当前位置:首页>文档>2025年中考数学几何模型综合训练(通用版)专题32最值模型之将军遛马模型与将军过桥(造桥)模型解读与提分精练(教师版)_02中考总复习(2026版更新中)_02-数学-中考总复习

2025年中考数学几何模型综合训练(通用版)专题32最值模型之将军遛马模型与将军过桥(造桥)模型解读与提分精练(教师版)_02中考总复习(2026版更新中)_02-数学-中考总复习

  • 2026-03-01 09:38:20 2026-03-01 09:09:01

文档预览

2025年中考数学几何模型综合训练(通用版)专题32最值模型之将军遛马模型与将军过桥(造桥)模型解读与提分精练(教师版)_02中考总复习(2026版更新中)_02-数学-中考总复习
2025年中考数学几何模型综合训练(通用版)专题32最值模型之将军遛马模型与将军过桥(造桥)模型解读与提分精练(教师版)_02中考总复习(2026版更新中)_02-数学-中考总复习
2025年中考数学几何模型综合训练(通用版)专题32最值模型之将军遛马模型与将军过桥(造桥)模型解读与提分精练(教师版)_02中考总复习(2026版更新中)_02-数学-中考总复习
2025年中考数学几何模型综合训练(通用版)专题32最值模型之将军遛马模型与将军过桥(造桥)模型解读与提分精练(教师版)_02中考总复习(2026版更新中)_02-数学-中考总复习
2025年中考数学几何模型综合训练(通用版)专题32最值模型之将军遛马模型与将军过桥(造桥)模型解读与提分精练(教师版)_02中考总复习(2026版更新中)_02-数学-中考总复习
2025年中考数学几何模型综合训练(通用版)专题32最值模型之将军遛马模型与将军过桥(造桥)模型解读与提分精练(教师版)_02中考总复习(2026版更新中)_02-数学-中考总复习
2025年中考数学几何模型综合训练(通用版)专题32最值模型之将军遛马模型与将军过桥(造桥)模型解读与提分精练(教师版)_02中考总复习(2026版更新中)_02-数学-中考总复习
2025年中考数学几何模型综合训练(通用版)专题32最值模型之将军遛马模型与将军过桥(造桥)模型解读与提分精练(教师版)_02中考总复习(2026版更新中)_02-数学-中考总复习
2025年中考数学几何模型综合训练(通用版)专题32最值模型之将军遛马模型与将军过桥(造桥)模型解读与提分精练(教师版)_02中考总复习(2026版更新中)_02-数学-中考总复习
2025年中考数学几何模型综合训练(通用版)专题32最值模型之将军遛马模型与将军过桥(造桥)模型解读与提分精练(教师版)_02中考总复习(2026版更新中)_02-数学-中考总复习
2025年中考数学几何模型综合训练(通用版)专题32最值模型之将军遛马模型与将军过桥(造桥)模型解读与提分精练(教师版)_02中考总复习(2026版更新中)_02-数学-中考总复习
2025年中考数学几何模型综合训练(通用版)专题32最值模型之将军遛马模型与将军过桥(造桥)模型解读与提分精练(教师版)_02中考总复习(2026版更新中)_02-数学-中考总复习
2025年中考数学几何模型综合训练(通用版)专题32最值模型之将军遛马模型与将军过桥(造桥)模型解读与提分精练(教师版)_02中考总复习(2026版更新中)_02-数学-中考总复习
2025年中考数学几何模型综合训练(通用版)专题32最值模型之将军遛马模型与将军过桥(造桥)模型解读与提分精练(教师版)_02中考总复习(2026版更新中)_02-数学-中考总复习
2025年中考数学几何模型综合训练(通用版)专题32最值模型之将军遛马模型与将军过桥(造桥)模型解读与提分精练(教师版)_02中考总复习(2026版更新中)_02-数学-中考总复习
2025年中考数学几何模型综合训练(通用版)专题32最值模型之将军遛马模型与将军过桥(造桥)模型解读与提分精练(教师版)_02中考总复习(2026版更新中)_02-数学-中考总复习
2025年中考数学几何模型综合训练(通用版)专题32最值模型之将军遛马模型与将军过桥(造桥)模型解读与提分精练(教师版)_02中考总复习(2026版更新中)_02-数学-中考总复习
2025年中考数学几何模型综合训练(通用版)专题32最值模型之将军遛马模型与将军过桥(造桥)模型解读与提分精练(教师版)_02中考总复习(2026版更新中)_02-数学-中考总复习
2025年中考数学几何模型综合训练(通用版)专题32最值模型之将军遛马模型与将军过桥(造桥)模型解读与提分精练(教师版)_02中考总复习(2026版更新中)_02-数学-中考总复习
2025年中考数学几何模型综合训练(通用版)专题32最值模型之将军遛马模型与将军过桥(造桥)模型解读与提分精练(教师版)_02中考总复习(2026版更新中)_02-数学-中考总复习
2025年中考数学几何模型综合训练(通用版)专题32最值模型之将军遛马模型与将军过桥(造桥)模型解读与提分精练(教师版)_02中考总复习(2026版更新中)_02-数学-中考总复习
2025年中考数学几何模型综合训练(通用版)专题32最值模型之将军遛马模型与将军过桥(造桥)模型解读与提分精练(教师版)_02中考总复习(2026版更新中)_02-数学-中考总复习
2025年中考数学几何模型综合训练(通用版)专题32最值模型之将军遛马模型与将军过桥(造桥)模型解读与提分精练(教师版)_02中考总复习(2026版更新中)_02-数学-中考总复习
2025年中考数学几何模型综合训练(通用版)专题32最值模型之将军遛马模型与将军过桥(造桥)模型解读与提分精练(教师版)_02中考总复习(2026版更新中)_02-数学-中考总复习
2025年中考数学几何模型综合训练(通用版)专题32最值模型之将军遛马模型与将军过桥(造桥)模型解读与提分精练(教师版)_02中考总复习(2026版更新中)_02-数学-中考总复习
2025年中考数学几何模型综合训练(通用版)专题32最值模型之将军遛马模型与将军过桥(造桥)模型解读与提分精练(教师版)_02中考总复习(2026版更新中)_02-数学-中考总复习
2025年中考数学几何模型综合训练(通用版)专题32最值模型之将军遛马模型与将军过桥(造桥)模型解读与提分精练(教师版)_02中考总复习(2026版更新中)_02-数学-中考总复习
2025年中考数学几何模型综合训练(通用版)专题32最值模型之将军遛马模型与将军过桥(造桥)模型解读与提分精练(教师版)_02中考总复习(2026版更新中)_02-数学-中考总复习
2025年中考数学几何模型综合训练(通用版)专题32最值模型之将军遛马模型与将军过桥(造桥)模型解读与提分精练(教师版)_02中考总复习(2026版更新中)_02-数学-中考总复习
2025年中考数学几何模型综合训练(通用版)专题32最值模型之将军遛马模型与将军过桥(造桥)模型解读与提分精练(教师版)_02中考总复习(2026版更新中)_02-数学-中考总复习
2025年中考数学几何模型综合训练(通用版)专题32最值模型之将军遛马模型与将军过桥(造桥)模型解读与提分精练(教师版)_02中考总复习(2026版更新中)_02-数学-中考总复习
2025年中考数学几何模型综合训练(通用版)专题32最值模型之将军遛马模型与将军过桥(造桥)模型解读与提分精练(教师版)_02中考总复习(2026版更新中)_02-数学-中考总复习
2025年中考数学几何模型综合训练(通用版)专题32最值模型之将军遛马模型与将军过桥(造桥)模型解读与提分精练(教师版)_02中考总复习(2026版更新中)_02-数学-中考总复习
2025年中考数学几何模型综合训练(通用版)专题32最值模型之将军遛马模型与将军过桥(造桥)模型解读与提分精练(教师版)_02中考总复习(2026版更新中)_02-数学-中考总复习
2025年中考数学几何模型综合训练(通用版)专题32最值模型之将军遛马模型与将军过桥(造桥)模型解读与提分精练(教师版)_02中考总复习(2026版更新中)_02-数学-中考总复习
2025年中考数学几何模型综合训练(通用版)专题32最值模型之将军遛马模型与将军过桥(造桥)模型解读与提分精练(教师版)_02中考总复习(2026版更新中)_02-数学-中考总复习
2025年中考数学几何模型综合训练(通用版)专题32最值模型之将军遛马模型与将军过桥(造桥)模型解读与提分精练(教师版)_02中考总复习(2026版更新中)_02-数学-中考总复习
2025年中考数学几何模型综合训练(通用版)专题32最值模型之将军遛马模型与将军过桥(造桥)模型解读与提分精练(教师版)_02中考总复习(2026版更新中)_02-数学-中考总复习
2025年中考数学几何模型综合训练(通用版)专题32最值模型之将军遛马模型与将军过桥(造桥)模型解读与提分精练(教师版)_02中考总复习(2026版更新中)_02-数学-中考总复习
2025年中考数学几何模型综合训练(通用版)专题32最值模型之将军遛马模型与将军过桥(造桥)模型解读与提分精练(教师版)_02中考总复习(2026版更新中)_02-数学-中考总复习
2025年中考数学几何模型综合训练(通用版)专题32最值模型之将军遛马模型与将军过桥(造桥)模型解读与提分精练(教师版)_02中考总复习(2026版更新中)_02-数学-中考总复习

文档信息

文档格式
docx
文档大小
3.153 MB
文档页数
41 页
上传时间
2026-03-01 09:09:01

文档内容

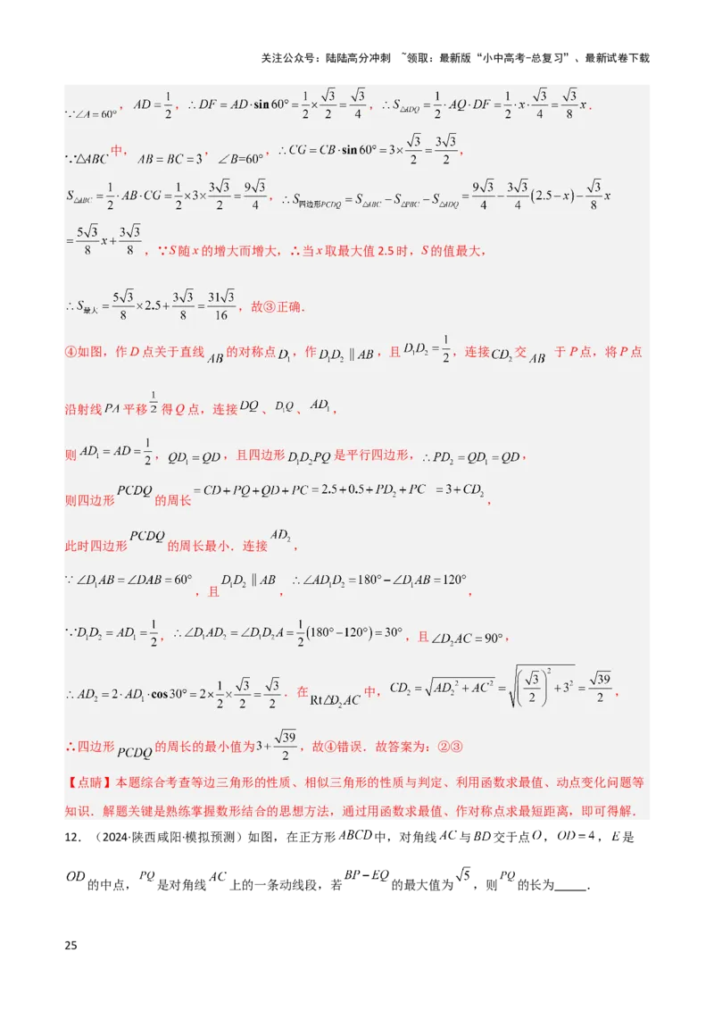
关注公众号:陆陆高分冲刺 ~领取:最新版“小中高考-总复习”、最新试卷下载 专题32 最值模型之将军遛马模型与将军过桥(造桥)模型 将军遛马模型和将军过桥(造桥)模型是将军饮马的姊妹篇,它是在将军饮马的基础上加入了平移的 思想,主要还是考查转化与化归等的数学思想。在各类考试中都以中高档题为主,本专题就将军遛马模型 和将军过桥(造桥)模型进行梳理及对应试题分析,方便掌握。 在解决将军遛马和将军过桥(造桥),不管是横向还是纵向的线段长度(定长),只要将线段按照 长度方向平移即可,即可以跨越长度转化为标准的将军饮马模型,再依据同侧做对称点变异侧,异侧直接 连线即可。利用数学的转化思想,将复杂模型变成基本模型就简单容易多了,从此将军遛马和将军过桥 (造桥)再也不是问题! ............................................................................................................................................................................2 模型1.将军遛马模型................................................................................................................................2 模型2.将军造桥(过桥)模型.................................................................................................................6 .......................................................................................................................................12 模型1.将军遛马模型 1关注公众号:陆陆高分冲刺 ~领取:最新版“小中高考-总复习”、最新试卷下载 将军遛马模型:已知A、B是两个定点,P、Q是直线m上的两个动点,P在Q的左侧,且PQ间长度恒定, 在直线m上要求P、Q两点,使得PA+PQ+QB的值最小。 