 的图象分布在 第二、四象限的概率为 . 【答案】 【分析】若双曲线y= 过二、四象限,利用反比例函数的性质得出k>1,求得符合题意的数字为2, 113,再利用随机事件的概率=事件可能出现的结果数÷所有可能出现的结果数即可求出结论. 【解析】解:∵双曲线y= 过二、四象限, ∴1- k<0,即k>1 ∴ 符合题意的数字为2,3, ∴该事件的概率为 , 故答案为: . 【点睛】本题考查了概率公式,利用反比例函数的性质,找出使得事件成立的k的值是解题的关键. 16.如图,点 是反比例函数 图象在第一象限上的一点,连接 并延长交图象的另一分支于点 , 延长 至点 ,过点 作 轴,垂足为 ,交反比例函数图象于点 .若 , 的面积为 9,则 . 【答案】3 【分析】过B作 轴于G,过A作 轴于H,连接 ,设 ,得到 ,求得 ,根据相似三角形的性质得到 ,根据三角形的面积公式列方程即可得到结论. 【解析】解:如图,过B作 轴于G,过A作 轴于H,连接 , 12设 , ∵ 轴, , ∴ , ∵点E在反比例函数图象上, ∴ , ∵ 轴, 轴, ∴ , ∴ , ∴ , ∵ , ∴ , ∴ , ∵点A与点B关于原点对称, ∴ , ∵ 的面积为9, ∴ , ∴ , ∴ . 13故答案为:3. 【点睛】本题考查了反比例函数系数k的几何意义,反比例函数图象上点的坐标特征,相似三角形的判定 和性质,正确的作出辅助线故选相似三角形是解题的关键. 17.将反比例函数y=- 作如下变换:令 = 代入y=- 中,所得的函数值记为 , 又将 = + 1代入函数中,所得函数值为 ,再将 = +1代入函数…,如此循环, = 【答案】2 【分析】算出每一个x值和y值,找到其中的规律即可解答. 【解析】将 代入 中,得: , ∴ , 将 代入 中,得: , ∴ , 将 代入 中,得: , ∴ , 将 代入 中,得: , …… 所以可知y的值每三个为一个循环, ∵2021÷3=673……2, ∴ . 故答案为: . 【点睛】本题考查求反比例函数值,求出每一个反比例函数值再找出其规律,再归纳总结是解答本题的关 键. 18.如图,四边形 是平行四边形,对角线 在y轴正半轴上,位于第一象限的点A和第二象限内 14的点C分别在双曲线 和 的一支上,分别过点A、C作x轴的垂线,垂足分别为M和N,则有 以下的结论: ①阴影部分的面积为 ; ②若B点坐标为 ,A点坐标为 ,则 ; ③当 时, ; ④若 是菱形,则两双曲线既关于x轴对称,也关于y轴对称. 其中正确的结论是 (填写正确结论的序号). 【答案】②④ 【分析】作 轴于点 , 轴于点 ,①由 , ,得到 ;②由平行四边形的性质求得点 的坐标,根据反比例函数图象 上点的坐标特征求得系数 的值.③当 ,得到四边形 是矩形,由于不能确定 与 相等,则不能判断 ,所以不能判断 ,则不能确定 ;④若 是菱形,根 据菱形的性质得 ,可判断 ,则 ,所以 ,即 ,根据反比 例函数的性质得两双曲线既关于 轴对称,也关于 轴对称. 【解析】解:作 轴于 , 轴于 ,如图, ① , , , 而 , , 15,故①错误; ② 四边形 是平行四边形, 点坐标为 , 点坐标为 , 的坐标为 . . 又 点 位于 上, .故②正确; ③当 , 四边形 是矩形, 不能确定 与 相等, 而 , 不能判断 , 不能判断 , 不能确定 ,故③错误; ④若 是菱形,则 , 而 , , , , , 两双曲线既关于 轴对称,也关于 轴对称,故④正确. 故答案是:②④. 【点睛】本题属于反比例函数的综合题,考查了反比例函数的图象、反比例函数k的几何意义、平行四边 形的性质、矩形的性质和菱形的性质.注意准确作出辅助线是解此题的关键. 三、解答题 1619.用函数解析式表示下列问题中变量间的对应关系: (1)一个游泳池的容积为 ,游泳池注满水所用时间t(单位:h)随注水速度v(单位: )的 变化而变化; (2)某长方体的体积为 ,长方体的高h(单位: )随底面积S(单位: )的变化而变化; (3)一个物体重 ,物体对地面的压强p(单位: )随物体与地面的接触面积S(单位: )的变 化而变化. 【答案】(1) ;(2) ;(3) . 