当前位置:首页>文档>25.2用频率估计概率_初中数学人教版_9上-初中数学人教版_02课件+导学案(配套)_RJ九上第25章概率初步_25.2用频率估计概率

25.2用频率估计概率_初中数学人教版_9上-初中数学人教版_02课件+导学案(配套)_RJ九上第25章概率初步_25.2用频率估计概率

  • 2026-04-02 14:25:52 2026-03-26 08:03:16

文档预览

25.2用频率估计概率_初中数学人教版_9上-初中数学人教版_02课件+导学案(配套)_RJ九上第25章概率初步_25.2用频率估计概率
25.2用频率估计概率_初中数学人教版_9上-初中数学人教版_02课件+导学案(配套)_RJ九上第25章概率初步_25.2用频率估计概率
25.2用频率估计概率_初中数学人教版_9上-初中数学人教版_02课件+导学案(配套)_RJ九上第25章概率初步_25.2用频率估计概率
25.2用频率估计概率_初中数学人教版_9上-初中数学人教版_02课件+导学案(配套)_RJ九上第25章概率初步_25.2用频率估计概率
25.2用频率估计概率_初中数学人教版_9上-初中数学人教版_02课件+导学案(配套)_RJ九上第25章概率初步_25.2用频率估计概率
25.2用频率估计概率_初中数学人教版_9上-初中数学人教版_02课件+导学案(配套)_RJ九上第25章概率初步_25.2用频率估计概率
25.2用频率估计概率_初中数学人教版_9上-初中数学人教版_02课件+导学案(配套)_RJ九上第25章概率初步_25.2用频率估计概率
25.2用频率估计概率_初中数学人教版_9上-初中数学人教版_02课件+导学案(配套)_RJ九上第25章概率初步_25.2用频率估计概率

