当前位置:首页>文档>压轴题05圆的综合(5题型+解题模板+技巧精讲)(解析版)_02中考总复习(2026版更新中)_02-数学-中考总复习_2024年中考复习资料_二轮复习资料_解题秘籍(含解题模板)

压轴题05圆的综合(5题型+解题模板+技巧精讲)(解析版)_02中考总复习(2026版更新中)_02-数学-中考总复习_2024年中考复习资料_二轮复习资料_解题秘籍(含解题模板)

  • 2026-03-10 07:28:10 2026-03-10 07:28:10

文档预览

压轴题05圆的综合(5题型+解题模板+技巧精讲)(解析版)_02中考总复习(2026版更新中)_02-数学-中考总复习_2024年中考复习资料_二轮复习资料_解题秘籍(含解题模板)
压轴题05圆的综合(5题型+解题模板+技巧精讲)(解析版)_02中考总复习(2026版更新中)_02-数学-中考总复习_2024年中考复习资料_二轮复习资料_解题秘籍(含解题模板)
压轴题05圆的综合(5题型+解题模板+技巧精讲)(解析版)_02中考总复习(2026版更新中)_02-数学-中考总复习_2024年中考复习资料_二轮复习资料_解题秘籍(含解题模板)
压轴题05圆的综合(5题型+解题模板+技巧精讲)(解析版)_02中考总复习(2026版更新中)_02-数学-中考总复习_2024年中考复习资料_二轮复习资料_解题秘籍(含解题模板)
压轴题05圆的综合(5题型+解题模板+技巧精讲)(解析版)_02中考总复习(2026版更新中)_02-数学-中考总复习_2024年中考复习资料_二轮复习资料_解题秘籍(含解题模板)
压轴题05圆的综合(5题型+解题模板+技巧精讲)(解析版)_02中考总复习(2026版更新中)_02-数学-中考总复习_2024年中考复习资料_二轮复习资料_解题秘籍(含解题模板)
压轴题05圆的综合(5题型+解题模板+技巧精讲)(解析版)_02中考总复习(2026版更新中)_02-数学-中考总复习_2024年中考复习资料_二轮复习资料_解题秘籍(含解题模板)
压轴题05圆的综合(5题型+解题模板+技巧精讲)(解析版)_02中考总复习(2026版更新中)_02-数学-中考总复习_2024年中考复习资料_二轮复习资料_解题秘籍(含解题模板)
压轴题05圆的综合(5题型+解题模板+技巧精讲)(解析版)_02中考总复习(2026版更新中)_02-数学-中考总复习_2024年中考复习资料_二轮复习资料_解题秘籍(含解题模板)
压轴题05圆的综合(5题型+解题模板+技巧精讲)(解析版)_02中考总复习(2026版更新中)_02-数学-中考总复习_2024年中考复习资料_二轮复习资料_解题秘籍(含解题模板)
压轴题05圆的综合(5题型+解题模板+技巧精讲)(解析版)_02中考总复习(2026版更新中)_02-数学-中考总复习_2024年中考复习资料_二轮复习资料_解题秘籍(含解题模板)
压轴题05圆的综合(5题型+解题模板+技巧精讲)(解析版)_02中考总复习(2026版更新中)_02-数学-中考总复习_2024年中考复习资料_二轮复习资料_解题秘籍(含解题模板)
压轴题05圆的综合(5题型+解题模板+技巧精讲)(解析版)_02中考总复习(2026版更新中)_02-数学-中考总复习_2024年中考复习资料_二轮复习资料_解题秘籍(含解题模板)
压轴题05圆的综合(5题型+解题模板+技巧精讲)(解析版)_02中考总复习(2026版更新中)_02-数学-中考总复习_2024年中考复习资料_二轮复习资料_解题秘籍(含解题模板)
压轴题05圆的综合(5题型+解题模板+技巧精讲)(解析版)_02中考总复习(2026版更新中)_02-数学-中考总复习_2024年中考复习资料_二轮复习资料_解题秘籍(含解题模板)
压轴题05圆的综合(5题型+解题模板+技巧精讲)(解析版)_02中考总复习(2026版更新中)_02-数学-中考总复习_2024年中考复习资料_二轮复习资料_解题秘籍(含解题模板)
压轴题05圆的综合(5题型+解题模板+技巧精讲)(解析版)_02中考总复习(2026版更新中)_02-数学-中考总复习_2024年中考复习资料_二轮复习资料_解题秘籍(含解题模板)
压轴题05圆的综合(5题型+解题模板+技巧精讲)(解析版)_02中考总复习(2026版更新中)_02-数学-中考总复习_2024年中考复习资料_二轮复习资料_解题秘籍(含解题模板)
压轴题05圆的综合(5题型+解题模板+技巧精讲)(解析版)_02中考总复习(2026版更新中)_02-数学-中考总复习_2024年中考复习资料_二轮复习资料_解题秘籍(含解题模板)
压轴题05圆的综合(5题型+解题模板+技巧精讲)(解析版)_02中考总复习(2026版更新中)_02-数学-中考总复习_2024年中考复习资料_二轮复习资料_解题秘籍(含解题模板)
压轴题05圆的综合(5题型+解题模板+技巧精讲)(解析版)_02中考总复习(2026版更新中)_02-数学-中考总复习_2024年中考复习资料_二轮复习资料_解题秘籍(含解题模板)
压轴题05圆的综合(5题型+解题模板+技巧精讲)(解析版)_02中考总复习(2026版更新中)_02-数学-中考总复习_2024年中考复习资料_二轮复习资料_解题秘籍(含解题模板)
压轴题05圆的综合(5题型+解题模板+技巧精讲)(解析版)_02中考总复习(2026版更新中)_02-数学-中考总复习_2024年中考复习资料_二轮复习资料_解题秘籍(含解题模板)
压轴题05圆的综合(5题型+解题模板+技巧精讲)(解析版)_02中考总复习(2026版更新中)_02-数学-中考总复习_2024年中考复习资料_二轮复习资料_解题秘籍(含解题模板)
压轴题05圆的综合(5题型+解题模板+技巧精讲)(解析版)_02中考总复习(2026版更新中)_02-数学-中考总复习_2024年中考复习资料_二轮复习资料_解题秘籍(含解题模板)
压轴题05圆的综合(5题型+解题模板+技巧精讲)(解析版)_02中考总复习(2026版更新中)_02-数学-中考总复习_2024年中考复习资料_二轮复习资料_解题秘籍(含解题模板)
压轴题05圆的综合(5题型+解题模板+技巧精讲)(解析版)_02中考总复习(2026版更新中)_02-数学-中考总复习_2024年中考复习资料_二轮复习资料_解题秘籍(含解题模板)
压轴题05圆的综合(5题型+解题模板+技巧精讲)(解析版)_02中考总复习(2026版更新中)_02-数学-中考总复习_2024年中考复习资料_二轮复习资料_解题秘籍(含解题模板)
压轴题05圆的综合(5题型+解题模板+技巧精讲)(解析版)_02中考总复习(2026版更新中)_02-数学-中考总复习_2024年中考复习资料_二轮复习资料_解题秘籍(含解题模板)
压轴题05圆的综合(5题型+解题模板+技巧精讲)(解析版)_02中考总复习(2026版更新中)_02-数学-中考总复习_2024年中考复习资料_二轮复习资料_解题秘籍(含解题模板)
压轴题05圆的综合(5题型+解题模板+技巧精讲)(解析版)_02中考总复习(2026版更新中)_02-数学-中考总复习_2024年中考复习资料_二轮复习资料_解题秘籍(含解题模板)
压轴题05圆的综合(5题型+解题模板+技巧精讲)(解析版)_02中考总复习(2026版更新中)_02-数学-中考总复习_2024年中考复习资料_二轮复习资料_解题秘籍(含解题模板)
压轴题05圆的综合(5题型+解题模板+技巧精讲)(解析版)_02中考总复习(2026版更新中)_02-数学-中考总复习_2024年中考复习资料_二轮复习资料_解题秘籍(含解题模板)
压轴题05圆的综合(5题型+解题模板+技巧精讲)(解析版)_02中考总复习(2026版更新中)_02-数学-中考总复习_2024年中考复习资料_二轮复习资料_解题秘籍(含解题模板)
压轴题05圆的综合(5题型+解题模板+技巧精讲)(解析版)_02中考总复习(2026版更新中)_02-数学-中考总复习_2024年中考复习资料_二轮复习资料_解题秘籍(含解题模板)
压轴题05圆的综合(5题型+解题模板+技巧精讲)(解析版)_02中考总复习(2026版更新中)_02-数学-中考总复习_2024年中考复习资料_二轮复习资料_解题秘籍(含解题模板)
压轴题05圆的综合(5题型+解题模板+技巧精讲)(解析版)_02中考总复习(2026版更新中)_02-数学-中考总复习_2024年中考复习资料_二轮复习资料_解题秘籍(含解题模板)
压轴题05圆的综合(5题型+解题模板+技巧精讲)(解析版)_02中考总复习(2026版更新中)_02-数学-中考总复习_2024年中考复习资料_二轮复习资料_解题秘籍(含解题模板)
压轴题05圆的综合(5题型+解题模板+技巧精讲)(解析版)_02中考总复习(2026版更新中)_02-数学-中考总复习_2024年中考复习资料_二轮复习资料_解题秘籍(含解题模板)
压轴题05圆的综合(5题型+解题模板+技巧精讲)(解析版)_02中考总复习(2026版更新中)_02-数学-中考总复习_2024年中考复习资料_二轮复习资料_解题秘籍(含解题模板)
压轴题05圆的综合(5题型+解题模板+技巧精讲)(解析版)_02中考总复习(2026版更新中)_02-数学-中考总复习_2024年中考复习资料_二轮复习资料_解题秘籍(含解题模板)
压轴题05圆的综合(5题型+解题模板+技巧精讲)(解析版)_02中考总复习(2026版更新中)_02-数学-中考总复习_2024年中考复习资料_二轮复习资料_解题秘籍(含解题模板)
压轴题05圆的综合(5题型+解题模板+技巧精讲)(解析版)_02中考总复习(2026版更新中)_02-数学-中考总复习_2024年中考复习资料_二轮复习资料_解题秘籍(含解题模板)
压轴题05圆的综合(5题型+解题模板+技巧精讲)(解析版)_02中考总复习(2026版更新中)_02-数学-中考总复习_2024年中考复习资料_二轮复习资料_解题秘籍(含解题模板)
压轴题05圆的综合(5题型+解题模板+技巧精讲)(解析版)_02中考总复习(2026版更新中)_02-数学-中考总复习_2024年中考复习资料_二轮复习资料_解题秘籍(含解题模板)
压轴题05圆的综合(5题型+解题模板+技巧精讲)(解析版)_02中考总复习(2026版更新中)_02-数学-中考总复习_2024年中考复习资料_二轮复习资料_解题秘籍(含解题模板)
压轴题05圆的综合(5题型+解题模板+技巧精讲)(解析版)_02中考总复习(2026版更新中)_02-数学-中考总复习_2024年中考复习资料_二轮复习资料_解题秘籍(含解题模板)
压轴题05圆的综合(5题型+解题模板+技巧精讲)(解析版)_02中考总复习(2026版更新中)_02-数学-中考总复习_2024年中考复习资料_二轮复习资料_解题秘籍(含解题模板)
压轴题05圆的综合(5题型+解题模板+技巧精讲)(解析版)_02中考总复习(2026版更新中)_02-数学-中考总复习_2024年中考复习资料_二轮复习资料_解题秘籍(含解题模板)
压轴题05圆的综合(5题型+解题模板+技巧精讲)(解析版)_02中考总复习(2026版更新中)_02-数学-中考总复习_2024年中考复习资料_二轮复习资料_解题秘籍(含解题模板)
压轴题05圆的综合(5题型+解题模板+技巧精讲)(解析版)_02中考总复习(2026版更新中)_02-数学-中考总复习_2024年中考复习资料_二轮复习资料_解题秘籍(含解题模板)
压轴题05圆的综合(5题型+解题模板+技巧精讲)(解析版)_02中考总复习(2026版更新中)_02-数学-中考总复习_2024年中考复习资料_二轮复习资料_解题秘籍(含解题模板)
压轴题05圆的综合(5题型+解题模板+技巧精讲)(解析版)_02中考总复习(2026版更新中)_02-数学-中考总复习_2024年中考复习资料_二轮复习资料_解题秘籍(含解题模板)
压轴题05圆的综合(5题型+解题模板+技巧精讲)(解析版)_02中考总复习(2026版更新中)_02-数学-中考总复习_2024年中考复习资料_二轮复习资料_解题秘籍(含解题模板)
压轴题05圆的综合(5题型+解题模板+技巧精讲)(解析版)_02中考总复习(2026版更新中)_02-数学-中考总复习_2024年中考复习资料_二轮复习资料_解题秘籍(含解题模板)
压轴题05圆的综合(5题型+解题模板+技巧精讲)(解析版)_02中考总复习(2026版更新中)_02-数学-中考总复习_2024年中考复习资料_二轮复习资料_解题秘籍(含解题模板)
压轴题05圆的综合(5题型+解题模板+技巧精讲)(解析版)_02中考总复习(2026版更新中)_02-数学-中考总复习_2024年中考复习资料_二轮复习资料_解题秘籍(含解题模板)
压轴题05圆的综合(5题型+解题模板+技巧精讲)(解析版)_02中考总复习(2026版更新中)_02-数学-中考总复习_2024年中考复习资料_二轮复习资料_解题秘籍(含解题模板)
压轴题05圆的综合(5题型+解题模板+技巧精讲)(解析版)_02中考总复习(2026版更新中)_02-数学-中考总复习_2024年中考复习资料_二轮复习资料_解题秘籍(含解题模板)
压轴题05圆的综合(5题型+解题模板+技巧精讲)(解析版)_02中考总复习(2026版更新中)_02-数学-中考总复习_2024年中考复习资料_二轮复习资料_解题秘籍(含解题模板)
压轴题05圆的综合(5题型+解题模板+技巧精讲)(解析版)_02中考总复习(2026版更新中)_02-数学-中考总复习_2024年中考复习资料_二轮复习资料_解题秘籍(含解题模板)
