当前位置:首页>文档>专题5.4三角恒等变换2022年高考数学一轮复习讲练测(新教材新高考)(练)解析版_02高考数学_新高考复习资料_2022年新高考资料

专题5.4三角恒等变换2022年高考数学一轮复习讲练测(新教材新高考)(练)解析版_02高考数学_新高考复习资料_2022年新高考资料

  • 2026-04-14 04:19:40 2026-04-14 03:52:21

文档预览

专题5.4三角恒等变换2022年高考数学一轮复习讲练测(新教材新高考)(练)解析版_02高考数学_新高考复习资料_2022年新高考资料
专题5.4三角恒等变换2022年高考数学一轮复习讲练测(新教材新高考)(练)解析版_02高考数学_新高考复习资料_2022年新高考资料
专题5.4三角恒等变换2022年高考数学一轮复习讲练测(新教材新高考)(练)解析版_02高考数学_新高考复习资料_2022年新高考资料
专题5.4三角恒等变换2022年高考数学一轮复习讲练测(新教材新高考)(练)解析版_02高考数学_新高考复习资料_2022年新高考资料
专题5.4三角恒等变换2022年高考数学一轮复习讲练测(新教材新高考)(练)解析版_02高考数学_新高考复习资料_2022年新高考资料
专题5.4三角恒等变换2022年高考数学一轮复习讲练测(新教材新高考)(练)解析版_02高考数学_新高考复习资料_2022年新高考资料
专题5.4三角恒等变换2022年高考数学一轮复习讲练测(新教材新高考)(练)解析版_02高考数学_新高考复习资料_2022年新高考资料
专题5.4三角恒等变换2022年高考数学一轮复习讲练测(新教材新高考)(练)解析版_02高考数学_新高考复习资料_2022年新高考资料
专题5.4三角恒等变换2022年高考数学一轮复习讲练测(新教材新高考)(练)解析版_02高考数学_新高考复习资料_2022年新高考资料
专题5.4三角恒等变换2022年高考数学一轮复习讲练测(新教材新高考)(练)解析版_02高考数学_新高考复习资料_2022年新高考资料
专题5.4三角恒等变换2022年高考数学一轮复习讲练测(新教材新高考)(练)解析版_02高考数学_新高考复习资料_2022年新高考资料
专题5.4三角恒等变换2022年高考数学一轮复习讲练测(新教材新高考)(练)解析版_02高考数学_新高考复习资料_2022年新高考资料
专题5.4三角恒等变换2022年高考数学一轮复习讲练测(新教材新高考)(练)解析版_02高考数学_新高考复习资料_2022年新高考资料
专题5.4三角恒等变换2022年高考数学一轮复习讲练测(新教材新高考)(练)解析版_02高考数学_新高考复习资料_2022年新高考资料
专题5.4三角恒等变换2022年高考数学一轮复习讲练测(新教材新高考)(练)解析版_02高考数学_新高考复习资料_2022年新高考资料
专题5.4三角恒等变换2022年高考数学一轮复习讲练测(新教材新高考)(练)解析版_02高考数学_新高考复习资料_2022年新高考资料
专题5.4三角恒等变换2022年高考数学一轮复习讲练测(新教材新高考)(练)解析版_02高考数学_新高考复习资料_2022年新高考资料
专题5.4三角恒等变换2022年高考数学一轮复习讲练测(新教材新高考)(练)解析版_02高考数学_新高考复习资料_2022年新高考资料
专题5.4三角恒等变换2022年高考数学一轮复习讲练测(新教材新高考)(练)解析版_02高考数学_新高考复习资料_2022年新高考资料
专题5.4三角恒等变换2022年高考数学一轮复习讲练测(新教材新高考)(练)解析版_02高考数学_新高考复习资料_2022年新高考资料
专题5.4三角恒等变换2022年高考数学一轮复习讲练测(新教材新高考)(练)解析版_02高考数学_新高考复习资料_2022年新高考资料
专题5.4三角恒等变换2022年高考数学一轮复习讲练测(新教材新高考)(练)解析版_02高考数学_新高考复习资料_2022年新高考资料
专题5.4三角恒等变换2022年高考数学一轮复习讲练测(新教材新高考)(练)解析版_02高考数学_新高考复习资料_2022年新高考资料
专题5.4三角恒等变换2022年高考数学一轮复习讲练测(新教材新高考)(练)解析版_02高考数学_新高考复习资料_2022年新高考资料

