当前位置:首页>文档>3.5.1有机合成的主要任务-练习-下学期高二化学同步精品课堂(新教材人教版选择性必修3)(原卷版)_E015高中全科试卷_化学试题_选修3_5.新版人教版高中化学试卷选择性必修3_2.同步练习

3.5.1有机合成的主要任务-练习-下学期高二化学同步精品课堂(新教材人教版选择性必修3)(原卷版)_E015高中全科试卷_化学试题_选修3_5.新版人教版高中化学试卷选择性必修3_2.同步练习

  • 2026-04-09 11:23:41 2026-02-15 01:53:29

文档预览

3.5.1有机合成的主要任务-练习-下学期高二化学同步精品课堂(新教材人教版选择性必修3)(原卷版)_E015高中全科试卷_化学试题_选修3_5.新版人教版高中化学试卷选择性必修3_2.同步练习
3.5.1有机合成的主要任务-练习-下学期高二化学同步精品课堂(新教材人教版选择性必修3)(原卷版)_E015高中全科试卷_化学试题_选修3_5.新版人教版高中化学试卷选择性必修3_2.同步练习
3.5.1有机合成的主要任务-练习-下学期高二化学同步精品课堂(新教材人教版选择性必修3)(原卷版)_E015高中全科试卷_化学试题_选修3_5.新版人教版高中化学试卷选择性必修3_2.同步练习
3.5.1有机合成的主要任务-练习-下学期高二化学同步精品课堂(新教材人教版选择性必修3)(原卷版)_E015高中全科试卷_化学试题_选修3_5.新版人教版高中化学试卷选择性必修3_2.同步练习
3.5.1有机合成的主要任务-练习-下学期高二化学同步精品课堂(新教材人教版选择性必修3)(原卷版)_E015高中全科试卷_化学试题_选修3_5.新版人教版高中化学试卷选择性必修3_2.同步练习
3.5.1有机合成的主要任务-练习-下学期高二化学同步精品课堂(新教材人教版选择性必修3)(原卷版)_E015高中全科试卷_化学试题_选修3_5.新版人教版高中化学试卷选择性必修3_2.同步练习
3.5.1有机合成的主要任务-练习-下学期高二化学同步精品课堂(新教材人教版选择性必修3)(原卷版)_E015高中全科试卷_化学试题_选修3_5.新版人教版高中化学试卷选择性必修3_2.同步练习
3.5.1有机合成的主要任务-练习-下学期高二化学同步精品课堂(新教材人教版选择性必修3)(原卷版)_E015高中全科试卷_化学试题_选修3_5.新版人教版高中化学试卷选择性必修3_2.同步练习
3.5.1有机合成的主要任务-练习-下学期高二化学同步精品课堂(新教材人教版选择性必修3)(原卷版)_E015高中全科试卷_化学试题_选修3_5.新版人教版高中化学试卷选择性必修3_2.同步练习

