当前位置:首页>文档>第五章第05讲解题技巧专题:分式的混合运算和新定义型问题(7类热点题型讲练)(解析版)_北师大初中数学_8下-北师大版初中数学_旧版-可参考_第五章分式方程

第五章第05讲解题技巧专题:分式的混合运算和新定义型问题(7类热点题型讲练)(解析版)_北师大初中数学_8下-北师大版初中数学_旧版-可参考_第五章分式方程

  • 2026-04-14 22:52:14 2026-04-14 22:52:14

文档预览

第五章第05讲解题技巧专题:分式的混合运算和新定义型问题(7类热点题型讲练)(解析版)_北师大初中数学_8下-北师大版初中数学_旧版-可参考_第五章分式方程
第五章第05讲解题技巧专题:分式的混合运算和新定义型问题(7类热点题型讲练)(解析版)_北师大初中数学_8下-北师大版初中数学_旧版-可参考_第五章分式方程
第五章第05讲解题技巧专题:分式的混合运算和新定义型问题(7类热点题型讲练)(解析版)_北师大初中数学_8下-北师大版初中数学_旧版-可参考_第五章分式方程
第五章第05讲解题技巧专题:分式的混合运算和新定义型问题(7类热点题型讲练)(解析版)_北师大初中数学_8下-北师大版初中数学_旧版-可参考_第五章分式方程
第五章第05讲解题技巧专题:分式的混合运算和新定义型问题(7类热点题型讲练)(解析版)_北师大初中数学_8下-北师大版初中数学_旧版-可参考_第五章分式方程
第五章第05讲解题技巧专题:分式的混合运算和新定义型问题(7类热点题型讲练)(解析版)_北师大初中数学_8下-北师大版初中数学_旧版-可参考_第五章分式方程
第五章第05讲解题技巧专题:分式的混合运算和新定义型问题(7类热点题型讲练)(解析版)_北师大初中数学_8下-北师大版初中数学_旧版-可参考_第五章分式方程
第五章第05讲解题技巧专题:分式的混合运算和新定义型问题(7类热点题型讲练)(解析版)_北师大初中数学_8下-北师大版初中数学_旧版-可参考_第五章分式方程
第五章第05讲解题技巧专题:分式的混合运算和新定义型问题(7类热点题型讲练)(解析版)_北师大初中数学_8下-北师大版初中数学_旧版-可参考_第五章分式方程
第五章第05讲解题技巧专题:分式的混合运算和新定义型问题(7类热点题型讲练)(解析版)_北师大初中数学_8下-北师大版初中数学_旧版-可参考_第五章分式方程
第五章第05讲解题技巧专题:分式的混合运算和新定义型问题(7类热点题型讲练)(解析版)_北师大初中数学_8下-北师大版初中数学_旧版-可参考_第五章分式方程
第五章第05讲解题技巧专题:分式的混合运算和新定义型问题(7类热点题型讲练)(解析版)_北师大初中数学_8下-北师大版初中数学_旧版-可参考_第五章分式方程
第五章第05讲解题技巧专题:分式的混合运算和新定义型问题(7类热点题型讲练)(解析版)_北师大初中数学_8下-北师大版初中数学_旧版-可参考_第五章分式方程
第五章第05讲解题技巧专题:分式的混合运算和新定义型问题(7类热点题型讲练)(解析版)_北师大初中数学_8下-北师大版初中数学_旧版-可参考_第五章分式方程
第五章第05讲解题技巧专题:分式的混合运算和新定义型问题(7类热点题型讲练)(解析版)_北师大初中数学_8下-北师大版初中数学_旧版-可参考_第五章分式方程
第五章第05讲解题技巧专题:分式的混合运算和新定义型问题(7类热点题型讲练)(解析版)_北师大初中数学_8下-北师大版初中数学_旧版-可参考_第五章分式方程
第五章第05讲解题技巧专题:分式的混合运算和新定义型问题(7类热点题型讲练)(解析版)_北师大初中数学_8下-北师大版初中数学_旧版-可参考_第五章分式方程
第五章第05讲解题技巧专题:分式的混合运算和新定义型问题(7类热点题型讲练)(解析版)_北师大初中数学_8下-北师大版初中数学_旧版-可参考_第五章分式方程
第五章第05讲解题技巧专题:分式的混合运算和新定义型问题(7类热点题型讲练)(解析版)_北师大初中数学_8下-北师大版初中数学_旧版-可参考_第五章分式方程
第五章第05讲解题技巧专题:分式的混合运算和新定义型问题(7类热点题型讲练)(解析版)_北师大初中数学_8下-北师大版初中数学_旧版-可参考_第五章分式方程
第五章第05讲解题技巧专题:分式的混合运算和新定义型问题(7类热点题型讲练)(解析版)_北师大初中数学_8下-北师大版初中数学_旧版-可参考_第五章分式方程
第五章第05讲解题技巧专题:分式的混合运算和新定义型问题(7类热点题型讲练)(解析版)_北师大初中数学_8下-北师大版初中数学_旧版-可参考_第五章分式方程
第五章第05讲解题技巧专题:分式的混合运算和新定义型问题(7类热点题型讲练)(解析版)_北师大初中数学_8下-北师大版初中数学_旧版-可参考_第五章分式方程
第五章第05讲解题技巧专题:分式的混合运算和新定义型问题(7类热点题型讲练)(解析版)_北师大初中数学_8下-北师大版初中数学_旧版-可参考_第五章分式方程