压轴题05圆的综合(5题型+解题模板+技巧精讲)(解析版)_02中考总复习(2026版更新中)_02-数学-中考总复习_2024年中考复习资料_二轮复习资料_解题秘籍(含解题模板)
压轴题05圆的综合(5题型+解题模板+技巧精讲)(解析版)_02中考总复习(2026版更新中)_02-数学-中考总复习_2024年中考复习资料_二轮复习资料_解题秘籍(含解题模板)
压轴题05圆的综合(5题型+解题模板+技巧精讲)(解析版)_02中考总复习(2026版更新中)_02-数学-中考总复习_2024年中考复习资料_二轮复习资料_解题秘籍(含解题模板)
压轴题05圆的综合(5题型+解题模板+技巧精讲)(解析版)_02中考总复习(2026版更新中)_02-数学-中考总复习_2024年中考复习资料_二轮复习资料_解题秘籍(含解题模板)
压轴题05圆的综合(5题型+解题模板+技巧精讲)(解析版)_02中考总复习(2026版更新中)_02-数学-中考总复习_2024年中考复习资料_二轮复习资料_解题秘籍(含解题模板)
压轴题05圆的综合(5题型+解题模板+技巧精讲)(解析版)_02中考总复习(2026版更新中)_02-数学-中考总复习_2024年中考复习资料_二轮复习资料_解题秘籍(含解题模板)
压轴题05圆的综合(5题型+解题模板+技巧精讲)(解析版)_02中考总复习(2026版更新中)_02-数学-中考总复习_2024年中考复习资料_二轮复习资料_解题秘籍(含解题模板)
压轴题05圆的综合(5题型+解题模板+技巧精讲)(解析版)_02中考总复习(2026版更新中)_02-数学-中考总复习_2024年中考复习资料_二轮复习资料_解题秘籍(含解题模板)
压轴题05圆的综合(5题型+解题模板+技巧精讲)(解析版)_02中考总复习(2026版更新中)_02-数学-中考总复习_2024年中考复习资料_二轮复习资料_解题秘籍(含解题模板)
压轴题05圆的综合(5题型+解题模板+技巧精讲)(解析版)_02中考总复习(2026版更新中)_02-数学-中考总复习_2024年中考复习资料_二轮复习资料_解题秘籍(含解题模板)
压轴题05圆的综合(5题型+解题模板+技巧精讲)(解析版)_02中考总复习(2026版更新中)_02-数学-中考总复习_2024年中考复习资料_二轮复习资料_解题秘籍(含解题模板)
压轴题05圆的综合(5题型+解题模板+技巧精讲)(解析版)_02中考总复习(2026版更新中)_02-数学-中考总复习_2024年中考复习资料_二轮复习资料_解题秘籍(含解题模板)
压轴题05圆的综合(5题型+解题模板+技巧精讲)(解析版)_02中考总复习(2026版更新中)_02-数学-中考总复习_2024年中考复习资料_二轮复习资料_解题秘籍(含解题模板)
压轴题05圆的综合(5题型+解题模板+技巧精讲)(解析版)_02中考总复习(2026版更新中)_02-数学-中考总复习_2024年中考复习资料_二轮复习资料_解题秘籍(含解题模板)
压轴题05圆的综合(5题型+解题模板+技巧精讲)(解析版)_02中考总复习(2026版更新中)_02-数学-中考总复习_2024年中考复习资料_二轮复习资料_解题秘籍(含解题模板)
压轴题05圆的综合(5题型+解题模板+技巧精讲)(解析版)_02中考总复习(2026版更新中)_02-数学-中考总复习_2024年中考复习资料_二轮复习资料_解题秘籍(含解题模板)
压轴题05圆的综合(5题型+解题模板+技巧精讲)(解析版)_02中考总复习(2026版更新中)_02-数学-中考总复习_2024年中考复习资料_二轮复习资料_解题秘籍(含解题模板)
压轴题05圆的综合(5题型+解题模板+技巧精讲)(解析版)_02中考总复习(2026版更新中)_02-数学-中考总复习_2024年中考复习资料_二轮复习资料_解题秘籍(含解题模板)
压轴题05圆的综合(5题型+解题模板+技巧精讲)(解析版)_02中考总复习(2026版更新中)_02-数学-中考总复习_2024年中考复习资料_二轮复习资料_解题秘籍(含解题模板)

文档信息

文档格式
docx
文档大小
5.774 MB
文档页数
80 页
上传时间
2026-03-10 07:28:10

文档内容

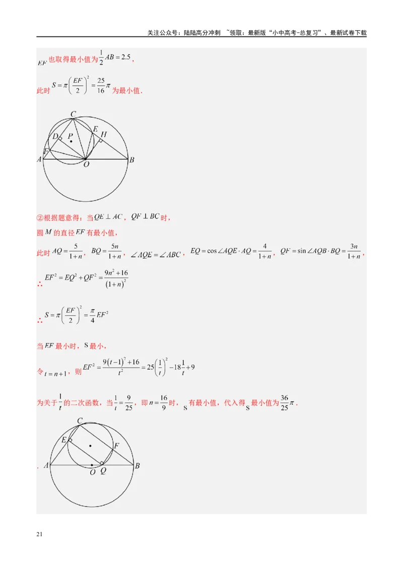
关注公众号:陆陆高分冲刺 ~领取:最新版“小中高考-总复习”、最新试卷下载 压轴题 05 圆的综合 目 录 题型一 切线的判定 题型二 圆中求线段长度 题型三 圆中的最值问题 题型四 圆中的阴影部分面积 题型五 圆中的比值(相似)问题 1关注公众号:陆陆高分冲刺 ~领取:最新版“小中高考-总复习”、最新试卷下载 题型解读: 下图为二次函数图象性质与几何问题中各题型的 考查热度. 圆的综合问题在中考中常常以选择题以及解答题 的形式出现,解答题居多且分值较大,难度较高.多 圆的综合 考查切线的性质与判定、圆中求线段长度问题和圆中 最值问题,一般会用到特殊三角形、特殊四边形、相 100% 似三角形、锐角三角函数、勾股定理、图形变换等相 80% 关知识点,以及数形结合、整体代入等数学思想.此类 题型常涉及以下问题:①切线的判定;②计算线段长 60% 及证明线段比例关系;③求三角函数值;④利用“辅 助圆”求最值.右图为圆的综合问题中各题型的考查热 40% 度. 20% 0% 题型一 题型二 题型三 题型四 题型五 题型一 切线的判定 解题模板: 2关注公众号:陆陆高分冲刺 ~领取:最新版“小中高考-总复习”、最新试卷下载 技巧:有切点,连半径,证垂直(根据题意,可以证角为90°,如已有90°角,可以尝试证平行) 没切点,作垂直,证半径(通常为证全等,也可以通过计算得到与半径相等) 【例1】1.(2023-四川攀枝花-中考真题)如图, 为 的直径,如果圆上的点 恰使 , 求证:直线 与 相切. 【答案】见详解 【分析】由等腰三角形的性质和圆周角定理得出 ,则 ,再由切线的判定即 可得出结论. 【详解】证明:如图,连接 , , , 为 的直径, , , , , 即 , , 是 的半径, 直线 与 相切. 3关注公众号:陆陆高分冲刺 ~领取:最新版“小中高考-总复习”、最新试卷下载 【点睛】本题考查了切线的判定、圆周角定理、直角三角形的性质、等腰三角形的性质等知识;熟练掌握 圆周角定理和切线的判定是解题的关键. 【变式1-1】(2023-辽宁-中考真题)如图, 内接于 , 是 的直径, 平分 交 于点E,过点E作 ,交 的延长线于点F. 求证: 与 相切; 【分析】连接 ,由 是 的直径可得 ,进而可得 ,再根据圆周 角定理可得 ,进而可证 , ,即可证明 与 相切; 【详解】证明:如图,连接 , 是 的直径, , 平分 交 于点E, 4关注公众号:陆陆高分冲刺 ~领取:最新版“小中高考-总复习”、最新试卷下载 , , , , , 是 的半径, 与 相切; 【点睛】本题考查切线的判定,圆周角定理,弧长公式,等边三角形的判定与性质等,熟练应用圆周角定 理是解题的关键. 【变式1-2】(2023-辽宁-中考真题)如图, 是 的直径,点 在 上, ,点 在线段 的延长线上,且 . (1)求证:EF与 相切; (2)若 ,求 的长. 【分析】利用圆周角定理得到 ,结合已知推出 ,再证明 ,推 出 ,即可证明结论成立; 【详解】证明:连接 , ∵ ,∴ , 5关注公众号:陆陆高分冲刺 ~领取:最新版“小中高考-总复习”、最新试卷下载 ∵ , ∴ , ∵ 是 的直径, ∴ , ∵ , ∴ , ∴ , ∵ 为 半径, ∴EF与 相切; 【点睛】本题考查了圆的切线的判定、圆周角定理、解直角三角形以及相似三角形的判定和性质等知识, 熟练掌握圆的相关知识和相似三角形的判定和性质是解题的关键. 【变式1-3】(2023-湖北鄂州-中考真题)如图, 为 的直径,E为 上一点,点C为 的中点, 过点C作 ,交 的延长线于点D,延长 交 的延长线于点F. (1)求证: 是 的切线; 【分析】连接 ,根据弦、弧、圆周角的关系可证 ,根据圆的性质得 , 证明 ,得到 ,根据切线的判定定理证明; 【详解】证明:连接 , 6关注公众号:陆陆高分冲刺 ~领取:最新版“小中高考-总复习”、最新试卷下载 ∵点C为 的中点, ∴ , ∴ , ∵ , ∴ ∴ ∴ , ∴ , ∵ 为半径, ∴ 为 切线; 【点睛】本题考查了切线的判定和性质,勾股定理,相似三角形的判定和性质,正确地作出辅助线是解题 的关键. 题型二 圆中求线段长度 解题模板: 【例2】(2023-西藏-中考真题)如图,已知 为 的直径,点C为圆上一点, 垂直于过点C的直 线,交 于点E,垂足为点D, 平分 . 7关注公众号:陆陆高分冲刺 ~领取:最新版“小中高考-总复习”、最新试卷下载 (1)求证: 是 的切线; (2)若 , ,求 的长. 【答案】(1)见详解 (2) 【分析】(1)连接 ,根据角平分线的定义有 ,根据圆周角定理有 , 可得 ,进而有 ,进而可得 ,则有半径 ,问 题得证; (2)连接 , , ,利用勾股定理可得 ,进而有 , ,根据 ,即 ,进而可得 ,根据四边形 内接于 ,可得 ,即 ,再在 中,可得 . 【详解】(1)连接 ,如图, ∵ 平分 , 8关注公众号:陆陆高分冲刺 ~领取:最新版“小中高考-总复习”、最新试卷下载 ∴ , ∵ , ∴ , ∴ , ∴ , ∵ , ∴ , ∴ , ∴ , ∴ 是 的切线; (2)连接 , , ,如图, ∵ 为 的直径, ∴ , ∵ , , ∴在 中, , ∴ , , ∵ 平分 , ∴ ,即 , ∵在 中, , ∴ , ∵四边形 内接于 , ∴ ,即 , 9关注公众号:陆陆高分冲刺 ~领取:最新版“小中高考-总复习”、最新试卷下载 ∵在 中, , ∴ . 【点睛】本题主要考查了切线的判定,解直角三角形,圆内接四边形的性质以及圆周角定理等知识,灵活 运用解直角三角形,是解答本题的关键. 【变式2-1】(2023-内蒙古-中考真题)如图, 是⊙ 的直径, 为⊙ 上的一点,点 是 的中点, 连接 ,过点 的直线垂直于 的延长线于点 ,交 的延长线于点 . (1)求证: 为⊙ 的切线; (2)若 , ,求 的长. 【答案】(1)见解析 (2) 【分析】(1)连接 ,根据点 是 的中点可得 ,进而证 ,从而得证 即可; (2)解法一:连接 交 于 ,根据 及勾股定理求出 ,再证明 ,从而得 到 ,即可求出 的值;解法二:过点 作 于点 ,按照解法一步骤求出 ,然后 证明四边形 是矩形,再证明 ,求得 ,进而求出 的值. 【详解】(1)证明:连接 , , , 10关注公众号:陆陆高分冲刺 ~领取:最新版“小中高考-总复习”、最新试卷下载 点 是 的中点, , , , , , , , , 是半径, 是 的切线; (2)解法一:连接 交 于 , , , , , , 在 中 , , 或 (不符合题意,舍去), 点 是 的中点, 是半径, 垂直平分 , , 11关注公众号:陆陆高分冲刺 ~领取:最新版“小中高考-总复习”、最新试卷下载 是 的中位线, , 是直径, , , , , ; 解法二:过点 作 于点 , , , , , , , , 在 中, , , 或 (不符合题意,舍去), , 四边形 是矩形, , 12关注公众号:陆陆高分冲刺 ~领取:最新版“小中高考-总复习”、最新试卷下载 , , , , , , . 【点睛】本题考查切线的判定,圆的相关性质,勾股定理,平行线间线段成比例,相似三角形的的判定与 性质,掌握并理解相关性质定理并能综合应用是关键. 【变式2-2】(2023-辽宁大连-中考真题)如图1,在 中, 为 的直径,点 为 上一点, 为 的平分线交 于点 ,连接 交 于点E. (1)求 的度数; (2)如图2,过点A作 的切线交 延长线于点 ,过点 作 交 于点 .若 , ,求 的长. 【答案】(1) 13关注公众号:陆陆高分冲刺 ~领取:最新版“小中高考-总复习”、最新试卷下载 (2) 【分析】(1)根据圆周角定理证得两直线平行,再根据平行线的性质即可得到结论; (2)由勾股定理得到边的关系,求出线段的长,再利用等面积法求解即可. 【详解】(1)解: 为 的直径, , 为 的平分线, , , , , , , , ; (2)解:连接 , 设 , 则 , , , 为 的直径, , 在 中, , 由(1)得, , , 14关注公众号:陆陆高分冲刺 ~领取:最新版“小中高考-总复习”、最新试卷下载 , , , , 解得 或 (不合题意舍去), , , 是 的切线, , , , , . 【点睛】本题考查了圆周角定理,勾股定理,切线的性质,解一元二次方程,熟练掌握圆周角定理和勾股 定理是解题的关键. 【变式2-3】(2023-湖北恩施-中考真题)如图, 是等腰直角三角形, ,点O为 的中 点,连接 交 于点E, 与 相切于点D. (1)求证: 是 的切线; (2)延长 交 于点G,连接 交 于点F,若 ,求 的长. 【答案】(1)见解析 15关注公众号:陆陆高分冲刺 ~领取:最新版“小中高考-总复习”、最新试卷下载 (2) 【分析】(1)连接 ,过点O作 于点P,根据等腰三角形的性质得到 , 推出 ,即可得到结论; (2)根据等腰直角三角形的性质求出 , 的长,勾股定理求出 ,连接 ,过O作 于 点H,利用面积法求出 ,勾股定理求出 ,即可根据等腰三角形的性质求出 的长. 【详解】(1)证明:连接 ,过点O作 于点P, ∵ 与 相切于点D. ∴ , ∵ 是等腰直角三角形, ,点O为 的中点, ∴ , ∴ ,即 是 的半径, ∴ 是 的切线; (2)解:∵ , , , ∴ , , ∵点O为 的中点, ∴ , ∵ ∴ , 在 中, 16关注公众号:陆陆高分冲刺 ~领取:最新版“小中高考-总复习”、最新试卷下载 连接 ,过O作 于点H, ∴ , ∴ ∵ , ∴ . 