当前位置:首页>文档>专题14三角形(全国通用)(解析版)_02中考总复习(2026版更新中)_02-数学-中考总复习_2026年中考复习(更新中)_好题汇编三年(2023-2025)中考数学真题分类汇编(全国通用)

专题14三角形(全国通用)(解析版)_02中考总复习(2026版更新中)_02-数学-中考总复习_2026年中考复习(更新中)_好题汇编三年(2023-2025)中考数学真题分类汇编(全国通用)

  • 2026-03-16 07:28:36 2026-03-07 03:42:33

文档预览

专题14三角形(全国通用)(解析版)_02中考总复习(2026版更新中)_02-数学-中考总复习_2026年中考复习(更新中)_好题汇编三年(2023-2025)中考数学真题分类汇编(全国通用)
专题14三角形(全国通用)(解析版)_02中考总复习(2026版更新中)_02-数学-中考总复习_2026年中考复习(更新中)_好题汇编三年(2023-2025)中考数学真题分类汇编(全国通用)
专题14三角形(全国通用)(解析版)_02中考总复习(2026版更新中)_02-数学-中考总复习_2026年中考复习(更新中)_好题汇编三年(2023-2025)中考数学真题分类汇编(全国通用)
专题14三角形(全国通用)(解析版)_02中考总复习(2026版更新中)_02-数学-中考总复习_2026年中考复习(更新中)_好题汇编三年(2023-2025)中考数学真题分类汇编(全国通用)
专题14三角形(全国通用)(解析版)_02中考总复习(2026版更新中)_02-数学-中考总复习_2026年中考复习(更新中)_好题汇编三年(2023-2025)中考数学真题分类汇编(全国通用)
专题14三角形(全国通用)(解析版)_02中考总复习(2026版更新中)_02-数学-中考总复习_2026年中考复习(更新中)_好题汇编三年(2023-2025)中考数学真题分类汇编(全国通用)
专题14三角形(全国通用)(解析版)_02中考总复习(2026版更新中)_02-数学-中考总复习_2026年中考复习(更新中)_好题汇编三年(2023-2025)中考数学真题分类汇编(全国通用)
专题14三角形(全国通用)(解析版)_02中考总复习(2026版更新中)_02-数学-中考总复习_2026年中考复习(更新中)_好题汇编三年(2023-2025)中考数学真题分类汇编(全国通用)
专题14三角形(全国通用)(解析版)_02中考总复习(2026版更新中)_02-数学-中考总复习_2026年中考复习(更新中)_好题汇编三年(2023-2025)中考数学真题分类汇编(全国通用)
专题14三角形(全国通用)(解析版)_02中考总复习(2026版更新中)_02-数学-中考总复习_2026年中考复习(更新中)_好题汇编三年(2023-2025)中考数学真题分类汇编(全国通用)
专题14三角形(全国通用)(解析版)_02中考总复习(2026版更新中)_02-数学-中考总复习_2026年中考复习(更新中)_好题汇编三年(2023-2025)中考数学真题分类汇编(全国通用)
专题14三角形(全国通用)(解析版)_02中考总复习(2026版更新中)_02-数学-中考总复习_2026年中考复习(更新中)_好题汇编三年(2023-2025)中考数学真题分类汇编(全国通用)
专题14三角形(全国通用)(解析版)_02中考总复习(2026版更新中)_02-数学-中考总复习_2026年中考复习(更新中)_好题汇编三年(2023-2025)中考数学真题分类汇编(全国通用)
专题14三角形(全国通用)(解析版)_02中考总复习(2026版更新中)_02-数学-中考总复习_2026年中考复习(更新中)_好题汇编三年(2023-2025)中考数学真题分类汇编(全国通用)
专题14三角形(全国通用)(解析版)_02中考总复习(2026版更新中)_02-数学-中考总复习_2026年中考复习(更新中)_好题汇编三年(2023-2025)中考数学真题分类汇编(全国通用)
专题14三角形(全国通用)(解析版)_02中考总复习(2026版更新中)_02-数学-中考总复习_2026年中考复习(更新中)_好题汇编三年(2023-2025)中考数学真题分类汇编(全国通用)
专题14三角形(全国通用)(解析版)_02中考总复习(2026版更新中)_02-数学-中考总复习_2026年中考复习(更新中)_好题汇编三年(2023-2025)中考数学真题分类汇编(全国通用)
专题14三角形(全国通用)(解析版)_02中考总复习(2026版更新中)_02-数学-中考总复习_2026年中考复习(更新中)_好题汇编三年(2023-2025)中考数学真题分类汇编(全国通用)
专题14三角形(全国通用)(解析版)_02中考总复习(2026版更新中)_02-数学-中考总复习_2026年中考复习(更新中)_好题汇编三年(2023-2025)中考数学真题分类汇编(全国通用)
专题14三角形(全国通用)(解析版)_02中考总复习(2026版更新中)_02-数学-中考总复习_2026年中考复习(更新中)_好题汇编三年(2023-2025)中考数学真题分类汇编(全国通用)
专题14三角形(全国通用)(解析版)_02中考总复习(2026版更新中)_02-数学-中考总复习_2026年中考复习(更新中)_好题汇编三年(2023-2025)中考数学真题分类汇编(全国通用)
专题14三角形(全国通用)(解析版)_02中考总复习(2026版更新中)_02-数学-中考总复习_2026年中考复习(更新中)_好题汇编三年(2023-2025)中考数学真题分类汇编(全国通用)
专题14三角形(全国通用)(解析版)_02中考总复习(2026版更新中)_02-数学-中考总复习_2026年中考复习(更新中)_好题汇编三年(2023-2025)中考数学真题分类汇编(全国通用)
专题14三角形(全国通用)(解析版)_02中考总复习(2026版更新中)_02-数学-中考总复习_2026年中考复习(更新中)_好题汇编三年(2023-2025)中考数学真题分类汇编(全国通用)
专题14三角形(全国通用)(解析版)_02中考总复习(2026版更新中)_02-数学-中考总复习_2026年中考复习(更新中)_好题汇编三年(2023-2025)中考数学真题分类汇编(全国通用)
专题14三角形(全国通用)(解析版)_02中考总复习(2026版更新中)_02-数学-中考总复习_2026年中考复习(更新中)_好题汇编三年(2023-2025)中考数学真题分类汇编(全国通用)
专题14三角形(全国通用)(解析版)_02中考总复习(2026版更新中)_02-数学-中考总复习_2026年中考复习(更新中)_好题汇编三年(2023-2025)中考数学真题分类汇编(全国通用)
专题14三角形(全国通用)(解析版)_02中考总复习(2026版更新中)_02-数学-中考总复习_2026年中考复习(更新中)_好题汇编三年(2023-2025)中考数学真题分类汇编(全国通用)
专题14三角形(全国通用)(解析版)_02中考总复习(2026版更新中)_02-数学-中考总复习_2026年中考复习(更新中)_好题汇编三年(2023-2025)中考数学真题分类汇编(全国通用)
专题14三角形(全国通用)(解析版)_02中考总复习(2026版更新中)_02-数学-中考总复习_2026年中考复习(更新中)_好题汇编三年(2023-2025)中考数学真题分类汇编(全国通用)
专题14三角形(全国通用)(解析版)_02中考总复习(2026版更新中)_02-数学-中考总复习_2026年中考复习(更新中)_好题汇编三年(2023-2025)中考数学真题分类汇编(全国通用)
专题14三角形(全国通用)(解析版)_02中考总复习(2026版更新中)_02-数学-中考总复习_2026年中考复习(更新中)_好题汇编三年(2023-2025)中考数学真题分类汇编(全国通用)
专题14三角形(全国通用)(解析版)_02中考总复习(2026版更新中)_02-数学-中考总复习_2026年中考复习(更新中)_好题汇编三年(2023-2025)中考数学真题分类汇编(全国通用)
专题14三角形(全国通用)(解析版)_02中考总复习(2026版更新中)_02-数学-中考总复习_2026年中考复习(更新中)_好题汇编三年(2023-2025)中考数学真题分类汇编(全国通用)
专题14三角形(全国通用)(解析版)_02中考总复习(2026版更新中)_02-数学-中考总复习_2026年中考复习(更新中)_好题汇编三年(2023-2025)中考数学真题分类汇编(全国通用)
专题14三角形(全国通用)(解析版)_02中考总复习(2026版更新中)_02-数学-中考总复习_2026年中考复习(更新中)_好题汇编三年(2023-2025)中考数学真题分类汇编(全国通用)
专题14三角形(全国通用)(解析版)_02中考总复习(2026版更新中)_02-数学-中考总复习_2026年中考复习(更新中)_好题汇编三年(2023-2025)中考数学真题分类汇编(全国通用)
专题14三角形(全国通用)(解析版)_02中考总复习(2026版更新中)_02-数学-中考总复习_2026年中考复习(更新中)_好题汇编三年(2023-2025)中考数学真题分类汇编(全国通用)
专题14三角形(全国通用)(解析版)_02中考总复习(2026版更新中)_02-数学-中考总复习_2026年中考复习(更新中)_好题汇编三年(2023-2025)中考数学真题分类汇编(全国通用)
专题14三角形(全国通用)(解析版)_02中考总复习(2026版更新中)_02-数学-中考总复习_2026年中考复习(更新中)_好题汇编三年(2023-2025)中考数学真题分类汇编(全国通用)
专题14三角形(全国通用)(解析版)_02中考总复习(2026版更新中)_02-数学-中考总复习_2026年中考复习(更新中)_好题汇编三年(2023-2025)中考数学真题分类汇编(全国通用)
专题14三角形(全国通用)(解析版)_02中考总复习(2026版更新中)_02-数学-中考总复习_2026年中考复习(更新中)_好题汇编三年(2023-2025)中考数学真题分类汇编(全国通用)
专题14三角形(全国通用)(解析版)_02中考总复习(2026版更新中)_02-数学-中考总复习_2026年中考复习(更新中)_好题汇编三年(2023-2025)中考数学真题分类汇编(全国通用)
