当前位置:首页>文档>重难点3-2解三角形的综合应用(8题型+满分技巧+限时检测)(解析版)_2024年新高考资料_3.2024专项复习_2024年高考数学热点·重点·难点专练(新高考专用)

重难点3-2解三角形的综合应用(8题型+满分技巧+限时检测)(解析版)_2024年新高考资料_3.2024专项复习_2024年高考数学热点·重点·难点专练(新高考专用)

  • 2026-04-14 02:42:23 2026-04-14 01:50:14

文档预览

重难点3-2解三角形的综合应用(8题型+满分技巧+限时检测)(解析版)_2024年新高考资料_3.2024专项复习_2024年高考数学热点·重点·难点专练(新高考专用)
重难点3-2解三角形的综合应用(8题型+满分技巧+限时检测)(解析版)_2024年新高考资料_3.2024专项复习_2024年高考数学热点·重点·难点专练(新高考专用)
重难点3-2解三角形的综合应用(8题型+满分技巧+限时检测)(解析版)_2024年新高考资料_3.2024专项复习_2024年高考数学热点·重点·难点专练(新高考专用)
重难点3-2解三角形的综合应用(8题型+满分技巧+限时检测)(解析版)_2024年新高考资料_3.2024专项复习_2024年高考数学热点·重点·难点专练(新高考专用)
重难点3-2解三角形的综合应用(8题型+满分技巧+限时检测)(解析版)_2024年新高考资料_3.2024专项复习_2024年高考数学热点·重点·难点专练(新高考专用)
重难点3-2解三角形的综合应用(8题型+满分技巧+限时检测)(解析版)_2024年新高考资料_3.2024专项复习_2024年高考数学热点·重点·难点专练(新高考专用)
重难点3-2解三角形的综合应用(8题型+满分技巧+限时检测)(解析版)_2024年新高考资料_3.2024专项复习_2024年高考数学热点·重点·难点专练(新高考专用)
重难点3-2解三角形的综合应用(8题型+满分技巧+限时检测)(解析版)_2024年新高考资料_3.2024专项复习_2024年高考数学热点·重点·难点专练(新高考专用)
重难点3-2解三角形的综合应用(8题型+满分技巧+限时检测)(解析版)_2024年新高考资料_3.2024专项复习_2024年高考数学热点·重点·难点专练(新高考专用)
重难点3-2解三角形的综合应用(8题型+满分技巧+限时检测)(解析版)_2024年新高考资料_3.2024专项复习_2024年高考数学热点·重点·难点专练(新高考专用)
重难点3-2解三角形的综合应用(8题型+满分技巧+限时检测)(解析版)_2024年新高考资料_3.2024专项复习_2024年高考数学热点·重点·难点专练(新高考专用)
重难点3-2解三角形的综合应用(8题型+满分技巧+限时检测)(解析版)_2024年新高考资料_3.2024专项复习_2024年高考数学热点·重点·难点专练(新高考专用)
重难点3-2解三角形的综合应用(8题型+满分技巧+限时检测)(解析版)_2024年新高考资料_3.2024专项复习_2024年高考数学热点·重点·难点专练(新高考专用)
重难点3-2解三角形的综合应用(8题型+满分技巧+限时检测)(解析版)_2024年新高考资料_3.2024专项复习_2024年高考数学热点·重点·难点专练(新高考专用)