点A、B在直线m异侧(图1-1);点A、B在直线m同侧 (图1-2); A A B m P Q m B P Q 图1-1 图1-2 将军遛马模型(异侧型):如图1-1,过A点作AC∥m,且AC=PQ,连接BC,交直线m于Q,Q向左平移 PQ长,即为P点,此时P、Q即为所求的点。 ∵PQ为定值,∴求PA+PQ+QB的最小值,即求PA+QB的最小值+PQ。 ∵AC∥m,AC=PQ,得到四边形APQC为平行四边形,故AP=QC。∴PA+QB=QC+QB, 再利用“两点之间线段最短”,可得PA+QB的最小值为CB,故PA+PQ+QB的最小值=PQ+CB. A E A C B m m P Q P Q B B' 图1-1 图1-2 将军遛马模型(同侧型):如图1-2,过A点作AE∥m,且AE=PQ,作B关于m的对称点B’,连接B’E,交 直线m于Q,Q向左平移PQ长,即为P点,此时P、Q即为所求的点。 ∵PQ为定值,∴求PA+PQ+QB的最小值,即求PA+QB的最小值+PQ。 ∵AE∥m,AE=PQ,得到四边形APQE为平行四边形,故AP=QE。∴PA+QB=QE+QB, 根据对称,可得QB’=QB,即QE+QB=QE+QB’, 再利用“两点之间线段最短”,可得QE+QB’的最小值为EB’,故PA+PQ+QB的最小值=PQ+EB’。 例1.(2023·陕西·模拟预测)如图,菱形ABCD的边长为3,∠BAD=60°,点E、F在对角线AC上(点E 在点F的左侧),且EF=1,则DE+BF最小值为________ 2关注公众号:陆陆高分冲刺 ~领取:最新版“小中高考-总复习”、最新试卷下载 【答案】 【分析】作DM AC,使得DM=EF=1,连接BM交AC于F,由四边形DEFM是平行四边形,推出 DE=FM,推出DE+BF=FM+FB=BM,根据两点之间线段最短可知,此时DE+FB最短,由四边形ABCD是 菱形,在Rt BDM中,根据勾股定理计算即可. 【详解】解:△如图,作DM AC,使得DM=EF=1,连接BM交AC于F, ∵DM=EF,DM EF,∴四边形DEFM是平行四边形,∴DE=FM,∴DE+BF=FM+FB=BM, 根据两点之间线段最短可知,此时DE+FB最短,∵四边形ABCD是菱形,AB=3,∠BAD=60° ∴AD=AB,∴△ABD是等边三角形,∴BD=AB=3, ∵BD⊥AC,DM∥AC,∴BD⊥DM,在Rt BDM中,BM= = △ ∴DE+BF的最小值为 .故答案为 . 【点睛】本题考查菱形的性质、平行四边形的判定和性质、两点之间线段最短、勾股定理等知识,解题的 关键是学会添加常用辅助线,把问题转化为两点之间线段最短解决,属于中考填空题中的压轴题. 例21.(2023·安徽合肥·校考三模)在边长为2的正方形 中,点E、F是对角线 上的两个动点, 且始终保持 ,连接 、 ,则 的最小值为( ) A. B.3 C. D. 【答案】B 【分析】过点 作 使 ,易得四边形 为平行四边形,得到 ,进而得到 ,得到 三点共线时, 有最小值即为 的长,利用勾股定理进行 求解即可. 3关注公众号:陆陆高分冲刺 ~领取:最新版“小中高考-总复习”、最新试卷下载 【详解】解:过点 作 使 ,则:四边形 为平行四边形, ∴ ,∴ ,∴当 三点共线时, 有最小值即为 的长, ∵四边形 为正方形,∴ , , , ∴ , ,∴ ,即: 的最小值为3.故选B. 【点睛】本题考查正方形的性质,平行四边形的判定和性质,勾股定理.解题的关键是构造平行四边形, 进行线段的转化. 例3.(2024·河北邯郸·三模)如图,在边长为1的菱形 中, ,将 沿射线 的 方向平移得到 ,分别连接 , , ,则 的最小值为( ) A.1 B. C. D.2 【答案】C 【分析】根据菱形的性质得到 , ,根据平移的性质得到 , ,推出 四边形 是平行四边形,得到 ,于是得到 的最小值 的最小值,根据 平移的性质得到点 在过点 且平行于 的定直线上,作点 关于定直线的对称点 ,连接 交定直 线于 ,则 的长度即为 的最小值,求得 ,得到 ,于是得到结论 【详解】解:在边长为1的菱形 中, , , , 将 沿射线 的方向平移得到 , , , 四边形 是菱形, , , , , , 四边形 是平行四边形, 4关注公众号:陆陆高分冲刺 ~领取:最新版“小中高考-总复习”、最新试卷下载 , 的最小值 的最小值, 点 在过点 且平行于 的定直线上, 作点 关于定直线的对称点 ,连接 交定直线于 ,则 的长度即为 的最小值, 在 中, , , , , , , , ,作 , 过点D作 垂足为G 在 中, .故选: . 【点睛】本题考查了轴对称 最短路线问题,菱形的性质,矩形的判定和性质,解直角三角形,平移的性 质,求得 的最小值 的最小值是解题的关键. 例4.(2024·陕西西安·模拟预测)如图,在正方形 中, , 是对角线 上两点 点 靠近点 , 且 ,当 的最小值为 时, 的长为 . 【答案】 【分析】本题考查了正方形的性质,平行四边形的性质与判定,线段和的最值问题,勾股定理;平移 5关注公众号:陆陆高分冲刺 ~领取:最新版“小中高考-总复习”、最新试卷下载 至 ,则 ,连接 ,得出四边形 是平行四边形,则 , ,根 据题意可得 ,在 中,勾股定理求得 ,进而即可求解. 【详解】解:如图所示,平移 至 ,则 ,连接 , ∴四边形 是平行四边形,∴ , ,∵ ,∴ ∵在正方形 中, , 是对角线 上两点 ∴ ∴ 在 中, ∴ 故答案为: . 模型2.将军造桥(过桥)模型 将军造桥(过桥)模型:已知,如图2,将军在图中点A处,现要过河去往B点的军营,桥必须垂直于河岸 建造,问:桥建在何处能使路程最短?(即:AM+MN+NB的值最小)。 将军A 将军A M M 河 A' 河 N N B军营 B军营 6关注公众号:陆陆高分冲刺 ~领取:最新版“小中高考-总复习”、最新试卷下载 图2-1 图2-2 将军造桥(过桥)模型:如图2-2,过A点作AA’∥MN,且AA’=MN,连接A’B, ∵AA’∥MN,且AA’=MN ∴四边形APQC为平行四边形,故AM=A’N, ∵MN为定值,∴求AM+MN+NB的最小值,即求AM+NB的最小值+MN。 再利用“两点之间线段最短”,可得AM+NB的最小值为A’B,故AM+MN+NB的最小值=A’B+MN。 例1.(2023·陕西西安·校考模拟预测)如图, 中, , , , , ;垂足分别为点F和E.点G和H分别是 和 上的动点, ,那么 的 最小值为______. 【答案】 【分析】过点E作 交 于点I,连接 .易求出 , , .易证 四边形 为平行四边形,得出 ,即说明当 最小时, 最小.由当点I, H,C三点共线时, 最小.结合平行四边形的判定和性质和勾股定理求出 ,即得出 ,即可得出答案. 【详解】解:如图,过点E作 交 于点I,连接 . ∵ 中, , ,∴ ,∴ , ∴ , .∵ , ,∴ . ∵ ,∴四边形 为平行四边形,∴ .同理可得出 . ∵ , ,∴四边形 为平行四边形, ∴ ,∴四边形 为平行四边形, ∴ ,∴ ,∴当 最小时, 最小. ∵当点I,H,C三点共线时, 最小,∴此时 最小,如图, 7关注公众号:陆陆高分冲刺 ~领取:最新版“小中高考-总复习”、最新试卷下载 ∵ ,∴ .∵ ∴四边形 为平行四边形,∴ , , ∵ , ,∴ ,∴ ,∴ , ∴ 的最小值为 . 故答案为: . 【点睛】本题考查平行四边形的性质和判定,含30度角的直角三角形,勾股定理,平行线的判定,两点之 间线段最短等知识.正确作出辅助线,理解当点I,H,C三点共线时, 最小,即此时 最小是解题关键. 例2.(2023·江苏苏州·校考二模)如图,在 中, .如果在三 角形内部有一条动线段 ,且 ,则 的最小值为________. 【答案】 【分析】在 上取一点 ,使得 ,连接 ,如图所示,首先证明 ,将 绕点 顺时针旋转 得到 ,连接 ,过点 作 交 的延长线于 ,证明 ,求出 可得结论. 【详解】解:在 上取一点 ,使得 ,连接 ,如图所示: 8关注公众号:陆陆高分冲刺 ~领取:最新版“小中高考-总复习”、最新试卷下载 , , 四边形 是平行四边形, , , 将 绕点 顺时针旋转 得到 ,连接 ,过点 作 交 的延长线于 ,如图所 示: , , 是等边三角形, , , , , , , , , , , , , , , , , , , 的最小值为 ,故答案为: . 【点睛】本题考查解直角三角形的应用,旋转变换,两点之间线段最短等知识,解题的关键是学会利用旋 转法添加辅助线,构造全等三角形解决问题,属于中考填空题中的压轴题. 例3.(2024·陕西西安·二模)如图1,正方形 的边长为4,点 是对角线 上两动点,且 ,将点 沿 的方向平移2个单位得到点 ,连接 、 . 9关注公众号:陆陆高分冲刺 ~领取:最新版“小中高考-总复习”、最新试卷下载 (1)①四边形 的形状为_____________; ②连接 、 ,当点 , , 共线时, 的值为_____________. (2)自古以来,黄河就享有“母亲河”的美誉,是中华文明的发源地之一,也是中华民族生生不息、赖以生 存的摇篮.如图2,某地黄河的一段出现了分叉,形成了“ ”字型支流,分叉口有一片三角形地带的湿 地,在支流1的左上方有一村庄 ,支流2的右下方有一开发区 ,为促进当地的经济发展,经政府决定 在支流1和支流2上分别修建一座桥梁 、 (支流1的两岸互相平行,支流2的两岸也互相平行,桥 梁均与河岸垂直),你能帮助政府计算一下由村庄 到开发区 理论上的最短路程吗?(即 和的最小值).经测量, 、 两地的直线距离为2000米,支流1、支流2的宽度 分别为 米、250米,且与线段 所夹的锐角分别为 、 . 【答案】(1)①平行四边形;②6.(2) 米 【分析】本题主要考查了正方形的性质,平行四边形的性质与判定,勾股定理,含30度角的直角三角形的 性质,平移的性质: (1)①根据平行的性质得到 ,据此可证明四边形 是平行四边形;②由正方 形的性质得到 , ,由勾股定理得 ,由平行线的 性质得到 ,则 ,由勾股定理得到 ,再由正方形的性质和平行四 边形的性质得到 , ,则 ; (2)如图所示,将点A沿着垂直于支流1的河岸的方向平移 米得到 ,连接 ,将点B沿着垂 10关注公众号:陆陆高分冲刺 ~领取:最新版“小中高考-总复习”、最新试卷下载 直于支流2的河岸的方向平移 米得到 ,连接 ,则四边形 和四边形 都是平行四边形, 可得 ,则当 四点共线时, 最小,即此时 最小;如图所示, 分别延长 交于H,则 ,进 而得到 ,则 米, 米,进一步得到 米, 米, 则 米, 即可得到 的最小值为 米. 【详解】(1)解:①由平行的性质可得 , ∴四边形 是平行四边形,故答案为:平行四边形; ②∵四边形 是正方形,∴ , , ∴ , ∵ ,∴ ,∴ ,∴ , 由正方形的对称性可得 ,由平行四边形的性质可得 , ∴ ,故答案为:6; (2)解:如图所示,将点A沿着垂直于支流1的河岸的方向平移 米得到 ,连接 ,将点B沿 着垂直于支流2的河岸的方向平移 米得到 ,连接 , ∴四边形 和四边形 都是平行四边形,∴ , ∴ , ∴当 四点共线时, 最小,即此时 最小; 如图所示, 分别延长 交于H, ∵支流1和支流2与线段 所夹的锐角分别为 、 , ∴ ,∴ ,∴ 米, ∴ 米,∴ 米, 米, 11关注公众号:陆陆高分冲刺 ~领取:最新版“小中高考-总复习”、最新试卷下载 ∴ 米, ∴ 的最小值为 米. 12关注公众号:陆陆高分冲刺 ~领取:最新版“小中高考-总复习”、最新试卷下载 1.(2023安徽中考学二模)如图,菱形ABCD的边长为2 ,∠ABC=60°,点E、F在对角线BD上运动, 且EF=2,连接AE、AF,则 AEF周长的最小值是( ) △ A.4 B.4+ C.2+2 D.6 【答案】D 【分析】作AH∥BD,使得AH=EF=2,连接CH交BD于F,则AE+AF的值最小,进而得出△AEF周长的最 小值即可. 