专题14三角形(全国通用)(解析版)_02中考总复习(2026版更新中)_02-数学-中考总复习_2026年中考复习(更新中)_好题汇编三年(2023-2025)中考数学真题分类汇编(全国通用)
专题14三角形(全国通用)(解析版)_02中考总复习(2026版更新中)_02-数学-中考总复习_2026年中考复习(更新中)_好题汇编三年(2023-2025)中考数学真题分类汇编(全国通用)
专题14三角形(全国通用)(解析版)_02中考总复习(2026版更新中)_02-数学-中考总复习_2026年中考复习(更新中)_好题汇编三年(2023-2025)中考数学真题分类汇编(全国通用)
专题14三角形(全国通用)(解析版)_02中考总复习(2026版更新中)_02-数学-中考总复习_2026年中考复习(更新中)_好题汇编三年(2023-2025)中考数学真题分类汇编(全国通用)
专题14三角形(全国通用)(解析版)_02中考总复习(2026版更新中)_02-数学-中考总复习_2026年中考复习(更新中)_好题汇编三年(2023-2025)中考数学真题分类汇编(全国通用)
专题14三角形(全国通用)(解析版)_02中考总复习(2026版更新中)_02-数学-中考总复习_2026年中考复习(更新中)_好题汇编三年(2023-2025)中考数学真题分类汇编(全国通用)
专题14三角形(全国通用)(解析版)_02中考总复习(2026版更新中)_02-数学-中考总复习_2026年中考复习(更新中)_好题汇编三年(2023-2025)中考数学真题分类汇编(全国通用)
专题14三角形(全国通用)(解析版)_02中考总复习(2026版更新中)_02-数学-中考总复习_2026年中考复习(更新中)_好题汇编三年(2023-2025)中考数学真题分类汇编(全国通用)
专题14三角形(全国通用)(解析版)_02中考总复习(2026版更新中)_02-数学-中考总复习_2026年中考复习(更新中)_好题汇编三年(2023-2025)中考数学真题分类汇编(全国通用)
专题14三角形(全国通用)(解析版)_02中考总复习(2026版更新中)_02-数学-中考总复习_2026年中考复习(更新中)_好题汇编三年(2023-2025)中考数学真题分类汇编(全国通用)
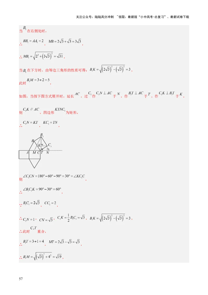
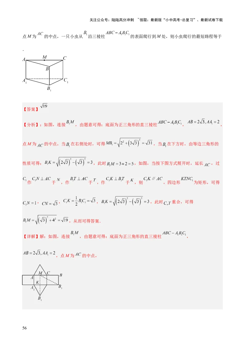
专题14三角形(全国通用)(解析版)_02中考总复习(2026版更新中)_02-数学-中考总复习_2026年中考复习(更新中)_好题汇编三年(2023-2025)中考数学真题分类汇编(全国通用)
专题14三角形(全国通用)(解析版)_02中考总复习(2026版更新中)_02-数学-中考总复习_2026年中考复习(更新中)_好题汇编三年(2023-2025)中考数学真题分类汇编(全国通用)
专题14三角形(全国通用)(解析版)_02中考总复习(2026版更新中)_02-数学-中考总复习_2026年中考复习(更新中)_好题汇编三年(2023-2025)中考数学真题分类汇编(全国通用)
专题14三角形(全国通用)(解析版)_02中考总复习(2026版更新中)_02-数学-中考总复习_2026年中考复习(更新中)_好题汇编三年(2023-2025)中考数学真题分类汇编(全国通用)
专题14三角形(全国通用)(解析版)_02中考总复习(2026版更新中)_02-数学-中考总复习_2026年中考复习(更新中)_好题汇编三年(2023-2025)中考数学真题分类汇编(全国通用)
专题14三角形(全国通用)(解析版)_02中考总复习(2026版更新中)_02-数学-中考总复习_2026年中考复习(更新中)_好题汇编三年(2023-2025)中考数学真题分类汇编(全国通用)
专题14三角形(全国通用)(解析版)_02中考总复习(2026版更新中)_02-数学-中考总复习_2026年中考复习(更新中)_好题汇编三年(2023-2025)中考数学真题分类汇编(全国通用)
专题14三角形(全国通用)(解析版)_02中考总复习(2026版更新中)_02-数学-中考总复习_2026年中考复习(更新中)_好题汇编三年(2023-2025)中考数学真题分类汇编(全国通用)
专题14三角形(全国通用)(解析版)_02中考总复习(2026版更新中)_02-数学-中考总复习_2026年中考复习(更新中)_好题汇编三年(2023-2025)中考数学真题分类汇编(全国通用)
专题14三角形(全国通用)(解析版)_02中考总复习(2026版更新中)_02-数学-中考总复习_2026年中考复习(更新中)_好题汇编三年(2023-2025)中考数学真题分类汇编(全国通用)
专题14三角形(全国通用)(解析版)_02中考总复习(2026版更新中)_02-数学-中考总复习_2026年中考复习(更新中)_好题汇编三年(2023-2025)中考数学真题分类汇编(全国通用)
专题14三角形(全国通用)(解析版)_02中考总复习(2026版更新中)_02-数学-中考总复习_2026年中考复习(更新中)_好题汇编三年(2023-2025)中考数学真题分类汇编(全国通用)
专题14三角形(全国通用)(解析版)_02中考总复习(2026版更新中)_02-数学-中考总复习_2026年中考复习(更新中)_好题汇编三年(2023-2025)中考数学真题分类汇编(全国通用)
专题14三角形(全国通用)(解析版)_02中考总复习(2026版更新中)_02-数学-中考总复习_2026年中考复习(更新中)_好题汇编三年(2023-2025)中考数学真题分类汇编(全国通用)
专题14三角形(全国通用)(解析版)_02中考总复习(2026版更新中)_02-数学-中考总复习_2026年中考复习(更新中)_好题汇编三年(2023-2025)中考数学真题分类汇编(全国通用)
专题14三角形(全国通用)(解析版)_02中考总复习(2026版更新中)_02-数学-中考总复习_2026年中考复习(更新中)_好题汇编三年(2023-2025)中考数学真题分类汇编(全国通用)
专题14三角形(全国通用)(解析版)_02中考总复习(2026版更新中)_02-数学-中考总复习_2026年中考复习(更新中)_好题汇编三年(2023-2025)中考数学真题分类汇编(全国通用)
专题14三角形(全国通用)(解析版)_02中考总复习(2026版更新中)_02-数学-中考总复习_2026年中考复习(更新中)_好题汇编三年(2023-2025)中考数学真题分类汇编(全国通用)
专题14三角形(全国通用)(解析版)_02中考总复习(2026版更新中)_02-数学-中考总复习_2026年中考复习(更新中)_好题汇编三年(2023-2025)中考数学真题分类汇编(全国通用)
专题14三角形(全国通用)(解析版)_02中考总复习(2026版更新中)_02-数学-中考总复习_2026年中考复习(更新中)_好题汇编三年(2023-2025)中考数学真题分类汇编(全国通用)
专题14三角形(全国通用)(解析版)_02中考总复习(2026版更新中)_02-数学-中考总复习_2026年中考复习(更新中)_好题汇编三年(2023-2025)中考数学真题分类汇编(全国通用)
专题14三角形(全国通用)(解析版)_02中考总复习(2026版更新中)_02-数学-中考总复习_2026年中考复习(更新中)_好题汇编三年(2023-2025)中考数学真题分类汇编(全国通用)
专题14三角形(全国通用)(解析版)_02中考总复习(2026版更新中)_02-数学-中考总复习_2026年中考复习(更新中)_好题汇编三年(2023-2025)中考数学真题分类汇编(全国通用)
专题14三角形(全国通用)(解析版)_02中考总复习(2026版更新中)_02-数学-中考总复习_2026年中考复习(更新中)_好题汇编三年(2023-2025)中考数学真题分类汇编(全国通用)
专题14三角形(全国通用)(解析版)_02中考总复习(2026版更新中)_02-数学-中考总复习_2026年中考复习(更新中)_好题汇编三年(2023-2025)中考数学真题分类汇编(全国通用)
专题14三角形(全国通用)(解析版)_02中考总复习(2026版更新中)_02-数学-中考总复习_2026年中考复习(更新中)_好题汇编三年(2023-2025)中考数学真题分类汇编(全国通用)
专题14三角形(全国通用)(解析版)_02中考总复习(2026版更新中)_02-数学-中考总复习_2026年中考复习(更新中)_好题汇编三年(2023-2025)中考数学真题分类汇编(全国通用)

文档信息

文档格式
docx
文档大小
8.967 MB
文档页数
80 页
上传时间
2026-03-07 03:42:33

文档内容

关注公众号:陆陆高分冲刺 ~领取:最新版“小中高考-总复习”、最新试卷下载 专题 14 三角形 考点 01 三角形中的线段 1.(2025·江苏连云港·中考真题)下列长度(单位: )的3根小木棒能搭成三角形的是( ) A.1,2,3 B.2,3,4 C.3,5,8 D.4,5,10 【答案】B 【分析】本题考查的是三角形的三边关系的应用,根据三角形三边关系定理,任意两边之和必须大于第三 边.只需验证每组数中较小的两数之和是否大于最大数即可. 【详解】A. 1、2、3: ,不满足两边之和大于第三边,不符合题意; B. 2、3、4: ,满足条件,能构成三角形,符合题意; C. 3、5、8: ,不满足两边之和大于第三边,不符合题意; D. 4、5、10: ,不满足条件,不符合题意; 故选:B. 2.(2024·青海西宁·中考真题)若长度分别为3,6, 的三条线段能组成一个三角形,则整数 的值可以 是 .(写出一个即可) 【答案】4(答案不唯一) 【分析】本题主要考查三角形的三边关系,能根据三角形的三边关系求出第三边a的取值范围是解答的关 键. 根据三角形的任意两边之和大于第三边,任意两边之差小于第三边进行求解即可. 【详解】解:由题意知: ,即 , 所以整数a可取4、5、6、7、8中的一个. 故答案为:4(答案不唯一). 3.(2024·江苏镇江·中考真题)等腰三角形的两边长分别为6和2,则第三边长为 . 【答案】6 【分析】本题考查了等腰三角形的性质,三角形三边关系,熟练掌握分类讨论思想是解题的关键.分两种 情况讨论:当6为一腰长时;当2为一腰长时;分别求出第三条边长,并根据三角形三边关系判断是否能 1关注公众号:陆陆高分冲刺 ~领取:最新版“小中高考-总复习”、最新试卷下载 构成三角形,即可得出答案. 