文档信息

文档格式
docx
文档大小
0.618 MB
文档页数
9 页
上传时间
2026-02-15 01:53:29

文档内容

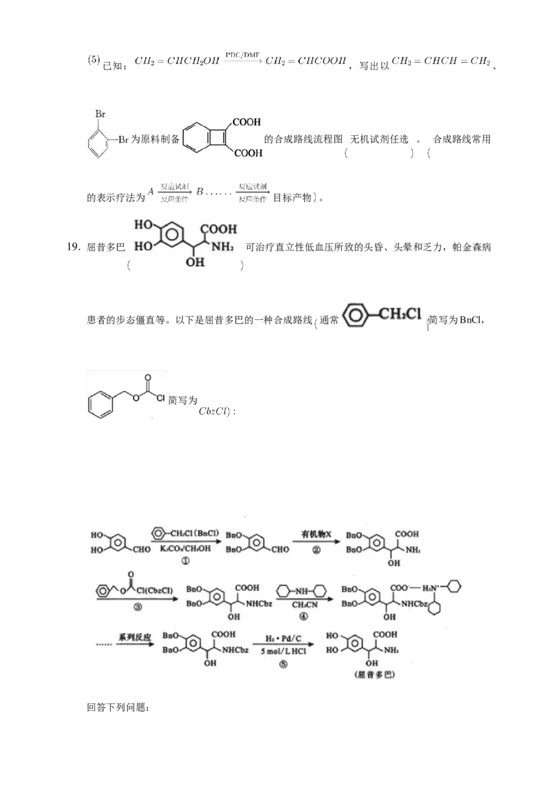
第三章 烃的衍生物 第五节 有机合成 第1课时 有机合成的主要任务 一、单选题 1. 金刚胺脘是最早用于抑制流感病毒的抗病毒药,气合成路线如图所示。下列说法不正确的是 A. 金刚烷的分子式是 B. X的一种同分异构体是芳香族化合物 C. 上述反应都属于取代反应 D. 金刚烷胺的一溴代物有四种 2. 有机物A是合成二氢荆芥内酯的重要原料,其结构简式为 ,下列检验A中官能团的试 剂和顺序正确的是 A. 先加酸性高锰酸钾溶液,后加银氨溶液,微热 B. 先加溴水,后加酸性高锰酸钾溶液 C. 先加新制氢氧化铜悬浊液,微热,再加入溴水 D. 先加入银氨溶液,微热,酸化后再加溴水 3. 有机化合物分子中能引入卤素原子的反应是 在空气中燃烧 取代反应 加成反应 加聚反应 A. B. C. D. 4. 转变成 需经过下列哪种合成途径 A. 消去 加成 消去 B. 加成 消去 脱水C. 加成 消去 加成 D. 取代 消去 加成 5. 有机合成的关键是构建官能团和碳骨架,下列反应不能引入 的是 A. 醛还原反应 B. 酯类水解反应 C. 卤代烃水解 D. 烷烃取代反应 6. 有机化合物分子中能引入卤素原子的反应是 在空气中燃烧 取代反应 加成反应 加聚反应 A. B. C. D. 7. 如下流程中a、b、c、d、e、f是六种有机物,其中a是烃类,其余是烃的衍生物,下列有关说 法正确的是 A. 若a的相对分子质量是42,则d是乙醛 B. 若d的相对分子质量是44,则a是乙炔 C. 若a为苯乙烯 ,则f的分子式是 D. 若a为单烯烃,则d与f的最简式一定相同 8. 下列反应过程中不能引入醇羟基的是 A. 醛的氧化反应 B. 卤代烃的取代反应 C. 烯烃的加成反应 D. 酯的水解反应 9. 有机物甲的结构简式为: ,它可以通过下列路线合成 分离方法和其他产 物已经略去 :下列说法不正确的是 A. 甲可以发生取代反应、加成反应和缩聚反应B. 步骤I的反应方程式是: C. 步骤 IV的反应类型是取代反应 D. 步骤 I和 IV在合成甲过程中的目的是保护氨基不被氧化 10. 能在有机物的分子中引入羟基官能团的反应类型有:a、酯化反应,b、取代反应,c、消去反 应,d、加成反应,e、水解反应.其中正确的组合有 A. a、b、c B. d、e C. b、d、e D. b、c、d、e 11. 以环己醇为原料有如下合成路线: ,则下列说法正确的是 A. 反应 的反应条件是:NaOH溶液、加热 B. 反应 的反应类型是取代反应 C. 环己醇属于芳香醇 D. 反应 中需加入溴水 12. 在有机合成中,常会将官能团转化,下列相关过程中反应类型及相关产物不合理的是 A. 乙烯 乙二醇: B. 溴乙烷 乙醇: C. 溴 丁 烷 丁 炔 : D. 乙烯 乙炔:13. 对氨基苯甲酸可用甲苯为原料合成。已知 苯环上的硝基可被还原为氨基: ,产物苯胺还原性强,易被氧化; 为邻、对位取代定位基,而 为间位取代定位基。则由甲苯合成对氨基苯甲酸的步骤 合理的是 A. 甲苯 对氨基苯甲酸 B. 甲苯 对氨基苯甲酸 C. 甲苯 对氨基苯甲酸 D. 甲苯 对氨基苯甲酸 14. 下图是一些常见有机物的转化关系,关于反应 的说法正确的是 A. 反应 是加成反应,产物的结构简式 B. 反应 是氧化反应,其中 是去氢氧化 C. 反应 是取代反应,其中 是酯化反应反应 D. 是消去反应,反应的副产物中有 气体15. 佩戴口罩对预防新冠疫情有非常重要的作用,口罩中间层为聚丙烯熔喷布,用丙醛 制取聚丙烯的过程中发生的反应类型为 取代 消去 加聚 缩聚 氧化 还原 A. B. C. D. 二、填空题 16. 从樟科植物枝叶提取的精油中含有甲、乙两种成分: 含氧官能团的名称,甲:_______;乙__________。 由甲转化为乙的过程为 已略去无关产物 反应II的反应类型为 ____________,Y的结构简式___________________。 设计步骤I的目的是___________________________________________________________。 按顺序写出检验X中卤素原子所需的试剂________________________________。 17. 有机物 是一种治疗肺结核药物的有效成分,有机物G是一种食用香料,以甲苯为原 料合成这两种物质的路线如图所示:已知: 为 或 回答下列问题: 生成A的反应类型是______。 中含氧官能团的名称是______,试剂a的结构简式为______。 写出由A生成B的化学方程式______。 肉桂酸的官能团______ 当试剂d过量时,可以选用的试剂d是______ 填字母序号 。 肉桂酸有多种同分异构体,符合下列条件的有______种。 苯环上有三个取代基; 能发生银镜反应,且1mol该有机物最多生成4mol Ag。 由上述符合条件的同分异构体中,写出苯环上有两种不同化学环境氢原子的有机物的结构简式 ______ 任写一种即可三、流程题 18. 化合物H是治疗失眠症药物雷美替胺的中间体,其合成路线如下: 完成下列填空: 物质G的分子式为______________。 反应 类型为_________________。 若没有设计反应 ,则化合物H中可能混有杂质,该杂质同样含有一个六元环和两个五元 环,写出生成该杂质反应的化学方程式_______________。 写 出 同 时 满 足 下 列 条 件 的 物 质 H 的 所 有 同 分 异 构 体 的 结 构 简 式 _________________________________。 属于芳香族化合物; 能发生银镜反应和水解反应; 谱表明分子中有5种氢原子,IR谱显示存在碳碳双键。已知: ,写出以 、 为原料制备 的合成路线流程图 无机试剂任选 。 合成路线常用 的表示疗法为 目标产物 。 19. 屈昔多巴 可治疗直立性低血压所致的头昏、头晕和乏力,帕金森病 患者的步态僵直等。以下是屈昔多巴的一种合成路线 通常 简写为BnCl, 简写为 回答下列问题:反应 的反应类型为_____,其作用为_____。 屈昔多巴中所含的非含氧官能团名称为____,屈昔多巴分子中有________个手性碳原子。 反应 为加成反应,有机物X的名称为_______________________________。 显________ 填“酸”、“中”或“碱” 性, 写出其与盐酸反应的化学方程式____________________________________________。 的同分异构体中,能与 溶液反应生成 的二取代芳香化合 物有_______种,其中核磁共振氢谱为四组峰的结构简式为_______ 任写一种 。 参照上述合成路线,以对羟基苯甲醛为原料 无机试剂任选 ,设计制备对羟基苯甲酸的合 成路线____________________________。