重难点3-2解三角形的综合应用(8题型+满分技巧+限时检测)(解析版)_2024年新高考资料_3.2024专项复习_2024年高考数学热点·重点·难点专练(新高考专用)
重难点3-2解三角形的综合应用(8题型+满分技巧+限时检测)(解析版)_2024年新高考资料_3.2024专项复习_2024年高考数学热点·重点·难点专练(新高考专用)
重难点3-2解三角形的综合应用(8题型+满分技巧+限时检测)(解析版)_2024年新高考资料_3.2024专项复习_2024年高考数学热点·重点·难点专练(新高考专用)
重难点3-2解三角形的综合应用(8题型+满分技巧+限时检测)(解析版)_2024年新高考资料_3.2024专项复习_2024年高考数学热点·重点·难点专练(新高考专用)
重难点3-2解三角形的综合应用(8题型+满分技巧+限时检测)(解析版)_2024年新高考资料_3.2024专项复习_2024年高考数学热点·重点·难点专练(新高考专用)
重难点3-2解三角形的综合应用(8题型+满分技巧+限时检测)(解析版)_2024年新高考资料_3.2024专项复习_2024年高考数学热点·重点·难点专练(新高考专用)
重难点3-2解三角形的综合应用(8题型+满分技巧+限时检测)(解析版)_2024年新高考资料_3.2024专项复习_2024年高考数学热点·重点·难点专练(新高考专用)
重难点3-2解三角形的综合应用(8题型+满分技巧+限时检测)(解析版)_2024年新高考资料_3.2024专项复习_2024年高考数学热点·重点·难点专练(新高考专用)
重难点3-2解三角形的综合应用(8题型+满分技巧+限时检测)(解析版)_2024年新高考资料_3.2024专项复习_2024年高考数学热点·重点·难点专练(新高考专用)
重难点3-2解三角形的综合应用(8题型+满分技巧+限时检测)(解析版)_2024年新高考资料_3.2024专项复习_2024年高考数学热点·重点·难点专练(新高考专用)
重难点3-2解三角形的综合应用(8题型+满分技巧+限时检测)(解析版)_2024年新高考资料_3.2024专项复习_2024年高考数学热点·重点·难点专练(新高考专用)
重难点3-2解三角形的综合应用(8题型+满分技巧+限时检测)(解析版)_2024年新高考资料_3.2024专项复习_2024年高考数学热点·重点·难点专练(新高考专用)
重难点3-2解三角形的综合应用(8题型+满分技巧+限时检测)(解析版)_2024年新高考资料_3.2024专项复习_2024年高考数学热点·重点·难点专练(新高考专用)
重难点3-2解三角形的综合应用(8题型+满分技巧+限时检测)(解析版)_2024年新高考资料_3.2024专项复习_2024年高考数学热点·重点·难点专练(新高考专用)
重难点3-2解三角形的综合应用(8题型+满分技巧+限时检测)(解析版)_2024年新高考资料_3.2024专项复习_2024年高考数学热点·重点·难点专练(新高考专用)
重难点3-2解三角形的综合应用(8题型+满分技巧+限时检测)(解析版)_2024年新高考资料_3.2024专项复习_2024年高考数学热点·重点·难点专练(新高考专用)