【详解】解:当6为一腰长时,则另一腰长为6,底边长为2, , 能构成三角形, 第三边长为6; 当2为一腰长时,则另一腰长为2,底边长为6, , 不能构成三角形,舍去; 综上,第三边长为6, 故答案为:6. 4.(2023·江苏南京·中考真题)若一个等腰三角形的腰长为3,则它的周长可能是( ) A.5 B.10 C.15 D.20 【答案】B 【分析】此题考查了三角形的三边关系,等腰三角形的定义,掌握相关知识是解题的关键.根据等腰三角 形的定义及三角形的三边关系求解即可. 【详解】解: 等腰三角形的腰长为3, 等腰三角形的底长 , 即 等腰三角形的底长 , 等腰三角形的周长 , 故选:B. 5.(2024·山东德州·中考真题)如图,在 中, 是高, 是中线, , ,则 的长为( ) A. B.3 C.4 D.6 【答案】B 【分析】本题考查了三角形的高线和中线的意义,根据 和 求出 ,根据 是中线 2关注公众号:陆陆高分冲刺 ~领取:最新版“小中高考-总复习”、最新试卷下载 即可求解. 【详解】解:∵ , , ∴ ∵ 是中线, ∴ 故选:B 6.(2024·河北·中考真题)观察图中尺规作图的痕迹,可得线段 一定是 的( ) A.角平分线 B.高线 C.中位线 D.中线 【答案】B 【分析】本题考查的是三角形的高的定义,作线段的垂线,根据作图痕迹可得 ,从而可得答案. 【详解】解:由作图可得: , ∴线段 一定是 的高线; 故选B 7.(2025·山东威海·中考真题)如图, 的中线 交于点F,连接 .下列结论错误的是( ) A. B. C. D. 【答案】B 3关注公众号:陆陆高分冲刺 ~领取:最新版“小中高考-总复习”、最新试卷下载 【分析】本题考查了三角形的中位线定理、三角形中线的性质以及相似三角形的判定和性质等知识; 根据三角形的中位线定理结合三角形中线的性质可得 , 可得 ,再根据相似三角形的性质进一步判断即可. 【详解】解:∵ 的中线 交于点F, ∴ , ∴ , ,故D选项结论正确; ∴ , , ∴ , , ,故A、C选项结论正确,B选项结论错误; 故选:B. 8.(2024·黑龙江绥化·中考真题)已知: . (1)尺规作图:画出 的重心 .(保留作图痕迹,不要求写作法和证明) (2)在(1)的条件下,连接 , .已知 的面积等于 ,则 的面积是______ . 【答案】(1)见解析 (2) 【分析】本题考查了三角形重心的性质,尺规画垂线; (1)分别作 的中线,交点即为所求; (2)根据三角形重心的性质可得 ,根据三角形中线的性质可得 【详解】(1)解:如图所示 4关注公众号:陆陆高分冲刺 ~领取:最新版“小中高考-总复习”、最新试卷下载 作法:①作 的垂直平分线交 于点 ②作 的垂直平分线交 于点 ③连接 、 相交于点 ④标出点 ,点 即为所求 (2)解:∵ 是 的重心, ∴ ∴ ∵ 的面积等于 , ∴ 又∵ 是 的中点, ∴ 故答案为: . 9.(2023·浙江嘉兴·中考真题)如图,点 是 的重心,点 是边 的中点, 交 于点 , 交 于点 ,若四边形 的面积为6,则 的面积为( ) 5关注公众号:陆陆高分冲刺 ~领取:最新版“小中高考-总复习”、最新试卷下载 A.12 B.14 C.18 D.24 【答案】C 【分析】连接 ,由点 是 的重心,点 是边 的中点,可得点 在一条直线上,且 , ,通过 可得 ,从而得到 ,通 过 ,可得 ,再根据四边形 的面积为6,可得出 ,进而可得出 的面积. 【详解】解:如图所示,连接 , , 点 是 的重心,点 是边 的中点, 点 在一条直线上,且 , , , , , , , , , , , , , 6关注公众号:陆陆高分冲刺 ~领取:最新版“小中高考-总复习”、最新试卷下载 , , , , 故选:C. 【点睛】本题主要考查了三角形的重心的性质,相似三角形的判定与性质,根据三角形的中线求面积,熟 练掌握三角形的重心的性质,相似三角形的判定与性质,添加适当的辅助线,是解题的关键. 考点 02 三角形的内、外角 1.(2024·四川凉山·中考真题)如图, 中, 是边 上的高, 是 的平分线,则 的度数是 . 【答案】 /100度 【分析】本题考查了三角形内角和以及外角性质、角平分线的定义.先求出 ,结合高的定义, 得 ,因为角平分线的定义得 ,运用三角形的外角性质,即可作答. 【详解】解:∵ , ∴ , ∵ 是边 上的高, ∴ , ∴ , ∵ 是 的平分线, ∴ , ∴ . 故答案为: . 7关注公众号:陆陆高分冲刺 ~领取:最新版“小中高考-总复习”、最新试卷下载 2.(2023·辽宁·中考真题)如图,在三角形纸片 中, ,点 是边 上的动点, 将三角形纸片沿 对折,使点 落在点 处,当 时, 的度数为 . 【答案】 或 【分析】分两种情况考虑,利用对称的性质及三角形内角和等知识即可完成求解. 【详解】解:由折叠的性质得: ; ∵ , ∴ ; ①当 在 下方时,如图, ∵ , ∴ , ∴ ; ②当 在 上方时,如图, ∵ , ∴ , ∴ ; 8关注公众号:陆陆高分冲刺 ~领取:最新版“小中高考-总复习”、最新试卷下载 综上, 的度数为 或 ; 故答案为: 或 . 【点睛】本题考查了折叠的性质,三角形内角和,注意分类讨论. 3.(2025·湖南长沙·中考真题)如图,在 中, ,以点C为圆心,适当长为半径 作弧,交 于点M,交 于点N,再分别以点M,N为圆心,大于 的长度为半径作弧,两弧相交 于点P,作射线 交 于点D. (1)求 的度数; (2)若 ,求 的长. 【答案】(1) (2) 【分析】本题考查了角平分线、三角形的内角和定理、等腰三角形的性质等知识点,熟记相关结论即可. (1)由题意得 ,根据 是 的角平分线即可求解; (2)求出 ,得到 ;求出 . .推出 .即可求解; 【详解】(1)解: , . 由作图可知, 是 的角平分线, 9关注公众号:陆陆高分冲刺 ~领取:最新版“小中高考-总复习”、最新试卷下载 . (2)解:在 中,由三角形内角和定理得 , , , 在 中, , . . . . , . 4.(2025·吉林·中考真题)如图,正五边形 的边 的延长线交于点F,则 的大小为 度. 【答案】 【分析】本题主要考查了正多边形外角和定理,三角形内角和定理,多边形外角和为360度,据此可求出 的度数,再利用三角形内角和定理求解即可. 【详解】解:五边形 是正五边形, ∴ , ∴ , 故答案为: . 5.(2024·湖南·中考真题)等腰三角形的一个底角为 ,则它的顶角的度数是 . 【答案】 /100度 【分析】本题主要考查了等腰三角形的性质,三角形内角和定理等知识点,掌握等腰三角形两底角相等是 10关注公众号:陆陆高分冲刺 ~领取:最新版“小中高考-总复习”、最新试卷下载 解题的关键.根据三角形内角和定理结合等腰三角形两底角相等,求出它的顶角度数即可. 【详解】解:∵等腰三角形的一个底角的度数为 , ∴它的顶角度数为: . 故答案为: . 6.(2024·江苏无锡·中考真题)如图,在 中, , ,将 绕点 逆时针旋转得 到 .当 落在 上时, 的度数为( ) A. B. C. D. 【答案】B 【分析】本题主要考查了旋转的性质,三角形内角和定理,由旋转的性质可得 , 由三角形内角和定理可得出 ,最后根据角的和差关系即可得出答案. 【详解】解:由旋转的性质可得出 , , ∵ , ∴ , ∴ , ∴故选:B. 7.(2023·辽宁丹东·中考真题)如图所示,在 中, ,垂足为点D, ,交 于点 E.若 ,则 的度数是( ) A. B. C. D. 【答案】B 【分析】首先根据平行线的性质得 ,再根据垂直的定义得 ,进而根据 11关注公众号:陆陆高分冲刺 ~领取:最新版“小中高考-总复习”、最新试卷下载 即可得出答案. 【详解】解: , , , , , 故选:B. 【点睛】本题主要考查了平行线的性质,垂直的定义,熟练掌握平行线的性质是解答此题的关键. 8.(2025·辽宁·中考真题)如图,点 在 的边 上, ,垂足为 , ,若 ,则 的度数为( ) A. B. C. D. 【答案】C 【分析】本题考查平行线的性质,三角形的外角,根据平行线的性质,得到 ,再根据三角形 的外角的性质,求出 的度数即可. 【详解】解:∵ , , , ∴ , ∴ ; 故选C. 9.(2023·辽宁锦州·中考真题)如图,在 中, 的垂直平分线交 于点D.交 于点E.连接 .若 , ,则 的度数为 . 【答案】 / 度 12关注公众号:陆陆高分冲刺 ~领取:最新版“小中高考-总复习”、最新试卷下载 【分析】先在 中利用等边对等角求出 的度数,然后根据垂直平分线的性质可得 , 再利用等边对等角得出 ,最后结合三角形外角的性质即可求解. 【详解】解:∵ , , ∴ , ∵ 是 的垂直平分线, ∴ , ∴ , 又 , ∴ . 故答案为: . 【点睛】本题考查了线段垂直平分线的性质,等腰三角形的性质,三角形外角的性质等知识,掌握等腰三 角形的等边对等角是解题的关键. 考点 03 等腰、等边三角形的判定与性质 1.(2025·四川凉山·中考真题)如图, ,点E在 上, , 则 的度数为( ) A. B. C. D. 【答案】C 【分析】本题主要考查了全等三角形的性质与判定,三角形内角和定理,等边对等角,先证明 ,再利用 可证明 得到 ,利用三角形内角和定理可证明 ,据此根据等边对等角和三角形内角和定理可求出答案. 【详解】解:∵ , ∴ ,即 , 在 和 中, 13关注公众号:陆陆高分冲刺 ~领取:最新版“小中高考-总复习”、最新试卷下载 , ∴ , ∴ ; 如图所示,设 交于O, ∵ , , , ∴ , ∵ , , ∴ , 故选:C. 2.(2024·宁夏·中考真题)在平面直角坐标系中,一条直线与两坐标轴围成的三角形是等腰三角形,则该 直线的解析式可能为 (写出一个即可). 【答案】 (答案不唯一) 【分析】本题考查的是等腰三角形的定义,一次函数的几何应用,如图,直线 过 , ,再 求解一次函数的解析式即可. 【详解】解:如图,直线 过 , , 14关注公众号:陆陆高分冲刺 ~领取:最新版“小中高考-总复习”、最新试卷下载 ∴ 为等腰直角三角形, 设直线 为 , ∴ , 解得: , ∴直线 为 , 故答案为: ,(答案不唯一.) 3.(2024·甘肃兰州·中考真题)如图,在 中, , , ,则 ( ) A. B. C. D. 【答案】B 【分析】本题主要考查了等腰三角形的性质,三角形外角的性质.根据等腰三角形的性质,可得 ,再由三角形外角的性质,即可求解. 【详解】解:∵ , , ∴ , ∵ , ∴ , ∴ . 故选:B 4.