【点睛】此题考查了判定直线是圆的切线,切线的性质定理,等腰直角三角形的性质,勾股定理,正确掌 握各知识点是解题的关键. 题型三 圆中的最值问题 解题模板: 技巧精讲: 17关注公众号:陆陆高分冲刺 ~领取:最新版“小中高考-总复习”、最新试卷下载 1、辅助圆模型 18关注公众号:陆陆高分冲刺 ~领取:最新版“小中高考-总复习”、最新试卷下载 【例3】(2023-湖南长沙-三模)如图1:在 中, 为直径,C是 上一点, .过O分 别作 于点H, 于点D,点E、F分别在线段 上运动(不含端点),且保持 . (1) ______;四边形 是______(填矩形/菱形/正方形); ______; (2)当F和D不重合时,求证: ; (3)①在图1中, 是 的外接圆,设 面积为S,求S的最小值,并说明理由; ②如图2:若Q是线段 上一动点,且 , , 是四边形 的外接圆,则 当n为何值时, 的面积最小?最小值为多少?请直接写出答案. 【答案】(1)2.5;矩形;3; (2)见解析 (3)① ,理由见解析;② 时, 有最小值 . 【分析】(1)根据圆周角定理及勾股定理得出 ,再由直角三角形斜边中线的性质得出 ;利 用矩形的判定得出四边形 的形状,再由相似三角形的判定和性质及矩形的面积求法即可得出结果; (2)由圆周角定理及等量代换得出 ,再由相似三角形的判定即可证明; (3)①由(2)得 , ,确定圆 经过 、 、 、 ,即为 的外接圆,且 为直径,由(1)得出 取得最小值为 ,利用圆的面积求解即可;②根据题意得:当 , 时,圆 的直径 有最小值,再由三角函数得出 , ,利用勾 19关注公众号:陆陆高分冲刺 ~领取:最新版“小中高考-总复习”、最新试卷下载 股定理及二次函数的性质求解即可. 【详解】(1)解:∵ 为直径, ∴ , ∵ , ∴ , ∴ ; ∵ , , , ∴四边形 是矩形; ∵ , , ∴ , ∴ , ∴ , ∴ , 同理得 , ∴ ; 故答案为: ;矩形;3; (2)证明:∵ , , ∴ , 又 为直径, ∴ , ∴ , 即 , ∴ , ∴ . (3)①如图,∵ , , ∴圆 经过 、 、 、 ,即为 的外接圆,且 为直径 ∴当 最小时,圆 的面积S有最小值, 当 和 重合、 和 重合时, 由(1)得 , 取得最小值, 20关注公众号:陆陆高分冲刺 ~领取:最新版“小中高考-总复习”、最新试卷下载 也取得最小值为 , 此时 为最小值. ②根据题意得:当 , 时, 圆 的直径 有最小值, 此时 , , , , , ∴ ∴ 当 最小时, 最小, 令 ,则 为关于 的二次函数,当 ,即 时, 有最小值,代入得 最小值为 . . 21关注公众号:陆陆高分冲刺 ~领取:最新版“小中高考-总复习”、最新试卷下载 【点睛】题目主要考查圆与四边形综合问题,包括圆周角定理,矩形的判定和性质,内接三角形和四边形, 解直角三角形等,理解题意,作出相应辅助线求解是解题关键. 【变式3-1】(2023-安徽-模拟预测)如图,半圆的直径 ,弦 ,连接 . (1)求证: ; (2)当 的面积最大时,求 的度数. 【答案】(1)证明见解析 (2) 【分析】(1)根据平行线的性质可得 ,从而可得 ,然后根据同圆或等圆中弧、 弦、圆周角的关系可得 ,从而用边边边定理证明三角形全等; (2)连接 ,过点 作 ,垂足为点 ,通过分析当且仅当 时取等号时 有 最大值为2,分析求解. 【详解】(1)证明: , , ,即 , . 又 . (2)解:连接 ,过点 作 ,垂足为点 . 22关注公众号:陆陆高分冲刺 ~领取:最新版“小中高考-总复习”、最新试卷下载 . , ∴ . ,当且仅当 时取等号, 此时 最大值 , ∴ . 【点睛】本题考查全等三角形的判定和性质,同圆或等圆中弧、弦、圆周角的关系,解题的关键是根据图 形题意,准确添加辅助线. 【变式3-2】(2023-四川-中考真题)如图1,已知线段 , ,线段 绕点 在直线 上方旋转, 连接 ,以 为边在 上方作 ,且 . (1)若 ,以 为边在 上方作 ,且 , ,连接 ,用等式表 示线段 与 的数量关系是 ; (2)如图2,在(1)的条件下,若 , , ,求 的长; (3)如图3,若 , , ,当 的值最大时,求此时 的值. 【答案】(1) (2) (3) 23关注公众号:陆陆高分冲刺 ~领取:最新版“小中高考-总复习”、最新试卷下载 【分析】(1)在 中, , ,且 , ,可得 ,根据相似三角形的性质得出 , ,进而证明 ,根 据相似三角形的性质即可求解; (2)延长 交 于点 ,如图所示,在 中,求得 ,进而求得 的长,根据(1)的结 论,得出 ,在 中,勾股定理求得 ,进而根据 ,即可求解. (3)如图所示,以 为边在 上方作 ,且 , ,连接 , , ,同(1)可得 ,进而得出 在以 为圆心, 为半径的圆上运动,当点 三 点共线时, 的值最大,进而求得 , ,根据 得出 ,过点 作 ,于点 ,分别求得 ,然后求得 ,最后根据正切的定义即可 求解. 【详解】(1)解:在 中, , ,且 , , ∴ , , ∴ , , ∴ ∴ ∴ , 故答案为: . (2)∵ ,且 , , ∴ , , 延长 交 于点 ,如图所示, 24关注公众号:陆陆高分冲刺 ~领取:最新版“小中高考-总复习”、最新试卷下载 ∵ , ∴ , ∴在 中, , , ∴ , 由(1)可得 , ∴ , ∴ , 在 中, , ∵ , ∴ , ∴ , ∴ ; (3)解:如图所示,以 为边在 上方作 ,且 , ,连接 , , , 同(1)可得 则 , 25关注公众号:陆陆高分冲刺 ~领取:最新版“小中高考-总复习”、最新试卷下载 ∵ ,则 , 在 中, , , ∴ 在以 为圆心, 为半径的圆上运动, ∴当点 三点共线时, 的值最大,此时如图所示,则 , 在 中, ∴ , , ∵ , ∴ , 过点 作 ,于点 , ∴ , , ∵ , ∴ , ∴ , 中, . 【点睛】本题考查了相似三角形的性质与判定,勾股定理,解直角三角形,正切的定义,求圆外一点到圆 26关注公众号:陆陆高分冲刺 ~领取:最新版“小中高考-总复习”、最新试卷下载 的距离的最值问题,熟练掌握相似三角形的性质与判定是解题的关键. 【变式3-3】(2023-陕西西安-模拟预测)【问题情境】 如图 ,在 中, , , ,则 的外接圆的半径值为______; 【问题解决】 如图 ,点 为正方形 内一点,且 ,若 ,求 的最小值; 【问题解决】 如图 ,正方形 是一个边长为 的书展区域设计图, 为大门,点 在边 上, , 点 是正方形 内设立的一个活动治安点,到 、 的张角为 ,即 ,点 、 为另 两个固定治安点,现需在展览区域内部设置一个补水供给点 ,使得 到 、 、 三个治安点的距离和 最小,试求 的最小值.(结果精确到 ,参考数据 , ) 【答案】( ) ;( ) ;( ) . 【分析】( )作出三角形的外接圆 ,证明 是等边三角形,利用三线合一性质计算即可; ( )点 在以 为直径的圆上,根据圆心, , , 三点一线时 最小,计算即可; ( )如图 ,设 所在圆的圆心为点 ,根据( )可得 所在圆的半径,以点 为旋转中心,将 顺时针旋转 ,得到 ,当 , , , , 共线时, 最小,构造直角三角形求解 即可. 【详解】( )如图 ,作 的外接圆 ,作直径 ,连接 , ∵ , ∴ , , ∵ , ∴ 是等边三角形, 27关注公众号:陆陆高分冲刺 ~领取:最新版“小中高考-总复习”、最新试卷下载 ∴ , 设 与 交于点 , , 在直角三角形 中, ∵ , ∴ , ∴ , ∴ , 故答案为: ; ( )如图2,∵ , ∴点 在以 为直径的圆上,设圆心为点 , 则 , 28关注公众号:陆陆高分冲刺 ~领取:最新版“小中高考-总复习”、最新试卷下载 ∴ , , 三点一线时 最小, 在直角三角形 中, , ∵ , AP的最小值为: ; ( )如图 ,设 所在圆的圆心为点 ,根据( )可得 所在圆的半径为 ,以点 为 旋转中心,将 顺时针旋转 ,得到 ,当 , , , , 共线时, 最小, 过点 作 ,交 的延长线于点 ,连接 ,则 是等边三角形,过点 作 ,垂 足为 ,交 于点 ,连接 , ∵四边形 是正方形, ∴ , ∴ , ∵ , 29关注公众号:陆陆高分冲刺 ~领取:最新版“小中高考-总复习”、最新试卷下载 ∴ , ∴ , ∵ , , ∴ 是等边三角形,且 , , ∴ , ∴ , , ∴ , , ∴ , ∴ 最小为 . 【点睛】此题考查了外接圆的直径,圆中的最值计算,计算三线段和的最小值,旋转的思想,正方形的性 质,三角函数,正确构造辅助圆,准确构造费马点,灵活运用三角函数是解题的关键. 题型四 圆中的阴影部分面积 技巧精讲: 30关注公众号:陆陆高分冲刺 ~领取:最新版“小中高考-总复习”、最新试卷下载 【例4】(2024-西藏拉萨-一模)如图,等腰 的顶点A,C 在 上, 边经过圆心0且与 交于D 点, . (1)求证: 是 的切线; (2)若 ,求阴影部分的面积 【答案】(1)见解析; (2) 【分析】(1)连接 ,由 , ,可得 ,由 ,可得 ,即 可求证; (2)在 中,利用勾股定理可求得 ,再根据 ,即可求解. 【详解】(1)证明:连接 , 31关注公众号:陆陆高分冲刺 ~领取:最新版“小中高考-总复习”、最新试卷下载 ∵ , ∴ , , ∵ , ∴ , ∴ , ∵ 是 的半径, ∴ 是圆O的切线. (2)解:∵ , , ∴ ∵ , ∴ ∴ ∴ . 【点睛】此题主要考查切线的判定定理、直角三角形的性质、勾股定理、扇形的面积公式,熟练掌握切线 的判定定理是解题的关键. 【变式4-1】(2023-陕西西安-一模)如图,正六边形 内接于 . (1)若P是 上的动点,连接 , ,求 的度数; (2)已知 的面积为 ,求 的面积. 32关注公众号:陆陆高分冲刺 ~领取:最新版“小中高考-总复习”、最新试卷下载 【答案】(1) (2) 【分析】此题考查了圆内解正六边形问题,解题的关键是掌握圆内解正六边形的性质及弦和圆周角之间的 关系. ( )在 取一点 ,连接 ,利用弦和圆周角的关系即可求出 的值; ( )证明 是等边三角形,利用三角函数求出 , ,再根据 的面积为 求出圆的半径,即可求出面积. 【详解】(1)如图所示,在 取一点 ,连接 , ∵六边形 是正六边形, ∴ , , ∴ , ∵ , ∴ , ∴ ; (2)∵ , , ∴ 是等边三角形, ∴ ; ∴ , , 33关注公众号:陆陆高分冲刺 ~领取:最新版“小中高考-总复习”、最新试卷下载 ∴ , ∴ , 即 的半径为 . 面积为: 【变式4-2】(2023-浙江衢州-中考真题)如图,在 中, 为 边上一点,连结 .以 为半径的半圆与 边相切于点 ,交 边于点 . (1)求证: . (2)若 . ①求半圆 的半径. ②求图中阴影部分的面积. 【答案】(1)见解析 (2)①2;② 【分析】(1)根据切线长定理可直接得出结论; (2)①证明 ,可得 ,根据含 直角三角形的性质求 出 ,可得 ,然后可得答案; ②利用勾股定理求出 ,然后根据 列式计算即可. 【详解】(1)证明: ,点 在圆 上, 是圆 的切线, 是圆 的切线, ; (2)解:①如图,连结 . 34关注公众号:陆陆高分冲刺 ~领取:最新版“小中高考-总复习”、最新试卷下载 ∵ , ∴ . ∵ , , . . . , . ∴在 中, . , , , ∴半圆 的半径为2; ② 在 中, . , . , , ∴ . 【点睛】本题考查了切线的判定,切线长定理,全等三角形的判定和性质,含 直角三角形的性质,勾 股定理,扇形面积计算等知识,熟练掌握相关判定定理和性质定理是解题的关键. 35关注公众号:陆陆高分冲刺 ~领取:最新版“小中高考-总复习”、最新试卷下载 【变式4-3】(2023-辽宁阜新-中考真题)如图, 是 的直径,点C,D是 上 异侧的两点, ,交 的延长线于点E,且 平分 . (1)求证: 是 的切线. (2)若 , ,求图中阴影部分的面积. 【答案】(1)见解析 (2) 【分析】(1)连接 ,根据 ,得出 .根据 平分 ,得出 ,则 .根据 得出 ,进而得出 ,即可求证; (3)连接 ,过点O作 于点F,通过证明 为等边三角形,得出 , .求出 .最后根据 即可求解. 【详解】(1)解:连接 , ∵ , ∴ . ∵ 平分 , ∴ , ∴ . ∵ , ∴ , ∴ ,即 , ∴ 是 的切线. (2)解:连接 ,过点O作 于点F, 36关注公众号:陆陆高分冲刺 ~领取:最新版“小中高考-总复习”、最新试卷下载 ∵ , ∴ . ∵ , , ∴ 为等边三角形, ∴ , . ∵ , , , ∴ . ∴ . 【点睛】本题主要考查了切线的判定,等边三角形的判定和性质,解直角三角形,求扇形面积,解题的关 键是掌握经过半径外端切垂直于半径的直线是圆的切线;扇形面积公式 . 【变式4-3】(2023-山东枣庄-中考真题)如图, 为 的直径,点C是 的中点,过点C做射线 的垂线,垂足为E. (1)求证: 是 切线; (2)若 ,求 的长; (3)在(2)的条件下,求阴影部分的面积(用含有 的式子表示). 37关注公众号:陆陆高分冲刺 ~领取:最新版“小中高考-总复习”、最新试卷下载 【答案】(1)见解析; (2) ; (3) 【分析】(1)连接OC,证明 ,即可得到结论; (2)连接AC,证明 ,从而可得 ,再代入求值即可; (2)连接 ,证明 ,从而可得 ,,求出扇形 的面积即可得到阴影部分 的面积. 