当前位置:首页>文档>第五单元交通与社会变迁(B卷•能力提升卷)(原卷版)-单元测试2022-2023学年高二历史分层训练AB卷(选择性必修2)_E015高中全科试卷_历史试题_选修2_单元测试AB卷2023年

第五单元交通与社会变迁(B卷•能力提升卷)(原卷版)-单元测试2022-2023学年高二历史分层训练AB卷(选择性必修2)_E015高中全科试卷_历史试题_选修2_单元测试AB卷2023年

  • 2026-04-11 07:38:01 2026-02-16 07:22:12

文档预览

第五单元交通与社会变迁(B卷•能力提升卷)(原卷版)-单元测试2022-2023学年高二历史分层训练AB卷(选择性必修2)_E015高中全科试卷_历史试题_选修2_单元测试AB卷2023年
第五单元交通与社会变迁(B卷•能力提升卷)(原卷版)-单元测试2022-2023学年高二历史分层训练AB卷(选择性必修2)_E015高中全科试卷_历史试题_选修2_单元测试AB卷2023年
第五单元交通与社会变迁(B卷•能力提升卷)(原卷版)-单元测试2022-2023学年高二历史分层训练AB卷(选择性必修2)_E015高中全科试卷_历史试题_选修2_单元测试AB卷2023年
第五单元交通与社会变迁(B卷•能力提升卷)(原卷版)-单元测试2022-2023学年高二历史分层训练AB卷(选择性必修2)_E015高中全科试卷_历史试题_选修2_单元测试AB卷2023年
第五单元交通与社会变迁(B卷•能力提升卷)(原卷版)-单元测试2022-2023学年高二历史分层训练AB卷(选择性必修2)_E015高中全科试卷_历史试题_选修2_单元测试AB卷2023年
第五单元交通与社会变迁(B卷•能力提升卷)(原卷版)-单元测试2022-2023学年高二历史分层训练AB卷(选择性必修2)_E015高中全科试卷_历史试题_选修2_单元测试AB卷2023年