第五章第05讲解题技巧专题:分式的混合运算和新定义型问题(7类热点题型讲练)(解析版)_北师大初中数学_8下-北师大版初中数学_旧版-可参考_第五章分式方程
第五章第05讲解题技巧专题:分式的混合运算和新定义型问题(7类热点题型讲练)(解析版)_北师大初中数学_8下-北师大版初中数学_旧版-可参考_第五章分式方程
第五章第05讲解题技巧专题:分式的混合运算和新定义型问题(7类热点题型讲练)(解析版)_北师大初中数学_8下-北师大版初中数学_旧版-可参考_第五章分式方程
第五章第05讲解题技巧专题:分式的混合运算和新定义型问题(7类热点题型讲练)(解析版)_北师大初中数学_8下-北师大版初中数学_旧版-可参考_第五章分式方程
第五章第05讲解题技巧专题:分式的混合运算和新定义型问题(7类热点题型讲练)(解析版)_北师大初中数学_8下-北师大版初中数学_旧版-可参考_第五章分式方程
第五章第05讲解题技巧专题:分式的混合运算和新定义型问题(7类热点题型讲练)(解析版)_北师大初中数学_8下-北师大版初中数学_旧版-可参考_第五章分式方程
第五章第05讲解题技巧专题:分式的混合运算和新定义型问题(7类热点题型讲练)(解析版)_北师大初中数学_8下-北师大版初中数学_旧版-可参考_第五章分式方程
第五章第05讲解题技巧专题:分式的混合运算和新定义型问题(7类热点题型讲练)(解析版)_北师大初中数学_8下-北师大版初中数学_旧版-可参考_第五章分式方程
第五章第05讲解题技巧专题:分式的混合运算和新定义型问题(7类热点题型讲练)(解析版)_北师大初中数学_8下-北师大版初中数学_旧版-可参考_第五章分式方程
第五章第05讲解题技巧专题:分式的混合运算和新定义型问题(7类热点题型讲练)(解析版)_北师大初中数学_8下-北师大版初中数学_旧版-可参考_第五章分式方程
第五章第05讲解题技巧专题:分式的混合运算和新定义型问题(7类热点题型讲练)(解析版)_北师大初中数学_8下-北师大版初中数学_旧版-可参考_第五章分式方程
第五章第05讲解题技巧专题:分式的混合运算和新定义型问题(7类热点题型讲练)(解析版)_北师大初中数学_8下-北师大版初中数学_旧版-可参考_第五章分式方程
第五章第05讲解题技巧专题:分式的混合运算和新定义型问题(7类热点题型讲练)(解析版)_北师大初中数学_8下-北师大版初中数学_旧版-可参考_第五章分式方程
第五章第05讲解题技巧专题:分式的混合运算和新定义型问题(7类热点题型讲练)(解析版)_北师大初中数学_8下-北师大版初中数学_旧版-可参考_第五章分式方程
第五章第05讲解题技巧专题:分式的混合运算和新定义型问题(7类热点题型讲练)(解析版)_北师大初中数学_8下-北师大版初中数学_旧版-可参考_第五章分式方程
第五章第05讲解题技巧专题:分式的混合运算和新定义型问题(7类热点题型讲练)(解析版)_北师大初中数学_8下-北师大版初中数学_旧版-可参考_第五章分式方程
第五章第05讲解题技巧专题:分式的混合运算和新定义型问题(7类热点题型讲练)(解析版)_北师大初中数学_8下-北师大版初中数学_旧版-可参考_第五章分式方程
第五章第05讲解题技巧专题:分式的混合运算和新定义型问题(7类热点题型讲练)(解析版)_北师大初中数学_8下-北师大版初中数学_旧版-可参考_第五章分式方程
第五章第05讲解题技巧专题:分式的混合运算和新定义型问题(7类热点题型讲练)(解析版)_北师大初中数学_8下-北师大版初中数学_旧版-可参考_第五章分式方程

文档信息

文档格式
docx
文档大小
1.162 MB
文档页数
39 页
上传时间
2026-04-14 22:52:14

文档内容

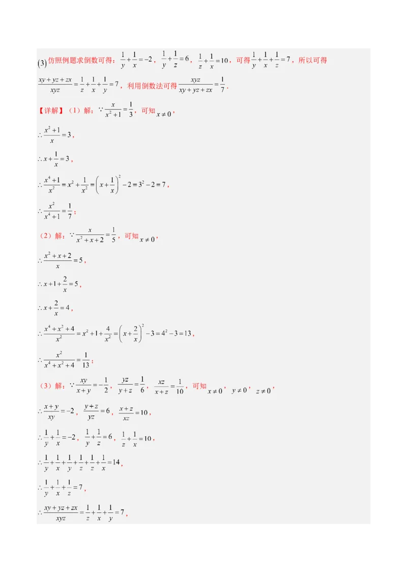
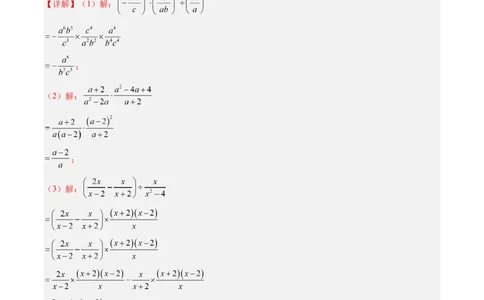
第 05 讲 解题技巧专题:分式的混合运算和新定义型问题 目录 【考点一 分式的混合运算问题】............................................................................................................................1 【考点二 分式的混合运算先化简求值问题】........................................................................................................7 【考点三 分式的混合运算错解复原问题】..........................................................................................................11 【考点四 分式的混合运算规律探究问题】..........................................................................................................16 