文档信息

文档格式
docx
文档大小
0.613 MB
文档页数
20 页
上传时间
2026-04-14 03:52:21

文档内容

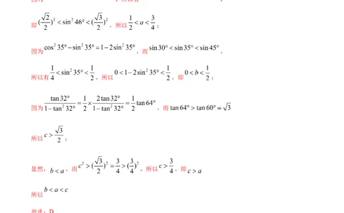
专题 5.4 三角恒等变换 练基础 1.(2021·四川德阳市·高三二模(文))在平面直角坐标系中,已知点 , ,那么 ( ) A.2 B. C. D.4 【答案】A 【解析】 利用利用两点间的距离公式求得 . 【详解】 . 故选:A 1 2.(2018·全国高考真题(文))(2018年全国卷Ⅲ文)若sinα= ,则cos2α=( ) 3 8 7 7 8 A. B. C.− D.− 9 9 9 9 【答案】B 【解析】 2 7 cos2α=1−2sin2α=1− = 9 9 故答案为B. 3.(2021·商丘市第一高级中学高三月考(文))已知 ,则 的所有取值之和为( ) A.-5 B.-6 C.-3 D.2 【答案】D 【解析】 利用诱导公式和二倍角公式化简已知式,得到 或 ,即得 的可能取值, 求和即可. 【详解】 依题意得, ,即 , 即 , 故 或 , 所以 或 ,可得 或 , 所以 的所有取值之和为2. 故选:D. 4.(2021·北京北大附中高三其他模拟)已知 ,且 ,则 ( ) A. B. C. D. 【答案】A 【解析】 由余弦的二倍角公式,先求出 的值,结合角 的范围可得答案. 【详解】 由 ,可得 又 ,则故选:A 5.(2022·河南高三月考(理))若 ,且 ,则 ( ) A.-7 B. C. D.-7或 【答案】A 【解析】 利用二倍角公式及同角三角函数的基本关系将弦化切,再解方程即可; 【详解】 解:因为 , 所以 , 所以 , 得 , 则 或 , 又 , 所以 . 故选:A 6.(2021·江苏淮安市·高三三模)设 , , ,则 , , 的大小关系为( ) A. B.C. D. 【答案】D 【解析】 根据正弦函数的单调性,结合不等式性质,可得到a的范围;利用二倍角公式化简b、c,结合函数单调性, 可得到b、c的大致范围;从而,可以比较a、b、c的大小. 【详解】 因为 ,所以有 , 即 ,所以 ; 因为 ,而 , 所以有 ,所以 ,即 ; 因为 ,而 所以 ; 显然, ,而 ,所以 ,即 所以 故选:D 7.(2020·河北高三其他模拟(文))已知函数 ( )的最小正 周期为 ,关于函数 的性质,则下列命题不正确的是( ) A. B.函数 在 上的值域为C.函数 在 上单调递增 D.函数 图象的对称轴方程为 ( ) 【答案】D 【解析】 首先把函数的关系式进行恒等变换,把函数的关系式变形成正弦型函数,进一步利用函数的性质的应用求 出结果. 【详解】 解:函数 , 由于函数 的最小正周期为 ,即 ,所以 ,故A正确; 故 . 对于B:由于 ,所以函数 的最小值为 ,函数的最大值为3, 故函数的值域为 ,故B正确; 对于C:当 时, ,故函数在该区间上单调递增,故C正确; 对于D:当 , 时,整理得 ( )为函数的对称轴,故D错误. 故选:D. 2 sinx 8.(2020·全国高考真题(文))若 3 ,则cos2x__________.1 【答案】9 【解析】 2 8 1 cos2x12sin2 x12( )2 1  3 9 9 . 1 故答案为:9. 9.(2021·贵溪市实验中学高二期末) 的值是___________. 【答案】 【解析】 由 进行转化,可得答案. 【详解】 解:由 故答案为: . 10.(2021·山东高三其他模拟)若 ,则 =__________________. 【答案】﹣ 【解析】 先用诱导公式化简,再根据二倍角及 变形,再求值即可. 【详解】 解:因为tan(π﹣α)=﹣tanα=4, 所以tanα=﹣4,则cos(2α+ )=sin2α=2sinαcosα= = =﹣ . 故答案为:﹣ . 练提升 TIDHNE 1.(2021·广东佛山市·高三其他模拟) ( ) A.2 B.-2 C.1 D.-1 【答案】D 【解析】 利用切化弦,三角恒等变换,逆用两角差的正弦公式,二倍角公式,诱导公式化简求值. 【详解】 2.(2021·沈阳市·辽宁实验中学高三二模)攒尖是古代中国建筑中屋顶的一种结构形式,宋代称为撮尖, 清代称攒尖.