(2024·四川·中考真题)如图,在 中, , ,按如下步骤作图:①以点B为圆心, 适当长为半径画弧,分别交 , 于点D,E;②分别以点D,E为圆心,大于 长为半径画弧,两 弧在 的内部相交于点F,作射线 交 于点G.则 的大小为 度. 15关注公众号:陆陆高分冲刺 ~领取:最新版“小中高考-总复习”、最新试卷下载 【答案】 【分析】本题考查了等腰三角形的性质,角平分线的尺规作法,熟练掌握等腰三角形的性质和角平分线的 尺规作法是解题的关键.根据 , ,由等边对等角,结合三角形内角和定理,可得 ,由尺规作图过程可知 为 的角平分线,由此可得 . 【详解】解: , , , 根据尺规作图过程,可知 为 的角平分线, , 故 , 故答案为: . 5.(2024·内蒙古赤峰·中考真题)等腰三角形的两边长分别是方程 的两个根,则这个三角形 的周长为( ) A. 或 B. 或 C. D. 【答案】C 【分析】本题考查了解一元二次方程,等腰三角形的定义,三角形的三边关系及周长,由方程可得 , ,根据三角形的三边关系可得等腰三角形的底边长为 ,腰长为 ,进而即可求出三角形的周长,掌 握等腰三角形的定义及三角形的三边关系是解题的关键. 【详解】解:由方程 得, , , ∵ , ∴等腰三角形的底边长为 ,腰长为 , 16关注公众号:陆陆高分冲刺 ~领取:最新版“小中高考-总复习”、最新试卷下载 ∴这个三角形的周长为 , 故选: . 6.(2025·吉林长春·中考真题)图①、图②、图③均是 的网格,其中每个小方格都是边长相等的正方 形,其顶点称为格点.只用无刻度的直尺,分别在给定的网格中按下列要求作 ,使 的顶点均 在格点上. (1)在图①中, 是面积最大的等腰三角形; (2)在图②中, 是面积最大的直角三角形; (3)在图③中, 是面积最大的等腰直角三角形. 【答案】(1)见解析 (2)见解析 (3)见解析 【分析】本题主要考查了格点作图,勾股定理及其逆定理,网格中求三角形面积,熟知相关知识是解题的 关键. (1)根据面积最大,且 为等腰三角形,顶点均在格点上; (2)根据面积最大,且 为直角三角形,顶点均在格点上; (3)作个腰长为 的等腰直角三角形,顺次连接A、B、C,则 即为所求. 【详解】(1)解:如图所示, 即为所求; (2)解;如图所示, 即为所求; 17关注公众号:陆陆高分冲刺 ~领取:最新版“小中高考-总复习”、最新试卷下载 (3)解:如图所示, 即为所求. 7.(2024·四川自贡·中考真题)如图,在 中, , . (1)求证: ; (2)若 , 平分 ,请直接写出 的形状. 【答案】(1)见解析 (2) 是等腰直角三角形. 【分析】本题考查了平行线的判定和性质,等腰直角三角形的判定. (1)由平行证明 ,由等量代换得到 ,利用平行线的判定“内错角相等,两直线 平行”证明 ,即可证明 ; (2)利用平行线的性质结合角平分线的定义求得 , ,据此即可得到 是等腰直 角三角形. 【详解】(1)证明:∵ , ∴ , ∵ , ∴ , ∴ , ∴ ; 18关注公众号:陆陆高分冲刺 ~领取:最新版“小中高考-总复习”、最新试卷下载 (2)解: 是等腰直角三角形. ∵ , ∴ , ∵ 平分 , ∴ , ∵ , ∴ , ∴ , ∴ 是等腰直角三角形. 8.(2023·四川绵阳·中考真题)如图,过原点O的直线与反比例函数 的图象交于 , 两点,一次函数 的图象过点A与反比例函数交于另一点 . (1)求反比例函数的解析式;当 时,根据图象直接写出x的取值范围; (2)在y轴上是否存在点 ,使得 为等腰三角形?若存在,求出点 的坐标;若不存在,请说明理 由. 【答案】(1) , 或 (2)点M的坐标为 或 或 或 【分析】本题考查待定系数法求反比例函数解析式及等腰三角形,熟知待定系数法及利用分类讨论的数学 思想是解题的关键. (1)将点A坐标代入反比例函数解析式即可求出k,利用数形结合的思想即可求出x的取值范围. (2)先求出点C坐标,再根据分类讨论的数学思想即可解决问题. 19关注公众号:陆陆高分冲刺 ~领取:最新版“小中高考-总复习”、最新试卷下载 【详解】(1)解:由题知,将A点坐标代入反比例函数解析式得, , 所以反比例函数的解析式为 . 由函数图象可知,在直线 和 之间的部分及直线 右侧的部分, 反比例函数 的图象在一次函数 的图象的上方,即 . 所以x的取值范围是: 或 . (2)将 代入反比例函数解析式得 , 所以点C的坐标为 . 则 . 如图: 当 时, , 所以点 坐标为( 或 . 当 时,点 在 的垂直平分线上, 又因为点C坐标为 , 所以点 坐标为 . 当 时,点M在OC的垂直平分线上, 过点 作 轴于点 , 20关注公众号:陆陆高分冲刺 ~领取:最新版“小中高考-总复习”、最新试卷下载 令 ,则 , , 在 N中, 即 , 解得 . 所以点M的坐标为 . 综上所述:点M的坐标为 或 或 或 . 9.(2024·江苏南通·中考真题)综合与实践:九年级某学习小组围绕“三角形的角平分线”开展主题学习 活动. 【特例探究】 (1)如图①,②,③是三个等腰三角形(相关条件见图中标注),列表分析两腰之和与两腰之积. 等腰三角形两腰之和与两腰之积分析表 图 角平分线 的 的度 两腰之 两腰之 腰长 序 长 数 和 积 图 1 2 4 4 ① 图 1 2 ② 图 1 ______ ______ ______ ③ 请补全表格中数据,并完成以下猜想. 已知 的角平分线 , , ,用含 的等式写出两腰之和 与两腰之积 之间的数量关系:______. 【变式思考】 (2)已知 的角平分线 , ,用等式写出两边之和 与两边之积 之间 21关注公众号:陆陆高分冲刺 ~领取:最新版“小中高考-总复习”、最新试卷下载 的数量关系,并证明. 【拓展运用】 (3)如图④, 中, ,点D在边 上, .以点C为圆心, 长为半径 作弧与线段 相交于点E,过点E作任意直线与边 , 分别交于M,N两点.请补全图形,并分析 的值是否变化? 【答案】(1)见解析; ,(2) ,证明见解析;(3) 是定值 【分析】(1)根据特殊角的三角函数值分别计算,再填表即可;再由 可得结论; (2)如图,延长 至 使 ,连接 ,过 作 于 ,延长 交 于 ,证明 为等边三角形, , ,设 , ,利用相似三角 形的性质求解 ,再进一步可得 ; (3)根据题目要求画图,设 ,运用等腰三角形性质和三角形内角和定理可求得 ,过点 作 于 , 于 ,过点 作 于 ,利用 ,即可求得答案. 【详解】解:(1)∵ , 是 的角平分线, , ∴ , ∴ ; ∴ , ; 22关注公众号:陆陆高分冲刺 ~领取:最新版“小中高考-总复习”、最新试卷下载 图 角平分线 的 的度 两腰之 两腰之 腰长 序 长 数 和 积 图 1 2 4 4 ① 图 1 2 ② 图 1 ③ 如图,由(1)可得: , ∴ , ∴ , , ∴ ; (2)猜想: ,理由如下: 如图,延长 至 使 ,连接 ,过 作 于 ,延长 交 于 , ∵ , 平分 , ∴ 为等边三角形, , , 设 , , ∴ , ,而 , ∴ , ∵ , , 23关注公众号:陆陆高分冲刺 ~领取:最新版“小中高考-总复习”、最新试卷下载 ∴ , ∴ , , ∴ , , ∵ , ∴ ,即 , 解得: , ∴ ; , ∴ ; (3)补全图形如图所示: 设 , , , , , , , 24关注公众号:陆陆高分冲刺 ~领取:最新版“小中高考-总复习”、最新试卷下载 , , , 解得: , , 如图,过点 作 于 , 于 ,过点 作 于 , , , , , , , 在 中, , , , , , , 由 是确定的,由作图可得 为定长,而 和 为定值, 为定值, 即 为定值. 【点睛】本题属于实际探究题,考查了类比方法的应用,等腰三角形的性质,相似三角形的判定与性质, 勾股定理的应用,锐角三角函数的灵活应用,作出合适的辅助线是解本题的关键. 25关注公众号:陆陆高分冲刺 ~领取:最新版“小中高考-总复习”、最新试卷下载 10.(2025·福建·中考真题)如图, 是等边三角形,D是 的中点, ,垂足为C, 是 由 沿 方向平移得到的.已知 过点A, 交 于点G. (1)求 的大小; (2)求证: 是等边三角形. 【答案】(1) (2)见解析 【分析】本题考查等边三角形的判定与性质、平移的基本性质、线段垂直平分线的判定与性质、平行线的 性质、等腰三角形的判定与性质等基础知识,考查空间观念、几何直观与推理能力,考查化归与转化思想 等,熟练掌握相关知识点,是解题的关键. (1)等边三角形的性质推出 ,垂直,得到 ,角的和差关系求出 的大小即 可; (2)平移得到 ,进而得到 ,角的和差关系推出 ,进而得到 ,根据 ,推出 垂直平分 ,进而得到 ,推出 ,进而得到 是等边三角形即可. 【详解】(1)解: 是等边三角形, . D是 的中点, . , , . (2)由平移可知: , 26关注公众号:陆陆高分冲刺 ~领取:最新版“小中高考-总复习”、最新试卷下载 , 又 , , ∴ , 又 , 垂直平分 , , 由(1)知, , , , 是等边三角形. 11.(2025·广西·中考真题)如图,点 在 同侧, ,则 . 【答案】 / 【分析】本题考查了等边三角形的性质、全等三角形的判定以及勾股定理,过点 作 垂线交于点 , 先证明 ,得到 ,证明 在同一线上,根据勾股定理得到 ,最后 通过线段和和差即可求. 【详解】解:过点 作 垂线交于点 ,即 27关注公众号:陆陆高分冲刺 ~领取:最新版“小中高考-总复习”、最新试卷下载 ,即 是 的垂直平分线, ∵ , 在同一线上, , 故答案为: . 12.(2024·江苏南京·中考真题)如图,在边长为4的等边三角形 中, 是中线,将 绕点 顺 时针旋转 得到 ,连接 ,则 . 【答案】 【分析】过点E作 交 延长线于点H,由等边三角形的性质得到 ,继而由三 线合一得到 , ,由勾股定理得到 ,旋转得到 , , 则 ,继而 ,即可求解面积. 【详解】解:过点E作 交 延长线于点H, 28关注公众号:陆陆高分冲刺 ~领取:最新版“小中高考-总复习”、最新试卷下载 ∵ 为等边三角形 ∴ , ∵ 是中线, ∴ , , ∴由勾股定理得: , 由旋转得: , , ∴ , ∵ , ∴ , ∴ , 故答案为: . 【点睛】本题考查了等边三角形的性质,勾股定理, 角直角三角形的性质,旋转的性质,正确构造辅 助线是解题的关键. 13.(2024·山东济南·中考真题)如图1, 是等边三角形,点 在边 上, ,动点 以每秒 1个单位长度的速度从点 出发,沿折线 匀速运动,到达点 后停止,连接 .设点 的运动时 间为 , 为 .当动点 沿 匀速运动到点 时, 与 的函数图象如图2所示.