【详解】解:如图作AH∥BD,使得AH=EF=2,连接CH交BD于F,则AE+AF的值最小,即△AEF的周长 最小. ∵AH=EF,AH∥EF,∴四边形EFHA是平行四边形,∴EA=FH,∵FA=FC,∴AE+AF=FH+CF=CH, ∵菱形ABCD的边长为2 ,∠ABC=60°,∴AC=AB=2 , ∵四边形ABCD是菱形,∴AC⊥BD,∵AH∥DB,∴AC⊥AH,∴∠CAH=90°, 在Rt△CAH中,CH= ∴AE+AF的最小值4, ∴△AEF的周长的最小值=4+2=6,故选:D. 【点睛】本题考查菱形的性质与动点问题最小值,构造辅助线转化相关的线段是解题关键. 2.(2023·广西·二模)已知,在河的两岸有A,B两个村庄,河宽为4千米,A、B两村庄的直线距离AB= 10千米,A、B两村庄到河岸的距离分别为1千米、3千米,计划在河上修建一座桥MN垂直于两岸,M点 为靠近A村庄的河岸上一点,则AM+BN的最小值为( ) 13关注公众号:陆陆高分冲刺 ~领取:最新版“小中高考-总复习”、最新试卷下载 A.2 B.1+3 C.3+ D. 【答案】A 【分析】作BB'垂直于河岸,使BB′等于河宽,连接AB′,与靠近A的河岸相交于M,作MN垂直于另一条 河岸,则MN∥BB′且MN=BB′,于是MNBB′为平行四边形,故MB′=BN;根据“两点之间线段最短”,AB′ 最短,即AM+BN最短,此时AM+BN=AB′. 【详解】解:如图,作BB'垂直于河岸,使BB′等于河宽,连接AB′,与靠近A的河岸相交于M,作MN垂 直于另一条河岸,则MN∥BB′且MN=BB′,于是MNBB′为平行四边形,故MB′=BN. 根据“两点之间线段最短”,AB′最短,即AM+BN最短. ∵AB=10千米,BC=1+3+4=8千米,∴在RT ABC中, , △ 在RT AB′C中,B′C=1+3=4千米,∴AB′= 千米;故选A. △ 【点睛】本题考查了轴对称—最短路径问题,要利用“两点之间线段最短”,但许多实际问题没这么简单, 需要我们将一些线段进行转化,即用与它相等的线段替代,从而转化成两点之间线段最短的问题.目前, 往往利用对称性、平行四边形的相关知识进行转化. 3.(2024·四川泸州·一模)如图,在直角坐标系中, , ,C是 的中点,点D在第二象 限,且四边形 为矩形,P是 上一个动点,过点P作 于H,Q是点B关于点A的对称点, 则 的最小值为 . 14关注公众号:陆陆高分冲刺 ~领取:最新版“小中高考-总复习”、最新试卷下载 【答案】6 【分析】本题考查了一次函数点的坐标的求法、三角形面积的求法和三点共线及最值,综合性强,是中考 常见题型.连接 ,根据 、 的坐标先确定 和 的长,证明四边形 是矩形,得 ,再证明四边形 是平行四边形,则 ,在 中, 是定值, 所以只要 的值最小就可以,当 、 、 在同一直线上时, 的值最小,利用平行四边形 的性质求出即可. 【详解】解:如图,连接 , , , , , 是 的中点, , , 四边形 是矩形, , , 四边形 是平行四边形, , , 要使 的值最小,只需 、 、 三点共线即可, 点 是点 关于点 的对称点, ,又 点 ,根据勾股定理可得 , 此时, ,即 的最小值,6;故答案为:6 4.(2022·四川自贡·中考真题)如图,矩形 中, , 是 的中点,线段 在边 上左右滑动;若 ,则 的最小值为____________. 15关注公众号:陆陆高分冲刺 ~领取:最新版“小中高考-总复习”、最新试卷下载 【答案】 【分析】如图,作G关于AB的对称点G',在CD上截取CH=1,然后连接HG'交AB于E,在EB上截取 EF=1,此时GE+CF的值最小,可得四边形EFCH是平行四边形,从而得到G'H=EG'+EH=EG+CF,再由勾股定 理求出HG'的长,即可求解. 【详解】解:如图,作G关于AB的对称点G',在CD上截取CH=1,然后连接HG'交AB于E,在EB上截取 EF=1,此时GE+CF的值最小, ∴G'E=GE,AG=AG',∵四边形ABCD是矩形,∴AB∥CD,AD=BC=2∴CH∥EF, ∵CH=EF=1, ∴四边形EFCH是平行四边形,∴EH=CF,∴G'H=EG'+EH=EG+CF, ∵AB=4,BC=AD=2,G为边AD的中点,∴AG=AG'=1 ∴DG′=AD+AG'=2+1=3,DH=4-1=3, ∴ ,即 的最小值为 .故答案为: 【点睛】此题主要考查了利用轴对称求最短路径问题,矩形的性质,勾股定理等知识,确定GE+CF最小时 E,F位置是解题关键. 5.(2023上·江苏盐城·九年级校联考阶段练习)如图,正方形 内接于⊙O,线段 在对角线 上运动,若⊙O的周长为 , ,则 周长的最小值是 . 【答案】 / 16关注公众号:陆陆高分冲刺 ~领取:最新版“小中高考-总复习”、最新试卷下载 【分析】过点 作 ,令 ;可推出四边形 为平行四边形,有 ;根据 可知当 时, 周长有最小值. 【详解】解:过点 作 ,令 ∵⊙O的周长为 ,∴⊙O的半径为 ∴ ∵ 且 ∴四边形 为平行四边形 ∴ 由正方形的对称性可得: ∴ ∴ 故:当 时, 周长有最小值 此时: ∴ 周长的最小值是 故答案为: 【点睛】本题考查了正方形的性质、平行四边形的判定与性质等.推出当 时, 周长有最 小值是解题关键. 6.(2023秋·河南南阳·九年级校联考期末)如图,在边长为 的正方形 中将 沿射线 平移, 得到 ,连接 、 .求 的最小值为______. 【答案】 【分析】将△ABC沿射线CA平移到△AB′C′的位置,连接C′E、AE、DE,证出四边形ABGE和四边形EGCD均 为平行四边形,根据平行四边形的性质和平移图形的性质,可得C′E=CE,CG=DE,可得EC+GC=C′E+ED,当 点C′、E、D在同一直线时,C′E+ED最小,由勾股定理求出C′D的值即为EC+GC的最小值. 17关注公众号:陆陆高分冲刺 ~领取:最新版“小中高考-总复习”、最新试卷下载 【详解】如图,将△ABC沿射线CA平移到△AB′C′的位置,连接C′E、AE、DE, ∵AB∥GE∥DC且AB=GE=DC,∴四边形ABGE和四边形EGCD均为平行四边形, ∴AE∥BG,CG=DE,∴AE⊥CC′,由作图易得,点C与点C′关于AE对称,C′E=CE, 又∵CG=DE,∴EC+GC=C′E+ED,当点C′、E、D在同一直线时,C′E+ED最小, 此时,在Rt△C′D′E中,C′B′=4,B′D=4+4=8, C′D= , 即EC+GC的最小值为 ,故答案为: . 【点睛】本题考查正方形的性质、图形的对称性、线段最短和平行四边形的性质与判定,解题的关键是将 两条线段的和转化为同一条线段求解. 7.(2024·江苏扬州·一模)如图,在矩形 中,点E、F是对角线 上的两点, , ,点G是边 的中点.当 取最小值时, 的值为 . 【答案】2 【分析】取 的中点 ,连接 .根据点 是边 上的中点,则 ,推出四边形 是平行四边形,所以 ,因此 ,当 、 、 三点在同一直线上时, 最小,即 ,由 , 推出 ,代入计算得 出答案. 【详解】解:如图,取 的中点 ,连接 . 18关注公众号:陆陆高分冲刺 ~领取:最新版“小中高考-总复习”、最新试卷下载 ∵点 是边 上的中点,∴ 是 的中位线,∴ . ∵ 是矩形, ,∴ , , ∴ ,∴ , ∵ ,∴ ,∴四边形 是平行四边形(一组对边平行且相等的四边形是平行四边形), ∴ ,∴ ,∴当 、 、 三点在同一直线上时, 最小, ∵ , ,∴ ,∴ , ∴ ,∴ ,故答案为:2. 【点睛】本题考查了矩形的性质,轴对称,三角形中位线,平行四边形的性质和判定,直角三角形的性质, 相似三角形的判定与性质,综合性较强,难度适中,证明 是解题的关键. 8.(2024·陕西西安·模拟预测)如图,矩形 中, , , 是 边上一动点,过点 作对角线 的垂线,分别交 于点 、交直线 于点 ,则点 在运动过程中, 的最 小值是 . 【答案】 / 【分析】过点 作 交 于 ,过点 作 ,使 ,连接 , ,推出 的最小值为 的长度, 为定值,再分别求出 、 的长度即可. 【详解】解:过点 作 交 于 ,过点 作 ,使 ,连接 , ,如下 图, 19关注公众号:陆陆高分冲刺 ~领取:最新版“小中高考-总复习”、最新试卷下载 ∴四边形 是平行四边形,∴ , ,∴ , 即 取最小值为 的长度,∵四边形 是矩形, , , ∴ , , , , , ∴ ,∵ , , ∴四边形 是平行四边形,∴ ,∴ , ∵ ,∴ , ,∴ , ∴ ,∴ , 又∵ ,∴ ,∴ ,即 ,解得 , ∴ ,∴ , ∵ ,∴ ,即 的最小值为 . 故答案为: . 【点睛】本题主要考查了矩形的性质、平行四边形的判定与性质、相似三角形的判定与性质、勾股定理、 三角形三边关系等知识,正确作出辅助线,综合运用相关知识是解题关键. 9.(2024·广东广州·三模)如图,正方形 内接于 ,线段 在对角线 上运动,若 的面积 为 , ,则(1) 的直径长为 ;(2) 周长的最小值是 . 【答案】 4 20关注公众号:陆陆高分冲刺 ~领取:最新版“小中高考-总复习”、最新试卷下载 【分析】(1)根据正方形 内接于 ,得到 是 ,根据 ,解得 (舍去),解得即可. (2)根据正方形的性质,得到点A与点C是对称点,连接 ,交 于点O,连接 ,则 , 过点C作 ,连接 ,则四边形 是平行四边形,继而得到 , 继而得到 ,结合 ,故当 三点共线时, 取得最小值, 得到 周长的最小值. 【详解】(1)∵正方形 内接于 ,∴ 是 的直径,∴ , 解得 (舍去),故答案为: . (2)根据正方形的性质,得到点A与点C是对称点, , 连接 ,交 于点O,连接 ,则 , 过点C作 ,连接 ,则四边形 是平行四边形, ∴ ,∴ ,∵ , 故当 三点共线时, 取得最小值,得到 周长的最小值. ∵ ,∴ ,∴ , 故 周长的最小值为4.故答案为:4. 【点睛】本题考查了正方形的性质,平行四边形的判定和性质,勾股定理,三角形不等式的应用,圆的性 质,熟练掌握平行四边形的判定和性质,勾股定理,三角形三边关系的应用是解题的关键. 10.(2024·吉林长春·三模)如图,在平面直角坐标系中,抛物线 与 轴交于点 ,与 轴的 一个交点为点 ,点 在抛物线对称轴左侧,线段CD在对称轴上, ,则四边形 周长的最小 值为 . 21关注公众号:陆陆高分冲刺 ~领取:最新版“小中高考-总复习”、最新试卷下载 【答案】 【分析】本题考查了二次函数的几何综合,平行四边形的判定与性质,勾股定理,两点之间线段最短,正 确掌握相关性质内容是解题的关键.先得点 的坐标和 再证明四边形 是平行四边 形,得出 ,结合两点之间线段最短,故四边形 的周长是 ,运用两点 距离公式列式计算,得出 ,代入计算即可作答. 【详解】解:∵抛物线 与 轴交于点 ,与 轴的一个交点为点 , ∴当 时 ,∴点 的坐标是 ,当 时,则 ,∴ , 设抛物线与 轴的另外一个交点为M,∴ ∴对称轴 ;则 过点M作 轴,且 , ∵ 轴,线段CD在对称轴上,∴ ∵ ∴四边形 是平行四边形∴ 连接 与对称轴 相交于一点,即为点D的位置,再连接 ∵ 对称轴 ,线段CD在对称轴上, 22关注公众号:陆陆高分冲刺 ~领取:最新版“小中高考-总复习”、最新试卷下载 ∴ ∴ 此时四边形 周长有最小值 即 ∵ ∴ 则 则 ∴四边形 周长的最小值为 故答案为: 11.(2024·江苏苏州·二模)如图,等边 的边长为3,点D在边 上, ,线段 在边 上运动, ,有下列结论:① 与 可能相等;② 与 可能相似;③四边形 面 积的最大值为 ;④四边形 周长的最小值为 ,其中,正确结论的序号为 . 【答案】 / 【分析】②①根③据③三②角形三边之间的关系得 ,进而得 ,同理得 ,即 ,进而得 ,由此得 与 不可能相等. ②假设 与 相似,设 ,利用相似三角形对应边成比例,列比例式得出x的值,再与x的 取值范围进行比较,即可判断相似是否成立; ③过P作 于E,过D作 于F,过C点作 于G点,利用函数求四边形面积的最 大值.