当前位置:首页>文档>专题19矩形、菱形、正方形(解析版)_02中考总复习(2026版更新中)_02-数学-中考总复习_2025中考复习资料_(2025年中考复习全国通用)2024年中考数学真题专题分类精选汇编

专题19矩形、菱形、正方形(解析版)_02中考总复习(2026版更新中)_02-数学-中考总复习_2025中考复习资料_(2025年中考复习全国通用)2024年中考数学真题专题分类精选汇编

  • 2026-04-06 08:25:29 2026-04-06 08:12:00

文档预览

专题19矩形、菱形、正方形(解析版)_02中考总复习(2026版更新中)_02-数学-中考总复习_2025中考复习资料_(2025年中考复习全国通用)2024年中考数学真题专题分类精选汇编
专题19矩形、菱形、正方形(解析版)_02中考总复习(2026版更新中)_02-数学-中考总复习_2025中考复习资料_(2025年中考复习全国通用)2024年中考数学真题专题分类精选汇编
专题19矩形、菱形、正方形(解析版)_02中考总复习(2026版更新中)_02-数学-中考总复习_2025中考复习资料_(2025年中考复习全国通用)2024年中考数学真题专题分类精选汇编
专题19矩形、菱形、正方形(解析版)_02中考总复习(2026版更新中)_02-数学-中考总复习_2025中考复习资料_(2025年中考复习全国通用)2024年中考数学真题专题分类精选汇编
专题19矩形、菱形、正方形(解析版)_02中考总复习(2026版更新中)_02-数学-中考总复习_2025中考复习资料_(2025年中考复习全国通用)2024年中考数学真题专题分类精选汇编
专题19矩形、菱形、正方形(解析版)_02中考总复习(2026版更新中)_02-数学-中考总复习_2025中考复习资料_(2025年中考复习全国通用)2024年中考数学真题专题分类精选汇编
专题19矩形、菱形、正方形(解析版)_02中考总复习(2026版更新中)_02-数学-中考总复习_2025中考复习资料_(2025年中考复习全国通用)2024年中考数学真题专题分类精选汇编
专题19矩形、菱形、正方形(解析版)_02中考总复习(2026版更新中)_02-数学-中考总复习_2025中考复习资料_(2025年中考复习全国通用)2024年中考数学真题专题分类精选汇编
专题19矩形、菱形、正方形(解析版)_02中考总复习(2026版更新中)_02-数学-中考总复习_2025中考复习资料_(2025年中考复习全国通用)2024年中考数学真题专题分类精选汇编
专题19矩形、菱形、正方形(解析版)_02中考总复习(2026版更新中)_02-数学-中考总复习_2025中考复习资料_(2025年中考复习全国通用)2024年中考数学真题专题分类精选汇编
专题19矩形、菱形、正方形(解析版)_02中考总复习(2026版更新中)_02-数学-中考总复习_2025中考复习资料_(2025年中考复习全国通用)2024年中考数学真题专题分类精选汇编
专题19矩形、菱形、正方形(解析版)_02中考总复习(2026版更新中)_02-数学-中考总复习_2025中考复习资料_(2025年中考复习全国通用)2024年中考数学真题专题分类精选汇编
专题19矩形、菱形、正方形(解析版)_02中考总复习(2026版更新中)_02-数学-中考总复习_2025中考复习资料_(2025年中考复习全国通用)2024年中考数学真题专题分类精选汇编
专题19矩形、菱形、正方形(解析版)_02中考总复习(2026版更新中)_02-数学-中考总复习_2025中考复习资料_(2025年中考复习全国通用)2024年中考数学真题专题分类精选汇编
专题19矩形、菱形、正方形(解析版)_02中考总复习(2026版更新中)_02-数学-中考总复习_2025中考复习资料_(2025年中考复习全国通用)2024年中考数学真题专题分类精选汇编
专题19矩形、菱形、正方形(解析版)_02中考总复习(2026版更新中)_02-数学-中考总复习_2025中考复习资料_(2025年中考复习全国通用)2024年中考数学真题专题分类精选汇编
专题19矩形、菱形、正方形(解析版)_02中考总复习(2026版更新中)_02-数学-中考总复习_2025中考复习资料_(2025年中考复习全国通用)2024年中考数学真题专题分类精选汇编
专题19矩形、菱形、正方形(解析版)_02中考总复习(2026版更新中)_02-数学-中考总复习_2025中考复习资料_(2025年中考复习全国通用)2024年中考数学真题专题分类精选汇编