有以下四个结论: ① ; ②当 时, ; ③当 时, ; ④动点 沿 匀速运动时,两个时刻 , 分别对应 和 ,若 ,则 .其中 29关注公众号:陆陆高分冲刺 ~领取:最新版“小中高考-总复习”、最新试卷下载 正确结论的序号是( ) A.①②③ B.①② C.③④ D.①②④ 【答案】D 【分析】由图知当动点 沿 匀速运动到点 时, ,作 于点 ,利用解直角三角形和 勾股定理,即可得到 ,即可判断①,当 时,证明 是等边三角形,即可判断②,当 时, 且 时, 最小,求出最小值即可判断③,利用勾股定理分别表示出 和 进行比较,即可判断 ④. 【详解】解:由图知当动点 沿 匀速运动到点 时, , 作 于点 , 是等边三角形,点 在边 上, , , , , , , , 故①正确; 当 时, , , 30关注公众号:陆陆高分冲刺 ~领取:最新版“小中高考-总复习”、最新试卷下载 , 是等边三角形, , , 故②正确; 当 时,且 时, 最小, , , , 最小为 ,即 能取到 , 故③错误; 动点 沿 匀速运动时, , , , , , ; 当 时, , , 31关注公众号:陆陆高分冲刺 ~领取:最新版“小中高考-总复习”、最新试卷下载 ; , ; 故④正确; 综上所述,正确的有①②④, 故选:D. 【点睛】本题考查了二次函数综合,等边三角形性质,解直角三角形,勾股定理,涉及到动点问题、读懂 函数图象、正确理解题意,利用数形结合求解是解本题的关键. 14.(2024·湖北·中考真题)如图,由三个全等的三角形( , , )与中间的小等边三角形 拼成一个大等边三角形 .连接 并延长交 于点G,若 ,则: (1) 的度数是 ; (2) 的长是 . 【答案】 【分析】本题考查了相似三角形的判定和性质,等边三角形的判定和性质,勾股定理,解直角三角形等知 识,掌握相似三角形的判定和性质是解题的关键. (1)利用三角形相似及 可得 ,再利用三角形的外角性质结合可求得 ; (2)作 交 的延长线于点 ,利用直角三角形的性质求得 , ,证明 ,利用相似三角形的性质列式计算即可求解. 【详解】解: (已知), , , , 32关注公众号:陆陆高分冲刺 ~领取:最新版“小中高考-总复习”、最新试卷下载 , 为等边三角形, , , , , , 如图,过点 作 的延长线于点 , , , , , , , , . 故答案为: , . 15.(2023·广东广州·中考真题)如图,在正方形 中,E是边 上一动点(不与点A,D重合). 边 关于 对称的线段为 ,连接 . (1)若 ,求证: 是等边三角形; (2)延长 ,交射线 于点G; 33关注公众号:陆陆高分冲刺 ~领取:最新版“小中高考-总复习”、最新试卷下载 ① 能否为等腰三角形?如果能,求此时 的度数;如果不能,请说明理由; ②若 ,求 面积的最大值,并求此时 的长. 【答案】(1)见解析 (2)① 能为等腰三角形, ;② 【分析】(1)由轴对称的性质得到 ,根据正方形的性质得到 ,求得 ,根 据轴对称的性质得到 ,根据等边三角形的判定定理即可得到结论; (2)①根据轴对称的性质得到 ,根据正方形的性质得到 ,得到 ,推出点 B不可能是等腰三角形 的顶点,若点F是等腰三角形 的顶点,则有 ,此 时E与D重合,不合题意,于是得到只剩下 了,连接 交 于H,根据全等三角形的性质得 到 ,得到 为等腰三角形,根据平行线的性质得到 ,求得 ,根据等腰三角形的性质得到 , 于是得到 ; ②由①知, ,要求 面积的最大值,即求 面积的最大值,在 中,底边 是定值,即求高的最大值即可,如图2,过G作 于P,连接 ,取 的中点M,连接 ,作 于N,设 ,则 ,根据直角三角形的性质得到 ,推出 ,当当G,M,N三点共线时,取等号, 于是得到结论;如图3,设 与 交于Q,则四边形 是矩形,根据矩形的性质得到 ,求得 ,于是得到结论. 【详解】(1)证明:由轴对称的性质得到 , ∵四边形 是正方形, ∴ , ∵ , ∴ , ∵ 于 对称的线段为 , 34关注公众号:陆陆高分冲刺 ~领取:最新版“小中高考-总复习”、最新试卷下载 ∴ , ∴ , ∴ 是等边三角形; (2)①∵ 于 对称的线段为 , ∴ ∵四边形 是正方形, ∴ , ∴ , ∵E是边 上一动点, ∴ , ∴点B不可能是等腰三角形 的顶点, 若点F是等腰三角形 的顶点, 则有 , 此时E与D重合,不合题意, ∴只剩下 了,连接 交 于H, ∵ ∴ ∴ , ∴ , ∴ 为等腰三角形, ∵ , ∴ , ∵ , ∴ ∴ ∴ ∴ 35关注公众号:陆陆高分冲刺 ~领取:最新版“小中高考-总复习”、最新试卷下载 ∴ , ∴ ∵ ∴ ∴ ; ②由①知, 要求 面积的最大值,即求 面积的最大值, 在 中,底边 是定值,即求高的最大值即可, 如图2,过G作 于P,连接 ,取 的中点M,连接 ,作 于N, 设 ,则 , ∵ ,M是 的中点, ∴ , ∴ , 当G,M,N三点共线时,取等号, ∴ 面积的最大值, 的面积 如图3,设 与 交于Q, 36关注公众号:陆陆高分冲刺 ~领取:最新版“小中高考-总复习”、最新试卷下载 则四边形 是矩形, ∴ , ∴ , ∴ , ∵ , ∴ , ∴ . 【点睛】此题是四边形的综合题,考查了正方形的性质,全等三角形的判定和性质,旋转的性质,轴对称 的性质,正确地作出辅助线是解题的关键. 考点 0 4 直角三角形的判定与性质 1.(2025·四川达州·中考真题)归纳与应用 归纳是学好数学的敲门砖,尤其对几何而言.例如,我们看到图1是平行四边形,就会联想到:从边的角 度,平行四边形对边平行且相等;从角的角度,平行四边形对角相等,邻角互补;从对角线的角度,平行 四边形对角线互相平分;从对称性的角度,平行四边形是中心对称图形通过如此归纳形成知识体系的学习 方法,成为我们解决相关问题的金钥匙: 37关注公众号:陆陆高分冲刺 ~领取:最新版“小中高考-总复习”、最新试卷下载 (1)尝试归纳:请你根据图2,写出3条直角三角形的性质 ①____________________________________________________________________________; ②____________________________________________________________________________; ③____________________________________________________________________________. (2)实践应用:小明同学在思考直角三角形的性质时,作出如图3, ,点D是 的中点, , ,试帮他判断四边形 的形状,并证明你的结论. 【答案】(1)见解析 (2)四边形 是菱形,见解析 【分析】本题考查了菱形的判定,直角三角形的性质,熟练掌握各知识点并灵活运用是解题的关键. (1)可写出直角三角形的性质,如勾股定理,直角三角形两锐角互余,斜边大于直角边等; (2)先证明为平行四边形,再由直角三角形斜边中线的性质得到 ,即可证明为菱形. 【详解】(1)解:直角三角形的3条性质: ① ; ② ; ③ ; (2)解:四边形 是菱形,理由如下: ∵ , , ∴四边形 是平行四边形, ∵ ,点D是 的中点, ∴ , ∴四边形 是菱形. 2.(2024·海南·中考真题)设直角三角形中一个锐角为x度( ),另一个锐角为y度,则y与x 的函数关系式为( ) A. B. C. D. 【答案】D 【分析】本题考查了函数关系式.利用直角三角形的两锐角互余可得到y与x的关系式. 【详解】解:∵直角三角形中一个锐角的度数为x度,另一个锐角为y度, ∴ . 38关注公众号:陆陆高分冲刺 ~领取:最新版“小中高考-总复习”、最新试卷下载 故选:D. 3.(2024·天津·中考真题)如图, 中, ,将 绕点 顺时针旋转 得到 ,点 的对应点分别为 ,延长 交 于点 ,下列结论一定正确的是( ) A. B. C. D. 【答案】D 【分析】本题考查了旋转性质以及两个锐角互余的三角形是直角三角形,平行线的判定,正确掌握相关性 质内容是解题的关键.先根据旋转性质得 ,结合 ,即可得证 ,再根 据同旁内角互补证明两直线平行,来分析 不一定成立;根据图形性质以及角的运算或线段的运算 得出A和C选项是错误的. 【详解】解:记 与 相交于一点H,如图所示: ∵ 中,将 绕点 顺时针旋转 得到 , ∴ ∵ ∴在 中, ∴ 故D选项是正确的,符合题意; 设 ∴ ∵ 39关注公众号:陆陆高分冲刺 ~领取:最新版“小中高考-总复习”、最新试卷下载 ∴ ∴ ∵ 不一定等于 ∴ 不一定等于 ∴ 不一定成立, 故B选项不正确,不符合题意; ∵ 不一定等于 ∴ 不一定成立, 故A选项不正确,不符合题意; ∵将 绕点 顺时针旋转 得到 , ∴ ∴ 故C选项不正确,不符合题意; 故选:D 4.(2025·陕西·中考真题)如图,在 中, , , 为 边上的中线, ,则图中与 互余的角共有( ) A.2个 B.3个 C.4个 D.5个 【答案】C 【分析】该题考查了直角三角形斜边上的中线等于斜边的一半,三角形内角和定理,等腰三角形的性质, 根据三角形内角和定理求出 ,根据直角三角形斜边上的中线等于斜边的一半得出 , 根据等边对等角得出 ,再结合 根据三角形内角和定理求出 ,最后根据余角的性质求解即可. 【详解】解:∵在 中, , , ∴ , ∵ 为 边上的中线, 40关注公众号:陆陆高分冲刺 ~领取:最新版“小中高考-总复习”、最新试卷下载 ∴ , ∴ , ∵ , ∴ , ∴图中与 互余的角是 ,共有4个, 故选:C. 5.(2025·福建·中考真题)某房梁如图所示,立柱 ,E,F分别是斜梁 , 的中点.若 ,则 的长为 m. 【答案】4 【分析】本题主要考查了直角三角形的性质,熟练掌握直角三角形斜边的中线等于斜边的一半,是解题的 关键.根据 ,得出 为直角三角形,根据直角三角形的性质得出 . 【详解】解:∵ , ∴ 为直角三角形, ∵E是斜梁 的中点, ∴ . 故答案为:4. 6.(2025·四川凉山·中考真题)如图,四边形 是菱形,对角线 相交于点O,E是边 的中 点,过点E作 于点 于点G,若 ,则 的长为 . 41关注公众号:陆陆高分冲刺 ~领取:最新版“小中高考-总复习”、最新试卷下载 【答案】5 【分析】本题主要考查了菱形的性质,勾股定理,直角三角形的性质,矩形的性质与判定,连接 ,由 菱形对角线互相垂直平分可得 ,则可由勾股定理求出 ,再由直角三角形 斜边上的中线等于斜边的一半可得 ,最后证明四边形 是矩形,即可得到 . 