设 ,可表示出 , ,可用函数表示出 , ,再根据 ,依据 ,即可得到四边形面积的最大值; ④作D点关于直线 的对称点 ,作 ,且 ,连接 交 于P点,将P点沿射线 23关注公众号:陆陆高分冲刺 ~领取:最新版“小中高考-总复习”、最新试卷下载 平移 得Q点,连接 、 、 ,则可得四边形 是平行四边形.进而可得则四边形 的周长 ,此时四边形 的周长最小,计算出 ,根 据勾股定理即可求出 的值,进而可得四边形 周长的最小值,即可得解. 【详解】①在 中, , , ,即 , 当Q点与A点重合时 , . 在 中, , , , , , 当P点与B点重合时 , .综上,当Q点与A点重合时, ; 当P点与B点重合时, ;当P、Q不与A、B重合时 . ∴ 与 不可能相等,故①错误. ②设 , , , , .假设 与 相似, , , ,整理得, ,解得: , , ,∴ 或1.5都符合题意, ∴ 与 可能相似,故②正确. ③如图,过P作 于E,过D作 于F,过C点作 于G点. 设 ,则 , . , , . 24关注公众号:陆陆高分冲刺 ~领取:最新版“小中高考-总复习”、最新试卷下载 , , , . 中, , , , , ,∵S随x的增大而增大,∴当x取最大值2.5时,S的值最大, ,故③正确. ④如图,作D点关于直线 的对称点 ,作 ,且 ,连接 交 于P点,将P点 沿射线 平移 得Q点,连接 、 、 , 则 , ,且四边形 是平行四边形, , 则四边形 的周长 , 此时四边形 的周长最小.连接 , ,且 , , , ,且 , .在 中, , ∴四边形 的周长的最小值为 ,故④错误.故答案为:②③ 【点睛】本题综合考查等边三角形的性质、相似三角形的性质与判定、利用函数求最值、动点变化问题等 知识.解题关键是熟练掌握数形结合的思想方法,通过用函数求最值、作对称点求最短距离,即可得解. 12.(2024·陕西咸阳·模拟预测)如图,在正方形 中,对角线 与 交于点 , , 是 的中点, 是对角线 上的一条动线段,若 的最大值为 ,则 的长为 . 25关注公众号:陆陆高分冲刺 ~领取:最新版“小中高考-总复习”、最新试卷下载 【答案】1 【分析】本题考查正方形的性质,线段最值问题等知识点,正确作辅助线是解题关键. 过 点作 的平行线,过 点作 的平行线,两平行线交于点 ,取 关于 的对称点 ,连接 , , ,根据三角形两边之查小于第三边即可得到 ,在 中,利用勾股定理即可求得 答案. 【详解】解:如图,过 点作 的平行线,过 点作 的平行线,两平行线交于点 ,取 关于 的 对称点 ,连接 , , , ∵ , ,∴四边形 是平行四边形,∴ , , ∵ 关于 的对称点是 , 是 的中点,∴ 是 的中点,即 在 中, ,∴ , 当 点运动到与点 , 在一条直线上的时候 ,即 取到最大值 ,即 , ∵ , ,∴ ,∴在 中, , ∴ ,∴ .故答案为:1. 13.(2024·江苏连云港·二模)如图,正方形的边 长为4,E是 的中点,P是 上的动点,过点 P作 ,分别交 , 于点F,G.当 取最小值时,则 的长是 . 26关注公众号:陆陆高分冲刺 ~领取:最新版“小中高考-总复习”、最新试卷下载 【答案】 【分析】根据正方形的性质求得 与 ,再由勾股定理求得 ;过G作 于G,,证明 得 ,再将 沿 方向平移至 ,连接 ,当D、G、H三点共线时, 的值最小,此时 为等腰直角三角形,得 ,进而得 是等腰直角三角形,再证 得出 ,进而即可得解. 【详解】过G作 于M,则 , , ∵正方形 的边长为4,∴ , , ∵E是 的中点,∴ ,∴ , ∵ ,∴ , ∴ ,∴ ,∴ , 将 沿 方向平移至 ,连接 ,则 , , , 当D、G、H三点共线时, 的值最小, 此时 为等腰直角三角形,∴ ,∴ 是等腰直角三角形,∴ , ∵ , ,∴ ,∴ ,∴ , 27关注公众号:陆陆高分冲刺 ~领取:最新版“小中高考-总复习”、最新试卷下载 ∴ ,∴ ,∴ .故答案为: . 【点睛】本题主要考查了正方形的性质,全等三角形的性质与判定,相似三角形的判定和性质,勾股定理, 平移的性质,两点之间线段最短性质,关键是通过平移变换确定 取最小值的位置. 14.(2024·四川广安·二模)如图, 是直线 上长度固定为1的一条动线段.已知点 , ,则 的最小值为 . 【答案】 【分析】本题主要考查了坐标与图形的性质,平行四边形的判定与性质,轴对称 最短路线问题.在 轴 上取点 ,使 ,则四边形 为平行四边形,作点 关于直线 的对称点 ,则 ,即 、 、 三点共线时, 最小值为 的长. 【详解】解:如图,在 轴上取点 ,使 ,则四边形 为平行四边形, ∵点 , , , , , 作点 关于直线 的对称点 , , , ,即 、 、 三点共线时, 最小值为 的长, 在 中,由勾股定理得 ,∴ 的最小值为 ,故答案为: . 28关注公众号:陆陆高分冲刺 ~领取:最新版“小中高考-总复习”、最新试卷下载 15.(2024·陕西西安·模拟预测)如图,在正方形 中, , 是对角线 上两点 点 靠近点 , 且 ,当 的最小值为 时, 的长为 . 【答案】 【分析】本题考查了正方形的性质,平行四边形的性质与判定,线段和的最值问题,勾股定理;平移 至 ,则 ,连接 ,得出四边形 是平行四边形,则 , ,根 据题意可得 ,在 中,勾股定理求得 ,进而即可求解. 【详解】解:如图所示,平移 至 ,则 ,连接 , ∴四边形 是平行四边形,∴ , , ∵ ,∴ ∵在正方形 中, , 是对角线 上两点 ∴ ∴ 在 中, ∴ 故答案为: . 16.(23-24九年级下·浙江杭州·阶段练习)如图,平面直角坐标系 中,点A是直线 上一动点, 29关注公众号:陆陆高分冲刺 ~领取:最新版“小中高考-总复习”、最新试卷下载 将点A向右平移1个单位得到点B,点 ,则 的最小值为 ,此时点B坐标为 . 【答案】 【分析】设 , ,即将C,O均向左移动一个单位,可证四边形 和四边形 是平 行四边形,得 ,这样 的最值问题转化为 最值问题,作D点关于直线 的对称点E,连接 ,由对称性可证 的最小值为 ,即 的最小值为 ,求 出一次函数与坐标轴的交点,并求出 , ,在 中,即 可取出 ,由同角的余角相等,可证 ,由解直角三角形, 在 中, , ,再由勾股定理 即可求出 ;求出直线 的解析式,并与直线 联立,求出交点A,由平移即可求出B点坐标; 【详解】如图,设 , ,作D点关于直线 的对称点E,连接 交直线 于 A,连接 , 交直线 于G,作 轴于S, 30关注公众号:陆陆高分冲刺 ~领取:最新版“小中高考-总复习”、最新试卷下载 将点A向右平移1个单位得到点B, , , , 轴, 四边形 和四边形 是平行四边形, , 点D,E关于直线 对称, , , , , 的最小值为 , 令 ,得 ,解得 , , , , 令 ,得 , , ,在 中, , , , 在 中, , , , , , , 在 中, , , , ,在 中, , 设直线 的解析式为 ,把 , 代入得, ,解得 , 直线 的解析式为 , 31关注公众号:陆陆高分冲刺 ~领取:最新版“小中高考-总复习”、最新试卷下载 联立 ,解得 , , .故答案为: , . 【点睛】本题考查了一次函数的性质,轴对称最短路线问题,平行四边形的性质、勾股定理的应用,一次 函数与方程的关系,解直角三角形,解题的关键是通过转化思想的运用,证得 的最小值为 . 17.(2024·陕西西安·二模)如图,在平面直角坐标系中,点 , , ,将线段 沿x 轴向右平移得到 ,连接 , ,则 的最小值为 . 【答案】 【分析】作 ,且使 ,连接 .作点 关于x轴的对称点C'(0,-3),连接 交x轴于点W,连接 ,推出当点 在点W处时, 最小,最小值是 的长,再利用勾股定 理求出 的长即可. 【详解】解:如图,作 且使 ,连接 , ∴四边形 是平行四边形, , , ∵点 , ,∴设点 1),∴点 . 作点 关于x轴的对称点 连接 , , 交x轴于点W, ,∴当点 在点W处时, 最小,最小值是 的长. , 的最小值是 故答案为 32关注公众号:陆陆高分冲刺 ~领取:最新版“小中高考-总复习”、最新试卷下载 【点睛】本题考查轴对称-最短路线问题,平面直角坐标系中的平移,平行四边形的判定与性质,勾股定理, 能灵活运用平移和轴对称构造将军饮马模型是解题的关键. 18.(2023上·陕西西安·九年级校考阶段练习)(1)问题提出如图①,在 中, ,点D,E分别是 的中点.若点M,N分别是 和 上的动点,则 的最小值是______. (2)问题探究:如图②,A和B两地在一条河的两岸,现要在河上造一座桥(与河床垂直),桥造在何处, 才能使从A到B的路径 最短.博琳小组针对该问题展开讨论,小旭同学认为:过A作河 岸的垂线,使 , 为河宽,连接 , 与河的一岸交于点N,此时在点N处建桥,可使从A 到B的路径 最短.你认为小旭的说法正确吗?请说明理由.(3)问题解决:如图③,在 矩形 中, .E、F分别在 上,且满足 , .若边长为10的正 方形 在线段 上运动,连接 ,当 取值最小时,求 的长. 【答案】(1)3;(2)小旭的说法正确,理由见解析;(3)38或14 【分析】(1)连接 ,过点A作 于点F,根据两点之间线段最短,可得当 时, 最 短,此时点N与点F重合,即 的最小值为 的长,再根据直角三角形的性质,即可求解; (2)根据题意可得四边形 为平行四边形,从而得到 ,再根据“两点之间线段最短”,当 33关注公众号:陆陆高分冲刺 ~领取:最新版“小中高考-总复习”、最新试卷下载 点 ,N,B三点共线时, 最短,即可求解; (3)过点N分别作 ,分别交 于点H,G,连接 交 于点T,过点G作 于点X,则 , ,证明四边形 ,四边形 都是平行四边形, 可得 ,从而得到当点H,T,G三点共线时, 的 值最小,此时点N与点T重合,然后证明 ,可得 ,可求得 的长;过点Q分别作 ,分别交 于点K,L,连接 交 于点S,当点K,S,L三点共线时, 的值最小,此时点N与点S重合,同理可求出 的长,即可求解. 【详解】解:(1)如图,连接 ,过点A作 于点F,∴ , 当 时, 最短,此时点N与点F重合,即 的最小值为 的长, ∵ ,∴ ,∴ , ∴ 的最小值为3;故答案为:3 (2)解:小旭的说法正确,理由如下:根据题意得: , , ∴四边形 为平行四边形,∴ , 根据“两点之间线段最短”,当点 ,N,B三点共线时, 最短, ∵ 为河宽,∴在点N处建桥,可使从A到B的路径 最短. (3)如图,过点N分别作 ,分别交 于点H,G,连接 交 于点T,过点 G作 于点X,则 , , 34关注公众号:陆陆高分冲刺 ~领取:最新版“小中高考-总复习”、最新试卷下载 根据题意得: , , ∴四边形 ,四边形 都是平行四边形, ∴ ,∴ , 即当点H,T,G三点共线时, 的值最小,此时点N与点T重合, ∵ ,∴ , , , ∵ ,∴ ,∴ ,∴ ,解得: , ∴ ; 如图,过点Q分别作 ,分别交 于点K,L,连接 交 于点S,当点K,S, L三点共线时, 的值最小,此时点N与点S重合,同理 ; 综上所述,当 取值最小时, 的长为38或14. 【点睛】本题主要考查了直角三角形的性质,平行四边形的判定和性质,相似三角形的判定和性质,两点 之间,线段最短,熟练掌握直角三角形的性质,平行四边形的判定和性质,相似三角形的判定和性质,利 用类比思想解答是解题的关键. 19.(2023.山东中考二模)如图,抛物线y=ax2+bx+c(a≠0),经过点A(-1,0),B(3,0),C(0, 3)三点.(1)求抛物线的解析式及顶点M的坐标;(2)连接AC、BC,N为抛物线上的点且在第四象限,当 S =S 时,求N点的坐标;(3)在(2)问的条件下,过点C作直线l∥x轴,动点P(m,3)在直线l上, NBC ABC △ △ 动点Q(m,0)在x轴上,连接PM、PQ、NQ,当m为何值时,PM+PQ+QN最小,并求出PM+PQ+QN的 最小值. 【答案】(1)y=-x2+2x+3,顶点M坐标为(1,4);(2)点N坐标为(4,-5); (3)当m= 时,PM+PQ+QN有最小值,最小值为3 +3. 