文档信息

文档格式
docx
文档大小
0.819 MB
文档页数
6 页
上传时间
2026-02-16 07:22:12

文档内容

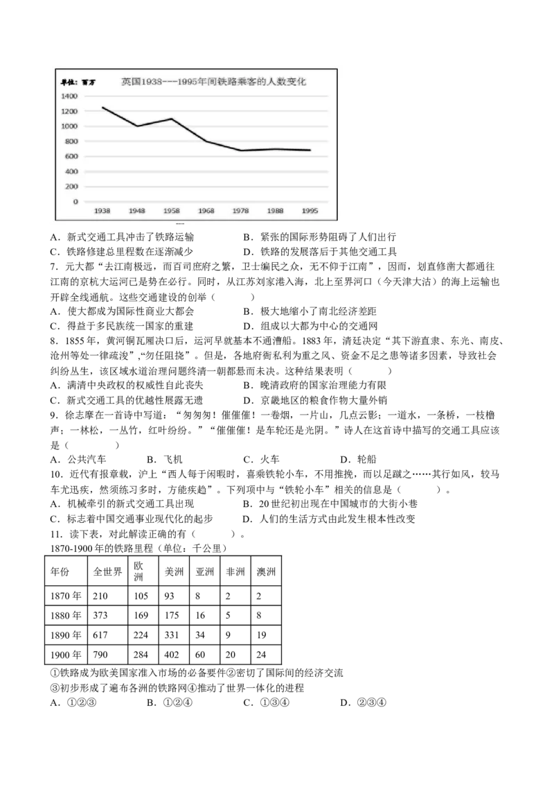
班级 姓名 学号 分数 第五单元 交通与社会变迁(B 卷·能力提升卷) (时间:75分钟,满分:100分) 第Ⅰ卷(选择题) 题号 1 2 3 4 5 6 7 8 9 10 11 12 13 14 15 答案 一、选择题(本题共15小题,每小题3分,共45分。) 1.《天津地理买卖杂字》载:“东门里,有圣庙,府署以前西箭道。天主教,耶稣教,东马路上天齐庙。 四马路,安电线,白牌电车围城转。……西北角,自来水,西头湾子梁家嘴。……西南角,广仁堂,电车 公司叫卖行。”材料反映当时的天津( ) ①有轨电车交通系统落成 ②具有中西文化交融特色 ③封建迷信思想十分浓厚 ④近代电信事业得到发展 A.①② B.②③ C.③④ D.①④ 2.1910年,上海某刊载:“一车辟易人百千,双轮足值价万钱。汽声呜呜向前进,按机四顾心雄然。未 过泥城尘似烟,忽来马路灰扑天…行路难,行路难,逢窄路,真可骇。”据此判断,材料中的这种交通工 具是( ) A.由英国人最早发明 B.上海新推出的公共交通工具 C.中国交通事业现代化的标志 D.以内燃机为动力的运输工具 3.共和国时期,罗马已经修筑了通向南方卡普亚的阿庇安大道。帝国建立后,罗马人筑路的步伐并未停 止,如德鲁苏斯战役后,克劳迪亚大道“使得阿尔卑斯山脉可以通行”;1世纪末2世纪初,罗马道路修 筑至中东地区等。据此可知,古代罗马( ) A.对外扩张促进交通发展 B.交通进步保障边境安定 C.道路修建维持帝国繁荣 D.边疆开发加快道路建设 4.中东铁路建成后,旅顺通往圣彼得堡的旅程只要十三四天;转至伦敦,也不过十五天左右。与走海道 相比减省一半时间,路费也大为减少,只及原需路费的半数。对此解释合理的是( ) A.俄国对中国的资本输出较多 B.英俄间贸易往来比较频繁 C.近代交通发展便利商品出口 D.近代交通发展促进人员流动 5.从远古时代到如今万物互联网时代,人类自诞生之日起,每一个影响到世界的颠覆性变革,其背后的 核心驱动力都是科技大爆发。下列科技成果按先后次序排列正确的是( ) ①出现世界上第一条商业化运营的磁悬浮列车专线 ②世界上第一条横跨大西洋连接欧美两洲的海底电缆铺设成功 ③世界上第一台彩色电视机的诞生 ④世界上首次人工合成结晶牛胰岛素 A.①②③④ B.④③②① C.②③④① D.③④②① 6.如图反映出( )A.新式交通工具冲击了铁路运输 B.紧张的国际形势阻碍了人们出行 C.铁路修建总里程数在逐渐减少 D.铁路的发展落后于其他交通工具 7.元大都“去江南极远,而百司庶府之繁,卫士编民之众,无不仰于江南”,因而,划直修凿大都通往 江南的京杭大运河已是势在必行。同时,从江苏刘家港入海,北上至界河口(今天津大沽)的海上运输也 开辟全线通航。这些交通建设的创举( ) A.使大都成为国际性商业大都会 B.极大地缩小了南北经济差距 C.得益于多民族统一国家的重建 D.组成以大都为中心的交通网 8.1855年,黄河铜瓦厢决口后,运河早就基本不通漕船。1883年,清廷决定“其下游直隶、东光、南皮、 沧州等处一律疏浚”,“勿任阻挠”。但是,各地府衙私利为重之风、资金不足之患等诸多因素,导致社会 纠纷丛生,该区域水道治理问题终清一朝都悬而未决。这种结果表明( ) A.满清中央政权的权威性自此丧失 B.晚清政府的国家治理能力有限 C.新式交通工具的优越性展露无遗 D.京畿地区的粮食作物大量外销 9.徐志摩在一首诗中写道:“匆匆匆!催催催!一卷烟,一片山,几点云影;一道水,一条桥,一枝橹 声;一林松,一丛竹,红叶纷纷。”“催催催!是车轮还是光阴。”诗人在这首诗中描写的交通工具应该 是( ) A.公共汽车 B.飞机 C.火车 D.轮船 10.近代有报章载,沪上“西人每于闲暇时,喜乘铁轮小车,不用推挽,而以足蹴之……其行如风,较马 车尤迅疾,然须练习多时,方能疾趋”。下列项中与“铁轮小车”相关的信息是( )。 