【详解】(1)证明:连接 , ∵点C是 的中点,, ∴ , ∴ , ∵ , ∴ , ∴ , ∴ , ∵ , ∴半径 , ∴ 是 切线; (2)连接 , 38关注公众号:陆陆高分冲刺 ~领取:最新版“小中高考-总复习”、最新试卷下载 ∵ 是 的直径, ∴ , ∴ , ∵ , ∴ , ∴ , ∴ , ∴ ; (3)连接 , ∵ , ∴ , ∵在 中, , ∴ , ∴ , ∴ , 39关注公众号:陆陆高分冲刺 ~领取:最新版“小中高考-总复习”、最新试卷下载 ∴ , ∵ , ∴ 是等边三角形, ∴ , ∴ , ∴ , ∴ , ∴ , 【点睛】本题主要考查了相似三角形的性质及判定、切线的判定以及扇形面积的求法,熟练掌握切线的判 定定理以及扇形面积的求法是解答此题的关键. 题型五 圆中的比值(相似)问题 技巧精讲: 【例5】(2024-陕西西安-模拟预测)如图, 为 的直径, 点 D为 上一点, 过点 B作 切线 交 延长线于点 C, 平分 , 交于F. 40关注公众号:陆陆高分冲刺 ~领取:最新版“小中高考-总复习”、最新试卷下载 (1)求证: ; (2)若 半径为2, ,求 的长度. 【答案】(1)证明见解析 (2) 【分析】(1)由直径所对的圆周角是直角得到 ,则 ,由切线的 性质得到 ,则 ,由角平分线的定义得到 ,据此可证明 ,则 ; (2)过点E作 于H,由角平分线的性质得到 ,解 得到 ,设 ,由勾股定理得 ,解得 (负值舍去),则 ,根据 ,求出 ,解 得到 ,则 . 【详解】(1)证明:∵ 为 的直径, ∴ , ∴ , ∵ 是 的切线, ∴ , ∴ , ∵ 平分 , ∴ , ∴ , 又∵ , 41关注公众号:陆陆高分冲刺 ~领取:最新版“小中高考-总复习”、最新试卷下载 ∴ , ∴ ; (2)解;如图所示,过点E作 于H, ∵ 平分 , , ∴ , ∵ 半径为2, ∴ , 在 中, , 设 , 由勾股定理得 , ∴ , 解得 (负值舍去), ∴ , ∵ , ∴ , ∴ , ∴ , 在 中, , ∴ . 【点睛】本题主要考查了切线的性质,解直角三角形,直径所对的圆周角是直角,勾股定理,角平分线的 42关注公众号:陆陆高分冲刺 ~领取:最新版“小中高考-总复习”、最新试卷下载 性质,等角对等边等等,正确作出辅助线构造直角三角形是解题的关键. 【变式5-1】(2023-湖南湘西-二模)如图, 是 的直径,点 , 在 上, 平分 ,交 于点 ,连接 . (1)求证: . (2)当 ,且 时,求线段 的长. (3)点 为线段 上一点,且 平分 ,若 , ,求 的长. 【答案】(1)见解析 (2) (3) 【分析】(1)根据角平分线的定义,与圆周角定理得 ,进而结合公共角便可证明 ; (2)由 ,得出 与 的数量关系,再由勾股定理求得 、 ,过 作 于 , 在 中由勾股定理求得 、 、 ,进而求得 ,再证 ,由相似比求得结果; (3)由 平分 , 平分 ,得 ,进而求得 、 的长度,由 求得 ,再由 便可求得结果. 【详解】(1)证明: 平分 , , , , , ; 43关注公众号:陆陆高分冲刺 ~领取:最新版“小中高考-总复习”、最新试卷下载 (2)解: 为直径, , , , 设 ,则 , , ,解得 , , , 过 点作 于点 ,如图所示: 平分 , , , , , , 设 ,则 , , ,解得 , , , , , , , 44关注公众号:陆陆高分冲刺 ~领取:最新版“小中高考-总复习”、最新试卷下载 ,即 , ; (3)解: 平分 , 平分 , , , , , , , ,即 ,则 , , , , ,即 , . 【点睛】本题主要考查了圆的基本性质,相似三角形的性质与判定,角平分线的性质,勾股定理的应用, 解直角三角形的应用,关键在于运用相似三角形解决问题. 【变式5-2】(2024-陕西西安-一模)如图, 是 的直径 与 相切于点C,与 的延长线交于 点D,连接 ,点E在线段 上,过点E作 的垂线交 的延长线于点F,交 于点G. 45关注公众号:陆陆高分冲刺 ~领取:最新版“小中高考-总复习”、最新试卷下载 (1)求证: ; (2)若 ,点E为 的中点,求 的长. 【答案】(1)证明见解析 (2) 【分析】(1)连接 ,则 ,由切线知 ,而 ,所以 ,再证 ,所以 ; (2)如图,连接 ,由已知得 , ,由 是直径得 ,进一步结 合切线的性质,证得 ,从而 ,所以 ,可求 , 进一步求得 ,再证 ,所以 ,进一步求得 . 【详解】(1)证明:连接 ,如图所示, ∵ , ∴ , 46关注公众号:陆陆高分冲刺 ~领取:最新版“小中高考-总复习”、最新试卷下载 ∵ 与 相切于点C, ∴ , ∵ , ∴ , ∴ , ∵ , ∴ , ∴ , ∴ ; (2)如图,连接 , ∵ , ∴ , , ∵点E为 的中点, ∴ , ∵ 是直径, ∴ , 47关注公众号:陆陆高分冲刺 ~领取:最新版“小中高考-总复习”、最新试卷下载 ∴ , ∵ , ∴ , ∴ , 又∵ , ∴ , ∴ , ∴ , ∴ , ∴ , ∵ , ∴ , ∴ , ∴ . 【点睛】本题主要考查圆周角定理及推论、切线的性质、等腰三角形的判定、相似三角形的判定和性质; 能够灵活运用相关定理求证等角,证明相似三角形是解题的关键. 【变式5-3】(2024-陕西西安-一模)如图, 是 的直径,点 在直径 上( 与 不重合), 且 ,连接 ,与 交于点 ,在 上取一点 ,使 与 相切. (1)求证: ; (2)若 是 的中点, ,求 的长. 48关注公众号:陆陆高分冲刺 ~领取:最新版“小中高考-总复习”、最新试卷下载 【答案】(1)见解析; (2) . 【分析】(1)本题连接 ,根据切线的性质得到 ,由直角三角形性质得到 ,根据等腰三角形性质得到 ,推出 ,再根据等腰三角形性质 即可证明 ; (2)连接 ,利用圆周角定理,证明 ,推出 ,再根据线段中点的性质,以及勾 股定理求出 、 ,将 、 的值代入 中求解,即可解题. 【详解】(1)解:连接 , 与 相切, , , , , , , , ; (2)解:连接 , 49关注公众号:陆陆高分冲刺 ~领取:最新版“小中高考-总复习”、最新试卷下载 是 的直径, , , , , 是 的中点, , , , , ,解得 . 【点睛】本题考查了切线的性质、等腰三角形性质和判定、相似三角形性质和判定、圆周角定理、线段中 点的性质、勾股定理,熟练掌握相关性质定理并灵活运用,即可解题. 一、解答题 1.(2024-云南-模拟预测)如图,四边形 内接于 ,对角线 是 的直径,过点 作 的 垂线交 的延长线于点 , 为 的中点,连接 , , 与 交于点 . 50关注公众号:陆陆高分冲刺 ~领取:最新版“小中高考-总复习”、最新试卷下载 (1)求证: 是 的切线; (2)若 , ,求 的长. 【答案】(1)见解析 (2)4 【分析】本题是圆的综合题,考查了切线的判定,垂径定理,等腰三角形的性质,勾股定理等知识, (1)由圆周角定理得出 ,利用直角三角形的性质结合等腰三角形的性质得出 ,进而得出答案; (2)过点O作 于点G,由垂径定理可得 ,利用 ,可求半径为2,即可求 解. 【详解】(1)证明:如图,连接 . 是 的直径, . . 是 的中点, . . , . , . ,即 . 是 的切线; (2)解:如图,过点O作 于点G. 由垂径定理,得 . 51关注公众号:陆陆高分冲刺 ~领取:最新版“小中高考-总复习”、最新试卷下载 设 ,则 , . , , 整理,得 ,即 . , . ,即 的半径为2. . 2.(2024-湖北黄冈-模拟预测)如图, 平分 , 与⊙O相切于点 ,延长 交 于点 , 过点 作 ,垂足为 . (1)求证: 是⊙O的切线; (2)若⊙O的半径为4, ,求 的长. 【答案】(1)见解析 (2)12 【分析】由切线的性质得 ,而 平分 , ,所以 ,则点 在⊙O上,即 可证明 是⊙O的切线. 由 , ,得 , ,由 ,得 即可. 【详解】(1)证明: 与⊙O相切于点 ,且 是⊙O的半径, , 平分 , 于点 , 于点 , , 52关注公众号:陆陆高分冲刺 ~领取:最新版“小中高考-总复习”、最新试卷下载 点 在⊙O上, 是⊙O的半径,且 , 是⊙O的切线. (2)解: , , , , , , , 的长是12. 【点睛】本题重点考查切线的性质定理、角平分线的性质、勾股定理、锐角三角函数与解直角三角形等知 识,根据角平分线的性质证明 是解题的关键. 3.(2024-江苏淮安-模拟预测)如图,已知直线l与 相离, 于点A,交 于点 P,点 B 是 上一点,连接 并延长,交直线l于点 C,使得 . (1)判断直线 与 的位置关系并说明理由; (2) 求线段 的长. 【答案】(1)直线 是 的切线; (2) 【分析】此题考查了切线的判定定理,相似三角形的判定和性质,勾股定理,熟练掌握各定理是解题的关 53关注公众号:陆陆高分冲刺 ~领取:最新版“小中高考-总复习”、最新试卷下载 键, (1)连接 ,根据 得到 ,由 得到 ,由此推出 ,得到 ,即 ,即可推出直线 是 的切线; (2)过点O作 于点H,如图,则 ,设 的半径为r,则 ,根据 勾股定理得到 ,求出r,再根据相似三角形的性质即可得到结论. 【详解】(1)直线 是 的切线,理由如下: 连接 ,如图, ∵ , ∴ , ∵ , ∴ , ∴ , ∵ , ∴ ∵ , ∴ , ∴ , ∴ 即 , ∵ 是 的半径, ∴直线 是 的切线; (2)过点O作 于点H,如图,则 , 54关注公众号:陆陆高分冲刺 ~领取:最新版“小中高考-总复习”、最新试卷下载 设 的半径为r,则 , 在 中, , 在 中, , ∴ , ∴ , 解得 , ∴ , , ∵ , ∴ , ∴ , ∴ ,解得 , ∴ 4.(2024-四川凉山-模拟预测)如图, 是 的直径,点P是 延长线上一点,且 与 相切于 点A,弦 于点F,过D点作 于点E. (1)求证: ; (2)若 , ,求 的半径和 的长. 55关注公众号:陆陆高分冲刺 ~领取:最新版“小中高考-总复习”、最新试卷下载 【答案】(1)见解析 (2) 的半径为3, 的长为 【分析】本题主要考查了切线的性质、勾股定理、等腰三角形的性质、角平分线的性质, (1)连接 ,根据 是 半径, 是 的切线得 , , 即 ,根据 于F得 ,则 ,根据 得 ,即可得; (2)在 中,设 ,则 , ,由勾股定理可得 ,即 ,解得 ,则 , ,根据 于F,得 , ,可得 ,在 中, , ,由勾股定理得 ,即可得 ,根据 平分 , , 得 ; 掌握切线的性质,等边对等角,勾股定理,角平分线的性质是解题的关键. 【详解】(1)证明:如图所示,连接 , ∵ 是 半径, 是 的切线, ∴ , ∴ , 即∴ , ∵ 于F, ∴ , ∴ , 56关注公众号:陆陆高分冲刺 ~领取:最新版“小中高考-总复习”、最新试卷下载 ∵ , ∴ , ∴ ; (2)解:在 中,设 , ∴ , , 由勾股定理可得: , 即 , 得 , ∴ , , ∵ 于F, ∴ , , ∴ , 在 中, , ,由勾股定理得: , ∴ , ∵ 平分 , , , ∴ , ∴ 的半径为3, 的长为 . 5.(2024-四川凉山-模拟预测)如图,在 中, ,以 为直径的 交 于点D, E为 的中点,连接 并延长交 的延长线于点F. 57关注公众号:陆陆高分冲刺 ~领取:最新版“小中高考-总复习”、最新试卷下载 (1)求证: 是 的切线; (2)若 , ,求 长. 【答案】(1)见解析 (2) 【分析】(1)连接 , ,结合圆周角定理和直角三角形斜边中线等于斜边的一半求得 ,从 而可得 ,然后根据切线的判定定理分析证明; (2)结合含 的直角三角形性质及勾股定理分析计算求解. 【详解】(1)证明:连接 , , ∵ 是 的直径, ∴ , ∴ , 在 中,E为 的中点, ∴ , ∵ , ∴ , ∵ , ∴ , ∵ , ∴ , ∴ , 即 , 58关注公众号:陆陆高分冲刺 ~领取:最新版“小中高考-总复习”、最新试卷下载 ∵ 为半径, , ∴ 是 的切线; (2)解:∵ , ∴ , 在 中, , ∴ , , 设 ,则 , 由勾股定理可得: ,即 , 解得 , ∴ , ∴ , 同理在 中,设 ,则 , 由勾股定理可得: ,即 , 解得 ,即 . 【点睛】本题考查了切线的判定与性质,圆周角定理,直角三角形的性质及解直角三角形等知识. 正确 的作出辅助线构造直角三角形是解题的关键. 6.(2024-山东泰安-一模)如图, 是 的两条直径,过点C的 的切线交 的延长线于点 E,连接 . (1)求证: ; (2)若B是 的中点, ,求 的半径. 【答案】(1)见解析 59关注公众号:陆陆高分冲刺 ~领取:最新版“小中高考-总复习”、最新试卷下载 (2) 【分析】(1)由 ,可得 ,由 ,可得 ,进而结论得证; (2)如图,连接 ,则 ,由直角三角形斜边的中线等于斜边的一半可得 ,设 的 半径为 ,则 ,由勾股定理得, ,即 ,计算求解即可. 【详解】(1)证明:∵ , ∴ , ∵ , ∴ , ∴ ; (2)解:如图,连接 , ∴ , ∵过点C的 的切线交 的延长线于点E, ∴ , ∵O是 的中点,B是 的中点, ∴ , 设 的半径为 ,则 , 由勾股定理得, ,即 , 解得, , ∴ 的半径为 . 【点睛】本题考查了同弧所对的圆周角相等,等边对等角,切线的性质,直径所对的圆周角为直角,直角 60关注公众号:陆陆高分冲刺 ~领取:最新版“小中高考-总复习”、最新试卷下载 三角形斜边的中线等于斜边的一半,勾股定理等知识.熟练掌握同弧所对的圆周角相等,等边对等角,切 线的性质,直径所对的圆周角为直角,直角三角形斜边的中线等于斜边的一半,勾股定理是解题的关键. 7.