专题19矩形、菱形、正方形(解析版)_02中考总复习(2026版更新中)_02-数学-中考总复习_2025中考复习资料_(2025年中考复习全国通用)2024年中考数学真题专题分类精选汇编
专题19矩形、菱形、正方形(解析版)_02中考总复习(2026版更新中)_02-数学-中考总复习_2025中考复习资料_(2025年中考复习全国通用)2024年中考数学真题专题分类精选汇编
专题19矩形、菱形、正方形(解析版)_02中考总复习(2026版更新中)_02-数学-中考总复习_2025中考复习资料_(2025年中考复习全国通用)2024年中考数学真题专题分类精选汇编
专题19矩形、菱形、正方形(解析版)_02中考总复习(2026版更新中)_02-数学-中考总复习_2025中考复习资料_(2025年中考复习全国通用)2024年中考数学真题专题分类精选汇编
专题19矩形、菱形、正方形(解析版)_02中考总复习(2026版更新中)_02-数学-中考总复习_2025中考复习资料_(2025年中考复习全国通用)2024年中考数学真题专题分类精选汇编
专题19矩形、菱形、正方形(解析版)_02中考总复习(2026版更新中)_02-数学-中考总复习_2025中考复习资料_(2025年中考复习全国通用)2024年中考数学真题专题分类精选汇编
专题19矩形、菱形、正方形(解析版)_02中考总复习(2026版更新中)_02-数学-中考总复习_2025中考复习资料_(2025年中考复习全国通用)2024年中考数学真题专题分类精选汇编
专题19矩形、菱形、正方形(解析版)_02中考总复习(2026版更新中)_02-数学-中考总复习_2025中考复习资料_(2025年中考复习全国通用)2024年中考数学真题专题分类精选汇编
专题19矩形、菱形、正方形(解析版)_02中考总复习(2026版更新中)_02-数学-中考总复习_2025中考复习资料_(2025年中考复习全国通用)2024年中考数学真题专题分类精选汇编
专题19矩形、菱形、正方形(解析版)_02中考总复习(2026版更新中)_02-数学-中考总复习_2025中考复习资料_(2025年中考复习全国通用)2024年中考数学真题专题分类精选汇编
专题19矩形、菱形、正方形(解析版)_02中考总复习(2026版更新中)_02-数学-中考总复习_2025中考复习资料_(2025年中考复习全国通用)2024年中考数学真题专题分类精选汇编
专题19矩形、菱形、正方形(解析版)_02中考总复习(2026版更新中)_02-数学-中考总复习_2025中考复习资料_(2025年中考复习全国通用)2024年中考数学真题专题分类精选汇编
专题19矩形、菱形、正方形(解析版)_02中考总复习(2026版更新中)_02-数学-中考总复习_2025中考复习资料_(2025年中考复习全国通用)2024年中考数学真题专题分类精选汇编
专题19矩形、菱形、正方形(解析版)_02中考总复习(2026版更新中)_02-数学-中考总复习_2025中考复习资料_(2025年中考复习全国通用)2024年中考数学真题专题分类精选汇编
专题19矩形、菱形、正方形(解析版)_02中考总复习(2026版更新中)_02-数学-中考总复习_2025中考复习资料_(2025年中考复习全国通用)2024年中考数学真题专题分类精选汇编
专题19矩形、菱形、正方形(解析版)_02中考总复习(2026版更新中)_02-数学-中考总复习_2025中考复习资料_(2025年中考复习全国通用)2024年中考数学真题专题分类精选汇编
专题19矩形、菱形、正方形(解析版)_02中考总复习(2026版更新中)_02-数学-中考总复习_2025中考复习资料_(2025年中考复习全国通用)2024年中考数学真题专题分类精选汇编
专题19矩形、菱形、正方形(解析版)_02中考总复习(2026版更新中)_02-数学-中考总复习_2025中考复习资料_(2025年中考复习全国通用)2024年中考数学真题专题分类精选汇编
专题19矩形、菱形、正方形(解析版)_02中考总复习(2026版更新中)_02-数学-中考总复习_2025中考复习资料_(2025年中考复习全国通用)2024年中考数学真题专题分类精选汇编
专题19矩形、菱形、正方形(解析版)_02中考总复习(2026版更新中)_02-数学-中考总复习_2025中考复习资料_(2025年中考复习全国通用)2024年中考数学真题专题分类精选汇编
专题19矩形、菱形、正方形(解析版)_02中考总复习(2026版更新中)_02-数学-中考总复习_2025中考复习资料_(2025年中考复习全国通用)2024年中考数学真题专题分类精选汇编