【分析】(1)将点A、B、C坐标代入解析式,解关于a、b、c的方程组可得函数解析式,配方成顶点式 即可得点M坐标;(2)设N(t,-t2+2t+3)(t>0),根据点N、C坐标用含t的代数式表示出直线CN解 35关注公众号:陆陆高分冲刺 ~领取:最新版“小中高考-总复习”、最新试卷下载 析式,求得CN与x轴的交点D坐标,即可表示BD的长,根据S NBC=S ABC,即S CDB+S BDN= △ △ △ △ AB•OC建立关于t的方程,解之可得;(3)将顶点M(1,4)向下平移3个单位得到点M′(1,1),连 接M′N交x轴于点Q,连接PQ,此时M′、Q、N三点共线时,PM+PQ+QN=M′Q+PQ+QN取最小值,由点 M′、N坐标求得直线M′N的解析式,即可求得点Q的坐标,据此知m的值,过点N作NE∥x轴交MM′延长 线于点E,可得M′E=6、NE=3、M′N=3 ,即M′Q+QN=3 ,据此知m= 时,PM+PQ+QN的最小值为3 +3. 【详解】(1)解:∵抛物线y=ax2+bx+c(a≠0)经过点A(-1,0),B(3,0),C(0,3), ∴ ,解得: ,∴y=-x2+2x+3=-(x-1)2+4,则抛物线的顶点M坐标为(1,4); (2)解:∵N是抛物线上第四象限的点,∴设N(t,-t2+2t+3)(t>3), 又点C(0,3),设直线NC的解析式为y=kx+b, 1 1 则 ,解得: ,∴直线NC的解析式为y=(-t+2)x+3, 设直线CN与x轴交于点D,当y=0时,x= ,∴D( ,0),BD=3- , ∵S NBC=S ABC,∴S CDB+S BDN= AB•OC,即 BD•|y -y |= [3-(-1)]×3, C N △ △ △ △ 即 ×(3- )[3-(-t2+2t+3)]=6,整理,得:t2-3t-4=0,解得:t=4,t=-1(舍去), 1 2 当t=4时,-t2+2t+3=-5,∴点N坐标为(4,-5); (3)解:将顶点M(1,4)向下平移3个单位得到点M′(1,1),连接M′N交x轴于点Q,连接PQ, 则MM′=3,∵P(m,3)、Q(m,0),∴PQ⊥x轴,且PQ=OC=3, 36关注公众号:陆陆高分冲刺 ~领取:最新版“小中高考-总复习”、最新试卷下载 ∴PQ∥MM′,且PQ=MM′,∴四边形MM′QP是平行四边形,∴PM=QM′, 由作图知当M′、Q、N三点共线时,PM+PQ+QN=M′Q+PQ+QN取最小值, 设直线M′N的解析式为y=kx+b(k≠0), 2 2 2 将点M′(1,1)、N(4,-5)代入,得: ,解得: , ∴直线M′N的解析式为y=-2x+3,当y=0时,x= ,∴Q( ,0),即m= , 此时过点N作NE∥x轴交MM′延长线于点E,在Rt M′EN中,∵M′E=1-(-5)=6,NE=4-1=3, △ ∴M′N= , ∴M′Q+QN=3 ,∴当m= 时,PM+PQ+QN的最小值为3 +3. 【点睛】本题主要考查二次函数的综合问题,解题的关键是熟练掌握待定系数法求函数解析式、平行四边 形的判定与性质、勾股定理及根据两点间线段最短得到点P、Q的位置. 20.(2023·黑龙江·九年级校考期中)问题背景(1)如图(1),在公路 的一侧有 , 两个工厂, , 到公路的垂直距离分别为 和 , , 之间的水平距离为 .现需把 厂的产品先运送到公路 上然后再转送到 厂,则最短路线的长是_____ . 问题探究(2)如图(2), 和 是腰长为2的两个全等的等腰直角三角形, ,点 , 重合,点 , 重合,将 沿直线 平移,得到 ,连接 , .试探究在平移过程中, 是否存在最小值.若存在,求出这个最小值;若不存在,请 说明理由. 问题解决(3)如图(3),A,B分别是河岸m一侧的两个旅游景点,它们到河岸的垂直距离分别是 和 , , 的水平距离是 .游客在景点 游览完后,乘坐大巴先到河岸上的码头甲处,改乘游 轮沿河航行 到达码头乙,再乘坐大巴到达景点 .请问码头甲,乙建在何处才能使从 到 的旅游路 线最短,并求出最短路线的长. 【答案】(1) (2)存在,最小值为 (3)最短路线长为 【分析】(1)根据最短路径的作法,找出最短路径 ,再利用矩形的性质,求出 和 的距离,最 37关注公众号:陆陆高分冲刺 ~领取:最新版“小中高考-总复习”、最新试卷下载 后利用勾股定理即可求出最短路径; (2)根据平移的性质可知四边形 和 均为平行四边形,再利用最短路径作法得出 即为最短 距离,最后根据等腰直角三角形的性质和勾股定理即可求出答案; (3)根据题意画图可知四边形 为平行四边形,最后根据勾股定理即可求出答案. 【详解】解:(1) 如图 (1), 点 是公路 上的一点, 假设先把产品运送到点 处, 再转送到 厂, 作点 关于 的 对称点 , 连接 , , 连接 交 于点 , 则 , , 当点 与点 重合时, 取得最小值, 为 的长. 连接 , 交 于点 , 过点 作 于点 , 过点 作 , 垂足为点 , 则 , 四边形 是矩形, , , 又 , , 即最短路线的长是 .故答案为: . (2) 存在.理由如下,如图 (2), 过点 作直线 , 作点 关于直线 的对称点 , 连接 , , 交直线 于点 , 过点 作 交直线 于点 , 连接 , , , 则 . 38关注公众号:陆陆高分冲刺 ~领取:最新版“小中高考-总复习”、最新试卷下载 由平移知 , .又 , 四边形 是平行四边形, , 由平移知 , 又 , 四边形 是平行四边形, 当点 与点 重合时, 最小, 最小值为 的长. 过点 作 交 的延长线于点 , 则 为等腰直角三角形. , , , 的最小值为 .故答案为:存在,最小值为 . (3) 如图 (3),设码头乙为点 , 码头甲为点 , 连接 , , 过点 作 , 且 , 作点 关于 的对称点 , 连接 交 于点 . 连接 , 则 . 是平行四边形, , 点 ,N重合时,旅游路线最短. 过点 作直线 , 过点 作 于点 , 则 , , , , .故答案为:最短路线长为 . 【点睛】本题考查了轴对称在最短路径问题中的应用,涉及到的知识点有矩形的性质、平行四边形的性质、 39关注公众号:陆陆高分冲刺 ~领取:最新版“小中高考-总复习”、最新试卷下载 等腰直角三角形的性质、勾股定理,解题的关键在于如何利用轴对称找到最短路径. 40关注公众号:陆陆高分冲刺 ~领取:最新版“小中高考-总复习”、最新试卷下载 41
基本 文件 流程 错误 SQL 调试
  1. 请求信息 : 2026-03-01 10:02:00 HTTP/1.1 GET : https://www.yeyulingfeng.com/wendang/330030.html
  2. 运行时间 : 0.180165s [ 吞吐率:5.55req/s ] 内存消耗:6,140.82kb 文件加载:144
  3. 缓存信息 : 0 reads,0 writes
  4. 会话信息 : SESSION_ID=cc0649b5f5903a720f3d0ff0f980494f
  1. /yingpanguazai/ssd/ssd1/www/wwww.yeyulingfeng.com/public/index.php ( 0.79 KB )
  2. /yingpanguazai/ssd/ssd1/www/wwww.yeyulingfeng.com/vendor/autoload.php ( 0.17 KB )
  3. /yingpanguazai/ssd/ssd1/www/wwww.yeyulingfeng.com/vendor/composer/autoload_real.php ( 2.49 KB )
  4. /yingpanguazai/ssd/ssd1/www/wwww.yeyulingfeng.com/vendor/composer/platform_check.php ( 0.90 KB )
  5. /yingpanguazai/ssd/ssd1/www/wwww.yeyulingfeng.com/vendor/composer/ClassLoader.php ( 14.03 KB )
  6. /yingpanguazai/ssd/ssd1/www/wwww.yeyulingfeng.com/vendor/composer/autoload_static.php ( 6.05 KB )
  7. /yingpanguazai/ssd/ssd1/www/wwww.yeyulingfeng.com/vendor/topthink/think-helper/src/helper.php ( 8.34 KB )
  8. /yingpanguazai/ssd/ssd1/www/wwww.yeyulingfeng.com/vendor/topthink/think-validate/src/helper.php ( 2.19 KB )
  9. /yingpanguazai/ssd/ssd1/www/wwww.yeyulingfeng.com/vendor/ralouphie/getallheaders/src/getallheaders.php ( 1.60 KB )
  10. /yingpanguazai/ssd/ssd1/www/wwww.yeyulingfeng.com/vendor/topthink/think-orm/src/helper.php ( 1.47 KB )
  11. /yingpanguazai/ssd/ssd1/www/wwww.yeyulingfeng.com/vendor/topthink/think-orm/stubs/load_stubs.php ( 0.16 KB )
  12. /yingpanguazai/ssd/ssd1/www/wwww.yeyulingfeng.com/vendor/topthink/framework/src/think/Exception.php ( 1.69 KB )
  13. /yingpanguazai/ssd/ssd1/www/wwww.yeyulingfeng.com/vendor/topthink/think-container/src/Facade.php ( 2.71 KB )
  14. /yingpanguazai/ssd/ssd1/www/wwww.yeyulingfeng.com/vendor/symfony/deprecation-contracts/function.php ( 0.99 KB )
  15. /yingpanguazai/ssd/ssd1/www/wwww.yeyulingfeng.com/vendor/symfony/polyfill-mbstring/bootstrap.php ( 8.26 KB )
  16. /yingpanguazai/ssd/ssd1/www/wwww.yeyulingfeng.com/vendor/symfony/polyfill-mbstring/bootstrap80.php ( 9.78 KB )
  17. /yingpanguazai/ssd/ssd1/www/wwww.yeyulingfeng.com/vendor/symfony/var-dumper/Resources/functions/dump.php ( 1.49 KB )
  18. /yingpanguazai/ssd/ssd1/www/wwww.yeyulingfeng.com/vendor/topthink/think-dumper/src/helper.php ( 0.18 KB )
  19. /yingpanguazai/ssd/ssd1/www/wwww.yeyulingfeng.com/vendor/symfony/var-dumper/VarDumper.php ( 4.30 KB )
  20. /yingpanguazai/ssd/ssd1/www/wwww.yeyulingfeng.com/vendor/guzzlehttp/guzzle/src/functions_include.php ( 0.16 KB )