【考点五 分式的混合运算新定义型问题】..........................................................................................................22 【考点六 分式的混合运算假分数问题】..............................................................................................................29 【考点七 分式的混合运算“倒数法”求值问题】..............................................................................................33 【考点一 分式的混合运算问题】 1.(24-25八年级上·北京·期中)计算: (1) (2) 【答案】(1) (2) 【知识点】异分母分式加减法、分式加减乘除混合运算 【分析】本题考查了分式的混合运算,熟练掌握运算法则是解题的关键. (1)先通分,再计算减法即可; (2)先计算除法,再计算减法即可. 【详解】(1)解:; (2)解: . 2.(24-25八年级下·全国·单元测试)计算: (1) ; (2) . 【答案】(1) (2) 【知识点】分式加减乘除混合运算 【分析】本题主要考查分式的混合运算,掌握分式的性质是关键. (1)根据分式的性质,分式的混合运算法则计算即可; (2)根据分式的性质,分式的混合运算法则计算即可. 【详解】(1)解:; (2)解: . 3.(24-25八年级下·全国·单元测试)计算: (1) ; (2) ; (3) ; (4) . 【答案】(1) (2) (3)(4) 【知识点】分式加减乘除混合运算 【分析】此题考查了分式的混合运算,熟练掌握运算法则是解本题的关键. (1)先进行幂的、积的乘方运算,再进行分式的乘除混合运算; (2)利用分式的乘法运算法则计算即可; (3)先将除法化为乘法,再由乘法分配律计算; (4)先通分,化为同分母分式加减计算. 【详解】(1)解: ; (2)解: ; (3)解: ; (4)解:. 4.(24-25八年级下·全国·课后作业)计算: (1) ; (2) ; (3) ; (4) . 【答案】(1)1; (2) ; (3) ; (4) . 【知识点】分式加减乘除混合运算 【分析】本题考查分式的混合运算,熟练掌握分式的运算法则,正确的计算,是解题的关键: (1)先通分计算括号内,除法变乘法,约分化简即可; (2)直接利用除法法则进行计算即可; (3)先通分计算括号内,除法变乘法,约分化简即可; (4)先进行除法运算,再进行减法运算即可. 【详解】(1)解:原式 ; (2)原式 ; (3)原式 ; (4)原式. 5.(24-25八年级下·全国·课后作业)计算: (1) ; (2) ; (3) ; (4) . 【答案】(1) (2) (3) (4) 【知识点】分式加减乘除混合运算、运用平方差公式进行运算、通过对完全平方公式变形求值 【分析】本题考查分式的混合运算,掌握分式的运算法则和运算顺序是解题的关键. (1)先把除法写成乘法计算,利用平方差公式因式分解,再利用乘法分配律去括号约分,最后进行同分 母加法后,合并同类项再约分即可. (2)先利用乘法分配律去括号,再提公因式后约分,最后合并同类项即可. (3)先把除法写成乘法计算,再提公因式后约分即可. (4)先把除法写成乘法计算,利用平方差公式和完全平方公式因式分解,再约分即可. 【详解】(1)解:. (2)解: . (3)解: . (4)解: . 【考点二 分式的混合运算先化简求值问题】 6.(24-25八年级上·黑龙江哈尔滨·阶段练习)先化简,再求值: ,其中 . 【答案】 ; 【知识点】分式加减乘除混合运算、分式化简求值 【分析】本题考查了分式的化简求值,熟练掌握分式的加减运算法则是解答本题的关键,同分母的分式相 加减,分母不变,把分子相加减;异分母的分式相加减,先把它们通分,变为同分母分式,再加减.分式 运算的结果要化为最简分式或者整式. 先根据完全平方公式化简,再算括号里面的,将除法转化为乘法,然后相乘,最后将 代入求值.【详解】解: , 当 时,原式 . 7.(24-25八年级下·黑龙江哈尔滨·阶段练习)先化简,再求值: ,其中 . 【答案】 , 【知识点】分式加减乘除混合运算、已知字母的值,化简求值 【分析】本题考查分式的化简求值,二次根式的性质,先计算括号内分式的减法,再计算分式的除法,然 后将 的值代入计算即可.掌握相应的运算法则、性质及运算顺序是解题的关键. 【详解】解: ,当 时,原式 . 8.(24-25八年级上·湖北孝感·期末)先化简: ,然后从 ,0,2中选取一个合 适的数作为 的值代入求值. 