专题19矩形、菱形、正方形(解析版)_02中考总复习(2026版更新中)_02-数学-中考总复习_2025中考复习资料_(2025年中考复习全国通用)2024年中考数学真题专题分类精选汇编
专题19矩形、菱形、正方形(解析版)_02中考总复习(2026版更新中)_02-数学-中考总复习_2025中考复习资料_(2025年中考复习全国通用)2024年中考数学真题专题分类精选汇编
专题19矩形、菱形、正方形(解析版)_02中考总复习(2026版更新中)_02-数学-中考总复习_2025中考复习资料_(2025年中考复习全国通用)2024年中考数学真题专题分类精选汇编
专题19矩形、菱形、正方形(解析版)_02中考总复习(2026版更新中)_02-数学-中考总复习_2025中考复习资料_(2025年中考复习全国通用)2024年中考数学真题专题分类精选汇编
专题19矩形、菱形、正方形(解析版)_02中考总复习(2026版更新中)_02-数学-中考总复习_2025中考复习资料_(2025年中考复习全国通用)2024年中考数学真题专题分类精选汇编
专题19矩形、菱形、正方形(解析版)_02中考总复习(2026版更新中)_02-数学-中考总复习_2025中考复习资料_(2025年中考复习全国通用)2024年中考数学真题专题分类精选汇编
专题19矩形、菱形、正方形(解析版)_02中考总复习(2026版更新中)_02-数学-中考总复习_2025中考复习资料_(2025年中考复习全国通用)2024年中考数学真题专题分类精选汇编
专题19矩形、菱形、正方形(解析版)_02中考总复习(2026版更新中)_02-数学-中考总复习_2025中考复习资料_(2025年中考复习全国通用)2024年中考数学真题专题分类精选汇编

文档信息

文档格式
doc
文档大小
3.957 MB
文档页数
43 页
上传时间
2026-04-06 08:12:00

文档内容

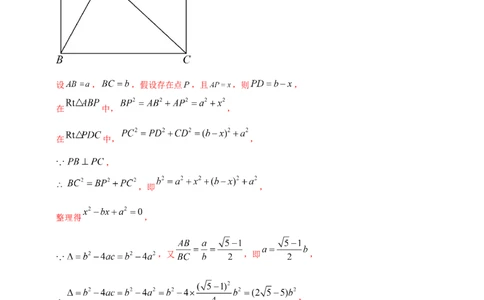
关注公众号:陆陆高分冲刺 ~领取:最新版“小中高考-总复习”、最新试卷下载 2024年中考数学真题专题分类精选汇编(2025年中考复习全国通用) 专题19 矩形、菱形、正方形 一、选择题 1.( 2024甘肃威武)如图,在矩形 中,对角线 , 相交于点O, , , 则 的长为( ) A. 6 B. 5 C. 4 D. 3 【答案】C 【解析】根据矩形 的性质,得 ,结合 ,得到 是等边三角形,结合 ,得到 ,解得即可. 本题考查了矩形的性质,等边三角形的判定和性质,熟练掌握矩形的性质是解题的关键. 【详解】根据矩形 的性质,得 , ∵ , ∴ 是等边三角形, ∵ , ∴ , 解得 . 故选C. 2.( 2024四川成都市)如图,在矩形 中,对角线 与 相交于点 ,则下列结论一定正确的 1关注公众号:陆陆高分冲刺 ~领取:最新版“小中高考-总复习”、最新试卷下载 是( ) A. B. C. D. 【答案】C 【解析】本题考查矩形的性质,根据矩形的性质逐项判断即可. ∵四边形 是矩形, ∴ , , ,则 , ∴选项A中 不一定正确,故不符合题意; 选项B中 不一定正确,故不符合题意; 选项C中 一定正确,故符合题意; 选项D中 不一定正确,故不符合题意, 故选:C. 3.( 2024四川德阳)宽与长的比是 的矩形叫黄金矩形,黄金矩形给我们以协调的美感,世界各国 许多著名建筑为取得最佳的视觉效果,都采用了黄金矩形的设计.已知四边形 是黄金矩形. ,点 是边 上一点,则满足 的点 的个数为( ) A. 3 B. 2 C. 1 D. 0 【答案】D 【解析】本题考查了矩形的性质,勾股定理,一元二次方程的解,熟练掌握勾股定理,利用判别式判断一 元二次方程解的情况是解题的关键.设 , ,假设存在点 ,且 ,则 ,利 用 勾 股 定 理 得 到 , , 2关注公众号:陆陆高分冲刺 ~领取:最新版“小中高考-总复习”、最新试卷下载 ,可得到方程 ,结合 ,然后根据判别式的符号即 可确定有几个解,由此得解. 【详解】如图所示,四边形 是黄金矩形, , , 设 , ,假设存在点 ,且 ,则 , 在 中, , 在 中, , , ,即 , 整理得 , ,又 ,即 , , , , , 方程无解,即点 不存在. 故选:D. 4.( 2024黑龙江绥化)如图,四边形 是菱形, , , 于点 ,则 的长 3关注公众号:陆陆高分冲刺 ~领取:最新版“小中高考-总复习”、最新试卷下载 是( ) A. B. C. D. 【答案】A 【解析】本题考查了勾股定理,菱形的性质,根据勾股定理求得 ,进而得出 ,进而根据等面 积法,即可求解. 【详解】解:∵四边形 是菱形, , , ∴ , , , 在中, , ∴ , ∵菱形 的面积为 , ∴ , 故选:A. 5.