乐于分享
好东西不私藏

伟思箱式流量计/测流箱现场施工安装教程

伟思箱式流量计/测流箱现场施工安装教程

伟思LSC系列箱式时差法明渠流量计

1.伟思LSC-XX系列超声波箱式时差法明渠流量计是徐州市伟思水务科技有限公司依据SL/186-1997《超声波流速仪》、GB/T11826.2-2012《流速流量仪器第2部份:声学流速仪》、GB/T21303-2007《灌溉渠道系统量水规范》等国家规范,自行研制与生产的一款针对明渠渠道流量检测的专业设备,具备测量精度较高、安装与维护简单和使用寿命长等特点。
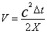
2. 多层时差法流速仪是利用多组超声波换能器分层(每层一对)安装于灌渠二侧。通过采集控制器分时的控制每层的超声波换能器相向交替收发超声波。通过检测超声波在水中顺流和逆流传播的时间差来间接的算出水的流速。其每层的流速为:
  式中:V为层流速,C为超声波在水中的传播速度,△t为超声波在该层顺逆流的时差,X为同层的超声波换能器在水流方向上的距离。  通过分层的算出各自的流速进而可以算出该断面的平均流速,采集仪得到这个流速后结合液位传感器测出的液位及箱体的固有尺寸算出过流断面积进而计算出断面的流量。  
3. 本套测流设备主要由箱式超声波明渠流量计(内含多对超声波换能器、采集控制器、高精度电子水尺)、传输模块和供电单元组成。  
4. 我司通过对国内外诸多厂家的明渠测流设备功能与特点的统计与分析,总结出普遍存在诸多问题后(如:渠道结构多样性、水质较差,漂浮物较多、淤泥沉淀和阻水等情况),为了能解决传统产品的局限性,针对性的设计与研发了本测流系统,经过在诸多项目中的实际应用,取得了极佳的应用效果。  
5. 本测流系统采用多层结构,通过测量不同水深的层流速,并多次取值,通过数据建模方式用数学的方法求得平均流速,具有极高的准确性; 
6. 多层超声波换能器组和水位计及采集控制器均嵌入一个箱体内免去了现场安装时需要换能器对准与接线的难度,同时箱体的入水口采用喇叺口式结构起到不阻水、减少水草、漂浮物等附着,大大减少了维护工作量;  由于本测流系统采用多层传感器结构,运行一段时间后可建立层流速分布模型,即使某层出现故障本设备依旧可以正常的工作。  所用超声波换能器采用大功率驱动,具有超强的信号发送能力和较高的接收灵敏度,在较恶劣的环境下也能正常工作。  水下工作设备均采用IP68防护。

安装教程

第一步、底部垫平

第二步、底部放防水胶皮

第三步、上游两侧固定止水条

注意:要保持止水条垂直牢固

第四步、放测流箱,并保证水平,处于两侧止水条中间,测流箱底部贴有水流方向箭头,与实际水流方向一致。

第五步、下游安装四个顶丝,两侧上下各两个,并确保顶丝拧紧牢固

第六步、前后测流箱底部混凝土抹平

第七步、切割走线槽

第八步、布设穿线管到基础处。

第九步、抹平穿线管槽

第十步、整体效果图