【答案】 , 【知识点】分式化简求值、分式加减乘除混合运算 【分析】本题考查的是分式的化简求值,熟知分式混合运算的法则是解答此题的关键. 先根据分式混合运算的法则把原式进行化简,再选取合适的x的值代入进行计算即可. 【详解】解:原式 , , , , 当 时, 原式 9.(24-25八年级下·江苏泰州·阶段练习)先化简: ,然后从1, ,2025中选 择一个合适的数代入求值. 【答案】 , 【知识点】分式加减乘除混合运算、分式化简求值 【分析】本题主要考查了分式的混合运算及求值,熟练掌握异分母分式的加减法运算是解题的关键.先把 括号内的式子通分,再把除法化为乘法,从而把原式化简,从数值中选取一个合适的数代入即可. 【详解】解:, , 当 时,原式 . 10.(24-25八年级下·湖南岳阳·开学考试)先化简,再求值: ,其中 【答案】 , 【知识点】分式化简求值、分母有理化、分式加减乘除混合运算 【分析】本题考查了分式的化简求值,分母有理化,掌握相关运算法则是解题关键.先对括号内约分作差, 再将除法化为乘法约分计算,然后将 、 的值代入计算即可. 【详解】解: , , 当 时,原式 . 11.(24-25八年级上·云南昆明·阶段练习)先化简,再求值: ,请从 , ,1,2 四个数中选择一个合适的数代入求值(说明取值理由).【答案】 , ,理由见解析 【知识点】分式化简求值、分式加减乘除混合运算 【分析】本题考查了分式的化简求值,分式有意义的条件,熟练掌握分式的运算法则是解本题的关键. 根据分式的运算法则将原式化简,然后根据分式有意义的条件选择一个数代入求值即可. 【详解】解: , ∵ , ,2时,原分式无意义,所以 只能取1; 此时原式 . 【考点三 分式的混合运算错解复原问题】 12.(2025·甘肃临夏·一模)下面是小夏同学进行分式化简的过程: 化简: . 解:原式 ………………第 一步 ………………第二步 .………………第三步 (1)小夏同学的化简过程从第______步开始出现错误; (2)请写出正确的化简过程. 【答案】(1)二; (2) . 【知识点】分式加减乘除混合运算 【分析】本题考查了分式的加减混合运算.( )根据分式的混合运算顺序和运算法则逐步进行判断即可; ( )先根据分式的混合运算顺序和运算法则化简即可. 【详解】(1)解:根据题意可得:第二步计算减法时,没有变号, ∴小夏同学的化简过程从第二步开始出现错误, 故答案为:二; (2)解: . 13.(2025·广东深圳·二模)在化简 的过程中,小深、小圳同学分别给出了如下的部 分运算过程: 小深:原式 …… 小圳:原式 …… (1)小深解法的依据是______,小圳解法的依据是______;(填序号) ①等式的基本性质;②分式的基本性质;③乘法分配律;④乘法交换律. (2)试选一种解法,写出完整的解答过程. 【答案】(1)②,③ (2)见解析 【知识点】运用平方差公式进行运算、分式加减乘除混合运算 【分析】本题主要考查分式的基本性质,乘法分配律,平方差公式; (1)根据分式的基本性质,乘法分配律进行解答即可; (2)根据乘法分配律,平方差公式进行计算即可. 【详解】(1)解:小深解法的依据是:分式的基本性质; 小圳解法的依据是:乘法分配律; 故答案为:②,③; (2)解:小深:原式; 小圳:原式 . 14.(24-25八年级下·吉林长春·阶段练习)下面是小亮同学对分式的化简过程,请认真阅读并完成相应的 问题. …第一步 …第二步 …第三步 …第四步 …第五步 问题解答: (1)从第______步开始出现错误; (2)请写出正确的化简过程. 【答案】(1)一 (2) ,正确的化简过程见解析 【知识点】分式加减乘除混合运算 【分析】本题主要考查分式的混合运算,熟练掌握分式的运算是解题的关键; (1)根据题意可直接进行求解; (2)根据分式的加减乘除运算可进行求解【详解】(1)解:由题意得:从第一步开始出现错误; 故答案为一; (2)解: . 15.(24-25七年级上·广西南宁·阶段练习)在数学课上,老师出了一道题,让甲、乙、丙、丁四位同学进 行“接力游戏”. 接力游戏 老师:化简: 甲同学:原式 乙同学: 丙同学: 丁同学: . 规则如下:四位同学分别完成化简分式的一步变形,即前一位同学完成一步后,后一个同学接着前一个同 学的步骤进行下一步化简变形,直至将该分式化简完毕. 请根据上表的“接力游戏”回答问题: (1)在“接力游戏”中,丁同学是依据______进行变形的. A.等式的基本性质B.不等式的基本性质C.分式的基本性质 D.乘法分配律 (2)在“接力游戏”中,该分式的化简结果______( 填“正确”或“错误”),若化简结果错误,从 ______同学开始出现错误,并写出该分式化简的正确解答过程. 【答案】(1)C (2)错误,丙,见解析 【知识点】约分、分式加减乘除混合运算 【分析】本题主要考查了分式的混合计算,熟知相关计算法则是解题的关键. (1)观察可知,丁同学是依据分式的基本性质进行变形;(2)丙同学的计算时,第二个分式的分母应该是完全平方公式分解因式,而不是平方差公式分解因式, 据此可得结论;再根据分式的相关计算法则写出正确过程即可. 