(2024-福建南平-一模)如图1,点 是 的边 上一点. , , 是 的外接圆,点 在 上(不与点 ,点 重合),且 . (1)求证: 是直角三角形; (2)如图2,若 是⊙ 的直径,且 ,折线 是由折线 绕点 顺时针旋转 得到. ①当 时,求 的面积; ②求证:点 , , 三点共线. 【答案】(1)见解析 (2)① ;②见解析 【分析】本题考查了旋转的性质,圆的基本性质,勾股定理,三角形内角和定理,直角三角形的特征,三 点共线判定方法等; (1)由圆的基本性质得 ,从而可得 ,即可求证; (2)①由圆的性质得 ,从而可求 ,有直角三角形的特征得 ,由 勾股定理得 可求出 的长,由 即可求解;②由旋转的性质得 , ,从而可求 ,由三角形内角和定理得 , 等量代换得 即可求证; 掌握相关的性质及三点共线判定方法,能证出 是解题的关键. 【详解】(1)证明: , 61关注公众号:陆陆高分冲刺 ~领取:最新版“小中高考-总复习”、最新试卷下载 , , , 是直角三角形; (2)解:① 是 直径, , , , , 在 中, , , ; ② 折线 由折线 旋转得到, , , , 由①得 , , , , 62关注公众号:陆陆高分冲刺 ~领取:最新版“小中高考-总复习”、最新试卷下载 , , 点C,D,F三点共线. 8.(2023-四川甘孜-中考真题)如图,在 中, ,以 为直径的 交 边于点 D,过点C作 的切线,交 的延长线于点E. (1)求证: ; (2)若 , ,求 的半径. 【答案】(1)见解析 (2) 【分析】(1)先根据圆周角定理得到 .再根据切线的性质得到 .然后利用等角的 余角相等得到 ; (2)先证明 得到 ,则可证明 ,利用正切的定义,在 中有 ,在 中有 ,所以 ,然后求出 的长,从而得到 的半径. 【详解】(1)证明:∵ 为 的直径, ∴ . ∵ 为 的切线, ∴ , ∴ . ∵ , ∴ ; 63关注公众号:陆陆高分冲刺 ~领取:最新版“小中高考-总复习”、最新试卷下载 (2)解:∵ , ∴ , ∴ , ∵ , ∴ , 在 中, , 在 中, , 即 , ∴ , ∴ , ∴ 的半径为 . 【点睛】本题考查了切线的性质:圆的切线垂直于经过切点的半径.也考查了圆周角定理和解直角三角形. 9.(2023-湖北黄石-中考真题)如图, 为 的直径, 和 相交于点F, 平分 ,点C 在 上,且 , 交 于点P. (1)求证: 是 的切线; (2)求证: ; (3)已知 ,求 的值. 【答案】(1)见解析 64关注公众号:陆陆高分冲刺 ~领取:最新版“小中高考-总复习”、最新试卷下载 (2)见解析 (3) 【分析】(1)连接 ,由等腰三角形的性质得 ,再证 ,则 ,然 后证 ,即可得出结论; (2)由圆周角定理得 ,再证 ,然后证 ,得 ,即可得出结论; (3)过P作 于点E,证 ,再证 ,得 ,则 ,进而得 ,然后由角平分线的性质和三角形面积即可得出结论. 【详解】(1)证明:如图1,连接 , ∵ , ∴ , ∵ 平分 , ∴ , ∴ , ∴ , ∵ , ∴ , ∴ 是 的切线; (2)证明:∵ 为 的直径, ∴ , ∵ 平分 , 65关注公众号:陆陆高分冲刺 ~领取:最新版“小中高考-总复习”、最新试卷下载 ∴ , ∵ , ∴ , 又∵ , ∴ , ∴ , ∴ ; (3)如图2,过P作 于点E, 由(2)可知, , ∵ , ∴ , ∵ , ∴ , ∵ 为 的直径, ∴ , ∴ , ∵ , ∴ , ∴ , ∴ , ∴ , ∴ , ∵ 为 的直径, 66关注公众号:陆陆高分冲刺 ~领取:最新版“小中高考-总复习”、最新试卷下载 ∴ , ∴ , ∵ 平分 , ∴ , ∵ , ∴ . 【点睛】本题是圆的综合题目,考查了圆周角定理、切线的判定、相似三角形的判定与性质、平行线的判 定与性质、等腰三角形的性质、角平分线的性质以及三角形面积等知识,本题综合性强,熟练掌握圆周角 定理和切线的判定,证明三角形相似是解题的关键. 10.(2023-辽宁鞍山-中考真题)如图,四边形 内接于 , 为 的直径,过点D作 ,交 的延长线于点F,交 的延长线于点E,连接 .若 . (1)求证: 为 的切线. (2)若 , ,求 的半径. 【答案】(1)见解析 (2) 的半径为 【分析】(1)连接 ,根据同角的补角相等,得到 ,等角的余角相等,得到 ,等边对等角,得到 ,推出 ,得到 , 即可得证; (2)连接 ,推出 ,利用锐角三角函数求出 的长,设 的半径为 ,证明 ,列出比例式进行求解即可. 【详解】(1)证明:连接 , 67关注公众号:陆陆高分冲刺 ~领取:最新版“小中高考-总复习”、最新试卷下载 ∵ , , ∴ , ∵ 为 的直径, , ∴ , , ∴ , ∴ , ∵ , ∴ , ∴ , ∴ ,即: , 又 为 的半径, ∴ 为 的切线; (2)连接 ,则: , ∵ 为 的直径, ∴ , ∴ , ∴ , 在 中, , , ∴ , 68关注公众号:陆陆高分冲刺 ~领取:最新版“小中高考-总复习”、最新试卷下载 设 的半径为 ,则: , ∵ , ∴ , ∴ ,即: , ∴ ; ∴ 的半径为 . 【点睛】本题考查圆与三角形的综合应用,重点考查了切线的判定,解直角三角形,相似三角形的判定和 性质.题目的综合性较强,熟练掌握相关知识点,并灵活运用,是解题的关键. 11.(2023-湖南湘西-中考真题)如图,点D,E在以 为直径的 上, 的平分线交 于点 B,连接 , , ,过点E作 ,垂足为H,交 于点F. (1)求证: ; (2)若 ,求 的长. 【答案】(1)见解析 (2) 【分析】(1)先证明 ,再利用两角分别相等的两个三角形相似证明 ,利用 相似三角形的性质即可求证; (2)先利用勾股定理求出 ,再利用 和正弦值即可求出 . 【详解】(1)连接 , ∵ , 69关注公众号:陆陆高分冲刺 ~领取:最新版“小中高考-总复习”、最新试卷下载 ∴ , ∵ 是直径, ∴ , ∴ , ∴ , ∴ , 又∵ , ∴ , ∴ , ∴ ; (2)如图,连接 , ∵ 的平分线交 于点B, ∴ , ∴ , ∴ , ∵ 是直径, ∴ , ∵ , ∴ , , ∴ . 70关注公众号:陆陆高分冲刺 ~领取:最新版“小中高考-总复习”、最新试卷下载 【点睛】本题考查了相似三角形的判定与性质、正弦函数、圆周角定理的推论和勾股定理等知识,学生应 理解与掌握正弦的定义、两角分别相等的两个三角形相似和相似三角形的对应边成比例、圆周角定理的推 论,即同弧或等弧所对的圆周角相等,直径所对的圆周角是直角等知识,正确作出辅助线构造直角三角形 是解题的关键. 12.(2023-辽宁沈阳-中考真题)如图, 是 的直径,点 是 上的一点(点 不与点 , 重 合),连接 、 ,点 是 上的一点, , 交 的延长线于点 ,且 . (1)求证: 是 的切线; (2)若 的半径为 , ,则 的长为______ . 【答案】(1)证明见解析 (2)8 【分析】(1)利用圆周角定理,等腰三角形的性质定理,对顶角相等,三角形的内角和定理和圆的切线的判 定定理解答即可得出结论; (2)利用直角三角形的边角关系定理得到 设 , 则 , 利用x的代数式表示出线段 ,再利用勾股定理列出关于x的方程,解方程即可得出结论. 【详解】(1)证明: 是 的直径, , 71关注公众号:陆陆高分冲刺 ~领取:最新版“小中高考-总复习”、最新试卷下载 , , , , , , , , , 即 . 为 的直径, 是 的切线; (2)解: , , , 设 ,则 , , , , , 是 的直径, , , , 解得: 不合题意,舍去 或 . . 故答案为: . 【点睛】本题主要考查了圆的有关性质,圆周角定理,等腰三角形的性质,三角形的内角和定理,圆的切 线的判定定理,勾股定理,直角三角形的边角关系定理,熟练掌握圆周角定理是解题的关键. 13.(2023-黑龙江大庆-中考真题)如图, 是 的直径,点 是圆上的一点, 于点 , 交 于点 ,连接 ,若 平分 ,过点 作 于点 ,交 于点 ,延长 , 72关注公众号:陆陆高分冲刺 ~领取:最新版“小中高考-总复习”、最新试卷下载 交于点 . (1)求证: 是 的切线; (2)求证: ; (3)若 ,求 的值. 【答案】(1)证明,见解析 (2)证明,见解析 (3) 【分析】(1)连接 ,根据 平分 ,则 ,根据 ,得 , 根据平行线的判定和性质,即可; (2)由(1)得, ,根据 , ,相似三角形的判定和 性质,即可; (3)根据 ,则 ,设 的半径为 ,则 ,根据勾股定理求出 ;根据 , ,根据勾股定理求出 ,再根据 ,在根据勾股定理求出 , 根据 ,即可. 【详解】(1)连接 ∵ 平分 , ∴ , ∵ , ∴ , ∴ , 73关注公众号:陆陆高分冲刺 ~领取:最新版“小中高考-总复习”、最新试卷下载 ∴ , ∵ , ∴ , ∴ 是 的切线. (2)证明,如下: 由(1)得, , ∵ , ∵ , ∴ , ∴ , ∵ , ∴ , ∴ , ∴ . (3)∵ , ∴ , 设 的半径为 , ∴ , ∴ , ∵ , ∴ , , ∵ , 74关注公众号:陆陆高分冲刺 ~领取:最新版“小中高考-总复习”、最新试卷下载 ∴ , ∵ , ∴ , ∵ , ∴ . 【点睛】本题考查圆,相似三角形,锐角三角形函数的知识,解题的关键圆的切线定理的运用,相似三角 形的判定和性质,锐角三角形函数的运用. 14.(2023-四川雅安-中考真题)如图,在 中, ,以 为直径的 与 交于点 D,点 是 的中点,连接 , . (1)求证: 是 的切线; (2)若 , ,求 的长; (3)在(2)的条件下,点P是 上一动点,求 的最大值. 【答案】(1)证明见解析; (2) (3) 【分析】(1)连接 ,由圆周角定理得到 ,由直角三角形斜边中线的性质结合等 腰三角形的性质证得 ,由等腰三角形的性质得到 ,根据 ,得 75关注公众号:陆陆高分冲刺 ~领取:最新版“小中高考-总复习”、最新试卷下载 到 ,由切线的判定即可证得 与 相切; (2)由直角三角形斜边中线的性质求出 ,根据三角函数的定义即可求出 ;, (3)设 的 边高为 ,由 可得 ,即可得出当 取最大值时, 取最大值,根据 进而求解即可. 【详解】(1)证明:连接 ,如图所示, ∵ 为 的直径, ∴ , ∴ , ∵点 为 的中点, ∴ , ∴ , ∵ , ∴ , ∵ , ∴ , ∴ , ∵ 是 的半径, ∴ 与 相切; (2)解:由(1)知, , ∵ 是 的中点, ∴ , 76关注公众号:陆陆高分冲刺 ~领取:最新版“小中高考-总复习”、最新试卷下载 ∴ , ∵ , ∴ , , 又∵在 中, ,即: , ∴ (负值以舍去), ∴ ; (3)设 的 边高为 , 由(2)可知 , 又∵ 是直径, ∴ , ∴ , ∴ , ∴当 取最大值时, 也取最大值, 又∵ , ∴当 取最大值时, 取最大值, 此时 边高为 取最大值为 半径 , ∴ , ∴ 77关注公众号:陆陆高分冲刺 ~领取:最新版“小中高考-总复习”、最新试卷下载 ∴ , ∴ , 综上所述: 的最大值为 . 【点睛】本题主要考查了圆周角定理、切线的判定以及直角三角形的性质,解题的关键是:(1)熟练掌 握切线的判定方法;(2)通过解直角三角形斜边中线的性质证得 .(3)将 的最大值 转化为 的面积最大值. 15.(2023-辽宁营口-中考真题)如图,在 中, ,以 为直径作 与 交于点D,过 点D作 ,交 延长线于点F,垂足为点E. (1)求证: 为 的切线; (2)若 , ,求 的长. 【答案】(1)见详解 (2) 【分析】(1)连接 , ,根据圆周角定理证明 ,再根据“三线合一”证明 平分 , 即有 ,进而可得 ,根据 ,可得 ,问 题得证; (2)先证明 , ,即有 ,在 中结合勾 78关注公众号:陆陆高分冲刺 ~领取:最新版“小中高考-总复习”、最新试卷下载 股定理,可求出 ,即同理在 中,可得 ,进而有 , , 即 ,证明 ,即有 ,即 ,问题即可得解. 【详解】(1)连接 , , ∵ 为 的直径, ∴ , ∴ , ∵在 中, , ∴ 平分 , ∴ , ∵ , ∴ , ∴ , ∵ , ∴ , ∴ , ∴半径 , ∴ 为 的切线; (2)∵在 中, , ∴ , 在(1)中, , , ∴ , ∵ , 79关注公众号:陆陆高分冲刺 ~领取:最新版“小中高考-总复习”、最新试卷下载 ∴ , ∵在 中, , , ∴ , ∴ ,解得: (负值舍去), 即同理在 中,可得 , ∴ , ∴ ,即 , ∵ , , ∴ , ∴ , ∴ ,即 , ∴ , 解得: (经检验,符合题意), 即 . 【点睛】本题主要考查了圆周角定理,切线的判定,解直角三角形,相似三角形的判定与性质,勾股定理 等知识,掌握切线的判定以及三角函数,是解答本题的关键. 80
基本 文件 流程 错误 SQL 调试
  1. 请求信息 : 2026-03-10 07:28:30 HTTP/1.1 GET : https://www.yeyulingfeng.com/wendang/371388.html
  2. 运行时间 : 0.090132s [ 吞吐率:11.09req/s ] 内存消耗:5,494.68kb 文件加载:144
  3. 缓存信息 : 0 reads,0 writes
  4. 会话信息 : SESSION_ID=77ca00788156f943b8f7c2def2e83106
  1. /yingpanguazai/ssd/ssd1/www/wwww.yeyulingfeng.com/public/index.php ( 0.79 KB )
  2. /yingpanguazai/ssd/ssd1/www/wwww.yeyulingfeng.com/vendor/autoload.php ( 0.17 KB )