【详解】解:如图所示,连接 , ∵四边形 是菱形,对角线 相交于点O, ∴ , ∴ , 在 中,由勾股定理得 , ∵E是边 的中点, ∴ , ∵ , , ∴ , ∴四边形 是矩形, ∴ , 故答案为: . 7.(2024·青海·中考真题)如图,在 中,D是 的中点, , ,则 的长 是( ) 42关注公众号:陆陆高分冲刺 ~领取:最新版“小中高考-总复习”、最新试卷下载 A.3 B.6 C. D. 【答案】A 【分析】本题考查了直角三角形斜边上的中线等于斜边的一半的性质,等边三角形的判定和性质.根据直 角三角形斜边上的中线等于斜边的一半结合等边三角形的判定得到 等边三角形,据此求解即可. 【详解】解:∵在 中, ,D是 的中点, ∴ , ∵ , ∴ 等边三角形, ∴ . 故选:A. 考点 0 5 勾股定理及其逆定理 1.(2025·黑龙江·中考真题)如图,在 中, ,点 、 分别在边 和 上,且 , ,连接 ,点 、 分别是 、 的中点,连接 ,则 的长度为( ) A. B. C.2 D. 【答案】A 【分析】本题考查了全等三角形的判定和性质,勾股定理,三角形中位线的性质,利用平行线+中点模型 构造全等三角形,正确作出辅助线是解题的关键. 43关注公众号:陆陆高分冲刺 ~领取:最新版“小中高考-总复习”、最新试卷下载 过点 作 ,连接 并延长交 于点 ,连接 ,可证 ,可得 , ,再根据平行线的性质得 ,即得 ,最后根据三 角形中位线的性质解答即可求解, 【详解】解:如图,过点 作 ,连接 并延长交 于点 ,连接 , ∴ , ∵点 是 的中点, ∴ , 又∵ , ∴ , ∴ , , ∵ , , ∴ , ∵ , ∴ , ∵ ,点 是 的中点, ∴ 是 中位线, ∴ , 故选:A. 2.(2025·江苏连云港·中考真题)如图,长为 的梯子靠在墙上,梯子的底端离墙脚线的距离为 , 则梯子顶端的高度h为 m. 44关注公众号:陆陆高分冲刺 ~领取:最新版“小中高考-总复习”、最新试卷下载 【答案】 【分析】本题考查了勾股定理,根据长为 的梯子靠在墙上,梯子的底端离墙脚线的距离为 ,进行 列式计算,即可作答. 【详解】解:∵长为 的梯子靠在墙上,梯子的底端离墙脚线的距离为 , ∴ , 故答案为: . 3.(2024·甘肃临夏·中考真题)如图, 是坐标原点,菱形 的顶点 在 轴的负半轴上,顶点 的 坐标为 ,则顶点 的坐标为( ) A. B. C. D. 【答案】C 【分析】本题考查平面直角坐标系内两点间的距离公式,菱形的性质,坐标与图形.结合菱形的性质求出 是解题关键.由两点间的距离公式结合菱形的性质可求出 ,从而可求出 , 即得出顶点 的坐标为 . 【详解】解:如图, 45关注公众号:陆陆高分冲刺 ~领取:最新版“小中高考-总复习”、最新试卷下载 ∵点 的坐标为 , ∴ . ∵四边形 为菱形, ∴ , ∴ , ∴顶点 的坐标为 . 故选C. 4.(2025·广东·中考真题)《九章算术》是世界上较早给出勾股数公式的著作,掌握确定勾股数组的方法 对研究直角三角形具有重要意义.若直角三角形的三边长 , , 都是正整数,则 , , 为一组“勾 股数”.下表中的每一组数都是勾股数. 11,60, 15,112, 19,180, 3,4,5 7,24,25 61 113 181 12,35, 4,3,5 8,15,17 16,63,65 20,21,29 37 5,12, 13,84, 17,144, 9,12,15 21,28,35 13 85 145 10,___, 14,48, 22,120, 6,8,10 18,80,82 26 50 122 (1)请补全上表中的勾股数. (2)根据上表中数据规律,用含字母(均为正整数)的代数式分别表示 , , ,使该组代数式能表示上 表中所有的勾股数,并证明. (3)某校计划在一块绿地上种花,使之构成如图所示的图案,该图案是由四个全等的直角三角形组成.种花 要求:仅在三角形边上种花,每个三角形顶点处都种一株花,各边上相邻两株花之间的距离均为 .如 果每个三角形最短边都种21株花,那么这块绿地最少需要种植多少株花? 【答案】(1) 46关注公众号:陆陆高分冲刺 ~领取:最新版“小中高考-总复习”、最新试卷下载 (2) , , ,其中 、 、 都是正整数, ,证明见解析 (3)280 【分析】(1)先由表中勾股数规律,令 , , ,由勾股数定义列方程求解即可得到答案; (2)由表中数据,分别用代数式表示出 , , ,再由整式混合运算求证即可得证明; (3)由于该图案是由四个全等的直角三角形组成,下面只需要解决其中一个直角三角形的种植情况即可, 根据题意可知,最短边为20,另一个直角边为21,然后根据勾股定理求得斜边,即可得到答案. 【详解】(1)解:由表中勾股数的规律可知,令 , , , 则由勾股数定义可知 , 即 , , 解得 或 (舍去); 故答案为:24. (2)解:由题意, , , ,其中 、 、 都是正整数, ,证明 过程如下: , , , , , , , ; (3)解:由于该图案是由四个全等的直角三角形组成,下面只需要解决其中一个直角三角形的种植情况 即可,如图所示: 47关注公众号:陆陆高分冲刺 ~领取:最新版“小中高考-总复习”、最新试卷下载 设 ,即直角三角形中最短边为 , 仅在三角形边上种花,三角形顶点处都种一株花,各边上相邻两株花之间的距离均为 ,三角形最短 边种 株花, , 由题意可知, 最小为 , 那么 , 那么这块绿地最少需要种植 株花. 【点睛】本题考查由勾股数涉及的数字规律问题,难度中等偏上,涉及勾股数定义、整式加减乘法混合运 算、平方差公式等知识,观察分析所给表中勾股数,分类找准规律并灵活运算解决实际问题是关键. 5.(2025·江苏扬州·中考真题)清代扬州数学家罗士琳痴迷于勾股定理的研究,提出了推算勾股数的“罗 士琳法则”.法则的提出,不仅简化了勾股数的生成过程,也体现了中国传统数学在数论领域的贡献.由 此法则写出了下列几组勾股数:①3,4,5;②5,12,13;③7,24,25;④9,40,41;……根据上述 规律,写出第⑤组勾股数为 . 【答案】 【分析】本题考查勾股定理,数字类规律探究,观察可知,每组勾股数的第一个数字为奇数,后面两个数 字为两个连续的整数,得到第⑤组勾股数的第1个数为11,设第2个数为 ,则第3个数为 ,根据勾 股定理列出方程进行求解. 【详解】解:由题意,第⑤组勾股数的第1个数为11,设第2个数为 ,则第3个数为 , 由勾股定理,得: , 解得: , ∴ ; ∴第⑤组勾股数为 ; 故答案为: . 6.(2023·四川泸州·中考真题)《九章算术》是中国古代重要的数学著作,该著作中给出了勾股数 , , 的计算公式: , , ,其中 , , 是互质的奇数.下列四 48关注公众号:陆陆高分冲刺 ~领取:最新版“小中高考-总复习”、最新试卷下载 组勾股数中,不能由该勾股数计算公式直接得出的是( ) A.3,4,5 B.5,12,13 C.6,8,10 D.7,24,25 【答案】C 【分析】首先证明出 ,得到a,b是直角三角形的直角边然后由 , , 是互质的奇数 逐项求解即可. 【详解】∵ , ∴ . ∵ , ∴ . ∴a,b是直角三角形的直角边, ∵ , 是互质的奇数, ∴A. , ∴当 , 时, , , , ∴3,4,5能由该勾股数计算公式直接得出; B. , ∴当 , 时, , , , ∴5,12,13能由该勾股数计算公式直接得出; C. , , ∵ , 是互质的奇数, ∴6,8,10不能由该勾股数计算公式直接得出; D. , ∴当 , 时, , , , ∴7,24,25能由该勾股数计算公式直接得出. 故选:C. 49关注公众号:陆陆高分冲刺 ~领取:最新版“小中高考-总复习”、最新试卷下载 【点睛】本题考查了勾股数的应用,通过 , , 是互质的奇数这两个条件去求得符合题意的t 的值是解决本题的关键. 7.(2024·黑龙江大庆·中考真题)如图①,直角三角形的两个锐角分别是40°和50°,其三边上分别有一个 正方形.执行下面的操作:由两个小正方形向外分别作锐角为40°和50°的直角三角形,再分别以所得到的 直角三角形的直角边为边长作正方形.图②是1次操作后的图形.图③是重复上述步骤若干次后得到的图 形,人们把它称为“毕达哥拉斯树”.若图①中的直角三角形斜边长为2,则10次操作后图形中所有正方 形的面积和为 . 【答案】48 【分析】本题主要考查了图形规律,直角三角形的性质、勾股定理、正方形的性质等知识.根据题意分别 计算出图①、图②和图③的面积,得出规律即可求解. 【详解】解:图①中,∵ , 根据勾股定理得, , ∴图①中所有正方形面积和为: , 图②中所有正方形面积和,即1次操作后的图形中所有正方形的面积和为: , 图③中所有正方形面积和,即2次操作后的图形中所有正方形的面积和为: , ⋯ ∴n次操作后的图形中所有正方形的面积和为 , 50关注公众号:陆陆高分冲刺 ~领取:最新版“小中高考-总复习”、最新试卷下载 ∴10次操作后的图形中所有正方形的面积和为 , 故答案为:48. 8.(2025·山东威海·中考真题)把一张矩形纸片按照如图①所示的方式剪成四个全等的直角三角形,四个 直角三角形可拼成如图②或图③所示的正方形.若矩形纸片的长为m,宽为n,四边形 的面积等于 四边形 面积的2倍,则 . 【答案】 【分析】首先表示出四边形 的面积和四边形 面积,然后根据题意得到 ,整理得到 , ,设 ,得到 ,然后解方程求解即可. 【详解】解:根据题意得,四边形 的面积 四边形 面积 ∵四边形 的面积等于四边形 面积的2倍 ∴ 整理得, ∴ 51关注公众号:陆陆高分冲刺 ~领取:最新版“小中高考-总复习”、最新试卷下载 设 , ∴ 解得 或 (舍去) ∴ 故答案为: . 【点睛】此题考查了完全平方公式,勾股定理,解一元二次方程等知识,解题的关键是掌握以上知识点. 9.(2024·湖北武汉·中考真题)如图是我国汉代数学家赵爽在注解《周髀算经》时给出的“赵爽弦图”, 它是由四个全等的直角三角形和中间的小正方形 拼成的一个大正方形 .直线 交正方形 的两边于点 , ,记正方形 的面积为 ,正方形 的面积为 .若 , 则用含 的式子表示 的值是 . 【答案】 【分析】作 交 于点 ,不妨设 ,设 ,通过四边形 是正方形,推出 ,得到 ,然后证明 ,利用相似三角形对应边成比例,得 到 ,从而表示出 , 的长度,最后利用 和 52关注公众号:陆陆高分冲刺 ~领取:最新版“小中高考-总复习”、最新试卷下载 表示出正方形 和 的面积,从而得到 . 【详解】解:作 交 于点 ,不妨设 ,设 四边形 是正方形 在 和 中, , 由题意可知, 正方形 的面积 , 正方形 的面积 53关注公众号:陆陆高分冲刺 ~领取:最新版“小中高考-总复习”、最新试卷下载 ; 故答案为: . 