攒尖建筑的屋面在顶部交汇为一点,形成尖顶,依其平面有圆形攒尖、三角攒尖、四角攒尖、八角攒尖.也有单檐和重檐之分,多见于亭阁式建筑、园林建筑.辽宁省实验中学校园内的明心亭,为一 个八角攒尖,它的主要部分的轮廓可近似看作一个正八棱锥,设正八棱锥的侧面等腰三角形的顶角为 , 它的侧棱与底面内切圆半径的长度之比为( ). A. B. C. D. 【答案】A 【解析】 分别用 和 表示出 的一半,得出侧棱与底面边长的比,再根据正八边形的结构特征求出底面内切圆 的半径与边长的关系,即可求出结果. 【详解】 设 为正八棱锥 底面内切圆的圆心,连接 , , 取 的中点 ,连接 、 ,则 是底面内切圆半径 ,如图所示: 设侧棱长为 ,底面边长为 , 由题意知 , ,则 ,解得 ; 由底面为正八边形,其内切圆半径 是底面中心 到各边的距离, 中, ,所以 , 由 ,解得 ,所以 , 所以 ,解得 , 即侧棱与底面内切圆半径的长度之比为 . 故选:A.   3.(2020·海南枫叶国际学校高一期中)若3cos22sin( ),( ,)则 的值为( ) 4 2 sin2 4 2 5 2 7 7    A. B. C. D. 9 9 9 9 【答案】C 【解析】  因为3cos22sin( ), 4   所以3cos22(sin coscos sin) 2(cossin), 4 4 3(cos2sin2) 2(cossin) , 3(cossin)(cossin) 2(cossin) ,  因为( ,),所以 , 2 cossin0 3(cossin) 2 所以 , 2 cossin 所以 3 , 2 两边平方得,12cossin 9 7 sin2 所以 9 , 故选:Ctan 2   π 3  π 4.(2019·江苏高考真题)已知tan    ,则sin  2 的值是_____.  4  4 2 . 【答案】 . 10 【解析】 tan tan tan1tan 2      tan1 tan1 3 由tan  ,    4 1tan 3tan25tan20 得 , 1 tan 解得tan2,或 3.     sin 2 sin2cos cos2sin    4 4 4 2 22sincoscos2sin2  sin2cos2=   2 2  sin2cos2  22tan1tan2 =   2  tan21  , 222122  2 =  = ; 当 tan2 时,上式 2  22 1  10   1  1 2  2    1     2   3  3  2 = . 当 1 时,上式= 2   1 2  10 tan     1  3   3    2 sin 2  .   综上,  4  10 5.(2021·全国高三其他模拟(理))已知函数 在 上恰有10个零点,则m的取值范围是________________. 【答案】 【解析】 先用降幂公式和辅助角公式化简 ,再转化为图象与 轴交点个数问题. 【详解】 ∵ , ∴ , ∵ 在 上恰有10个零点, ∴ 在 上恰有10个解, ∴ ,解得 , 故答案为: . 6.(2021·上海复旦附中高三其他模拟)已知函数 .若存在 ,对任意 ,都有 成立.给出下列两个命题: (1)对任意 ,不等式 都成立. (2)存在 ,使得 在 上单调递减.则其中真命题的序号是__________.(写出所有真命题的序号) 【答案】(1)(2) 【解析】 由辅助角公式可得 ,由题意可得 是 的最小值点, 关于 对称,由三 角函数的性质逐个分析各个选项,即可求得结论. 【详解】 解:函数 ,其中 为锐角,且 , 由题意, 是 的最小值点,所以 关于 对称, 因为 的最小正周期 ,所以 为最大值,所以任意 , ,故 (1)正确; 因为函数 在 上单调递减, 取 ,则 ,所以 即在 内单调递减,故 (2)正确; 故答案为:(1)(2) 7.(2021·全国高三其他模拟(文))已知角 , ,若 , ,则 ___________. 【答案】 【解析】 根据 的范围确定 的范围,然后求出 和 ,将 变形为 ,结合两角和的余弦公式即可求解. 【详解】 ∵ , , ∴ , , 又 , ,∴ ∴ , , ∴ . 故答案为: . 8.(2021·江西新余市·高一期末(理))已知单位圆上第三象限内的一点 沿圆周逆时针旋转 到点 ,若点 的横坐标为 ,则点 的横坐标为___________. 