  21. /yingpanguazai/ssd/ssd1/www/wwww.yeyulingfeng.com/vendor/guzzlehttp/guzzle/src/functions.php ( 5.54 KB )
  22. /yingpanguazai/ssd/ssd1/www/wwww.yeyulingfeng.com/vendor/topthink/framework/src/think/App.php ( 15.30 KB )
  23. /yingpanguazai/ssd/ssd1/www/wwww.yeyulingfeng.com/vendor/topthink/think-container/src/Container.php ( 15.76 KB )
  24. /yingpanguazai/ssd/ssd1/www/wwww.yeyulingfeng.com/vendor/psr/container/src/ContainerInterface.php ( 1.02 KB )
  25. /yingpanguazai/ssd/ssd1/www/wwww.yeyulingfeng.com/app/provider.php ( 0.19 KB )
  26. /yingpanguazai/ssd/ssd1/www/wwww.yeyulingfeng.com/vendor/topthink/framework/src/think/Http.php ( 6.04 KB )
  27. /yingpanguazai/ssd/ssd1/www/wwww.yeyulingfeng.com/vendor/topthink/think-helper/src/helper/Str.php ( 7.29 KB )
  28. /yingpanguazai/ssd/ssd1/www/wwww.yeyulingfeng.com/vendor/topthink/framework/src/think/Env.php ( 4.68 KB )
  29. /yingpanguazai/ssd/ssd1/www/wwww.yeyulingfeng.com/app/common.php ( 0.03 KB )
  30. /yingpanguazai/ssd/ssd1/www/wwww.yeyulingfeng.com/vendor/topthink/framework/src/helper.php ( 18.78 KB )
  31. /yingpanguazai/ssd/ssd1/www/wwww.yeyulingfeng.com/vendor/topthink/framework/src/think/Config.php ( 5.54 KB )
  32. /yingpanguazai/ssd/ssd1/www/wwww.yeyulingfeng.com/config/alipay.php ( 3.59 KB )
  33. /yingpanguazai/ssd/ssd1/www/wwww.yeyulingfeng.com/vendor/topthink/framework/src/think/facade/Env.php ( 1.67 KB )
  34. /yingpanguazai/ssd/ssd1/www/wwww.yeyulingfeng.com/config/app.php ( 0.95 KB )
  35. /yingpanguazai/ssd/ssd1/www/wwww.yeyulingfeng.com/config/cache.php ( 0.78 KB )
  36. /yingpanguazai/ssd/ssd1/www/wwww.yeyulingfeng.com/config/console.php ( 0.23 KB )
  37. /yingpanguazai/ssd/ssd1/www/wwww.yeyulingfeng.com/config/cookie.php ( 0.56 KB )
  38. /yingpanguazai/ssd/ssd1/www/wwww.yeyulingfeng.com/config/database.php ( 2.48 KB )
  39. /yingpanguazai/ssd/ssd1/www/wwww.yeyulingfeng.com/config/filesystem.php ( 0.61 KB )
  40. /yingpanguazai/ssd/ssd1/www/wwww.yeyulingfeng.com/config/lang.php ( 0.91 KB )
  41. /yingpanguazai/ssd/ssd1/www/wwww.yeyulingfeng.com/config/log.php ( 1.35 KB )
  42. /yingpanguazai/ssd/ssd1/www/wwww.yeyulingfeng.com/config/middleware.php ( 0.19 KB )
  43. /yingpanguazai/ssd/ssd1/www/wwww.yeyulingfeng.com/config/route.php ( 1.89 KB )
  44. /yingpanguazai/ssd/ssd1/www/wwww.yeyulingfeng.com/config/session.php ( 0.57 KB )
  45. /yingpanguazai/ssd/ssd1/www/wwww.yeyulingfeng.com/config/trace.php ( 0.34 KB )
  46. /yingpanguazai/ssd/ssd1/www/wwww.yeyulingfeng.com/config/view.php ( 0.82 KB )
  47. /yingpanguazai/ssd/ssd1/www/wwww.yeyulingfeng.com/app/event.php ( 0.25 KB )
  48. /yingpanguazai/ssd/ssd1/www/wwww.yeyulingfeng.com/vendor/topthink/framework/src/think/Event.php ( 7.67 KB )
  49. /yingpanguazai/ssd/ssd1/www/wwww.yeyulingfeng.com/app/service.php ( 0.13 KB )
  50. /yingpanguazai/ssd/ssd1/www/wwww.yeyulingfeng.com/app/AppService.php ( 0.26 KB )
  51. /yingpanguazai/ssd/ssd1/www/wwww.yeyulingfeng.com/vendor/topthink/framework/src/think/Service.php ( 1.64 KB )
  52. /yingpanguazai/ssd/ssd1/www/wwww.yeyulingfeng.com/vendor/topthink/framework/src/think/Lang.php ( 7.35 KB )
  53. /yingpanguazai/ssd/ssd1/www/wwww.yeyulingfeng.com/vendor/topthink/framework/src/lang/zh-cn.php ( 13.70 KB )
  54. /yingpanguazai/ssd/ssd1/www/wwww.yeyulingfeng.com/vendor/topthink/framework/src/think/initializer/Error.php ( 3.31 KB )
  55. /yingpanguazai/ssd/ssd1/www/wwww.yeyulingfeng.com/vendor/topthink/framework/src/think/initializer/RegisterService.php ( 1.33 KB )
  56. /yingpanguazai/ssd/ssd1/www/wwww.yeyulingfeng.com/vendor/services.php ( 0.14 KB )
  57. /yingpanguazai/ssd/ssd1/www/wwww.yeyulingfeng.com/vendor/topthink/framework/src/think/service/PaginatorService.php ( 1.52 KB )
  58. /yingpanguazai/ssd/ssd1/www/wwww.yeyulingfeng.com/vendor/topthink/framework/src/think/service/ValidateService.php ( 0.99 KB )
  59. /yingpanguazai/ssd/ssd1/www/wwww.yeyulingfeng.com/vendor/topthink/framework/src/think/service/ModelService.php ( 2.04 KB )
  60. /yingpanguazai/ssd/ssd1/www/wwww.yeyulingfeng.com/vendor/topthink/think-trace/src/Service.php ( 0.77 KB )
  61. /yingpanguazai/ssd/ssd1/www/wwww.yeyulingfeng.com/vendor/topthink/framework/src/think/Middleware.php ( 6.72 KB )
  62. /yingpanguazai/ssd/ssd1/www/wwww.yeyulingfeng.com/vendor/topthink/framework/src/think/initializer/BootService.php ( 0.77 KB )
  63. /yingpanguazai/ssd/ssd1/www/wwww.yeyulingfeng.com/vendor/topthink/think-orm/src/Paginator.php ( 11.86 KB )
  64. /yingpanguazai/ssd/ssd1/www/wwww.yeyulingfeng.com/vendor/topthink/think-validate/src/Validate.php ( 63.20 KB )
  65. /yingpanguazai/ssd/ssd1/www/wwww.yeyulingfeng.com/vendor/topthink/think-orm/src/Model.php ( 23.55 KB )
  66. /yingpanguazai/ssd/ssd1/www/wwww.yeyulingfeng.com/vendor/topthink/think-orm/src/model/concern/Attribute.php ( 21.05 KB )
  67. /yingpanguazai/ssd/ssd1/www/wwww.yeyulingfeng.com/vendor/topthink/think-orm/src/model/concern/AutoWriteData.php ( 4.21 KB )
  68. /yingpanguazai/ssd/ssd1/www/wwww.yeyulingfeng.com/vendor/topthink/think-orm/src/model/concern/Conversion.php ( 6.44 KB )
  69. /yingpanguazai/ssd/ssd1/www/wwww.yeyulingfeng.com/vendor/topthink/think-orm/src/model/concern/DbConnect.php ( 5.16 KB )