【点睛】本题考查了弦图,正方形的性质,等腰三角形的性质,相似三角形的判定与性质,正方形的面积, 勾股定理,熟练掌握以上知识点并能画出合适的辅助线构造相似三角形是解题的关键. 10.(2024·吉林·中考真题)图①中有一首古算诗,根据诗中的描述可以计算出红莲所在位置的湖水深度, 其示意图如图②,其中 , 于点C, 尺, 尺.设 的长度为x尺,可 列方程为 . 【答案】 【分析】本题考查了勾股定理的实际应用,正确理解题意,运用勾股定理建立方程是解题的关键. 设 的长度为x尺,则 ,在 中,由勾股定理即可建立方程. 【详解】解:设 的长度为x尺,则 , ∵ , 由勾股定理得: , ∴ , 故答案为: . 11.(2023·江苏无锡·中考真题)《九章算术》中提出了如下问题:今有户不知高、广,竿不知长短,横 之不出四尺,从之不出二尺,邪之适出,问户高、广、邪各几何?这段话的意思是:今有门不知其高宽: 有竿,不知其长短,横放,竿比门宽长出4尺:竖放,竿比门高长出2尺:斜放,竿与门对角线恰好相等. 问门高、宽和对角线的长各是多少?则该问题中的门高是 尺. 54关注公众号:陆陆高分冲刺 ~领取:最新版“小中高考-总复习”、最新试卷下载 【答案】8 【分析】设门高 尺,则竿长为 尺,门的对角线长为 尺,门宽为 尺,根据勾股定理即 可求解. 【详解】解:设门高 尺,依题意,竿长为 尺,门的对角线长为 尺,门宽为 尺, ∴ , 解得: 或 (舍去), 故答案为: . 【点睛】本题考查了勾股定理,根据题意建立方程是解题的关键. 12.(2024·四川巴中·中考真题)“今有方池一丈,葭生其中央,出水一尺,引葭赴岸,适与岸齐.问: 水深几何?”这是我国数学史上的“葭生池中”问题.即 , , ,则 ( ) A.8 B.10 C.12 D.13 【答案】C 【分析】本题考查勾股定理的实际应用.设 ,则 ,由勾股定理列出方程进行求解 即可. 【详解】解:设 ,则 , 由题意,得: , 解得: ,即 , 故选:C. 13.(2023·四川德阳·中考真题)如图,在底面为正三角形的直三棱柱 中, , 55关注公众号:陆陆高分冲刺 ~领取:最新版“小中高考-总复习”、最新试卷下载 点M为 的中点,一只小虫从 沿三棱柱 的表面爬行到M处,则小虫爬行的最短路程等于 . 【答案】 【分析】:如图,连接 ,由题意可得:底面为正三角形的直三棱柱 , , 点M为 的中点,当 在右侧处时,可得 ,当 在下方时,由等边三角形的 性质可得: ,此时 ,如图,当按下图方式展开时,延长 ,过 作 于 ,作 于 ,作 于 ,则 ,四边形 为矩形,可得 , , , ,此时 重合,可得 ,从而可得答案. 【详解】解:如图,连接 ,由题意可得:底面为正三角形的直三棱柱 , ,点M为 的中点, 56关注公众号:陆陆高分冲刺 ~领取:最新版“小中高考-总复习”、最新试卷下载 当 在右侧处时, ∴ , , ∴ , 当 在下方时,由等边三角形的性质可得: , 此时 , 如图,当按下图方式展开时,延长 ,过 作 于 ,作 于 ,作 于 , 则 ,四边形 为矩形, ∴ , , 则 , ∴ , ∵ , , ∴ , , , , ∴此时 重合, ∴ , , ∴ , 57关注公众号:陆陆高分冲刺 ~领取:最新版“小中高考-总复习”、最新试卷下载 ∵ , ∴小虫爬行的最短路程等于 . 故答案为: . 【点睛】本题考查的是三棱柱的展开图,矩形的判定与性质,勾股定理的应用,等边三角形的性质,含 的直角三角形的性质,最短路径的理解,清晰的分类讨论是解本题的关键. 14.(2025·湖南·中考真题)已知, , , 是 的三条边长,记 ,其中 为整数. (1)若三角形为等边三角形,则 ; (2)下列结论正确的是 (写出所有正确的结论) ①若 , ,则 为直角三角形 ②若 , , ,则 ③若 , , , , 为三个连续整数,且 ,则满足条件的 的个数为7 【答案】 2 / 【分析】本题主要考查①了②勾股②定①理的逆定理,解一元一次不等式组,三角形三边的关系,等边三角形的性 质等等,熟知相关知识是解题的关键. (1)根据等边三角形的性质可得 ,据此求解即可; (2)当 , 时,可证明 ,由勾股定理的逆定理可判断①;当 , , 时,可得 ;当 时,可得 ,当 时,可得 ,则可求出 , 据此求出t的取值范围即可判断②;当 时,则 ,则可得到 ;根据题意不妨设 ,则剩下两个数分别为 (n为正整数),则可得 ,解不等式组求 出整数n即可判断③. 58关注公众号:陆陆高分冲刺 ~领取:最新版“小中高考-总复习”、最新试卷下载 【详解】解:(1)∵ , , 是 的三条边长,且 是等边三角形, ∴ , ∴ , 故答案为;2; (2)①当 , 时,∵ , ∴ , ∴ , ∴ , ∴ 为直角三角形,故①正确; ②当 , , 时, ∵ , ∴ ; 当 时, ∵ , ∴ , ∴ ; 当 时, 59关注公众号:陆陆高分冲刺 ~领取:最新版“小中高考-总复习”、最新试卷下载 ∵ , ∴ , ∴ , ∴ ; ∵ , ∴t随b的增大而增大, 当 时, , 当 时, , ∴ ,故②正确; ③当 时,则 , ∵ , ∴ , ∴ ; ∵a、b、c是三个相邻的正整数, , ∴不妨设 ,则剩下两个数分别为 (n为正整数), ∵ , ∴ , 解得 , ∴符合题意的n的值有2、3、4、5、6、7,共6个, ∴符合题意的a、b、c的取值一共有6组, ∴满足条件的 的个数为6,故③错误; 故答案为:①②. 15.(2023·吉林·中考真题)图①、图②、图③均是 的正方形网格,每个小正方形的顶点称为格点, 线段 的端点均在格点上.在图①、图②、图③中以 为边各画一个等腰三角形,使其依次为锐角三角 60关注公众号:陆陆高分冲刺 ~领取:最新版“小中高考-总复习”、最新试卷下载 形、直角三角形、钝角三角形,且所画三角形的顶点均在格点上. 【答案】见解析 【分析】根据勾股定理可得 ,结合题意与网格的特点分别作图即可求解. 【详解】解:如图所示, 如图①, ,则 是等腰三角形,且 是锐角三角形, 如图②, , ,则 ,则 是等腰直角三角 形, 如图③, ,则 是等腰三角形,且 是钝角三角形, 【点睛】本题考查了勾股定理与网格问题,等腰三角形的定义,熟练掌握勾股定理是解题的关键. 16.(2023·山东·中考真题) 的三边长a,b,c满足 ,则 是 ( ) A.等腰三角形 B.直角三角形 C.锐角三角形 D.等腰直角三角形 【答案】D 【分析】由等式可分别得到关于a、b、c的等式,从而分别计算得到a、b、c的值,再由 的关 系,可推导得到 为直角三角形. 【详解】解∵ 61关注公众号:陆陆高分冲刺 ~领取:最新版“小中高考-总复习”、最新试卷下载 又∵ ∴ , ∴ 解得 , ∴ ,且 , ∴ 为等腰直角三角形, 故选:D. 【点睛】本题考查了非负性和勾股定理逆定理的知识,求解的关键是熟练掌握非负数的和为0,每一个非 负数均为0,和勾股定理逆定理. 考点 0 6 全等三角形的判定 1.(2025·广西·中考真题)如图,已知 是 的直径,点 在 上, . (1)求证: ; (2)求 的度数. 【答案】(1)详见解析 62关注公众号:陆陆高分冲刺 ~领取:最新版“小中高考-总复习”、最新试卷下载 (2) 【分析】本题考查了全等三角形的性质与判定、三角形内角和以及等腰三角形等边对等角,熟练掌握相关 性质是解题的关键. (1)根据已知条件利用 证明全等即可; (2)根据 ,求出 ,再利用全等求出 ,最后利用等边对等角即可求. 【详解】(1)证明: 的半径为 , , , , ; (2)解: , , , , , , , 是等腰三角形, . 2.(2023·浙江衢州·中考真题)已知:如图,在 和 中, 在同一条直线上.下面 四个条件:① ;② ;③ ;④ . (1)请选择其中的三个条件,使得 (写出一种情况即可); (2)在(1)的条件下,求证: . 【答案】(1)①②③或①③④(写出一种情况即可) (2)见解析 63关注公众号:陆陆高分冲刺 ~领取:最新版“小中高考-总复习”、最新试卷下载 【分析】(1)根据两三角形全等的判定条件,选择合适的条件即可; (2)根据(1)中所选的条件,进行证明即可. 【详解】(1)解:根据题意,可以选择的条件为:①②③; 或者选择的条件为:①③④; (2)证明:当选择的条件为①②③时, , , 即 , 在 和 中, , ; 当选择的条件为①③④时, , , 即 , 在 和 中, , . 【点睛】本题考查了全等三角形的判定,熟知全等三角形的判定条件是解题的关键. 3.(2025·山西·中考真题)如图,小谊将两根长度不等的木条 的中点连在一起,记中点为 ,即 .测得 两点之间的距离后,利用全等三角形的性质,可得花瓶内壁上 两点 之间的距离.图中 与 全等的依据是( ) 64关注公众号:陆陆高分冲刺 ~领取:最新版“小中高考-总复习”、最新试卷下载 A. B. C. D. 【答案】B 【分析】本题考查了全等三角形的判定,由 即可判定求解,掌握全等三角形的 判定方法是解题的关 键. 【详解】在 与 , ∵ , ∴ , ∴ 与 全等的依据是 , 故选: . 4.(2024·云南·中考真题)如图,在 和 中, , , . 求证: . 【答案】见解析 【分析】本题考查了全等三角形的判定和性质,熟练掌握三角形全等的判定定理是解题关键.利用“ ”证明 ,即可解决问题. 【详解】证明: , ,即 , 在 和 中, 65关注公众号:陆陆高分冲刺 ~领取:最新版“小中高考-总复习”、最新试卷下载 , . 5.(2025·云南·中考真题)如图, 与 相交于点 , .求证: . 【答案】证明见解析 【分析】本题主要考查了全等三角形的判定,直接利用 证明 即可. 【详解】证明;在 和 中, , ∴ . 6.(2025·重庆·中考真题)学习了角平分线和尺规作图后,小红进行了拓展性研究,她发现了角平分线的 另一种作法,并与她的同伴进行交流.现在你作为她的同伴,请根据她的想法与思路,完成以下作图和填 空: 第一步:构造角平分线. 小红在 的边 上任取一点E,并过点E作了 的垂线(如图).请你利用尺规作图,在 边上 截取 ,过点F作 的垂线与小红所作的垂线交于点P,作射线 即为 的平分线 (不写作法,保留作图痕迹). 第二步:利用三角形全等证明她的猜想. 66关注公众号:陆陆高分冲刺 ~领取:最新版“小中高考-总复习”、最新试卷下载 证明: , , . 在 和 中, , . ③ . 平分 . 