【详解】(1)解:由题意得,丁同学是依据分式的基本性质进行变形的, 故选;C; (2)解:观察解题过程可知,该分式的化简结果错误,从丙同学开始出现错误的,原因是第二个分式的 分母应该是完全平方公式分解因式,而不是平方差公式分解因式, 正确过程如下: 原式 . 16.(23-24八年级下·江苏南京·期中)在数学课上,老师出了一道题,让甲、乙、丙、丁四位同学进行 “接力游戏”,规则如下:每位同学可以完成化简分式的一步变形,即前一位同学完成一步后,后一个同 学接着前一个同学的步骤进行下一步化简变形,直至将该分式化简完毕. 请根据如表的“接力游戏”完成两个任务: 接力游戏 老师:化简: 甲同学:原式 乙同学: 丙同学: 丁同学: . (1)【任务一】 ①在“接力游戏”中,丁同学是依据______进行变形的. A.等式的基本性质 B.不等式的基本性质C.分式的基本性质 D.乘法分配律 ②在“接力游戏”中,从______同学开始出现错误. (2)【任务二】 ①该“接力游戏”正确的化简结果是______; ②从2, ,1这三个数中选取一个合适的数代入化简结果中求值. 【答案】(1)①C;②乙 (2)① ;②4 【知识点】分式加减乘除混合运算、分式化简求值 【分析】本题主要考查分式的混合运算. (1)①利用分式的相应的运算法则进行分析即可; ②根据去括号的法则解答即可; (2)①利用分式的运算法则进行分析即可; ②取 解答即可. 【详解】(1)解:①丁同学是依据是分式的基本性质进行变形的, 故选:C; ②从乙同学开始出现错误, 故答案为:乙; (2)解:任务二:原式 , 故答案为: ; ② 不能取2和 , 故取 , 原式 . 【考点四 分式的混合运算规律探究问题】 17.(24-25八年级上·江西南昌·期末)观察以下等式:第1个等式: , 第2个等式: , 第3个等式: , 第4个等式: , 第5个等式: . … 按照以上规律,解决下列问题: (1)写出第7个等式: ; (2)写出你猜想的第n个等式 (用含n的等式表示),并证明. 【答案】(1) (2) ;证明见解析 【知识点】用代数式表示数、图形的规律、分式加减乘除混合运算、数字类规律探索 【分析】本题是规律探究题,解答过程中,要注意各式中相同位置数字的变化规律,并将其用代数式表示 出来. (1)根据前五个式子的规律写出第六个式子即可; (2)观察各个式子之间的规律,然后作出总结,再根据等式两边相等作出证明即可. 【详解】(1)解:由前五个式子可推出第7个等式为: ; (2)解:根据已知的五个式子可以得出一般规律: , 证明:∵左边 右边, ∴等式成立. 18.(2025·安徽六安·模拟预测)观察下列各个等式的规律: 第1个等式: ; 第2个等式: ;第3个等式: ; 第4个等式: ; …… 用上述等式反映的规律,解答下列问题. (1)请直接写出第5个等式:________. (2)猜想第 个等式(用含 的代数式表示),并证明其正确性. 【答案】(1) (2) ,证明见解析 【知识点】分式加减乘除混合运算、数字类规律探索 【分析】本题考查数字的变化类、有理数的混合运算,解答本题的关键是明确题意,发现数字的变化特点, 写出相应的猜想并加以证明. (1)根据题目中给出的等式,可以写出第5个等式; (2)根据题目中的式子,可以猜想出第 个等式,并加以证明. 【详解】(1)解:由题意可得, 第5个等式是 , 故答案为: ; (2)解: , 证明:右边 , 等号左边等于等号右边的式子, . 19.(24-25九年级下·安徽淮南·开学考试)观察下列等式: 第1个等式: ; 第2个等式: ; 第3个等式: ; …… 根据以上规律解答下面问题:(1)直接写出第4个等式:__________; (2)猜想出第 个等式(用含 的式子表示),并证明. 【答案】(1) (2)第 个等式是 ,见解析 【知识点】分式加减乘除混合运算、数字类规律探索 【分析】本题考查了规律型中数字的变化类,分式的混合运算,正确理解题意是解题的关键. (1)根据题干几个等式,即可找到规律求解; (2)对等式左边进行分式的混合运算,化简求证即可. 【详解】(1)解:由题意得,第4个等式为 , 故答案为: ; (2)解:第 个等式是 ,理由如下: 证明: , ∴ . 20.(2025·安徽蚌埠·一模)【观察思考】 观察下列等式: 第1个等式: ;第2个等式: ; 第3个等式: ;第4个等式: ; 【规律发现】 (1)第5个等式是 ; (2)猜想第 n个等式是 (用含 n的代数式表示); 【规律论证】(3)请证明猜想的第 n个等式. 【答案】(1) ;(2) ;(3)见解析 【知识点】分式加减乘除混合运算、数字类规律探索 【分析】本题考查了数字规律、有理数混合运算、整式混合运算,分式的运算等知识;解题的关键是熟练 掌握分式的减法法则,从而完成求解. (1)根据题意规律,结合有理数混合运算的性质计算,即可得到答案; (2)结合题意,根据数字规律、分式混合运算的性质分析,即可得到答案. (3)根据分式的混合运算计算等式左边,即可求解. 