( 2024广西)如图,边长为5的正方形 ,E,F,G,H分别为各边中点,连接 , , , ,交点分别为M,N,P,Q,那么四边形 的面积为( ) A. 1 B. 2 C. 5 D. 10 4关注公众号:陆陆高分冲刺 ~领取:最新版“小中高考-总复习”、最新试卷下载 【答案】C 【解析】先证明四边形 是平行四边形,利用平行线分线段成比例可得出 , ,证明 得出 ,则可得出 ,同 理 ,得出平行四边形 是矩形,证明 ,得出 , 进而得出 ,得出矩形 是正方形,在 中,利用勾股定理求出 ,然后利用正方形的面积公式求解即可. 【详解】∵四边形 是正方形, ∴ , , , , ∵E,F,G,H分别为各边中点, ∴ , , ∴ , ∴四边形 是平行四边形, ∴ , 同理 , ∴四边形 是平行四边形, ∵ , ∴ , ∴ , 同理 , ∵ , , , 5关注公众号:陆陆高分冲刺 ~领取:最新版“小中高考-总复习”、最新试卷下载 ∴ , ∴ , ∵ , ∴ , ∴ ,同理 , ∴平行四边形 是矩形, ∵ , , , ∴ , ∴ , 又 , , ∴ , ∴矩形 是正方形, 在 中, , ∴ , ∴ , ∴正方形 的面积为5, 故选:C. 【点睛】本题考查了正方形 的判定与性质,全等三角形判定与性质,平行线分线段成比例,勾股定理等 知识,明确题意,灵活运用相关知识求解是解题的关键. 6. (2024重庆市B)如图,在边长为4的正方形 中,点 是 上一点,点 是 延长线上 一点,连接 , , 平分 .交 于点 .若 ,则 的长度为 ( ) 6关注公众号:陆陆高分冲刺 ~领取:最新版“小中高考-总复习”、最新试卷下载 A. 2 B. C. D. 【答案】D 【解析】本题主要考查了正方形的性质,全等三角形的性质与判定,勾股定理,先由正方形的性质得到 , 再 证 明 得到 ,进一步证明 得到 ,设 ,则 , 在 中,由勾股定理得 ,解方程即可得到答案. 【详解】∵四边形 是正方形, ∴ , 又∵ , ∴ , ∴ , ∵ 平分 , ∴ , 又∵ , ∴ , ∴ , 设 ,则 , 在 中,由勾股定理得 , ∴ , 7关注公众号:陆陆高分冲刺 ~领取:最新版“小中高考-总复习”、最新试卷下载 解得 , ∴ , 故选:D. 7.( 2024山东烟台)如图,在正方形 中,点E,F分别为对角线 的三等分点,连接 并延长交 于点G,连接 ,若 ,则 用含α的代数式表示为( ) A. B. C. D. 【答案】B 【解析】本题考查了正方形的性质,相似三角形的判定和性质,全等三角形的判定和性质,三角形的外 角性质.证明 ,求得 ,证明 ,证得 , 推出 ,得到 ,据此求解即可. 【详解】解:∵正方形 中,点E,F分别为对角线 的三等分点, ∴ , , , ∴ , 8关注公众号:陆陆高分冲刺 ~领取:最新版“小中高考-总复习”、最新试卷下载 ∵ , , ∴ , ∴ , ∵点E,F分别为对角线 的三等分点, ∴ , ∵正方形 , ∴ , ∴ , ∴ , ∴ , ∴ , ∴ , ∴ , ∴ , 故选:B. 8.( 2024陕西省)如图,正方形 的顶点G在正方形 的边 上, 与 交于点H, 若 , ,则 的长为( ) 9关注公众号:陆陆高分冲刺 ~领取:最新版“小中高考-总复习”、最新试卷下载 A. 2 B. 3 C. D. 【答案】B 【解析】本题考查了相似三角形的判定和性质,正方形的性质.证明 ,利用相似三角 形的性质列式计算即可求解. 【详解】解:∵正方形 , , ∴ , ∵正方形 , , ∴ , ∴ , 由题意得 , ∴ , ∴ ,即 , 解得 , 故选:B. 二、填空题 1.( 2024黑龙江绥化)在矩形 中, , ,点 在直线 上,且 , 则点 到矩形对角线所在直线的距离是______ . 【答案】 或 或 【解析】本题考查了矩形的性质,解直角三角形,设 交于点 ,点 在线段 上, 在 10关注公众号:陆陆高分冲刺 ~领取:最新版“小中高考-总复习”、最新试卷下载 的延长线上,过点 作 , 的垂线,垂足分别为 ,进而分别求得垂线段的长度,即可 求解. 【详解】解:∵四边形 是矩形, , , ∴ , , ∴ ∴ , , 如图所示,设 交于点 ,点 在线段 上, 在 的延长线上,过点 作 , 的垂线,垂足分别为 ∵ ∴ 当 在线段 上时, ∴ 在 中个, ∵ 在 中, ; 当E在射线 上时, 11关注公众号:陆陆高分冲刺 ~领取:最新版“小中高考-总复习”、最新试卷下载 在 中, ∴ ∴ ∴ ∴ , 在 中, 综上所述,点 到对角线所在直线的距离为: 或 或 故答案为: 或 或 . 2.