文档信息

文档格式
docx
文档大小
0.801 MB
文档页数
8 页
上传时间
2026-03-26 08:03:16

文档内容

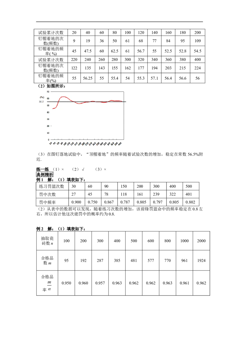
第二十五章 概率初步 25.3 用频率估计概率 学习目标:1.理解试验次数较大时试验频率趋于稳定这一规律. 2.结合具体情境掌握如何用频率估计概率. 3.通过概率计算进一步比较概率与频率之间的关系. 重点:1.理解试验次数较大时试验频率趋于稳定这一规律. 2.结合具体情境掌握如何用频率估计概率. 难点:结合具体情境掌握如何用频率估计概率. 自主学习 一、知识链接 1.用列举法求概率有哪几种方法? 2.学校组织学生开展志愿者服务活动,甲、乙两名学生从“图书馆,博物馆,科技馆”三 个场馆中随机选择一个参加活动,用字母A、B、C分别表示“图书馆”“博物馆”“科技 馆”三个场馆,请用树状图或列表法求甲、乙两名学生恰好选择同一场馆的概率. 3.小强连续投篮75次,共投进45个球,则小强进球的频率是多少? 课堂探究 二、要点探究 探究点1:用频率估计概率 试验探究:掷硬币试验 (1) 分组抛掷一枚均匀硬币400次,每隔50次记录“正面朝上”的次数,并算出“正面朝 上”的频率,完成下表: 累计抛 50 100 150 200 250 300 350 400 掷次数 “正面 朝上” 23 46 78 102 123 150 175 200 的次数 “正面 朝上” 的频率 (2)根据上表的数据,画出统计图表示“正面朝上”的频率.(3)在画出的图中,用红笔画出表示频率为0.5的直线,你发现了什么? (4)下表是历史上一些数学家所做的掷硬币的试验数据,这些数据支持你发现的规律吗? 试验者 抛掷次数n “正面向上”次数m “正面向上”频率( ) 棣莫弗 2048 1061 0.5181 布丰 4040 2048 0.5069 费勒 10000 4979 0.4979 皮尔逊 12000 6019 0.5016 皮尔逊 24000 12012 0.5005 归纳总结:通过大量重复试验,可以用随机事件发生的频率来估计该事件发生的概率. 数学史实 人们在长期的实践中发现,在随机试验中,由于众多微小的偶然因素的影响,每次测 得的结果虽不尽相同,但大量重复试验所得结果却能反应客观规律.这称为大数法则,亦称 大数定律. 思考:抛掷硬币试验的特点: 1.可能出现的结果数__________; 2.每种可能结果的可能性__________. 问题 如果某一随机事件,可能出现的结果是无限个,或每种可能结果发生的可能性不一 致,那么我们无法用列举法求其概率,这时我们能够用频率来估计概率吗? 试验探究:图钉落地的试验 从一定高度落下的图钉,着地时会有哪些可能的结果?其中顶帽着地的可能性大吗? (1) 选取20名同学,每位学生依次使图钉从高处落下20次,并根据试验结果填写下表. 试验累计次数 20 40 60 80 100 120 140 160 180 200 钉帽着地的次 9 19 36 50 61 68 77 84 95 109 数(频数) 钉帽着地的频 率( %) 试验累计次数 220 240 260 280 300 320 340 360 380 400 钉帽着地的次 122 135 143 155 162 177 194 203 215 224 数(频数) 钉帽着地的频 率(%) (2)根据上表的数据,画出统计图表示“钉帽着地”的频率. (3) 这个试验说明了什么问题? 要点归纳:一般地,在大量重复试验中,随机事件A发生的频率 (这里n是试验总次数,它必须相当大,m是在这n次试验中随机事件A发生的次数)会稳定到某个常数 p.于是, 我们用 p这个常数表示事件A发生的概率,即 P(A)= p. 练一练 判断正误 (1)连续掷一枚质地均匀硬币10次,结果10次全部是正面,则正面向上的概率是1; (2)小明掷硬币10000次,则正面向上的频率在0.5附近; (3)设一大批灯泡的次品率为0.01,那么从中抽取1000只灯泡,一定有10只次品. 典型例题 例1 某篮球队教练记录该队一名主力前锋练习罚篮的结果如下: (1)填表(精确到0.001); 练习罚篮次数 30 60 90 150 200 300 400 500 罚中次数 27 45 78 118 161 239 322 401 罚中频率 (2)比赛中该前锋队员上篮得分并造成对手犯规,罚篮一次,你能估计这次他能罚中的概 率是多少吗? 例2 瓷砖生产受烧制时间、温度、材质的影响,一块砖坯放在炉中烧制,可能成为合格 品,也可能成为次品或废品,究竟发生哪种结果,在烧制前无法预知,所以这是一种随机 现象.而烧制的结果是“合格品”是一个随机事件,这个事件的概率称为“合格率”.由于烧 制结果不是等可能的,我们常用“合格品”的频率作为“合格率”的估计值.某瓷砖厂对最 近出炉的一大批某型号瓷砖进行质量抽检,结果如下: 抽取瓷 100 200 300 400 500 600 800 1000 2000 砖数n 合格品 95 192 287 385 481 577 770 961 1924 数m 合格品 率 (1) 计算上表中合格品率的各频率(精确到0.001); (2) 估计这种瓷砖的合格率(精确到0.01); (3) 若该厂本月生产该型号瓷砖500000块,试估计合格品数. 要点归纳: 频率与概率的联系:在实际问题中,若事件的概率未知,常用频率作为它的估计值. 频率与概率的区别:频率本身是随机的,在试验前不能确定,做同样次数或不同次数的重 复试验得到的事件的频率都可能不同,而概率是一个确定数,是客观存在的,与每次试验无关. 三、课堂小结 频率与概率的关系: 当试验次数很多或试验时样本容量足够大时,一件事件发 一种关系 生的频率与相应的概率会非常接近,此时,我们可以用一 件事件发生的频率来估计这一事件发生的概率. 频率估计 一种方法 用多次试验所得的频率去估计概率 概率 用样本去估计总体 一种思想 用频率去估计概率 当堂检测 1.一水塘里有鲤鱼、鲫鱼、鲢鱼共1 000尾,一渔民通过多次捕获实验后发现:鲤鱼、鲫鱼 出现的频率是31%和42%,则这个水塘里约有鲤鱼 尾,鲢鱼 尾. 2.