A.机械牵引的新式交通工具出现 B.20世纪初出现在中国城市的大街小巷 C.标志着中国交通事业现代化的起步 D.人们的生活方式由此发生根本性改变 11.读下表,对此解读正确的有( )。 1870-1900年的铁路里程(单位:千公里) 欧 年份 全世界 美洲 亚洲 非洲 澳洲 洲 1870年 210 105 93 8 2 2 1880年 373 169 175 16 5 8 1890年 617 224 331 34 9 19 1900年 790 284 402 60 20 24 ①铁路成为欧美国家准入市场的必备要件②密切了国际间的经济交流 ③初步形成了遍布各洲的铁路网④推动了世界一体化的进程 A.①②③ B.①②④ C.①③④ D.②③④12.1986年12月,中国第一个自行车生产集团——“永久”自行车集团成立。拥有一辆“永久”牌自行 车是当时年青人的梦想,也成为那一代人抹不去的记忆。这一现象说明( ) A.科技革命推动企业发展 B.改革开放影响人民生活方式 C.思想解放推动国企改革 D.现代企业制度促进经济发展 13.1922年上海的公共汽车公司在报纸上打出这样的营业广告:“要求事业速成,必须交通便利,要求事 业速成,必须时间经济,请看欧美列强由人力车而马车,由马车而脚踏车而汽车、电车,愈来愈省时间, 有利于农工商学各界。”由此可见,新式公共交通的兴起( ) A.适应了城市生活节奏日益加快的要求 B.大大加快了科学转化为生产力的速度 C.推动了报纸、广告等大众传媒的变迁 D.宣告旧式交通工具彻底退出历史舞台 14.大运河的开凿,沟通了江淮,地形所造成之南北阻碍被完全打通,长江流域与黄河流域取得直接联系, 于是文化传播,商贾贸迁,日趋便利,而运道所经由之都会,亦骤增重要而日趋繁荣,扬州其最著者也。 据此可知( ) A.交通设施建设推动了社会的发展 B.南方经济发展赶上并超过北方 C.水域的连通解决了黄河泛滥问题 D.交通便利弥补了地域文化差异 15.如表为1934年全国汽车使用情况统计表(单位:辆)。这折射出当时中国( ) 运货汽 普通汽车 公共汽车 机器脚踏车 共计 车 各 7373 8679 1544 685 18281 省 都 23734 1505 5521 1982 31742 市 共 30107 10184 7065 2667 50023 计 注:都市包括下列各地:南京、上海、广州、北平、天津、汉口、青岛、济南、旅顺、大连、澳门、广州 湾。 A.商品经济取代了自然经济 B.半殖民地特征日益明显 C.区域经济的差异日益明显 D.社会生活呈现不平衡性 第II卷(非选择题) 二、材料分析题(共55分) 16.阅读下列材料 材料一 至道光初年,大运河已千疮百孔,处处淤塞难通,整个河道仅存一线河形而已。清咸丰五年 (1855年),黄河大改道,洪水北泻,殃及山东、河南、直隶三省部分地区。清朝政府无暇顾及治黄、治 运之事,漕运逐步转为海运。1872年在上海成立轮船招商局,正式用轮船承运漕粮。1901年,清廷颁布了 停漕改折的命令:“自本年开始,直省河运海运,一律改征折色(折价征银),责成各督、抚等认真清厘 整顿,节省局费、运费,并查明各州县征收浮费,勒令缴出归公,以期成巨款。” ——摘编自王频《清代运河衰落原因论析》 材料二 目前欧洲公路兴建以每天吞噬0.1平方千米土地的速度发展,公路的二氧化碳年排放量占整个 交通运输业总排放量的八成以上,欧洲公路交通拥堵造成的经济损失已高达其GDP的0.5%,欧洲的交通事故每年造成直接经济损失1600亿欧元,随着精力充沛的退休人员增加、旅行机会增多、购买力提高等, 国际间客运量强劲增长,铁路客运市场获得新的发展机遇。而物流与信息技术的进步,以及欧盟单一市场 的诞生与发展,为开拓欧洲的铁路货运业务提供了良好的契机。铁路、城市和城际轨道交通越来越为人们 所重视,在欧洲,一个新的铁路时代已经到来。 ——摘编自耿志民、季令《欧洲铁路联盟交通政策对中国铁路的启示》 完成下列要求 (1)根据材料一并结合所学知识,说明晚清时期漕运衰落的原因。(6分) (2)根据材料二,概括分析欧洲“新的铁路时代”到来的社会背景。