重难点3-2解三角形的综合应用(8题型+满分技巧+限时检测)(解析版)_2024年新高考资料_3.2024专项复习_2024年高考数学热点·重点·难点专练(新高考专用)
重难点3-2解三角形的综合应用(8题型+满分技巧+限时检测)(解析版)_2024年新高考资料_3.2024专项复习_2024年高考数学热点·重点·难点专练(新高考专用)
重难点3-2解三角形的综合应用(8题型+满分技巧+限时检测)(解析版)_2024年新高考资料_3.2024专项复习_2024年高考数学热点·重点·难点专练(新高考专用)
重难点3-2解三角形的综合应用(8题型+满分技巧+限时检测)(解析版)_2024年新高考资料_3.2024专项复习_2024年高考数学热点·重点·难点专练(新高考专用)
重难点3-2解三角形的综合应用(8题型+满分技巧+限时检测)(解析版)_2024年新高考资料_3.2024专项复习_2024年高考数学热点·重点·难点专练(新高考专用)
重难点3-2解三角形的综合应用(8题型+满分技巧+限时检测)(解析版)_2024年新高考资料_3.2024专项复习_2024年高考数学热点·重点·难点专练(新高考专用)
重难点3-2解三角形的综合应用(8题型+满分技巧+限时检测)(解析版)_2024年新高考资料_3.2024专项复习_2024年高考数学热点·重点·难点专练(新高考专用)
重难点3-2解三角形的综合应用(8题型+满分技巧+限时检测)(解析版)_2024年新高考资料_3.2024专项复习_2024年高考数学热点·重点·难点专练(新高考专用)
重难点3-2解三角形的综合应用(8题型+满分技巧+限时检测)(解析版)_2024年新高考资料_3.2024专项复习_2024年高考数学热点·重点·难点专练(新高考专用)
重难点3-2解三角形的综合应用(8题型+满分技巧+限时检测)(解析版)_2024年新高考资料_3.2024专项复习_2024年高考数学热点·重点·难点专练(新高考专用)
重难点3-2解三角形的综合应用(8题型+满分技巧+限时检测)(解析版)_2024年新高考资料_3.2024专项复习_2024年高考数学热点·重点·难点专练(新高考专用)
重难点3-2解三角形的综合应用(8题型+满分技巧+限时检测)(解析版)_2024年新高考资料_3.2024专项复习_2024年高考数学热点·重点·难点专练(新高考专用)
重难点3-2解三角形的综合应用(8题型+满分技巧+限时检测)(解析版)_2024年新高考资料_3.2024专项复习_2024年高考数学热点·重点·难点专练(新高考专用)

文档信息

文档格式
docx
文档大小
2.582 MB
文档页数
39 页
上传时间
2026-04-14 01:50:14

文档内容

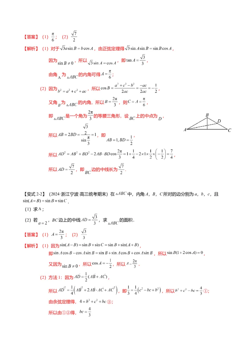
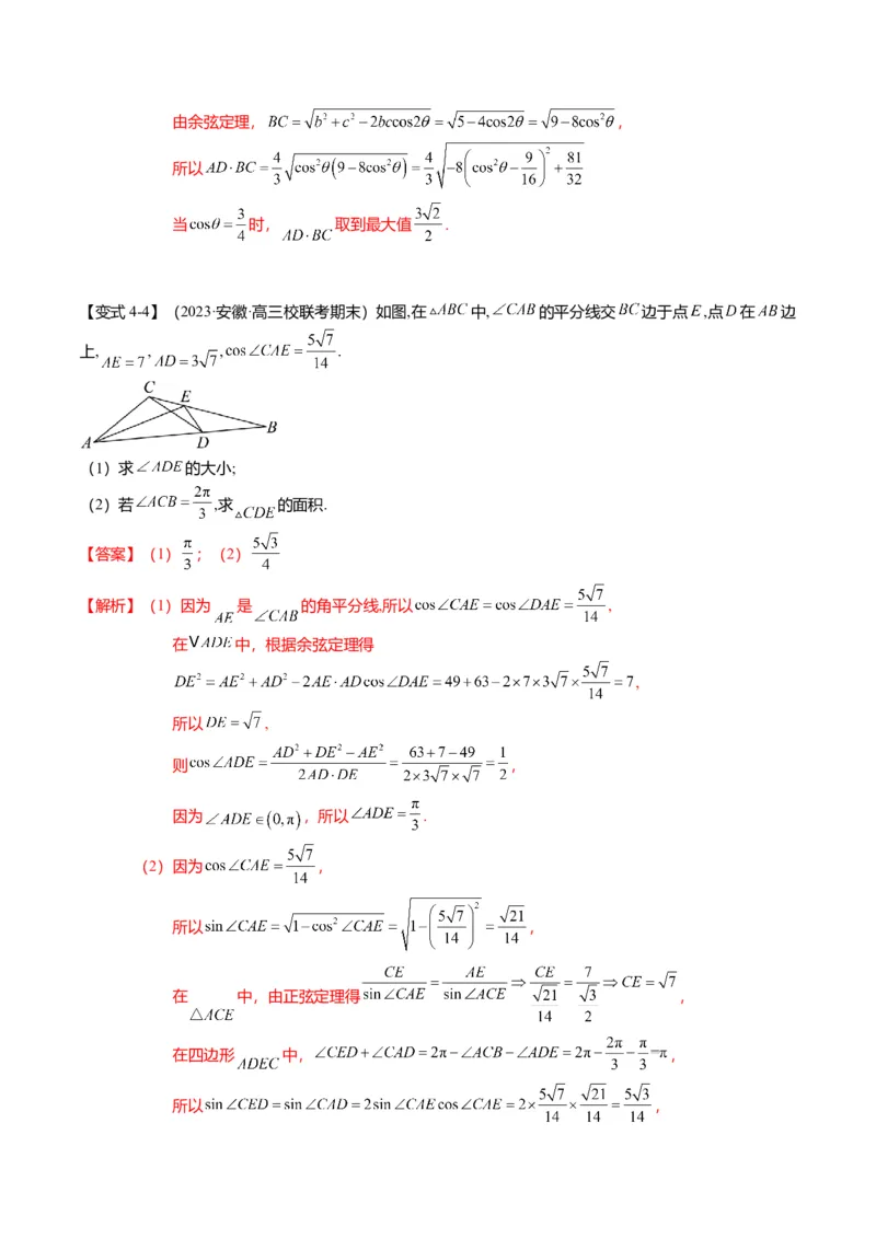