( 2024四川德阳)如图,四边形 是矩形, 是正三角形,点 是 的中点,点 是矩 形 内一点,且 是以 为底的等腰三角形,则 的面积与 的面积的比值是 ______. 【答案】2 【解析】本题考查矩形的性质,正三角形的性质,等腰三角形的性质等知识点,正确设出边长表示出两 个三角形的面积是解题的关键. 作辅助线如图,设 , ,根据相关图形的性表示出三角形的面积即可得到答案. 【详解】如图,找 , 中点为 , ,连接 , ,连接 , , 过 作 交 12关注公众号:陆陆高分冲刺 ~领取:最新版“小中高考-总复习”、最新试卷下载 的延长线于 点,延长 ,与 交于 点. 设 , , ∵ 是以 为底的等腰三角形, ∴ 在上, ∴ 到 的距离即为 , ∴ , 在 和 中 , ∴ , ∴ , ∴ , ∴ , 故答案为:2. 13关注公众号:陆陆高分冲刺 ~领取:最新版“小中高考-总复习”、最新试卷下载 3.( 2024广西)如图,两张宽度均为 的纸条交叉叠放在一起,交叉形成的锐角为 ,则重合部分 构成的四边形 的周长为______ . 【答案】 【解析】本题考查了平行四边形的判定,菱形的判定和性质,菱形的周长,过点 作 于 , 于 ,由题意易得四边形 是平行四边形,进而由平行四边形的面积可得 ,即可得到四边形 是菱形,再解 可得 ,即可求 解,得出四边形 是菱形是解题的关键. 【详解】过点 作 于 , 于 ,则 , ∵两张纸条的对边平行, ∴ , , ∴四边形 是平行四边形, 又∵两张纸条的宽度相等, ∴ , ∵ , ∴ , 14关注公众号:陆陆高分冲刺 ~领取:最新版“小中高考-总复习”、最新试卷下载 ∴四边形 是菱形, 在 中, , , ∴ , ∴四边形 的周长为 , 故答案为: . 4.( 2024四川眉山)如图,菱形 的边长为6, ,过点 作 ,交 的延 长线于点 ,连结 分别交 , 于点 , ,则 的长为______. 【答案】 ## 【解析】此题考查了菱形的性质,相似三角形的性质和判定,勾股定理等知识,解题的关键是掌握以上 知识点. 首先根据菱形的性质得到 , , ,然后勾股定理求出 , ,然后证明出 ,得到 15关注公众号:陆陆高分冲刺 ~领取:最新版“小中高考-总复习”、最新试卷下载 ,求出 ,然后证明出 ,得到 ,求 出 ,进而求解即可. 【详解】解: 菱形 的边长为6, , , , , , , , 在 中, , , , , , , 在 中, , , , , , , , 16关注公众号:陆陆高分冲刺 ~领取:最新版“小中高考-总复习”、最新试卷下载 , , . 故答案为: . 5. (2024贵州省)如图,在菱形 中,点E,F分别是 , 的中点,连接 , .若 , ,则 的长为______. 【答案】 ## 【解析】延长 , 交于点 M,根据菱形的性质和中点性质证明 , ,过E点作 交N点,根据三角函数求出 , , , ,在 中利用勾股定理求出 ,根据菱形的性质即可得出答案. 【详解】延长 , 交于点M, 17关注公众号:陆陆高分冲刺 ~领取:最新版“小中高考-总复习”、最新试卷下载 在菱形 中,点E,F分别是 , 的中点, , , , , 在 和 中 , , , 在 和 中 , , , , , , 过E点作 于N点, , , , , , , 在 中 , 18关注公众号:陆陆高分冲刺 ~领取:最新版“小中高考-总复习”、最新试卷下载 即 , , , 故答案为: . 【点睛】本题考查了菱形的性质,全等三角形的判定和性质,运用三角函数解直角三角形,勾股定理等, 正确添加辅助线构造直角三角形是解本题的关键. 6.( 2024天津市)如图,正方形 的边长为 ,对角线 相交于点 ,点 在 的延 长线上, ,连接 . (1)线段 的长为______; (2)若 为 的中点,则线段 的长为______. 【答案】 ①. 2 ②. ## 【解析】本题考查正方形的性质,中位线定理,熟练运用中位线定理是解题的关键; (1)运用正方形性质对角线互相平分、相等且垂直,即可求解, (2)作辅助线,构造中位线即可. 【详解】(1) 四边形 是正方形, , 在 中, , 19关注公众号:陆陆高分冲刺 ~领取:最新版“小中高考-总复习”、最新试卷下载 , , (2)延长 到点 ,使 ,连接 由 点向 作垂线,垂足为 ∵ 为 的中点, 为 的中点, ∴ 为 的中位线, 在 中, , , 在 中, , 为 的中位线, 7. (2024吉林省)如图,正方形 的对角线 相交于点O,点E是 的中点,点F是 20关注公众号:陆陆高分冲刺 ~领取:最新版“小中高考-总复习”、最新试卷下载 上一点.连接 .若 ,则 的值为______. 【答案】 【解析】本题主要考查了相似三角形的性质与判定,正方形的性质,先由正方形的性质得到 , ,再证明 ,进而可证明 ,由相似三角形的性 质可得 ,即 . 