  3. /yingpanguazai/ssd/ssd1/www/wwww.yeyulingfeng.com/vendor/composer/autoload_real.php ( 2.49 KB )
  4. /yingpanguazai/ssd/ssd1/www/wwww.yeyulingfeng.com/vendor/composer/platform_check.php ( 0.90 KB )
  5. /yingpanguazai/ssd/ssd1/www/wwww.yeyulingfeng.com/vendor/composer/ClassLoader.php ( 14.03 KB )
  6. /yingpanguazai/ssd/ssd1/www/wwww.yeyulingfeng.com/vendor/composer/autoload_static.php ( 6.05 KB )
  7. /yingpanguazai/ssd/ssd1/www/wwww.yeyulingfeng.com/vendor/topthink/think-helper/src/helper.php ( 8.34 KB )
  8. /yingpanguazai/ssd/ssd1/www/wwww.yeyulingfeng.com/vendor/topthink/think-validate/src/helper.php ( 2.19 KB )
  9. /yingpanguazai/ssd/ssd1/www/wwww.yeyulingfeng.com/vendor/ralouphie/getallheaders/src/getallheaders.php ( 1.60 KB )
  10. /yingpanguazai/ssd/ssd1/www/wwww.yeyulingfeng.com/vendor/topthink/think-orm/src/helper.php ( 1.47 KB )
  11. /yingpanguazai/ssd/ssd1/www/wwww.yeyulingfeng.com/vendor/topthink/think-orm/stubs/load_stubs.php ( 0.16 KB )
  12. /yingpanguazai/ssd/ssd1/www/wwww.yeyulingfeng.com/vendor/topthink/framework/src/think/Exception.php ( 1.69 KB )
  13. /yingpanguazai/ssd/ssd1/www/wwww.yeyulingfeng.com/vendor/topthink/think-container/src/Facade.php ( 2.71 KB )
  14. /yingpanguazai/ssd/ssd1/www/wwww.yeyulingfeng.com/vendor/symfony/deprecation-contracts/function.php ( 0.99 KB )
  15. /yingpanguazai/ssd/ssd1/www/wwww.yeyulingfeng.com/vendor/symfony/polyfill-mbstring/bootstrap.php ( 8.26 KB )
  16. /yingpanguazai/ssd/ssd1/www/wwww.yeyulingfeng.com/vendor/symfony/polyfill-mbstring/bootstrap80.php ( 9.78 KB )
  17. /yingpanguazai/ssd/ssd1/www/wwww.yeyulingfeng.com/vendor/symfony/var-dumper/Resources/functions/dump.php ( 1.49 KB )
  18. /yingpanguazai/ssd/ssd1/www/wwww.yeyulingfeng.com/vendor/topthink/think-dumper/src/helper.php ( 0.18 KB )
  19. /yingpanguazai/ssd/ssd1/www/wwww.yeyulingfeng.com/vendor/symfony/var-dumper/VarDumper.php ( 4.30 KB )
  20. /yingpanguazai/ssd/ssd1/www/wwww.yeyulingfeng.com/vendor/guzzlehttp/guzzle/src/functions_include.php ( 0.16 KB )
  21. /yingpanguazai/ssd/ssd1/www/wwww.yeyulingfeng.com/vendor/guzzlehttp/guzzle/src/functions.php ( 5.54 KB )
  22. /yingpanguazai/ssd/ssd1/www/wwww.yeyulingfeng.com/vendor/topthink/framework/src/think/App.php ( 15.30 KB )
  23. /yingpanguazai/ssd/ssd1/www/wwww.yeyulingfeng.com/vendor/topthink/think-container/src/Container.php ( 15.76 KB )
  24. /yingpanguazai/ssd/ssd1/www/wwww.yeyulingfeng.com/vendor/psr/container/src/ContainerInterface.php ( 1.02 KB )
  25. /yingpanguazai/ssd/ssd1/www/wwww.yeyulingfeng.com/app/provider.php ( 0.19 KB )
  26. /yingpanguazai/ssd/ssd1/www/wwww.yeyulingfeng.com/vendor/topthink/framework/src/think/Http.php ( 6.04 KB )
  27. /yingpanguazai/ssd/ssd1/www/wwww.yeyulingfeng.com/vendor/topthink/think-helper/src/helper/Str.php ( 7.29 KB )
  28. /yingpanguazai/ssd/ssd1/www/wwww.yeyulingfeng.com/vendor/topthink/framework/src/think/Env.php ( 4.68 KB )
  29. /yingpanguazai/ssd/ssd1/www/wwww.yeyulingfeng.com/app/common.php ( 0.03 KB )
  30. /yingpanguazai/ssd/ssd1/www/wwww.yeyulingfeng.com/vendor/topthink/framework/src/helper.php ( 18.78 KB )
  31. /yingpanguazai/ssd/ssd1/www/wwww.yeyulingfeng.com/vendor/topthink/framework/src/think/Config.php ( 5.54 KB )
  32. /yingpanguazai/ssd/ssd1/www/wwww.yeyulingfeng.com/config/alipay.php ( 3.59 KB )
  33. /yingpanguazai/ssd/ssd1/www/wwww.yeyulingfeng.com/vendor/topthink/framework/src/think/facade/Env.php ( 1.67 KB )
  34. /yingpanguazai/ssd/ssd1/www/wwww.yeyulingfeng.com/config/app.php ( 0.95 KB )
  35. /yingpanguazai/ssd/ssd1/www/wwww.yeyulingfeng.com/config/cache.php ( 0.78 KB )
  36. /yingpanguazai/ssd/ssd1/www/wwww.yeyulingfeng.com/config/console.php ( 0.23 KB )
  37. /yingpanguazai/ssd/ssd1/www/wwww.yeyulingfeng.com/config/cookie.php ( 0.56 KB )
  38. /yingpanguazai/ssd/ssd1/www/wwww.yeyulingfeng.com/config/database.php ( 2.48 KB )
  39. /yingpanguazai/ssd/ssd1/www/wwww.yeyulingfeng.com/config/filesystem.php ( 0.61 KB )
  40. /yingpanguazai/ssd/ssd1/www/wwww.yeyulingfeng.com/config/lang.php ( 0.91 KB )
  41. /yingpanguazai/ssd/ssd1/www/wwww.yeyulingfeng.com/config/log.php ( 1.35 KB )
  42. /yingpanguazai/ssd/ssd1/www/wwww.yeyulingfeng.com/config/middleware.php ( 0.19 KB )
  43. /yingpanguazai/ssd/ssd1/www/wwww.yeyulingfeng.com/config/route.php ( 1.89 KB )
  44. /yingpanguazai/ssd/ssd1/www/wwww.yeyulingfeng.com/config/session.php ( 0.57 KB )
  45. /yingpanguazai/ssd/ssd1/www/wwww.yeyulingfeng.com/config/trace.php ( 0.34 KB )
  46. /yingpanguazai/ssd/ssd1/www/wwww.yeyulingfeng.com/config/view.php ( 0.82 KB )
  47. /yingpanguazai/ssd/ssd1/www/wwww.yeyulingfeng.com/app/event.php ( 0.25 KB )
  48. /yingpanguazai/ssd/ssd1/www/wwww.yeyulingfeng.com/vendor/topthink/framework/src/think/Event.php ( 7.67 KB )
  49. /yingpanguazai/ssd/ssd1/www/wwww.yeyulingfeng.com/app/service.php ( 0.13 KB )
  50. /yingpanguazai/ssd/ssd1/www/wwww.yeyulingfeng.com/app/AppService.php ( 0.26 KB )
  51. /yingpanguazai/ssd/ssd1/www/wwww.yeyulingfeng.com/vendor/topthink/framework/src/think/Service.php ( 1.64 KB )
  52. /yingpanguazai/ssd/ssd1/www/wwww.yeyulingfeng.com/vendor/topthink/framework/src/think/Lang.php ( 7.35 KB )
  53. /yingpanguazai/ssd/ssd1/www/wwww.yeyulingfeng.com/vendor/topthink/framework/src/lang/zh-cn.php ( 13.70 KB )
  54. /yingpanguazai/ssd/ssd1/www/wwww.yeyulingfeng.com/vendor/topthink/framework/src/think/initializer/Error.php ( 3.31 KB )
  55. /yingpanguazai/ssd/ssd1/www/wwww.yeyulingfeng.com/vendor/topthink/framework/src/think/initializer/RegisterService.php ( 1.33 KB )
  56. /yingpanguazai/ssd/ssd1/www/wwww.yeyulingfeng.com/vendor/services.php ( 0.14 KB )
  57. /yingpanguazai/ssd/ssd1/www/wwww.yeyulingfeng.com/vendor/topthink/framework/src/think/service/PaginatorService.php ( 1.52 KB )
  58. /yingpanguazai/ssd/ssd1/www/wwww.yeyulingfeng.com/vendor/topthink/framework/src/think/service/ValidateService.php ( 0.99 KB )