【分析】(1)根据游泳池的容积=游泳池注满水所用时间×注水速度解答即可; (2)根据长方体的体积=长方体的底面积×高求解即可; (3)根据物体对地面的压强=物体重量÷物体与地面的接触面积解答即可. 【解析】解:(1)根据vt=2000得:游泳池注满水所用时间 ; (2)根据1000=Sh得:长方体的高 ; (3)根据题意,物体对地面的压强 . 【点睛】本题考查反比例函数的应用,正确得出函数关系式是解答的关键. 20.已知 , 与 成正比例, 与 成反比例,当 时, ;当 时, . (1)求 与 之间的函数关系式; (2)当 时,求 的值. 【答案】(1) ;(2) 【分析】(1)设 ,则有 ,然后把当 时, ;当 时, 代入求解 即可; (2)由(1)可直接把x=3代入求解. 【解析】解:(1)设 ,由 可得: , ∴把 , 和 , 代入得: 17,解得: , ∴y与x的函数解析式为: ; (2)由(1)可把x=3代入得: . 【点睛】本题主要考查反比例函数的定义及函数解析式,熟练掌握反比例函数的定义及求函数解析式的方 法是解题的关键. 21.已知反比例函数y= (k≠0)的图象经过点A(2,-3). (1)求函数表达式; (2)当x=-4时,求函数y的值; (3)当x≤1且x≠0时,直接写出y的取值范围. 【答案】(1) ;(2) ;(3) 或 【分析】(1)利用待定系数法确定函数关系式; (2)把x=-4代入函数解析式求得相应的y值即可; (3)根据反比例函数图象的性质作答. 【解析】解:(1)∵反比例函数y= (k≠0)的图象经过点A(2,-3), ∴k=2×(-3)=-6, ∴反比例函数为y=- ; (2)当x=-4时,y=- =- = ; (3)∵k=-6<0, ∴反比例函数图象在二、四象限, 把x=1代入y=- ,得y=-6, ∴当x≤1且x≠0时,y>0或y≤-6. 18. 【点睛】本题考查了待定系数法求反比例函数的解析式,反比例函数图象和性质,反比例函数图象上点的 坐标特征,熟练掌握待定系数法是解题的关键. 22.如图,直线 与反比例函数 的图象交于 , 两点,其中点 的横坐标为4,过点 作 轴于点 ,连接 . (1)求 的面积; (2)在 轴上有一点 ,若 ,求点 的坐标; (3)直接写出关于 的不等式 的解集. 【答案】(1)4 (2)点 的坐标为 或 (3) 或 【分析】(1)根据反比例函数解析式求得点 的坐标,进而求得 的坐标,根据点 与点 关于原点对 称,求得点 的坐标,进而即可求解; (2)根据 ,得出 ,即可求解; (3)根据函数图象直接求解即可. 19【解析】(1)解:对于 ,当 时, , 点 的坐标为 . 轴于点 , 点 的坐标为 正比例函数与反比例函数的图象交于点 , , 点 与点 关于原点对称. 点 的坐标为 . . (2) , . . 点 在 轴上, 点 的坐标为 或 . (3)根据函数图象,可得关于 的不等式 的解集为 或 . 【点睛】本题考查了一次函数与反比例函数交点问题,数形结合,熟练掌握反比例函数的性质是解题的关 键. 23.如图,在平面直角坐标系中,双曲线 与直线 的交点A、B均在小正方形的顶点上(格 点),每个小正方形的边长均为1. 20(1)求k的值. (2)把直线AB向右平移5个单位,再向上平移5个单位,画出每次平移后的直线,并求出平移后这两条直 线的解析式. 【答案】(1)k=4 (2)平移后的图见解析;平移后这两条直线的解析式分别为 , 【分析】(1)根据图象可以得到A,B的坐标,把点A或点B代入双曲线 ,可以求出k值; (2)把A、B两点先向右平移5个单位,然后连接即可得出第一次平移后的直线,再把第一次平移后的两 个点再向上平移5个单位,然后连接,即可得出第一次平移后的直线,根据待定系数法求出函数的解析式 即可. 【解析】(1)解:由图可得点A的坐标为(−1,−4), 把(−1,−4)代入 中, ∴ ,解得k=4. (2)解:将点A、B向右平移5个单位得出 , ,连接 ,则直线 为所求作的第一 次平移后的直线;将 、 向上平移5个单位得出 , ,连接 ,则直线 为所求作的 第二次平移后的直线;如图所示: 21设直线 的解析式为 ,把 , 代入得: ,解得: , ∴直线 的解析式为 ; 设直线 的解析式为 ,把 , ,代入得: ,解得: , ∴直线 的解析式为 . 