【详解】∵正方形 的对角线 相交于点O, ∴ , , ∵点E是 的中点, ∴ , ∵ , ∴ , ∴ , ∴ ,即 , 故答案为: . 8.( 2024北京市)如图,在正方形 中,点 在 上, 于点 , 于点 .若 , ,则 的面积为___________. 21关注公众号:陆陆高分冲刺 ~领取:最新版“小中高考-总复习”、最新试卷下载 【答案】 【解析】根据正方形的性质,得 , ,得到 ,结合 ,得到 , , , 求 得 的长,解答即可. 本题考查了正方形的性质,解直角三角形的相关计算,熟练掌握解直角三角形的相关计算是解题的关 键. 【详解】根据正方形的性质,得 , , ∴ , ∵ , ∴ , , , ∴ , ∴ , ∴ , ∴ 的面积为 ; 22关注公众号:陆陆高分冲刺 ~领取:最新版“小中高考-总复习”、最新试卷下载 故答案为: . 9.( 2024福建省)如图,正方形 的面积为4,点 , , , 分别为边 , , , 的中点,则四边形 的面积为______. 【答案】2 【解析】本题考查正方形性质,线段中点的性质,根据正方形性质和线段中点的性质得到 ,进而得到 ,同理可得 ,最后利用四边形 的 面积 正方形 的面积 个小三角形面积求解,即可解题. 【详解】 正方形 的面积为4, , , 点 , , , 分别为边 , , , 的中点, , , 同理可得 , 四边形 的面积为 . 故答案为:2. 三、解答题 23关注公众号:陆陆高分冲刺 ~领取:最新版“小中高考-总复习”、最新试卷下载 1.( 2024贵州省)如图,四边形 的对角线 与 相交于点O, , , 有下列条件: ① ,② . (1)请从以上①②中任选1个作为条件,求证:四边形 是矩形; (2)在(1)的条件下,若 , ,求四边形 的面积. 【答案】(1)见解析 (2) 【解析】本题考查矩形的判定,勾股定理,掌握矩形的判定定理是解题的关键. (1)先根据条件利用两组对边平行或一组对边平行且相等证明 是平行四边形,然后根据矩形 的定义得到结论即可; (2)利用勾股定理得到 长,然后利用矩形的面积公式计算即可. 【小问1详解】 选择①, 证明:∵ , , ∴ 是平行四边形, 又∵ , ∴四边形 是矩形; 选择②, 证明:∵ , , ∴ 是平行四边形, 又∵ , ∴四边形 是矩形; 24关注公众号:陆陆高分冲刺 ~领取:最新版“小中高考-总复习”、最新试卷下载 【小问2详解】 解:∵ , ∴ , ∴矩形 的面积为 . 2. (2024陕西省)如图,四边形 是矩形,点E和点F在边 上,且 .求证: . 【答案】见解析 【解析】本题考查了矩形的性质,全等三角形的判定和性质.根据矩形的性质得到 , ,再推出 ,利用 证明 ,即可得到 . 【详解】证明:∵四边形 是矩形, ∴ , , ∵ , ∴ ,即 , ∴ , ∴ . 3. (2024上海市)如图所示,在矩形 中, 为边 上一点,且 . 25关注公众号:陆陆高分冲刺 ~领取:最新版“小中高考-总复习”、最新试卷下载 (1)求证: ; (2) 为线段 延长线上一点,且满足 ,求证: . 【答案】(1)证明见解析 (2)证明见解析 【解析】【分析】(1)由矩形性质得到 , , ,由角的互余得到 ,从而确定 ,利用相似三角形性质得到 ; (2)由矩形性质,结合题中条件,利用等腰三角形的判定与性质得到 , , , 进而由三角形全等的判定与性质即可得到. 【小问1详解】 证明: 在矩形 中, , , , , , , , , , ,即 , , ; 【小问2详解】 证明:连接 交 于点 ,如图所示: 26关注公众号:陆陆高分冲刺 ~领取:最新版“小中高考-总复习”、最新试卷下载 在矩形 中, ,则 , , , , , , 在矩形 中, , , , , , , , 在 和 中, , . 【点睛】本题考查矩形综合,涉及矩形性质、相似三角形的判定与性质、等腰三角形的判定与性质、全等 27关注公众号:陆陆高分冲刺 ~领取:最新版“小中高考-总复习”、最新试卷下载 三角形的判定与性质等知识,熟练掌握相关几何性质与判定是解决问题第的关键. 4. (2024云南省)如图,在四边形 中,点 、 、 、 分别是各边的中点,且 , ,四边形 是矩形. (1)求证:四边形 是菱形; (2)若矩形 的周长为22,四边形 的面积为10,求 的长. 【答案】(1)见解析 (2) 【解析】【分析】(1)连接 , ,证明四边形 是平行四边形,再利用三角形中位线定理得到 , ,利用矩形的性质得到 ,即可证明四边形 是菱形; (2)利用三角形中位线定理和菱形性质得到 ,利用lx 面积公式得到 ,再利用完全平方公式结合勾股定理进行变形求解即可得到 . 