重难点 3-2 解三角形的综合应用 解三角形一直是高考数学中的热门考点,这类试题主要考查学生数形结合、等价转化、数学运算和逻辑推 理的能力。一般为中等难度,但题目相对综合,涉及知识较多,可通过三角恒等变换、构造函数或构造基 本不等式等方法加以解决。 【题型1 四边形中的解三角形问题】 满分技巧 四边形中的解三角形问题通常需将四边形分成多个三角形,观察各个三角形之间的关系,找出同角、共 边的三角形,有时还需结合三角恒等变换。 【例1】(2024·湖南娄底·高三统考期末)如图所示,在平面四边形 中,角 为钝角,且 . (1)求钝角 的大小; (2)若 ,求 的大小. 【答案】(1) ;(2) 【解析】(1)因为 , 所以 , 所以 , 又 ,所以 ,即 ,解得 或者 , 又 为钝角,所以 . (2)设 ,四边形内角和为 , 由(1)的结论知: , 在 中,由正弦定理得: ,即 , 在 中, ,即 , 又 , 则 ,即 ,即 , ,即 , ,即 ,即 的大小为 . 【变式1-1】(2024·云南昆明·统考一模)在 中, , , . (1)求 的面积; (2)如图, , ,求 . 【答案】(1) ;(2) 【解析】(1)因为 , ,所以 , 因为 , ,所以 , 在 中,由正弦定理可得 ,解得 . 又因为 , 所以 . (2)由(1)可知, ,因为 ,所以 ,又因为 ,即 ,故 , 所以 , , 在 中,由余弦定理可得 ,解得 . 【变式1-2】(2024·重庆·高三重庆八中校考开学考试)已知四边形 的外接圆面积为 ,且 为钝角, (1)求 和 ; (2)若 ,求四边形 的面积. 【答案】(1) , ;(2) 【解析】(1)四边形 的外接圆面积为 ,即 的外接圆面积为 , 设 的外接圆半径为 , 则 ,解得 , 在 中, ,即 ,故 , 因为 为钝角,所以 为锐角,故 , 由余弦定理得 ,即 , 故 ,解得 ,负值舍去, (2) , 因为 ,所以 , 在 中,由正弦定理得 , 又 ,故 ,解得 , 在 中,由余弦定理得 , 即 ,解得 ,故 , 四边形 的面积为 . 【变式1-3】(2024·云南楚雄·楚雄彝族自治州民族中学模拟预测)如图,在四边形 中, 为 的 中点, , , , (1)求 ; (2)若 , ,求 . 【答案】(1) ;(2) 【解析】(1)因为 , , , 为 的中点, 所以在 中, , 所以 , 所以 , 在 中, , 所以 , . (2)因为 ,所以 ,所以 , 所以 , 在 中, , 所以【题型2 解三角形中的中线应用】 满分技巧 1、中线长定理:在∆ABC中,AD是边BC上的中线,则AB2+AC2=2(BD2+AD2 ) 【点睛】灵活运用同角的余弦定理,适用在解三角形的题型中 1 2、向量法: ⃗AD2= (b2+c2+2bccosA) 4 BD 【点睛】适用于已知中线求面积(已知 的值也适用). CD 【例2】(2024·广东广州·广州六中校考三模)在 中,角 , , 对应的边分别为 , , 且 . (1)求角 ; (2) , ,点 在 上, ,求 的长. 【答案】(1) ;(2) 【解析】(1)由题意知, ,得 , 由余弦定理,得 ,即 , 所以 , 由 ,得 . (2)由(1)知, ,所以 ,即 , 由 ,解得 ,即 , 设 ,则 , 在 中,由余弦定理得 , 在 中,由余弦定理得 , 所以 , 整理得 ,即 ,解得 , 所以 . 【变式2-1】(2024·云南曲靖·高三校联考阶段练习)在 中,内角 所对应的边分别为 , 且满足 . (1)求角 ; (2)若 ,且 ,求 边的中线长.