【详解】解:(1)根据题意可得:第5个等式是: 故答案为: . (2)猜想第 n个等式是 . 故答案为: . (3)证明:等式左边 左边=右边, ∴等式成立. 21.(24-25八年级上·河南驻马店·期末)观察下列等式: , , ,将以 上三个等式两边分 别相加得 . (1)猜想并写出: _______. (2)直接写出下列各式的计算结果: ① _______;② _______. (3)探究并计算: . 【答案】(1) (2)① ;② (3) 【知识点】分式加减乘除混合运算 【分析】本题考查的是分式的混合运算; (1)观察已知等式再归纳即可解答; (2)①结合(1)中规律把已知等式变形即可计算结果; ②结合①的过程进行计算即可得结果; (3)把运算先化为具有(2)中运算式的特点,再根据以上规律将原式变形即可计算. 【详解】(1)解:∵ , , , ∴归纳可得: ; 故答案为: ; (2)解:① ; ② ;(3)解: . 【考点五 分式的混合运算新定义型问题】 22.(24-25八年级下·河南新乡·期中)定义:若分式A与分式B的差等于它们的积,即 ,则称 分式B是分式A的“关联分式”. 例如: 与 , , 是 的“关联分式”. (1)已知分式 ,则 __________ 的“关联分式”(填“是”或“不是”); (2)求分式 的“关联分式”; (3)观察(1)(2)的结果,寻找规律,直接写出分式 的“关联分式”:__________. 【答案】(1)是 (2) (3) 【知识点】分式加减乘除混合运算 【分析】本题考查用新定义解决数学问题,熟练掌握分式混合运算法则是求解本题的基础. (1)根据关联分式的定义判断; (2)仿照和谐小组成员的方法,设 的关联分式是N,则 ,求出N即可;(3)根据(1)(2)的结果找出规律,再利用规律求解. 【详解】(1)解:∵ , , ∴ 是 的“关联分式”. 故答案为:是; (2)解:设 的关联分式是N,则: , ∴ , ∴ ∴ ; (3)解:由(1)(2)知: 的关联分式为: . 故答案为: . 23.(24-25七年级下·全国·课后作业)定义:若一个分式能化成一个整式与一个分子为常数的分式的和的 形式,则称这个分式为“和谐分式”. (1)给出下列分式: ; ; ; .其中属于“和谐分式”的是_______(填序 ① ② ③ ④ 号); (2)将“和谐分式” 化成一个整式与一个分子为常数的分式的和的形式; (3)化简 .若该式的值为整数,求x的整数值. 【答案】(1)①③④ (2) (3) 【知识点】分式加减乘除混合运算、分式有意义的条件 【分析】本题主要考查新定义运算,分式的混合运算法则,理解“和谐分式”的定义,掌握分式的混合运 算法则是解题的关键.(1)根据分式加减运算法则,再根据“和谐分式”的定义进行判定即可; (2)根据分式加减运算法则,再根据“和谐分式”的定义进行判定即可; (3)先根据分式的混合运算法则先化简得 ,再根据该式的值为整数,得到 或 , 最后根据分式有意义的条件得到 ,由此即可求解. 【详解】(1)解:① ,属于“和谐分式”; ② ,不属于“和谐分式”; ③ ,属于“和谐分式”; ④ ,属于“和谐分式”; ∴属于“和谐分式”的是①③④, 故答案为:①③④; (2)解: . (3)解: . ∵该式的值为整数, ∴ 或 , 解得 或 或1或 . 又∵ ,∴ , ∴ . 24.(24-25八年级上·贵州铜仁·期中)定义:若两个分式的和为n(n为正整数),则称这两个分式互为 “n阶分式”,例如: ,则分式 与 互为“3阶分式”. (1)分式 与 互为“________阶分式”; (2)已知正数x,y满足 ,求证:分式 与 互为“2阶分式”; (3)若分式 与 互为“1阶分式”(其中a,b均为正数),求 的值. 【答案】(1)5 (2)详见解析 (3) 【知识点】分式加减乘除混合运算 【分析】本题主要考查了新定义,分式的化简,解分式方程等知识点,弄清题中的新定义的含义是解决此 题的关键. (1)根据新定义计算即可得解; (2)将 代入 得,求证计算结果为2即可; (3)列出等式 ,再根据分式的运算法则计算即可得解. 【详解】(1)解: , 分式 与 互为“5阶分式” 故答案为:5; (2)证明:把 代入 得, , 与 互为“2阶分式”;(3)解: 分式 与 互为”1阶分式”, , , ,即 , 又 为正数, , 的值为 . 25.(24-25八年级下·湖南衡阳·阶段练习)定义:若分式 与分式 的差等于它们的积,即 , 则称分式 是分式 的“分裂分式”.如 与 ,因为 ,所以 是 的“分裂分式”. (1)填空:分式 ___________分式 的“分裂分式”(填“是”或“不是”); (2)分式 是分式 的“分裂分式”.求整数 为何值时,分式 的值是正整数,并写出分式 的值. (3)若关于 的分式 是关于 的分式 的“分裂分式”,求 的值. 