【小问1详解】 解:连接 , , , , 四边形 是平行四边形, 28关注公众号:陆陆高分冲刺 ~领取:最新版“小中高考-总复习”、最新试卷下载 四边形 中,点 、 、 、 分别是各边的中点, , , 四边形 是矩形, , , 四边形 是菱形; 【小问2详解】 解: 四边形 中,点 、 、 、 分别是各边的中点, , , 矩形 的周长为22, , 四边形 是菱形, 即 , 四边形 的面积为10, ,即 , , , . 【点睛】本题考查了平行四边形性质和判定,矩形的性质和判定,三角形中位线定理,菱形的性质和判 定,菱形面积公式,勾股定理,完全平方公式,熟练掌握相关性质是解题的关键. 5. (2024四川德阳)如图,在菱形 中, ,对角线 与 相交于点 ,点 为 29关注公众号:陆陆高分冲刺 ~领取:最新版“小中高考-总复习”、最新试卷下载 的中点,连接 与 相交于点 ,连接 并延长交 于点 . (1)证明: ; (2)证明: . 【答案】(1)证明见解析 (2)证明见解析 【解析】【分析】本题考查了菱形的性质、等边三角形的判定与性质、相似三角形的判定、三角形全等的 判定等知识,熟练掌握菱形的性质和相似三角形的判定是解题关键. (1)先根据菱形的性质可得 ,再证出 是等边三角形,根据等边三角形的性 质可得 ,然后根据相似三角形的判定即可得证; (2)先根据等边三角形的性质可得 ,从而可得 ,再根据 定理即可得证. 【小问1详解】 证明:∵四边形 是菱形, ∴ , ∵ , ∴ 是等边三角形, ∵点 为 的中点, ∴ , ∴ ∵ , ∴ . 30关注公众号:陆陆高分冲刺 ~领取:最新版“小中高考-总复习”、最新试卷下载 【小问2详解】 证明:∵ 是等边三角形, , , ∴ , ∴ ∵ 是等边三角形, ∴ , 在 和 中, , ∴ . 6. (2024四川广安)如图,在菱形ABCD中,点E,F分别是边AB和BC上的点,且BE=BF.求证: ∠DEF=∠DFE. 【答案】见解析 【解析】根据菱形的性质可得AB=BC=CD=AD,∠A=∠C,再由BE=BF,可推出AE=CF,即可利用SAS证 明△ADE≌△CDF得到DE=DF,则∠DEF=∠DFE. 【详解】∵四边形ABCD是菱形, ∴AB=BC=CD=AD,∠A=∠C, ∵BE=BF, ∴AB-BE=BC-BF,即AE=CF, ∴△ADE≌△CDF(SAS), ∴DE=DF, ∴∠DEF=∠DFE. 31关注公众号:陆陆高分冲刺 ~领取:最新版“小中高考-总复习”、最新试卷下载 【点睛】本题主要考查了菱形的性质,全等三角形的性质与判定,等腰三角形的性质与判定,解题的关 键在于能够熟练掌握菱形的性质. 7.( 2024福建省)如图,在菱形 中,点 分别在 边上, ,求证: . 【答案】见解析 【解析】本题考查菱形 的性质、全等三角形的判定与性质,熟练掌握全等三角形的判定与性质是解答的 关键.根据菱形的性质证得 , ,再根据全等三角形的判定证明 即可. 【详解】证明: 四边形 是菱形, , , , , . 8. (2024江苏扬州)如图1,将两个宽度相等的矩形纸条叠放在一起,得到四边形 . 32关注公众号:陆陆高分冲刺 ~领取:最新版“小中高考-总复习”、最新试卷下载 (1)试判断四边形 的形状,并说明理由; (2)已知矩形纸条宽度为 ,将矩形纸条旋转至如图2位置时,四边形 的面积为 ,求此 时直线 所夹锐角 的度数. 【答案】(1)四边形 是菱形,理由见详解 (2) 【解析】【分析】本题主要考查矩形的性质,菱形的判定和性质,全等三角形的判定和性质,三角函数, 掌握菱形的判定和性质是解题的关键. (1)根据矩形的性质可得四边形 是平行四边形,作 ,可证 ,可得 ,由此可证平行四边形 是菱形; (2)作 ,根据面积的计算方法可得 ,结合菱形的性质可得 ,根据 含 的直角三角形的性质即可求解. 【小问1详解】 解:四边形 是菱形,理由如下, 如图所示,过点 作 于点 ,过点 作 于点 , 根据题意,四边形 ,四边形 是矩形, ∴ , ∴ , ∴四边形 是平行四边形, 33关注公众号:陆陆高分冲刺 ~领取:最新版“小中高考-总复习”、最新试卷下载 ∵宽度相等,即 ,且 , ∴ , ∴ , ∴平行四边形 是菱形; 【小问2详解】 解:如图所示,过点 作 于点 , 根据题意, , ∵ , ∴ , 由(1)可得四边形 是菱形, ∴ , 在 中, , 即 , ∴ . 9. (2024江苏盐城)如图1,E、F、G、H分别是平行四边形 各边的中点,连接 交于点 M,连接AG、CH交于点N,将四边形 称为平行四边形 的“中顶点四边形”. 