【点睛】本题主要考查了平移变换作图,求反比例函数和一次函数解析式,作出平移后相应点的坐标,是 解题的关键. 24.心理学家研究发现,一般情况下,一节课40分钟,学生的注意力随教师讲课时间的变化而变化.学生 的注意力指数y随时间x(分)的变化规律如图所示(其中AB、BC为线段,CD为双曲线的一部分). (1)上课后的第5分钟与第30分钟相比较,_______分钟时学生的注意力更集中. (2)分别求出线段AB和双曲线CD的函数关系式. (3)一道数学题,需要讲18分钟,为了学生听课效果较好,要求学生的注意力指数不低于40,那么经过 适当的时间安排,教师能否在学生注意力达到所需状态下讲完这道题? 22【答案】(1)5;(2) ; .(3)教师能在学生注意力达到所需要求状态下讲完这 道题. 【分析】(1)(2)利用待定系数法分别求出AB和CD的函数表达式,得出第五分钟和第三十分钟的注意 力指数,最后比较判断; (3)分别求出注意力指数为40时的两个时间,再将两时间之差和18比较,大于18则能讲完,否则不能. 【解析】(1)(2)设线段AB所在的直线的解析式为y =k x+30, 1 1 把B(10,50)代入得,k =2, 1 ∴AB解析式为:y =2x+30(0≤x≤10). 1 设C、D所在双曲线的解析式为y = , 2 把C(20,50)代入得,k =1000, 2 ∴曲线CD的解析式为:y = (x≥20); 2 当x =5时,y =2×5+30=40, 1 1 当x =30时,y = , 2 2 ∴y >y 1 2 ∴第5分钟注意力更集中. 故答案为:5; (3)当 时, . . ∴ . ∴教师能在学生注意力达到所需要求状态下讲完这道题. 【点睛】此题主要考查了反比例函数的应用.解题的关键是根据实际意义列出函数关系式,从实际意义中 找到对应的变量的值,利用待定系数法求出函数解析式,再根据自变量的值求算对应的函数值. 2325.平面直角坐标系xOy中,点A、B分别在函数y= (x>0),与y=﹣ (x<0)的图象上,A、B 1 2 的横坐标分别为a、b.(a、b为任意实数) (1)若AB∥x轴,求△OAB的面积; (2)作边长为2的正方形ACDE,使AC∥x轴,点D在点A的左上方,那么,当a≥3时,CD边与函数y 1 = (x>0)的图象有交点,请说明理由. 【答案】(1)3;(2)见解析. 【分析】(1)点A、B的坐标分别为(a, )、(b,﹣ ),AB∥x轴,则 ,即可求解; (2)设点A(a, ),则点C(a﹣2, ),点D(a﹣2, ),点F(a﹣2, ),验证2﹣ FC≥0,即可求解 【解析】解:(1)A、B的横坐标分别为a、b, 则点A、B的坐标分别为(a, )、(b,﹣ ), AB∥x轴,则 , 则a=﹣b,AB=a﹣b=2a, S OAB= ×2a× =3; △ (2)如图所示: 24∵a≥3,AC=2,则直线CD在y轴右侧且平行于y轴,CD与函数图象有交点,设交点为F, 设点A(a, ),则点C(a﹣2, ),点D(a﹣2, ),点F(a﹣2, ) 则2﹣FC=2﹣ + = , ∵a≥3,∴a﹣3≥0,a﹣2>0, 故2﹣FC≥0,FC≤2, 即点F在线段CD上, 即当a≥3时,CD边与函数y= (x>0)的图象有交点. 1 【点睛】本题考查的是反比例函数和正方形的性质,该类问题最重要的就是,确定关键点如点D、F的坐 标,进而求解. 26.已知反比例函数 图象经过一、三象限. (1)判断点 在第几象限 (2)若点 , 是反比例函数 图象上的两点,试比较a,b,c的大小关系 (3)设反比例函数 ,已知 ,且满足当 时,函数 的最大值是 ;当 时,函数 的最小值是 .求x为何值时, . 【答案】(1)第二象限;(2)a>c>b;(3) 【分析】(1)由反比例函数图象经过一三象限确定 的取值范围,从而判断点 所在象限; (2)根据反比例函数的增减性及点的坐标特征进行分析判断; (3)利用反比例函数的增减性确定函数最值时 的值,从而列方程求解. 