【答案】(1)是 (2) 时, ; 时, ; 时, (3) 【知识点】分式加减乘除混合运算、构造二元一次方程组求解 【分析】(1)根据“分裂分式”的定义进行判断即可; (2)先根据“分裂分式”的定义列式求得分式A的表达式;再根据整除的定义进行求解即可; (3)设关于 的分式 的“分裂分式”为M,求出 ,根据关于 的分式 是关于 的分式 的“分裂分式”,得出 ,求出 即 可.【详解】(1)解:∵ , , ∴ , ∴分式 是 分式的“分裂分式”; 故答案为:是; (2)解:∵分式 是分式A的“分裂分式”, ∴ , ∴ , ∴ ; ∵整数 使得分式A的值是正整数, , ∴ 时, , 时, , 时, ; (3)解:设关于 的分式 的“分裂分式”为M,则: , ∴ ,∵关于 的分式 是关于 的分式 的“分裂分式”, ∴ , 整理得: , 解得: . 【点睛】本题主要考查了分式混合运算的应用,新定义运算,解方程组,代数式求值,解题的关键是熟练 掌握分式混合运算法则,准确计算. 26.(24-25八年级上·广东汕头·期末)定义:若分式M与分式N的差等于它们的积,即 ,则 称分式N是分式M的“关联分式”.如 与 ,因为 , , 所以 是 的“关联分式”. (1)请判断分式 与分式 是否为“关联分式”,并说明理由; (2)小明在求分式 的“关联分式”时,用了以下方法: 设 的“关联分式”为N,则 , ∴ ,∴ . 请你仿照小明的方法求分式 的“关联分式”; (3)①观察(1)、(2)的结果,寻找规律,直接写出分式 的“关联分式”:__________; ②用发现的规律解决问题:若 是 的“关联分式”,求实数m,n的值. 【答案】(1) 与分式 是“关联分式”,理由见解析 (2)(3)① ;② 【知识点】分式加减乘除混合运算、求不等式组的解集 【分析】本题属于创新探究类试题,主要考查了分式的混合运算、解不等式组等知识点,理解“关联分 式”的定义是解决本题的关键. (1)根据关联分式的定义进行判断即可; (2)仿照题目中给到的方法进行求解即可; (3)①根据(1)(2)找规律求解;②由①推出的结论列不等式组求解即可. 【详解】(1)解: 是 的“关联分式”,理由如下: ∵ , , ∴ 是 的“关联分式”. (2)解:设 的“关联分式”为N,则 , ∴ ,即 , ∴ ,即 . (3)解:①设 的“关联分式”为N,则 , ∴ ,即 , ∴ ,即 . 故答案为: ; ②由题意,可得 , 整理得 ,解得 . 【考点六 分式的混合运算假分数问题】 27.(24-25八年级上·辽宁·期末)分式中,在分子、分母都是整式的情况下,如果分子的次数低于分母的 次数,称这样的分式为真分式,例如:分式 , 是真分式.如果分子的次数不低于分母的次数,称这样的分式为假分式.例如: . (1)将假分式 化为一个整数与一个真分式的和; (2)若x是整数,且假分式 的值为正整数,求x的值; (3)若假分式 化为一个整式与一个真分式的和的形式为 ,A,B均为关于x的多项式,若 , ,求 的最小值. 【答案】(1) (2) 或4或6 (3)75 【知识点】分式加减乘除混合运算、分式化简求值 【分析】本题主要考查了分式的性质、分式的化简、分式的加减等内容,熟练掌握相关知识是解题的关键. (1)仿照例题操作即可得解; (2)先将化成一个整式和真分式的和,再看真分式是整数即可得解; (3)先将式 化成A的形式,再得到a和b的式子,进而利用完全平方式求解即可. 【详解】(1)解: ; (2)解:∵ 为正整数, , ∴ , ∴ , ∵ , 又 ,且为整数, 为正整数, ∴ 或2或4, ∴ 或4或6;(3)解: , , , , , , , , , , , 当 ,即 时,有最小值75, 的最小值为75. 28.(24-25八年级上·山东济宁·期末)阅读:在分式中,当分子的次数大于或等于分母的次数时,我们称 之为“假分式”,例如: , 这样的分式就是假分式;当分子的次数小于分母的次数时,我们称 之为“真分式”,例如: , 这样的分式就是真分式,我们知道,假分数可以化为带分数,例如: .类似的,假分式也可以化为“带分式”,即整式与真分式的和的形式,例如: ; . 请根据上述材料,解答下列问题: (1)填空:①分式 是______分式(填“真”或“假”). ②把下列假分式化成一个整式与一个真分式的和(差)的形式: ______+______.(2)把分式 化成一个整式与一个真分式的和(差)的形式,并求x取何整数时,这个分式的值为 整数. 【答案】(1)①真;②x, ; (2) , 或 或 或 【知识点】分式加减乘除混合运算、分式化简求值 【分析】本题考查了分式的混合运算,熟练掌握运算法则是解本题的关键. (1)①根据真分式的定义判断即可;②根据材料中的方法变形即可得到结果; (2)原式利用材料中的方法变形,即可确定出分式的值为整数时整数x的值; 【详解】(1)①分式 中,分子2可看作 ,最高次数是 ;分母 的最高次数是 ,分子的最 高次数低于分母的最高次数, ∴分式 是真分式; ② ; 故答案为:真;x, ; (2)解: , ∵这个分式的值为整数, ∴ 或 或 或 , 或 或 或 . 