  59. /yingpanguazai/ssd/ssd1/www/wwww.yeyulingfeng.com/vendor/topthink/framework/src/think/service/ModelService.php ( 2.04 KB )
  60. /yingpanguazai/ssd/ssd1/www/wwww.yeyulingfeng.com/vendor/topthink/think-trace/src/Service.php ( 0.77 KB )
  61. /yingpanguazai/ssd/ssd1/www/wwww.yeyulingfeng.com/vendor/topthink/framework/src/think/Middleware.php ( 6.72 KB )
  62. /yingpanguazai/ssd/ssd1/www/wwww.yeyulingfeng.com/vendor/topthink/framework/src/think/initializer/BootService.php ( 0.77 KB )
  63. /yingpanguazai/ssd/ssd1/www/wwww.yeyulingfeng.com/vendor/topthink/think-orm/src/Paginator.php ( 11.86 KB )
  64. /yingpanguazai/ssd/ssd1/www/wwww.yeyulingfeng.com/vendor/topthink/think-validate/src/Validate.php ( 63.20 KB )
  65. /yingpanguazai/ssd/ssd1/www/wwww.yeyulingfeng.com/vendor/topthink/think-orm/src/Model.php ( 23.55 KB )
  66. /yingpanguazai/ssd/ssd1/www/wwww.yeyulingfeng.com/vendor/topthink/think-orm/src/model/concern/Attribute.php ( 21.05 KB )
  67. /yingpanguazai/ssd/ssd1/www/wwww.yeyulingfeng.com/vendor/topthink/think-orm/src/model/concern/AutoWriteData.php ( 4.21 KB )
  68. /yingpanguazai/ssd/ssd1/www/wwww.yeyulingfeng.com/vendor/topthink/think-orm/src/model/concern/Conversion.php ( 6.44 KB )
  69. /yingpanguazai/ssd/ssd1/www/wwww.yeyulingfeng.com/vendor/topthink/think-orm/src/model/concern/DbConnect.php ( 5.16 KB )
  70. /yingpanguazai/ssd/ssd1/www/wwww.yeyulingfeng.com/vendor/topthink/think-orm/src/model/concern/ModelEvent.php ( 2.33 KB )
  71. /yingpanguazai/ssd/ssd1/www/wwww.yeyulingfeng.com/vendor/topthink/think-orm/src/model/concern/RelationShip.php ( 28.29 KB )
  72. /yingpanguazai/ssd/ssd1/www/wwww.yeyulingfeng.com/vendor/topthink/think-helper/src/contract/Arrayable.php ( 0.09 KB )
  73. /yingpanguazai/ssd/ssd1/www/wwww.yeyulingfeng.com/vendor/topthink/think-helper/src/contract/Jsonable.php ( 0.13 KB )
  74. /yingpanguazai/ssd/ssd1/www/wwww.yeyulingfeng.com/vendor/topthink/think-orm/src/model/contract/Modelable.php ( 0.09 KB )
  75. /yingpanguazai/ssd/ssd1/www/wwww.yeyulingfeng.com/vendor/topthink/framework/src/think/Db.php ( 2.88 KB )
  76. /yingpanguazai/ssd/ssd1/www/wwww.yeyulingfeng.com/vendor/topthink/think-orm/src/DbManager.php ( 8.52 KB )
  77. /yingpanguazai/ssd/ssd1/www/wwww.yeyulingfeng.com/vendor/topthink/framework/src/think/Log.php ( 6.28 KB )
  78. /yingpanguazai/ssd/ssd1/www/wwww.yeyulingfeng.com/vendor/topthink/framework/src/think/Manager.php ( 3.92 KB )
  79. /yingpanguazai/ssd/ssd1/www/wwww.yeyulingfeng.com/vendor/psr/log/src/LoggerTrait.php ( 2.69 KB )
  80. /yingpanguazai/ssd/ssd1/www/wwww.yeyulingfeng.com/vendor/psr/log/src/LoggerInterface.php ( 2.71 KB )
  81. /yingpanguazai/ssd/ssd1/www/wwww.yeyulingfeng.com/vendor/topthink/framework/src/think/Cache.php ( 4.92 KB )
  82. /yingpanguazai/ssd/ssd1/www/wwww.yeyulingfeng.com/vendor/psr/simple-cache/src/CacheInterface.php ( 4.71 KB )
  83. /yingpanguazai/ssd/ssd1/www/wwww.yeyulingfeng.com/vendor/topthink/think-helper/src/helper/Arr.php ( 16.63 KB )
  84. /yingpanguazai/ssd/ssd1/www/wwww.yeyulingfeng.com/vendor/topthink/framework/src/think/cache/driver/File.php ( 7.84 KB )
  85. /yingpanguazai/ssd/ssd1/www/wwww.yeyulingfeng.com/vendor/topthink/framework/src/think/cache/Driver.php ( 9.03 KB )
  86. /yingpanguazai/ssd/ssd1/www/wwww.yeyulingfeng.com/vendor/topthink/framework/src/think/contract/CacheHandlerInterface.php ( 1.99 KB )
  87. /yingpanguazai/ssd/ssd1/www/wwww.yeyulingfeng.com/app/Request.php ( 0.09 KB )
  88. /yingpanguazai/ssd/ssd1/www/wwww.yeyulingfeng.com/vendor/topthink/framework/src/think/Request.php ( 55.78 KB )
  89. /yingpanguazai/ssd/ssd1/www/wwww.yeyulingfeng.com/app/middleware.php ( 0.25 KB )
  90. /yingpanguazai/ssd/ssd1/www/wwww.yeyulingfeng.com/vendor/topthink/framework/src/think/Pipeline.php ( 2.61 KB )
  91. /yingpanguazai/ssd/ssd1/www/wwww.yeyulingfeng.com/vendor/topthink/think-trace/src/TraceDebug.php ( 3.40 KB )
  92. /yingpanguazai/ssd/ssd1/www/wwww.yeyulingfeng.com/vendor/topthink/framework/src/think/middleware/SessionInit.php ( 1.94 KB )
  93. /yingpanguazai/ssd/ssd1/www/wwww.yeyulingfeng.com/vendor/topthink/framework/src/think/Session.php ( 1.80 KB )
  94. /yingpanguazai/ssd/ssd1/www/wwww.yeyulingfeng.com/vendor/topthink/framework/src/think/session/driver/File.php ( 6.27 KB )
  95. /yingpanguazai/ssd/ssd1/www/wwww.yeyulingfeng.com/vendor/topthink/framework/src/think/contract/SessionHandlerInterface.php ( 0.87 KB )
  96. /yingpanguazai/ssd/ssd1/www/wwww.yeyulingfeng.com/vendor/topthink/framework/src/think/session/Store.php ( 7.12 KB )
  97. /yingpanguazai/ssd/ssd1/www/wwww.yeyulingfeng.com/vendor/topthink/framework/src/think/Route.php ( 23.73 KB )
  98. /yingpanguazai/ssd/ssd1/www/wwww.yeyulingfeng.com/vendor/topthink/framework/src/think/route/RuleName.php ( 5.75 KB )
  99. /yingpanguazai/ssd/ssd1/www/wwww.yeyulingfeng.com/vendor/topthink/framework/src/think/route/Domain.php ( 2.53 KB )
  100. /yingpanguazai/ssd/ssd1/www/wwww.yeyulingfeng.com/vendor/topthink/framework/src/think/route/RuleGroup.php ( 22.43 KB )
  101. /yingpanguazai/ssd/ssd1/www/wwww.yeyulingfeng.com/vendor/topthink/framework/src/think/route/Rule.php ( 26.95 KB )
  102. /yingpanguazai/ssd/ssd1/www/wwww.yeyulingfeng.com/vendor/topthink/framework/src/think/route/RuleItem.php ( 9.78 KB )
  103. /yingpanguazai/ssd/ssd1/www/wwww.yeyulingfeng.com/route/app.php ( 3.82 KB )
  104. /yingpanguazai/ssd/ssd1/www/wwww.yeyulingfeng.com/vendor/topthink/framework/src/think/facade/Route.php ( 4.70 KB )
  105. /yingpanguazai/ssd/ssd1/www/wwww.yeyulingfeng.com/vendor/topthink/framework/src/think/route/dispatch/Controller.php ( 4.74 KB )
  106. /yingpanguazai/ssd/ssd1/www/wwww.yeyulingfeng.com/vendor/topthink/framework/src/think/route/Dispatch.php ( 10.44 KB )