  70. /yingpanguazai/ssd/ssd1/www/wwww.yeyulingfeng.com/vendor/topthink/think-orm/src/model/concern/ModelEvent.php ( 2.33 KB )
  71. /yingpanguazai/ssd/ssd1/www/wwww.yeyulingfeng.com/vendor/topthink/think-orm/src/model/concern/RelationShip.php ( 28.29 KB )
  72. /yingpanguazai/ssd/ssd1/www/wwww.yeyulingfeng.com/vendor/topthink/think-helper/src/contract/Arrayable.php ( 0.09 KB )
  73. /yingpanguazai/ssd/ssd1/www/wwww.yeyulingfeng.com/vendor/topthink/think-helper/src/contract/Jsonable.php ( 0.13 KB )
  74. /yingpanguazai/ssd/ssd1/www/wwww.yeyulingfeng.com/vendor/topthink/think-orm/src/model/contract/Modelable.php ( 0.09 KB )
  75. /yingpanguazai/ssd/ssd1/www/wwww.yeyulingfeng.com/vendor/topthink/framework/src/think/Db.php ( 2.88 KB )
  76. /yingpanguazai/ssd/ssd1/www/wwww.yeyulingfeng.com/vendor/topthink/think-orm/src/DbManager.php ( 8.52 KB )
  77. /yingpanguazai/ssd/ssd1/www/wwww.yeyulingfeng.com/vendor/topthink/framework/src/think/Log.php ( 6.28 KB )
  78. /yingpanguazai/ssd/ssd1/www/wwww.yeyulingfeng.com/vendor/topthink/framework/src/think/Manager.php ( 3.92 KB )
  79. /yingpanguazai/ssd/ssd1/www/wwww.yeyulingfeng.com/vendor/psr/log/src/LoggerTrait.php ( 2.69 KB )
  80. /yingpanguazai/ssd/ssd1/www/wwww.yeyulingfeng.com/vendor/psr/log/src/LoggerInterface.php ( 2.71 KB )
  81. /yingpanguazai/ssd/ssd1/www/wwww.yeyulingfeng.com/vendor/topthink/framework/src/think/Cache.php ( 4.92 KB )
  82. /yingpanguazai/ssd/ssd1/www/wwww.yeyulingfeng.com/vendor/psr/simple-cache/src/CacheInterface.php ( 4.71 KB )
  83. /yingpanguazai/ssd/ssd1/www/wwww.yeyulingfeng.com/vendor/topthink/think-helper/src/helper/Arr.php ( 16.63 KB )
  84. /yingpanguazai/ssd/ssd1/www/wwww.yeyulingfeng.com/vendor/topthink/framework/src/think/cache/driver/File.php ( 7.84 KB )
  85. /yingpanguazai/ssd/ssd1/www/wwww.yeyulingfeng.com/vendor/topthink/framework/src/think/cache/Driver.php ( 9.03 KB )
  86. /yingpanguazai/ssd/ssd1/www/wwww.yeyulingfeng.com/vendor/topthink/framework/src/think/contract/CacheHandlerInterface.php ( 1.99 KB )
  87. /yingpanguazai/ssd/ssd1/www/wwww.yeyulingfeng.com/app/Request.php ( 0.09 KB )
  88. /yingpanguazai/ssd/ssd1/www/wwww.yeyulingfeng.com/vendor/topthink/framework/src/think/Request.php ( 55.78 KB )
  89. /yingpanguazai/ssd/ssd1/www/wwww.yeyulingfeng.com/app/middleware.php ( 0.25 KB )
  90. /yingpanguazai/ssd/ssd1/www/wwww.yeyulingfeng.com/vendor/topthink/framework/src/think/Pipeline.php ( 2.61 KB )
  91. /yingpanguazai/ssd/ssd1/www/wwww.yeyulingfeng.com/vendor/topthink/think-trace/src/TraceDebug.php ( 3.40 KB )
  92. /yingpanguazai/ssd/ssd1/www/wwww.yeyulingfeng.com/vendor/topthink/framework/src/think/middleware/SessionInit.php ( 1.94 KB )
  93. /yingpanguazai/ssd/ssd1/www/wwww.yeyulingfeng.com/vendor/topthink/framework/src/think/Session.php ( 1.80 KB )
  94. /yingpanguazai/ssd/ssd1/www/wwww.yeyulingfeng.com/vendor/topthink/framework/src/think/session/driver/File.php ( 6.27 KB )
  95. /yingpanguazai/ssd/ssd1/www/wwww.yeyulingfeng.com/vendor/topthink/framework/src/think/contract/SessionHandlerInterface.php ( 0.87 KB )
  96. /yingpanguazai/ssd/ssd1/www/wwww.yeyulingfeng.com/vendor/topthink/framework/src/think/session/Store.php ( 7.12 KB )
  97. /yingpanguazai/ssd/ssd1/www/wwww.yeyulingfeng.com/vendor/topthink/framework/src/think/Route.php ( 23.73 KB )
  98. /yingpanguazai/ssd/ssd1/www/wwww.yeyulingfeng.com/vendor/topthink/framework/src/think/route/RuleName.php ( 5.75 KB )
  99. /yingpanguazai/ssd/ssd1/www/wwww.yeyulingfeng.com/vendor/topthink/framework/src/think/route/Domain.php ( 2.53 KB )
  100. /yingpanguazai/ssd/ssd1/www/wwww.yeyulingfeng.com/vendor/topthink/framework/src/think/route/RuleGroup.php ( 22.43 KB )
  101. /yingpanguazai/ssd/ssd1/www/wwww.yeyulingfeng.com/vendor/topthink/framework/src/think/route/Rule.php ( 26.95 KB )
  102. /yingpanguazai/ssd/ssd1/www/wwww.yeyulingfeng.com/vendor/topthink/framework/src/think/route/RuleItem.php ( 9.78 KB )
  103. /yingpanguazai/ssd/ssd1/www/wwww.yeyulingfeng.com/route/app.php ( 3.52 KB )
  104. /yingpanguazai/ssd/ssd1/www/wwww.yeyulingfeng.com/vendor/topthink/framework/src/think/facade/Route.php ( 4.70 KB )
  105. /yingpanguazai/ssd/ssd1/www/wwww.yeyulingfeng.com/vendor/topthink/framework/src/think/route/dispatch/Controller.php ( 4.74 KB )
  106. /yingpanguazai/ssd/ssd1/www/wwww.yeyulingfeng.com/vendor/topthink/framework/src/think/route/Dispatch.php ( 10.44 KB )
  107. /yingpanguazai/ssd/ssd1/www/wwww.yeyulingfeng.com/app/controller/Index.php ( 10.53 KB )
  108. /yingpanguazai/ssd/ssd1/www/wwww.yeyulingfeng.com/app/BaseController.php ( 2.05 KB )
  109. /yingpanguazai/ssd/ssd1/www/wwww.yeyulingfeng.com/vendor/topthink/think-orm/src/facade/Db.php ( 0.93 KB )
  110. /yingpanguazai/ssd/ssd1/www/wwww.yeyulingfeng.com/vendor/topthink/think-orm/src/db/connector/Mysql.php ( 5.44 KB )
  111. /yingpanguazai/ssd/ssd1/www/wwww.yeyulingfeng.com/vendor/topthink/think-orm/src/db/PDOConnection.php ( 52.47 KB )
  112. /yingpanguazai/ssd/ssd1/www/wwww.yeyulingfeng.com/vendor/topthink/think-orm/src/db/Connection.php ( 8.39 KB )