【答案】(1) ;(2) 【解析】(1)对于 ,由正弦定理得 , 因为 ,所以 ,即 , 由角 为 的内角可得 ; (2)因为 ,所以 , 又角 为 的内角,所以 ,则 , 即 是一个角为 的等腰三角形,设 上的中点为 , 所以 ,即 , 所以 , 所以 ,即 边的中线长为 . 【变式2-2】(2024·浙江宁波·高三统考期末)在 中,内角A,B,C所对的边分别为a,b,c,且 . (1)求 ; (2)若 ,BC边上的中线 ,求 的面积. 【答案】(1) ;(2) 【解析】(1)因为 , 即 ,所以 , 又因为 ,所以 ,所以 . (2)方法1:因为 , 所以 ,即 ,所以 ①; 由余弦定理得, ②; 所以由①②得,所以 . 方法2:由余弦定理得: , 因为 ,所以 ①; 又 ②; 所以由①②得, 所以 . 【变式2-3】(2024·重庆·统考一模)在梯形 中, 为钝角, , . (1)求 ; (2)设点 为 的中点,求 的长. 【答案】(1) ;(2) 【解析】(1)在梯形 中,由 为钝角,得 是锐角, 在 中, ,则 , 由余弦定理得 ,即 为等腰三角形, 所以 . (2)由 ,得 , 由点 为 的中点,得 , 所以 . 【变式2-4】(2024·全国·高三专题练习)在 中, . (1)求 的大小; (2)若 ,再从条件①、条件②、条件③这三个条件中选择一个作为已知,使 存在,求 边 上中线的长.条件①: 的面积为 ;条件②: ;条件③: . 【答案】(1) ;(2)不能选①,选②或③,答案均为1 【解析】(1)由正弦定理 及 ,得 .① 因为 ,所以 .② 由①②得 . 因为 ,所以 .所以 . 因为 ,所以 . (2)选①, 的面积为 , 即 ,即 ,解得 , 因为 ,由余弦定理得 , 即 ,解得 , 由基本不等式得 ,但 , 故此时三角形不存在,不能选①, 选条件②: . 由(1)知, . 所以 , 所以 . 因为 ,所以 .所以 ,即 . 所以 是以 为斜边的直角三角形. 因为 ,所以 . 所以 边上的中线的长为 . 选条件③: . 由余弦定理得 ,即 .设 边上的中线长为 ,由余弦定理得 , 所以 边上的中线的长为1. 【题型3 解三角形中的垂线应用】 满分技巧 1、 分别为 边 上的高,则 2、求高一般采用等面积法,即求某边上的高,需要求出面积和底边长度 高线两个作用:(1)产生直角三角形;(2)与三角形的面积相关。 【例3】(2024·云南昆明·高三昆明一中校考阶段练习)在 中,内角A,B,C满足 . (1)求 ; (2)若 边上的高等于 ,求 . 【答案】(1) ;(2) 【解析】(1)设 的内角A,B,C所对边分别为a,b,c, 因为 , 由正弦定理得: , 由余弦理得 又因为 ,所以 , . (2)如图:设 边上的高为 , 为垂足, 在 中, ; 在 中, , , , 设 ,则 , , 所以 , 所以 .【变式3-1】(2024·福建·高三校联考开学考试)在 中,内角A,B,C所对的边分别为a,b,c,且 . (1)求A; (2)过点A作 的垂线与 的延长线交于点D, , 的面积为 ,求 的周长. 【答案】(1) ;(2) 【解析】(1)因为 , 由正弦定理得 .