25【解析】解:(1) 反比例函数 图象经过一、三象限, , , 点 在第二象限; (2) 反比例函数 图象经过一、三象限, 在每一象限内 随 的增大而减小, 又 点 , 在反比例函数 上, 可得 , 解得:a>c>b, , , 的大小关系为:a>c>b; (3) , 反比例函数 位于第二、四象限, 在每一象限内 随 的增大而增大, 又 ,当 时,函数 的最大值是 ;当 时,函数 的最小值是 , 当 时, ;当 时, , , 解得: (不合题意,舍去)或 , 将 时, 代入 中, , , , 若 , 26, 解得: , 经检验 是原方程的解, 当 时, . 【点睛】本题考查反比例函数图像的性质,掌握反比例函数的性质利用数形结合思想解题是关键. 27.反比例函数 的图象经过点 ,点 是一次函数 图象上的一个动点,如 图所示,设点 的横坐标为 ,且满足 ,过点 分别作 轴, 轴,垂足分别为 , ,与反比例函数分别交于 , 两点,连结 , , . (1)求 的值并结合图象求出 的取值范围; (2)在点 运动过程中,若 ,求点 的坐标; (3)将 沿着直线 翻折,点 的对应点为点 ,得到四边形 ,问:四边形 能否为菱 形?若能,求出点 坐标;若不能,说明理由. 【答案】(1) , ;(2) 或 ;(3)能, 【分析】(1)先把(1,3)代入 求出k的值,再由两函数有交点求出m的值,根据函 27数图象即可得出结论; (2)设 ,则 , ,可得 ,再设 ,则 ,进而 求出 , ,将 代入 可得知 ,将 代入 可得知 ,进而求出a、b的值即可得出结论. (3)当OC=OD时,四边形O′COD为菱形,由对称性得到△AOC≌△BOD,即OA=OB,由此时P横纵坐 标相等且在直线y=−x+6上即可得出结论. 【解析】解:(1)∵反比例函数 的图象经过点 , ∴把 代入 ,解得 , ∴令 , 解得: , 由图像可知 表示一次函数图像在反比例函数图像上方的取值范围, ∴ ; (2)如图,连接OP, 设 ,则 , ∵点D在 上, 28∴ , ∵ , ∴ , ∴ , 设 ,则 , ∴ , , 在 上, ∴ ,∴ ①, 在 上,∴ ②, 解①②得 , , , , 点的坐标是 或 . (3)四边形 能为菱形, ∵当 时,四边形 为菱形, ∴由对称性得到 ,即 , ∴此时 横纵坐标相等且在直线 上,即 , 解得: ,即 . 【点睛】本题属于反比例函数综合题,考查的是反比例函数综合题,涉及到菱形的判定与性质、全等三角 形的判定与性质等知识,在解答此题时要注意利用数形结合求解. 28.已知点 在反比例函数 ( 为常数, )的图象上. 29(1)当 , 时,则 ______; (2)当点 在第二象限时,将双曲线 沿着 轴翻折,翻折后的曲线与原曲线记为曲线 ,与过 点的直线 交于点 ,连接 ,过点 作 的垂线与直线 交于点 . ①如图 ,当 时,求 值; ②如图 ,若 ,作直线 交曲线 于 点,分别交射线 ,射线 于点 、 .当 时,试求出 所有可能的值. 【答案】(1) (2)① ;②n的值为: , , 【分析】(1)将点 坐标代入解析式可求 ; (2)①设直线 与 轴交于点 ,由题意可证 ,可得 ,即可求解; ②分当 时,当 时,当 时,当 时,四种情况讨论即可. 【解析】(1)解: 点 , 在反比例函数 的图象上,且 , , ; 故答案为 . (2)①如图,设直线 与 轴交于点 , 30点 与点 关于 轴对称, , , , , , , , , , , , ,即 , , 整理得: ,即 , 点 在第二象限, , , ; ② , ,由①得 , , , , , 31直线 解析式为: ,双曲线 在 时解析式为: , 直线 与双曲线 在第一象限交点为 , , 直线 交双曲线 于 点,交射线 于点 ,交射线 于点 , , , , , , ; 如图 ,当 时, , , ,即 ,解得: 舍去 , ; 如图 ,当 时, ,不合题意; 如图 ,当 时, , , ,即 ,解得: 或 舍去 ; 32如图 ,当 时, , , ,即 ,解得: 或 舍去 , 综上所述,当 时, 的值为: , , 【点睛】本题是反比例函数与一次函数综合题,考查了待定系数法求解析,轴对称的性质,相似三角形的 判定和性质,利用分类讨论思想解决问题是本题的关键. 33