29.(24-25八年级上·山东滨州·期末)阅读下列材料: 通过小学的学习我们知道,分数可分为“真分数”和“假分数”.而假分数都可化为带分数,如: .我们定义:在分式中,对于只含有一个字母的分式,当分子的次数大于或等于分母的次数时,我们称之为“假分式”;当分子的次数小于分母的次数时,我们称之为“真分式”. 如: 这样的分式就是假分式;再如: 这样的分式就是真分式.类似的,假分式也可 以化为带分式(即:整式与真分式的和的形式) 如: ; 再如: . 解决下列问题: (1)分式 是_______(填“真分式”或“假分式”); (2)如果分式 的值为整数,求出所有符合条件的整数x的值. (3)把分式 化成一个带分式(即:整式与真分式的和的形式),体现化简过程. 【答案】(1)假 (2) 或 (3) 【知识点】分式的判断、分式加减乘除混合运算 【分析】本题主要考查了分式的加减法、分式的定义,解题时要熟练掌握并能灵活运用是关键. (1)依据题意,由假分式的定义即可判断得解; (2)依据题意得 ,结合题意可得 从而求出结果; (3)根据题意 化简即可得出结果. 【详解】(1)解:由题意,∵当分子的次数大于或等于分母的次数时,我们称之为“假分式”, ∴分式 是假分式. 故答案为:假; (2)由题意得: , 分式 的值为整数, . 或 ; (3) .【考点七 分式的混合运算“倒数法”求值问题】 30.(24-25八年级上·内蒙古呼和浩特·期末)阅读下面的解题过程: 已知: ,求 的值. 解:由 ,可知 , ,即 ① ②, 故 的值为 . (1)第②步 运用了公式:______;(要求:用含a、b的式子表示) (2)上题的解法叫做“倒数法”,请你利用“倒数法”解决下面的问题: 已知: ,求 的值; (3)已知: ,求 的值. 【答案】(1) 或 (2) (3) 【知识点】通过对完全平方公式变形求值、分式加减乘除混合运算 【分析】本题考查了分式的混合运算以及倒数法的应用,读懂题意并能正确应用倒数法解题是关键. (1)由完全平方公式变化得到结果; (2)仿照示例,应用倒数法,可求得结果; (3)先分别求出 的值,应用倒数法,即可得到结果. 【详解】(1)解: 或 ; (2); (3) . 31.(24-25八年级上·山东淄博·阶段练习)(一)操作发现:阅读下列解题过程:已知 ,求 的值. 解:由 ,知 ,所以 ,即 . , 的值为7的倒数,即 . 以上解法中先将已知等式的两边“取倒数”,然后求出待求式子倒数的值,我们把此题的这种解法叫做 “倒数法”, (二)实践探索:请你利用“倒数法”解决下面问题: 已知 ,求 的值. (三)问题解决: 已知: .求代数式 的值. 【答案】实践探索: ;问题解决:6 【知识点】倒数、通过对完全平方公式变形求值、分式的求值、分式加减乘除混合运算 【分析】实践探索:把已知等式变形求出 的值,再把所求的式子变形后进行计算即可; 问题解决: 得出 , , ,求出,得出 , , ,再求出结果即可. 【详解】实践探索:解:由 ,知 , ∴ , ∴ , ∴ , ∴ , ∴ 的值为61的倒数,即 . 问题解决:由 可知: , , , ∴ , , , ∴ , ∴ , ∴ , ∴ , ,∴ , , , ∴ . 【点睛】本题考查了分式加减运算,倒数定义,完全平方公式的变形求值,理解例题的思路是解题的关键. 32.(24-25八年级上·山东烟台·期中)阅读下面的解题过程: 已知 ,求 的值. 解:由 知 ,所以 ,即 所以: 所以 的值为 该题的解法叫“倒数法”,请你也利用“倒数法”解决下列问题: (1)已知 ,求 的值; (2)若 ,求 的值; (3)拓展:已知 , , ,求 的值. 【答案】(1) ; (2) ; (3) . 【知识点】通过对完全平方公式变形求值、分式加减乘除混合运算 【分析】本题考查了分式的运算、运用完全平方公式分解因式,解决本题的关键是理解题目给出的解题思 路,仿照例题的解题思路解题. 根据 可得 ,根据 求出 的值,可得 ; 仿照例题先求倒数可得: ,根据 可求 的值,可 得 ;仿照例题求倒数可得: , , ,可得 ,所以可得 ,利用倒数法可得 . 【详解】(1)解: ,可知 , , , , ; (2)解: ,可知 , , , , , ; (3)解: , , ,可知 , , , , , , , , , , , ,. 33.(23-24八年级上·云南昆明·期末)阅读下面的解题过程:已知 ,求 的值. 解:由 知 ,所以 ,即 . 因此 ,所以 的值为 . 该题的解法叫做“倒数法”,请你利用“倒数法”解决下面的问题: 已知 ,求 的值. 【答案】 【知识点】倒数、分式加减乘除混合运算、分式化简求值 【分析】本题考查的是分式的混合运算,熟知分式混合运算的法则是解题的关键.先根据题意求出 的 值,再求出代数式倒数的值,进而得出结论. 【详解】解:由 知 ,即 , .