从电化学基础通俗说明碱性水电解的基本原理
水电解系统通过直流电源将水分解为氢气与氧气。氢离子迁移至阴极得到电子生成氢气,而氢氧根离子(OH⁻)迁移至阳极生成氧气。隔膜将电极分隔开,使气体在对应腔室内稳定收集(如下图所示)。

图示:碱性电解水流程图
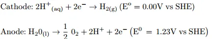
在采用酸性或中性电解质水溶液进行水电解时,电极表面发生的反应可由以下方程式描述:

将上述两个反应合并,即可得到水电解的总反应式:

在碱性水电解过程中,通常采用氢氧化钾(KOH)等强碱来促进氢氧根离子向阳极迁移。氢氧根离子在阳极释放电子,电子经外电路回流至电源。镍因成本低廉、易于获取且催化性能优异,常被用作电极材料。相较于氢氧化钠(NaOH),氢氧化钾因电导率更高、腐蚀性更低而更受青睐。电解质中高效的离子迁移能力对提升体系整体电导率与运行性能至关重要。

夜雨聆风