【答案】 【解析】 首先设 ,根据题意得到 ,从而得到 , ,再根据 求解即可. 【详解】 由题意设 , 从而点 沿圆周逆时针旋转 到点 ,即 点坐标为 , 所以 , , ∵ ,∴ ,则 , 所以 . 所以点 的横坐标为 . 故答案为:  4 1 0 sin= tan() 9.(2020·浙江吴兴�湖州中学高三其他)已知 2 , 5, 3,则tansin()  _______;  __. 2cos( ) 4 3 【答案】3 2 【解析】  4 16 3 0 sin= cos 1sin2 1  因为 , ,所以 , 2 5 25 5 sin 4 tan  所以 cos 3 , 1 tan() 因为 3 tantan() tantan[()] 所以 1tantan() 4 1 5 ( ) 3 3 3   3 , 4 1 5 1 ( ) 3 3 9 sin() sin tan 3 3     所以  cossin 1tan 13 2 , 2cos( ) 4 3 故答案为:3;2 . 10.(2021·聊城市·山东聊城一中高三其他模拟)在① 是函数 图象的一条对称轴,② 是函 数 的一个零点,③函数 在 上单调递增,且 的最大值为 ,这三个条件中任选一个, 补充在下面问题中,并解答.已知函数 ,__________,求 在 上的单调递减 区间. 注:如果选择多个条件分别解答,按第一个解答计分. 【答案】选择见解析;单调递减区间为 , . 【解析】 利用三角函数恒等变换的应用化简函数解析式可得 , 若选①,利用正弦函数的对称性可得 , ,得 , ,又 ,可得 ,可求 ; 若选②,由题意可得 ,可得 , ,又 ,可得 ,可求 ; 若选③,可求 ,可得 ,可得 , 利用正弦函数的单调性,结合 ,即可求解 在 , 上的单调递减区间. 【详解】 解:. ①若 是函数 图象的一条对称轴, 则 , ,即 , , 得 , , 又 ,∴当 时, , . ②若 是函数 的一个零点, 则 ,即 , , 得 , . 又 ,∴当 时, ,所以, . ③若 在 上单调递增,且 的最大值为 . 则 ,故 ,所以 . 由 , , 得 , ,令 ,得 ,令 ,得 , 又 , 所以 在 上的单调递减区间为 , . 练真题 TIDHNE 1.(2021·全国高考真题(文))函数 的最小正周期和最大值分别是( ) A. 和 B. 和2 C. 和 D. 和2 【答案】C 【解析】 利用辅助角公式化简 ,结合三角函数最小正周期和最大值的求法确定正确选项. 【详解】 由题, ,所以 的最小正周期为 ,最大值为 . 故选:C. 2.(2021·北京高考真题)函数 ,试判断函数的奇偶性及最大值( ) A.奇函数,最大值为2 B.偶函数,最大值为2 C.奇函数,最大值为 D.偶函数,最大值为 【答案】D 【解析】 由函数奇偶性的定义结合三角函数的性质可判断奇偶性;利用二倍角公式结合二次函数的性质可判断最大 值.【详解】 由题意, ,所以该函数为偶函数, 又 , 所以当 时, 取最大值 . 故选:D. 3.(2019·全国高考真题(文))tan255°=( ) 3 3 3 3 A.-2- B.-2+ C.2- D.2+ 【答案】D 【解析】 3 1 tan450 tan300 3  2 3. =1tan450tan300 3 1 tan2550 tan(1800 750)tan750 tan(450300) 3 π 4.(2019·全国高考真题(文理))已知a∈(0,2 ),2sin2α=cos2α+1,则sinα=( ) 1 5 A.5 B. 5 3 2 5 C. 3 D. 5 【答案】B 【解析】   4sincos2cos2.  0,  ,cos0  2sin2cos21,  2 . 1 5sin21, sin2 sin0,  2sincos,又sin2cos21, 5,又sin0,5 sin 5 ,故选B. 5.(2020·全国高考真题(理))已知2tanθ–tan(θ+ )=7,则tanθ=( ) A.–2 B.–1 C.1 D.2 【答案】D 【解析】 , , 令 ,则 ,整理得 ,解得 ,即 . 故选:D. 6.(2020·全国高考真题(文))已知 ,则 ( ) A. B. C. D. 【答案】B 【解析】 由题意可得: , 则: , , 从而有: , 即 . 故选:B.