  107. /yingpanguazai/ssd/ssd1/www/wwww.yeyulingfeng.com/app/controller/Index.php ( 9.69 KB )
  108. /yingpanguazai/ssd/ssd1/www/wwww.yeyulingfeng.com/app/BaseController.php ( 2.05 KB )
  109. /yingpanguazai/ssd/ssd1/www/wwww.yeyulingfeng.com/vendor/topthink/think-orm/src/facade/Db.php ( 0.93 KB )
  110. /yingpanguazai/ssd/ssd1/www/wwww.yeyulingfeng.com/vendor/topthink/think-orm/src/db/connector/Mysql.php ( 5.44 KB )
  111. /yingpanguazai/ssd/ssd1/www/wwww.yeyulingfeng.com/vendor/topthink/think-orm/src/db/PDOConnection.php ( 52.47 KB )
  112. /yingpanguazai/ssd/ssd1/www/wwww.yeyulingfeng.com/vendor/topthink/think-orm/src/db/Connection.php ( 8.39 KB )
  113. /yingpanguazai/ssd/ssd1/www/wwww.yeyulingfeng.com/vendor/topthink/think-orm/src/db/ConnectionInterface.php ( 4.57 KB )
  114. /yingpanguazai/ssd/ssd1/www/wwww.yeyulingfeng.com/vendor/topthink/think-orm/src/db/builder/Mysql.php ( 16.58 KB )
  115. /yingpanguazai/ssd/ssd1/www/wwww.yeyulingfeng.com/vendor/topthink/think-orm/src/db/Builder.php ( 24.06 KB )
  116. /yingpanguazai/ssd/ssd1/www/wwww.yeyulingfeng.com/vendor/topthink/think-orm/src/db/BaseBuilder.php ( 27.50 KB )
  117. /yingpanguazai/ssd/ssd1/www/wwww.yeyulingfeng.com/vendor/topthink/think-orm/src/db/Query.php ( 15.71 KB )
  118. /yingpanguazai/ssd/ssd1/www/wwww.yeyulingfeng.com/vendor/topthink/think-orm/src/db/BaseQuery.php ( 45.13 KB )
  119. /yingpanguazai/ssd/ssd1/www/wwww.yeyulingfeng.com/vendor/topthink/think-orm/src/db/concern/TimeFieldQuery.php ( 7.43 KB )
  120. /yingpanguazai/ssd/ssd1/www/wwww.yeyulingfeng.com/vendor/topthink/think-orm/src/db/concern/AggregateQuery.php ( 3.26 KB )
  121. /yingpanguazai/ssd/ssd1/www/wwww.yeyulingfeng.com/vendor/topthink/think-orm/src/db/concern/ModelRelationQuery.php ( 20.07 KB )
  122. /yingpanguazai/ssd/ssd1/www/wwww.yeyulingfeng.com/vendor/topthink/think-orm/src/db/concern/ParamsBind.php ( 3.66 KB )
  123. /yingpanguazai/ssd/ssd1/www/wwww.yeyulingfeng.com/vendor/topthink/think-orm/src/db/concern/ResultOperation.php ( 7.01 KB )
  124. /yingpanguazai/ssd/ssd1/www/wwww.yeyulingfeng.com/vendor/topthink/think-orm/src/db/concern/WhereQuery.php ( 19.37 KB )
  125. /yingpanguazai/ssd/ssd1/www/wwww.yeyulingfeng.com/vendor/topthink/think-orm/src/db/concern/JoinAndViewQuery.php ( 7.11 KB )
  126. /yingpanguazai/ssd/ssd1/www/wwww.yeyulingfeng.com/vendor/topthink/think-orm/src/db/concern/TableFieldInfo.php ( 2.63 KB )
  127. /yingpanguazai/ssd/ssd1/www/wwww.yeyulingfeng.com/vendor/topthink/think-orm/src/db/concern/Transaction.php ( 2.77 KB )
  128. /yingpanguazai/ssd/ssd1/www/wwww.yeyulingfeng.com/vendor/topthink/framework/src/think/log/driver/File.php ( 5.96 KB )
  129. /yingpanguazai/ssd/ssd1/www/wwww.yeyulingfeng.com/vendor/topthink/framework/src/think/contract/LogHandlerInterface.php ( 0.86 KB )
  130. /yingpanguazai/ssd/ssd1/www/wwww.yeyulingfeng.com/vendor/topthink/framework/src/think/log/Channel.php ( 3.89 KB )
  131. /yingpanguazai/ssd/ssd1/www/wwww.yeyulingfeng.com/vendor/topthink/framework/src/think/event/LogRecord.php ( 1.02 KB )
  132. /yingpanguazai/ssd/ssd1/www/wwww.yeyulingfeng.com/vendor/topthink/think-helper/src/Collection.php ( 16.47 KB )
  133. /yingpanguazai/ssd/ssd1/www/wwww.yeyulingfeng.com/vendor/topthink/framework/src/think/facade/View.php ( 1.70 KB )
  134. /yingpanguazai/ssd/ssd1/www/wwww.yeyulingfeng.com/vendor/topthink/framework/src/think/View.php ( 4.39 KB )
  135. /yingpanguazai/ssd/ssd1/www/wwww.yeyulingfeng.com/vendor/topthink/framework/src/think/Response.php ( 8.81 KB )
  136. /yingpanguazai/ssd/ssd1/www/wwww.yeyulingfeng.com/vendor/topthink/framework/src/think/response/View.php ( 3.29 KB )
  137. /yingpanguazai/ssd/ssd1/www/wwww.yeyulingfeng.com/vendor/topthink/framework/src/think/Cookie.php ( 6.06 KB )
  138. /yingpanguazai/ssd/ssd1/www/wwww.yeyulingfeng.com/vendor/topthink/think-view/src/Think.php ( 8.38 KB )
  139. /yingpanguazai/ssd/ssd1/www/wwww.yeyulingfeng.com/vendor/topthink/framework/src/think/contract/TemplateHandlerInterface.php ( 1.60 KB )
  140. /yingpanguazai/ssd/ssd1/www/wwww.yeyulingfeng.com/vendor/topthink/think-template/src/Template.php ( 46.61 KB )
  141. /yingpanguazai/ssd/ssd1/www/wwww.yeyulingfeng.com/vendor/topthink/think-template/src/template/driver/File.php ( 2.41 KB )
  142. /yingpanguazai/ssd/ssd1/www/wwww.yeyulingfeng.com/vendor/topthink/think-template/src/template/contract/DriverInterface.php ( 0.86 KB )
  143. /yingpanguazai/ssd/ssd1/www/wwww.yeyulingfeng.com/runtime/temp/10a0c909b6afa23b5a52a2e2d58c3c0f.php ( 21.72 KB )
  144. /yingpanguazai/ssd/ssd1/www/wwww.yeyulingfeng.com/vendor/topthink/think-trace/src/Html.php ( 4.42 KB )
  1. CONNECT:[ UseTime:0.000621s ] mysql:host=127.0.0.1;port=3306;dbname=wenku;charset=utf8mb4
  2. SHOW FULL COLUMNS FROM `fenlei` [ RunTime:0.000701s ]
  3. SELECT * FROM `fenlei` WHERE `fid` = 0 [ RunTime:0.000326s ]
  4. SELECT * FROM `fenlei` WHERE `fid` = 63 [ RunTime:0.000262s ]
  5. SHOW FULL COLUMNS FROM `set` [ RunTime:0.000485s ]
  6. SELECT * FROM `set` [ RunTime:0.000178s ]
  7. SHOW FULL COLUMNS FROM `wendang` [ RunTime:0.000585s ]
  8. SELECT * FROM `wendang` WHERE `id` = 371388 LIMIT 1 [ RunTime:0.000556s ]
  9. UPDATE `wendang` SET `liulancishu` = 1 WHERE `id` = 371388 [ RunTime:0.004068s ]
  10. UPDATE `wendang` SET `lasttime` = 1773098910 WHERE `id` = 371388 [ RunTime:0.000552s ]
  11. SELECT * FROM `wendang` WHERE `id` < 371388 ORDER BY `id` DESC LIMIT 1 [ RunTime:0.001237s ]
  12. SELECT * FROM `wendang` WHERE `id` > 371388 ORDER BY `id` ASC LIMIT 1 [ RunTime:0.000365s ]
  13. SELECT * FROM `wendang` WHERE `id` <> 371388 ORDER BY `id` DESC LIMIT 10 [ RunTime:0.004669s ]
  14. SELECT * FROM `wendang` WHERE `id` <> 371388 ORDER BY `id` DESC LIMIT 10,10 [ RunTime:0.001510s ]
  15. SELECT * FROM `wendang` WHERE `id` <> 371388 ORDER BY `id` DESC LIMIT 20,10 [ RunTime:0.005381s ]
0.091768s