(6分) 17.阅读材料,回答问题。 材料一 1770—1810年英国主要运河体系的发展情况 (注:所谓运河体系,不是指单一的一条或者几条运河,而是指一系列的彼此联系的把主要大运河沟 通起来,然后给一些地方提供它们原来所没有的水路交通设施。) ——(英)杰拉德·特恩布尔《运河、煤炭与区域经济增长》 材料二 (英国)一些小村庄也因为地处交通要津而发展起来了。1760年,桑奇·布鲁克运河开通的时 候,圣·海伦还是一个小村庄,但是十年过后,首先是一个玻璃制造厂建立了,不久,一个炼铜厂又建立了, 圣·海伦就慢慢发展起来了。 ——摘编自(英)查尔斯·哈德菲尔德《运河时代》 材料三 下表是1801年、1841年运河附近部分城市的人口变化情况表 人口(千) 城市 运河通航时间 1801年 1841年 巴思 1760年以前 33 53 伯明翰 1772年 71 183 布拉德 1774年 13 67 福德 剑桥 1760年以前 10 24 卡莱尔 1823年 9 22 ——摘编自(英)查尔斯·哈德菲尔德《运河时代》根据材料并结合所学知识,就“交通建设”与“城市发展”的关系提炼一个主题,并进行合理的历 史阐释。(13分) 18.交通与社会发展密切相连。阅读材料,回答问题。 材料一 1914年,美国出现了由电力驱动的交通信号灯,为解决城市交通问题提供了便利,美国汽车制造 从此迅猛发展,城市人口不断增加,对城市道路通行提出更高要求。此后,美国开始把多个交叉路口信号灯连 接为一个联动信号系统,由人工集中控制,使路口通行能力有所提高。 ——据郑祖武《城市道路交通》等 材料二 甲午战争后中国铁路事业格局一变……至1911年,中国共修铁路8200千米……一些闭塞的地区因 铁路而活跃,一些古老的城镇因铁路而面目一新。铁路在畅通经济、带动繁荣的同时还意味着信息的流通、 知识的传播、意味着建立“铁路日常急需的各种生产过程”。所有这一切,无疑都有助于打破中国传统社 会“自给自足的惰性”,推动现代化的进程。 (1)结合所学知识,指出材料一中美国城市道路交通信号灯诞生的历史背景及其科技成果?(8分) (2)列出中国近代史上中国交通近代化起步的标志?根据材料二归纳铁路的修建对推动现代化有何积极影响。 (8分) 19.阅读材料,完成下列要求。 材料一 1941年,学者亨利首次使用“美国世纪”来称呼即将到来的新时代。二次世界大战之后,美 国汽车工业的迅猛发展证明了卢斯的说法是正确的。1946年,尽管战争的创伤还没有完全愈合。美国已售 出了180万辆汽车;1950年,美国生产的汽车占世界汽车总产量的85%。“美国世纪”中美国汽车工业的 巅峰时刻出现于1955年。朝鲜战争后的销售反弹使汽车销量创下了新的记录:700万辆。当然,当时无人 会料到“美国世纪”的时代不会持续下去,也没有人会想到美国汽车工业再也不会像1955年那样辉煌了。 1963年,当的汽车销售量再次到达1955年水平时,国外汽车特别是德国大众牌小汽车占了美国市场份额 的5%。 ——摘编自托马斯《现代资本主义-三次工业革命的成功者》 材料二中国汽车工业发展历程表 时间 特征 概况 (年) 开始尝试制造汽车并获成功,与汽车相关的修理业与配件制造业在若干地方发展起 1920-1949 萌芽期 来,但汽车制造活动不成体系,没有大量的汽车产出 苏联技 以第一车制造厂的建设与发展为中心,在上海、南京、北京等地形成地方性生产基 1949-1965 术移 地,全面移植苏联生产、技术、管理体制的方式 植期 苏联技 重心是第二汽车制造厂的建设,从法国引进技术,主要依靠中国自己力量开展建 1965-1978 术本 设,老汽车生产基地继续发展,天津、武汉等新汽车工业有所壮大 土化期 合资模式的诞生并成为主流,面向市场,其产品重心转变为作为大众消费品的轿 1978后 新发展 车,21世纪出现自主创新模式 ——据关云平《中国汽车工业的早期发展》整理 (1)根据材料一并结合所学知识,简析二战后美国汽车业发展的特点及其成因。(8分) (2)根据材料二并结合所学知识,指出中国汽车工业发展的主要趋势及影响。(6分)