抛掷硬币“正面向上”的概率是0.5.如果连续抛掷100次,而结果并不一定是出现“正面 向上”和“反面向上”各50次,这是为什么? 3.在一个不透明的盒子里装有除颜色不同其余均相同的黑、白两种球,其中白球24个,黑 球若干.小兵将盒子里面的球搅匀后从中随机摸出一个球记下颜色,再把它放回盒子中,不 断重复上述过程,下表是试验中的一组统计数据: 摸球的次数n 100 200 300 500 800 1000 3000 摸到白球次数m 65 124 178 302 481 599 1803 0.65 0.62 0.593 0.604 0.601 0.599 0.601 摸到白球概率 (1)请估计:当n很大时,摸到白球的频率将会接近 (精确到0.1); (2)假如你摸一次,估计你摸到白球的概率P(白球)= . 4.(1)填表: 柑橘总质量(n)/千克 损坏柑橘质量(m)/千克 柑橘损坏的频率( ) 50 5.5 100 10.5150 15.15 200 19.42 250 24.25 300 30.93 350 35.32 400 39.24 450 44.57 500 51.54 由上表估计(精确到0.01):柑橘损坏率是 ,完好率是 . (2)某水果公司以2元/千克的成本新进了10000千克柑橘,如果公司希望这些柑橘能够获得 利润5000元,那么在出售柑橘(已去掉损坏的柑橘)时,每千克大约定价为多少元比较合 适? 6.某池塘里养了鱼苗10万条,根据这几年的经验知道,鱼苗成活率为95%,一段时间准备 打捞出售,第一网捞出40条,称得平均每条鱼重 2.5千克,第二网捞出25条,称得平均 每条鱼重2.2千克,第三网捞出35条,称得平均每条鱼重2.8千克,试估计这池塘中鱼的 总质量.参考答案 自主学习 知识链接 1.直接列举法、列表法、画树状图法 2.解:列表如下: A B C (A, (B, (C, A A) A) A) (A, (B, (C, B B) B) B) (A, (B, (C, C C) C) C) 由表格可知,一共有9种等可能的结果,其中甲乙两名学生恰好选择同一场馆的结果有3 种,则P(甲乙两名学生恰好选择同一场馆)= 3.45÷75=0.6,即小强进球的频率是0.6. 课堂探究 二、要点探究 探究点1:用频率估计概率 试验探究:掷硬币试验 (1)填表如下: 累计抛 50 100 150 200 250 300 350 400 掷次数 “正面 朝上” 23 46 78 102 123 150 175 200 的次数 “正面 朝上” 0.46 0.46 0.52 0.51 0.49 0.50 0.50 0.50 的频率 (2)如图所示: (3)试验次数越多频率越接近0. 5,即频率稳定于概率. 思考:1.有限 2.相等 问题:能 试验探究:图钉落地的试验 (1)填表如下:试验累计次数 20 40 60 80 100 120 140 160 180 200 钉帽着地的次 9 19 36 50 61 68 77 84 95 109 数(频数) 钉帽着地的频 45 47.5 60 62.5 61 56.7 55 52.5 52.8 54.5 率( %) 试验累计次数 220 240 260 280 300 320 340 360 380 400 钉帽着地的次 122 135 143 155 162 177 194 203 215 224 数(频数) 钉帽着地的频 55 56.25 55 55.4 54 55.3 57.1 56.4 56.6 56 率(%) (2)如图所示: (3)在图钉落地试验中,“顶帽着地”的频率随着试验次数的增加,稳定在常数 56.5%附 近. 练一练 (1)× (2)√ (3)× 典例精析 例1 解:(1)填表如下: 练习罚篮次数 30 60 90 150 200 300 400 500 罚中次数 27 45 78 118 161 239 322 401 罚中频率 0.900 0.750 0.867 0.787 0.805 0.797 0.805 0.802 (2)从表中的数据可以发现,随着练习次数的增加,该前锋罚篮命中的频率稳定在0.8左 右,所以估计他这次能罚中的概率约为0.8. 例2 解:(1)填表如下: 抽取瓷 100 200 300 400 500 600 800 1000 2000 砖数n 合格品 95 192 287 385 481 577 770 961 1924 数m 合格品 0.950 0.960 0.957 0.963 0.962 0.962 0.963 0.961 0.962 率(2) 观察上表,可以发现,当抽取的瓷砖数n≥400时,合格品率 稳定在0.962的附近, 所以我们可取p=0.96作为该型号瓷砖的合格品率的估计. (3) 500000×96%=480000(块),可以估计该型号合格品数为480000块. 当堂检测 1.310 270 2.答:这是因为频数和频率的随机性以及一定的规律性.或者说概率是针对大量重复试验而 言的,大量重复试验反映的规律并非在每一次试验中都发生. 3.(1)0.6 (2)0.6 4.(1)填表如下: 柑橘总质量(n)/千克 损坏柑橘质量(m)/千克 柑橘损坏的频率( ) 50 5.5 0.110 100 10.5 0.105 150 15.15 0.101 200 19.42 0.097 250 24.25 0.097 300 30.93 0.103 350 35.32 0.101 400 39.24 0.098 450 44.57 0.099 500 51.54 0.103 0.10 0.90 (2)根据估计的概率可以知道,在10000千克柑橘中完好柑橘的质量为10000×0.9=9000千克, 完好柑橘的实际成本为 (元/千克).设每千克柑橘的销价为x元,则应 有(x-2.22)×9000=5000,解得 x≈2.8. 因此,出售柑橘时每千克大约定价为2.8元可获利润5000元. 5.解:先计算每条鱼的平均重量是:(2.5×40+2.2×25+2.8×35)÷(40+25+35)=2.53(千克); 所以这池塘中鱼的重量是2.53×100000× 95%=240350(千克).