34关注公众号:陆陆高分冲刺 ~领取:最新版“小中高考-总复习”、最新试卷下载 (1)求证:中顶点四边形 为平行四边形; (2)①如图2,连接 交于点O,可得M、N两点都在 上,当平行四边形 满足 ________时,中顶点四边形 是菱形; ②如图3,已知矩形 为某平行四边形的中顶点四边形,请用无刻度的直尺和圆规作出该平行四 边形.(保留作图痕迹,不写作法) 【答案】(1)见解析 (2)① ; 见解析. 【解析】【分析】题目主要考查平行四边形及菱形②的判定和性质,三角形重心的性质,理解题意,熟练掌 握三角形重心的性质是解题关键. (1)根据平行四边形的性质,线段的中点平分线段,推出四边形 ,四边形 均为平行四边 形,进而得到: ,即可得证; (2)①根据菱形的性质结合图形即可得出结果; ② 连 接 , 作 直 线 , 交 于 点 O , 然 后 作 , 然 后 连 接 即可得出点M和N分别为 的重心,据此作图即可. 【小问1详解】 证明:∵ , ∴ , ∵点E、F、G、H分别是 各边的中点, 35关注公众号:陆陆高分冲刺 ~领取:最新版“小中高考-总复习”、最新试卷下载 ∴ , ∴四边形 为平行四边形, 同理可得:四边形 为平行四边形, ∴ , ∴四边形 是平行四边形; 【小问2详解】 ①当平行四边形 满足 时,中顶点四边形 是菱形, 由(1)得四边形 是平行四边形, ∵ , ∴ , ∴中顶点四边形 是菱形, 故答案为: ; ②如图所示,即为所求, 连接 ,作直线 ,交于点O,然后作 (或作BM=MN=ND),然后连接 即可, ∴点M和N分别为 的重心,符合题意; 36关注公众号:陆陆高分冲刺 ~领取:最新版“小中高考-总复习”、最新试卷下载 证明:矩形 , ∴ , ∵ , ∴ , ∴四边形 为平行四边形; 分别延长 交四边于点E、F、G、H如图所示: ∵矩形 , ∴ , , 由作图得 , ∴ , ∴ , ∴点F为 的中点, 同理得:点E为 的中点,点G为 的中点,点H为 的中点. 10. (2024四川达州)在学习特殊的平行四边形时,我们发现正方形的对角线等于边长的 倍,某数 37关注公众号:陆陆高分冲刺 ~领取:最新版“小中高考-总复习”、最新试卷下载 学兴趣小组以此为方向对菱形的对角线和边长的数量关系探究发现,具体如下:如图1. (1) 四边形 是菱形, , , . . 又 , , ______+______. 化简整理得 ______. 【类比探究】 (2)如图2.若四边形 是平行四边形,请说明边长与对角线的数量关系. 【拓展应用】 (3)如图3,四边形 为平行四边形,对角线 , 相交于点 ,点 为 的中点,点 为 的中点,连接 ,若 , , ,直接写出 的长度. 【答案】(1) , , ;(2) ;(3) 【解析】【分析】(1)根据菱形的性质及勾股定理补充过程,即可求解; 38关注公众号:陆陆高分冲刺 ~领取:最新版“小中高考-总复习”、最新试卷下载 (2)过点 作 于点 ,过点 作 交 的延长线于点 ,根据平行四边形的性 质得 , , ,证明 , 得 , ,,根据勾股定理得 , ,继而得出 的值即可; (3)由(2)可得 得出 ,过点 分别作 的垂线,垂足分别 为 ,连接 ,根据勾股定理以及已知条件,分别求得 ,根据 得出 , 根据 得出 ,进而勾股定 理,即可求解. 【详解】解:(1) 四边形 是菱形, , , . . 又 , , . 化简整理得 故答案为: , , . ( ) ,理由如下, 过点 作 于点 ,过点 作 交 的延长线于点 , 39关注公众号:陆陆高分冲刺 ~领取:最新版“小中高考-总复习”、最新试卷下载 ∴ , ∵四边形 是平行四边形, ∴ , , , ∴ , 在 和 中, , ∴ , ∴ , , 在 中, , 在 中, , ∴ , ∴ ( )∵四边形 是平行四边形, , , , ∴由( )可得 40关注公众号:陆陆高分冲刺 ~领取:最新版“小中高考-总复习”、最新试卷下载 ∴ 解得: (负值舍去) ∵四边形 是平行四边形, ∴ , , , 如图所示,过点 分别作 的垂线,垂足分别为 ,连接 , ∵ 分别为 的中点, ∴ ∵ , ∴ , ∵ 是 的中点, ∴ ∴ , ∴ , 41关注公众号:陆陆高分冲刺 ~领取:最新版“小中高考-总复习”、最新试卷下载 在 中, , ∴ , ∵ 为 的中点, ∴ , ∵ , ∴ , ∴ ∵ , ∴ , ∴ , ∴ , ∴ , ∵ , ∴ , ∴ , ∴ , 在 中, . 【点睛】本题考查了菱形的性质,平行四边形的性质,勾股定理,全等三角形的性质与判定,相似三角形 42关注公众号:陆陆高分冲刺 ~领取:最新版“小中高考-总复习”、最新试卷下载 的性质与判定,平行线分线段成比例,熟练掌握勾股定理是解题的关键. 43