  113. /yingpanguazai/ssd/ssd1/www/wwww.yeyulingfeng.com/vendor/topthink/think-orm/src/db/ConnectionInterface.php ( 4.57 KB )
  114. /yingpanguazai/ssd/ssd1/www/wwww.yeyulingfeng.com/vendor/topthink/think-orm/src/db/builder/Mysql.php ( 16.58 KB )
  115. /yingpanguazai/ssd/ssd1/www/wwww.yeyulingfeng.com/vendor/topthink/think-orm/src/db/Builder.php ( 24.06 KB )
  116. /yingpanguazai/ssd/ssd1/www/wwww.yeyulingfeng.com/vendor/topthink/think-orm/src/db/BaseBuilder.php ( 27.50 KB )
  117. /yingpanguazai/ssd/ssd1/www/wwww.yeyulingfeng.com/vendor/topthink/think-orm/src/db/Query.php ( 15.71 KB )
  118. /yingpanguazai/ssd/ssd1/www/wwww.yeyulingfeng.com/vendor/topthink/think-orm/src/db/BaseQuery.php ( 45.13 KB )
  119. /yingpanguazai/ssd/ssd1/www/wwww.yeyulingfeng.com/vendor/topthink/think-orm/src/db/concern/TimeFieldQuery.php ( 7.43 KB )
  120. /yingpanguazai/ssd/ssd1/www/wwww.yeyulingfeng.com/vendor/topthink/think-orm/src/db/concern/AggregateQuery.php ( 3.26 KB )
  121. /yingpanguazai/ssd/ssd1/www/wwww.yeyulingfeng.com/vendor/topthink/think-orm/src/db/concern/ModelRelationQuery.php ( 20.07 KB )
  122. /yingpanguazai/ssd/ssd1/www/wwww.yeyulingfeng.com/vendor/topthink/think-orm/src/db/concern/ParamsBind.php ( 3.66 KB )
  123. /yingpanguazai/ssd/ssd1/www/wwww.yeyulingfeng.com/vendor/topthink/think-orm/src/db/concern/ResultOperation.php ( 7.01 KB )
  124. /yingpanguazai/ssd/ssd1/www/wwww.yeyulingfeng.com/vendor/topthink/think-orm/src/db/concern/WhereQuery.php ( 19.37 KB )
  125. /yingpanguazai/ssd/ssd1/www/wwww.yeyulingfeng.com/vendor/topthink/think-orm/src/db/concern/JoinAndViewQuery.php ( 7.11 KB )
  126. /yingpanguazai/ssd/ssd1/www/wwww.yeyulingfeng.com/vendor/topthink/think-orm/src/db/concern/TableFieldInfo.php ( 2.63 KB )
  127. /yingpanguazai/ssd/ssd1/www/wwww.yeyulingfeng.com/vendor/topthink/think-orm/src/db/concern/Transaction.php ( 2.77 KB )
  128. /yingpanguazai/ssd/ssd1/www/wwww.yeyulingfeng.com/vendor/topthink/framework/src/think/log/driver/File.php ( 5.96 KB )
  129. /yingpanguazai/ssd/ssd1/www/wwww.yeyulingfeng.com/vendor/topthink/framework/src/think/contract/LogHandlerInterface.php ( 0.86 KB )
  130. /yingpanguazai/ssd/ssd1/www/wwww.yeyulingfeng.com/vendor/topthink/framework/src/think/log/Channel.php ( 3.89 KB )
  131. /yingpanguazai/ssd/ssd1/www/wwww.yeyulingfeng.com/vendor/topthink/framework/src/think/event/LogRecord.php ( 1.02 KB )
  132. /yingpanguazai/ssd/ssd1/www/wwww.yeyulingfeng.com/vendor/topthink/think-helper/src/Collection.php ( 16.47 KB )
  133. /yingpanguazai/ssd/ssd1/www/wwww.yeyulingfeng.com/vendor/topthink/framework/src/think/facade/View.php ( 1.70 KB )
  134. /yingpanguazai/ssd/ssd1/www/wwww.yeyulingfeng.com/vendor/topthink/framework/src/think/View.php ( 4.39 KB )
  135. /yingpanguazai/ssd/ssd1/www/wwww.yeyulingfeng.com/vendor/topthink/framework/src/think/Response.php ( 8.81 KB )
  136. /yingpanguazai/ssd/ssd1/www/wwww.yeyulingfeng.com/vendor/topthink/framework/src/think/response/View.php ( 3.29 KB )
  137. /yingpanguazai/ssd/ssd1/www/wwww.yeyulingfeng.com/vendor/topthink/framework/src/think/Cookie.php ( 6.06 KB )
  138. /yingpanguazai/ssd/ssd1/www/wwww.yeyulingfeng.com/vendor/topthink/think-view/src/Think.php ( 8.38 KB )
  139. /yingpanguazai/ssd/ssd1/www/wwww.yeyulingfeng.com/vendor/topthink/framework/src/think/contract/TemplateHandlerInterface.php ( 1.60 KB )
  140. /yingpanguazai/ssd/ssd1/www/wwww.yeyulingfeng.com/vendor/topthink/think-template/src/Template.php ( 46.61 KB )
  141. /yingpanguazai/ssd/ssd1/www/wwww.yeyulingfeng.com/vendor/topthink/think-template/src/template/driver/File.php ( 2.41 KB )
  142. /yingpanguazai/ssd/ssd1/www/wwww.yeyulingfeng.com/vendor/topthink/think-template/src/template/contract/DriverInterface.php ( 0.86 KB )
  143. /yingpanguazai/ssd/ssd1/www/wwww.yeyulingfeng.com/runtime/temp/10a0c909b6afa23b5a52a2e2d58c3c0f.php ( 21.70 KB )
  144. /yingpanguazai/ssd/ssd1/www/wwww.yeyulingfeng.com/vendor/topthink/think-trace/src/Html.php ( 4.42 KB )
  1. CONNECT:[ UseTime:0.001203s ] mysql:host=127.0.0.1;port=3306;dbname=wenku;charset=utf8mb4
  2. SHOW FULL COLUMNS FROM `fenlei` [ RunTime:0.001701s ]
  3. SELECT * FROM `fenlei` WHERE `fid` = 0 [ RunTime:0.000626s ]
  4. SELECT * FROM `fenlei` WHERE `fid` = 63 [ RunTime:0.000534s ]
  5. SHOW FULL COLUMNS FROM `set` [ RunTime:0.001298s ]
  6. SELECT * FROM `set` [ RunTime:0.000455s ]
  7. SHOW FULL COLUMNS FROM `wendang` [ RunTime:0.001295s ]
  8. SELECT * FROM `wendang` WHERE `id` = 330030 LIMIT 1 [ RunTime:0.001050s ]
  9. UPDATE `wendang` SET `liulancishu` = 3 WHERE `id` = 330030 [ RunTime:0.003536s ]
  10. UPDATE `wendang` SET `lasttime` = 1772330520 WHERE `id` = 330030 [ RunTime:0.000921s ]
  11. SELECT * FROM `wendang` WHERE `id` < 330030 ORDER BY `id` DESC LIMIT 1 [ RunTime:0.001044s ]
  12. SELECT * FROM `wendang` WHERE `id` > 330030 ORDER BY `id` ASC LIMIT 1 [ RunTime:0.000787s ]
  13. SELECT * FROM `wendang` WHERE `id` <> 330030 ORDER BY `id` DESC LIMIT 10 [ RunTime:0.002054s ]
  14. SELECT * FROM `wendang` WHERE `id` <> 330030 ORDER BY `id` DESC LIMIT 10,10 [ RunTime:0.005814s ]
  15. SELECT * FROM `wendang` WHERE `id` <> 330030 ORDER BY `id` DESC LIMIT 20,10 [ RunTime:0.003267s ]
0.183338s