【答案】第一步:作图见解析;第二步:① ;② ;③ 【分析】本题考查了作图-复杂作图,全等三角形的判定和性质,解题的关键是掌握相关知识解决问题. 第一步:根据题意作出图形即可; 第二步:利用 证明 ,得出 即可解答. 【详解】解:第一步:作图如下: ; 第二步:证明: , , . 在 和 中, , . , 平分 . 7.(2023·辽宁·中考真题)如图,在 中, ,以点 为圆心,适当长为 半径作弧,分别交 于点 ,分别以点 为圆心,大于 的长为半径作弧,两弧在 67关注公众号:陆陆高分冲刺 ~领取:最新版“小中高考-总复习”、最新试卷下载 的内部相交于点 ,作射线 ,交 于点 ,则 的长为( ) A. B. C. D. 【答案】D 【分析】过点D作 于M,由勾股定理可求得 ,由题意可证明 ,则可得 ,从而有 ,在 中,由勾股定理建立方程即可求得结果. 【详解】解:过点D作 于M,如图, 由勾股定理可求得 , 由题中作图知, 平分 , ∵ , ∴ , ∵ , ∴ , ∴ , ∴ ; 设 ,则 , 在 中,由勾股定理得: , 解得: , 即 的长为为 ; 故选:D. 68关注公众号:陆陆高分冲刺 ~领取:最新版“小中高考-总复习”、最新试卷下载 【点睛】本题考查了作图:作角平分线,角平分线的性质定理,全等三角形的判定与性质,勾股定理,利 用全等的性质、利用勾股定理建立方程是解题的关键. 8.(2024·黑龙江牡丹江·中考真题)如图, 中,D是 上一点, ,D、E、F三点共线, 请添加一个条件 ,使得 .(只添一种情况即可) 【答案】 或 (答案不唯一) 【分析】本题考查全等三角形的判定和性质,解答本题的关键是明确题意,利用全等三角形的判定解答. 根据题目中的条件和全等三角形的判定,可以写出添加的条件,注意本题答案不唯一. 【详解】解:∵ ∴ , , ∴添加条件 ,可以使得 , 添加条件 ,也可以使得 , ∴ ; 故答案为: 或 (答案不唯一). 9.(2023·四川凉山·中考真题)如图,点 在 上, , ,添加一个条件,不能证 明 的是( ) A. B. C. D. 69关注公众号:陆陆高分冲刺 ~领取:最新版“小中高考-总复习”、最新试卷下载 【答案】D 【分析】本题考查了全等三角形的判定定理,能熟记全等三角形的判定定理是解此题的关键,全等三角形 的判定定理有 ,两直角三角形全等还有 等.根据 求出 ,再根 据全等三角形的判定定理进行分析即可. 【详解】解:∵ , ∴ ,即 , , ∴当 时,利用 可得 ; 当 时,利用 可得 ; 当 时,利用 可得 ; 当 时,无法证明 ; 故选:D. 考点 0 7 全等三角形的性质 1.(2025·四川南充·中考真题)如图,在五边形 中, . (1)求证: . (2)求证: . 【答案】(1)详见解析 (2)详见解析 【分析】本题主要考查了全等三角形的判定与性质、等边对等角等知识点,灵活运用相关判定与性质成为 解题的关键. (1)先说明 ,再根据 即可证明结论; (2)由全等三角形的性质可得 ,再根据等边对等角的性质可得 ,然后根据 角的和差即可证明结论. 【详解】(1)证明: , . 70关注公众号:陆陆高分冲刺 ~领取:最新版“小中高考-总复习”、最新试卷下载 . 在 与 中, . (2)解: , . , . , . 2.(2024·江苏镇江·中考真题)如图, , . (1)求证: ; (2)若 ,则 __________°. 【答案】(1)答案见解析 (2) 【分析】本题考查了全等三角形的判定与性质,三角形内角和定理,熟练掌握全等三角形的判定定理是解 题的关键. (1)利用 即可证得 ; (2)先根据三角形内角和定理求出 的度数,再根据全等三角形的性质即可得出 的度数. 【详解】(1)证明:在 和 中, , ; 71关注公众号:陆陆高分冲刺 ~领取:最新版“小中高考-总复习”、最新试卷下载 (2)解: , , , 由(1)知 , , 故答案为:20. 3.(2024·四川成都·中考真题)如图, ,若 , ,则 的度数 为 . 【答案】 /100度 【分析】本题考查了三角形的内角和定理和全等三角形的性质,先利用全等三角形的性质,求出 ,再利用三角形内角和求出 的度数即可. 【详解】解:由 , , ∴ , ∵ , ∴ , 故答案为: 4.(2022·新疆·中考真题)在 中,点D,F分别为边AC,AB的中点.延长DF到点E,使 ,连接BE. (1)求证: ; (2)求证:四边形BCDE是平行四边形. 【答案】(1)见解析 (2)见解析 【分析】(1)利用SAS直接证明; 72关注公众号:陆陆高分冲刺 ~领取:最新版“小中高考-总复习”、最新试卷下载 (2)利用 和已知条件证明 , 即可推出四边形BCDE是平行四边形. 【详解】(1)证明:∵点F为边AB的中点, ∴ , 在 与 中, , ∴ ; (2)证明:∵点D为边AC的中点, ∴ , 由(1)得 , ∴ , , ∴ , , ∴四边形BCDE是平行四边形. 【点睛】本题考查全等三角形的判定和性质以及平行四边形的判定方法,难度较小,根据所给条件正确选 用平行四边形的判定方法是解题的关键. 5.(2025·青海·中考真题)工人师傅常用角尺平分一个任意角.做法如下:如图, 是一个任意角, 在边 , 上分别取 ,移动角尺,使角尺两边相同的刻度分别与点 , 重合,即 , 过角尺顶点 的射线 便是 的平分线,这种做法的依据是( ) A. B. C. D. 【答案】C 【分析】本题主要考查了全等三角形的判定,由作图过程可得 , ,再加上公共边 可利用 定理判定 . 【详解】解:在 和 中 73关注公众号:陆陆高分冲刺 ~领取:最新版“小中高考-总复习”、最新试卷下载 , ∴ , ∴ , 故选:C. 6.(2025·四川达州·中考真题)开启作角平分线的智慧之窗 问题:作 的平分线 作法:甲同学用尺规作出了角平分线;乙同学用圆规和直角三角板作出了角平分线;丙同学也用尺规作出 了角平分线,工人师傅用带刻度的直角弯尺,通过移动弯尺使上下相同刻度在角的两边上.即得 为 的平分线; 讨论:大家对甲同学和工人师傅的作法都深信不疑.认为判断角平分线的依据是利用三角形全等,其判定 全等的方法是_______; 对乙同学作法半信半疑,通过讨论最终确定的判定依据:①三角形全等, , 或 , ②_______________; 对丙同学的作法陷入了沉思. 任务: (1)请你将上述讨论得出的依据补充完整; (2)完成对丙同学作法的验证. 已知 ,求证: 平分 . 【答案】(1) ;全等三角形的对应角相等 (2)见解析 【分析】本题考查了全等三角形的性质与判定,作角平分线,等边对等角,熟练掌握角平分线的性质是解 题的关键; (1)根据作角平分线的方法可得对甲同学和工人师傅的作法其判定全等的方法是 ,对于乙同学作法, 通过讨论最终确定的判定依据:①三角形全等, , 或 ,②全等三角形的对应角相等,选取全 74关注公众号:陆陆高分冲刺 ~领取:最新版“小中高考-总复习”、最新试卷下载 等三角形的判定方法证明,即可求解; (2)根据已知得出 ,进而可得 ,根据等边对等角可得 ,等量代换 可得 ,即可得证. 【详解】(1)解:对甲同学和工人师傅的作法依据是利用三角形全等,其判定全等的方法是 对于乙同学作法,通过讨论最终确定的判定依据:①三角形全等, , 或 ,②全等三角形的对 应角相等 证明如下:根据作图可得 , ∵ , ∴ , ∴ , 在 与 中, , ∴ , ∴ , ∴ 平分 ; 故答案为: ;全等三角形的对应角相等. (2)证明:∵ , ∴ , ∴ , ∵ , ∴ , ∴ , ∴ 平分 . 7.(2024·江苏常州·中考真题)如图,B、E、C、F是直线l上的四点, 相交于点G, , , . (1)求证: 是等腰三角形; 75关注公众号:陆陆高分冲刺 ~领取:最新版“小中高考-总复习”、最新试卷下载 (2)连接 ,则 与l的位置关系是________. 【答案】(1)见解析 (2) 【分析】本题考查全等三角形的判定和性质,等腰三角形的判定,平行线的判定: (1)证明 ,得到 ,即可得证; (2)根据线段的和差关系,易得 ,根据三角形的内角和定理,得到 ,即可得出 结论. 【详解】(1)证明:在 和 中 , ∴ , ∴ , ∴ , ∴ 是等腰三角形; (2)∵ , , ∴ , ∴ , ∴ , ∵ , ∵ , ∴ , ∴ . 8.(2023·西藏·中考真题)如图,已知 , , .求证: . 76关注公众号:陆陆高分冲刺 ~领取:最新版“小中高考-总复习”、最新试卷下载 【答案】见解析 【分析】先由题意可证 ,可得 ,再根据等式的性质即可得出结论. 【详解】证明:在 和 中, , , , , . 【点睛】本题考查了全等三角形的判定与性质,熟练运用全等三角形的判定是本题的关键. 9.(2025·四川自贡·中考真题)如图, , .求证: . 【答案】见解析 【分析】本题考查的是全等三角形的判定与性质,等腰三角形的判定与性质,先证明 ,结合 , ,证明 即可. 【详解】证明:∵ , ∴ , ∵ , , ∴ , ∴ . 77关注公众号:陆陆高分冲刺 ~领取:最新版“小中高考-总复习”、最新试卷下载 10.(2025·吉林·中考真题)如图,在矩形 中,点E,F在边 上,连接 , . (1)求证: . (2)当 , 时,求 的长. 【答案】(1)见解析 (2) 【分析】本题考查了矩形的性质,全等三角形的判定与性质,勾股定理,熟练掌握各知识点并灵活运用是 解题的关键. (1)根据矩形得到 ,再结合已知条件由 即可证明全等; (2)根据全等三角形得到 ,再由勾股定理即可求解. 【详解】(1)证明:∵四边形 是矩形, ∴ , ∵ , ∴ ; (2)解:∵ , ∴ , ∵ , , ∴ . 11.(2023·江苏南通·中考真题)如图,点 , 分别在 , 上, , , 相交于点 , . 求证: . 小虎同学的证明过程如下: 证明:∵ , ∴ . 78关注公众号:陆陆高分冲刺 ~领取:最新版“小中高考-总复习”、最新试卷下载 ∵ , ∴ .第一步 又 , , ∴ 第二步 ∴ 第三步 (1)小虎同学的证明过程中,第___________步出现错误; (2)请写出正确的证明过程. 【答案】(1)二 (2)见解析 【分析】(1)根据证明过程即可求解. (2)利用全等三角形的判定及性质即可求证结论. 【详解】(1)解:则小虎同学的证明过程中,第二步出现错误, 故答案为:二. (2)证明:∵ , , 在 和 中, , , , 在 和 中, 79关注公众号:陆陆高分冲刺 ~领取:最新版“小中高考-总复习”、最新试卷下载 , , . 【点睛】本题考查了全等三角形的判定及性质,熟练掌握其判定及性质是解题的关键. 80