两边除以 ,得 , 由二倍角公式,有 , 整理为 ,上式因式分解为 , 解得 或 (舍去), 又由 ,可得 ; (2)由 .有 , 又由 ,可得 , 有 ,可得 , 又由 的面积为 及 ,有 , 代入 ,可得 , , 又由 ,有 ,代入 ,可得 , 在 中,由余弦定理,有 , 有 的周长为 . 【变式3-2】(2024·江苏常州·高三统考期末)记 的内角 , , 的对边分别为 , , , 边 上的高为 ,已知 . (1)若 ,求 的值; (2)若 ,求 的值. 【答案】(1) 或2;(2) 【解析】(1)余弦定理得 ,, 又 ,所以 ,代入 , , 或2. (2) 由正弦定理得 , 又 , , , , , , , , , , . 【变式3-3】(2024·江西赣州·高三统考期末)在 中,角A,B,C所对的边分别为a,b,c, . (1)证明: ; (2)记边AB和BC上的高分别为 和 ,若 ,判断 的形状. 【答案】(1)证明见解析;(2)直角三角形. 【解析】(1)因为 ,由正弦定理得, , 整理可得, , 又 ,于是 ,即 , 因为 ,所以 , 所以 或 (舍去),所以 ; (2)根据等面积法可知 ,即 , 由 ,可得 , 又由 及正弦定理可得, ,解得 , 由于 ,所以 , 所以 ,所以 是直角三角形. 【变式3-4】(2024·全国·模拟预测)在 中,角A,B,C的对边分别为a,b,c且 ,过点A作 ,使得四边形ABCD满足 , . (1)求角 的大小; (2)若 ,求四边形 的面积. 【答案】(1) ;(2) 【解析】(1)由 及正弦定理,得 . 整理化简得 . 由余弦定理得 . 又 ,所以 . (2)设 ,则 , . 在 中,由正弦定理得 .所以 . 在 中,由正弦定理得 ,所以 , 即 . 所以 ,即 .注意到 ,所以 , . 所以 , , . 所以四边形 的面积为 . 【题型4 解三角形中的角平分线应用】 满分技巧 如图,在∆ABC中,AD平分∠BAC,角A、B,C所对的边分别问a,b,c 1、利用角度的倍数关系:∠BAC=2∠BAD=2∠CAD AB BD 2、内角平分线定理:AD为∆ABC的内角∠BAC的平分线,则 = . AC DC 说明:三角形内角平分线性质定理将分对边所成的线段比转化为对应的两边之比,再结合抓星结构, 就可以转化为向量了,一般的,涉及到三角形中“定比”类问题,运用向量知识解决起来都较为简捷。 3、等面积法: 1 A 1 A 1 因为S +S =S ,所以 c∙ADsin + b∙ADsin = bcsinA,所以 ∆ABD ∆ACD ∆ABC 2 2 2 2 2 A (b+c)AD=2bc cos 2 A 2bccos 整理的: 2 (角平分线长公式) AD= b+c 【例4】(2024·河北沧州·高三泊头市第一中学校联考期末)在 中, . (1)求 ; (2)若 ,点 在边 上, 平分 ,求 的长. 【答案】(1) ;(2) 【解析】(1)因为 , 所以 , 由正弦定理得 ,故由余弦定理可得 , 因为 ,所以 ;(2)因为 平分 ,所以 , 在 中,由正弦定理得 ,所以 , 在 中,由正弦定理得 ,所以 , 又 ,所以 , 所以 ,所以 , 所以 ,所以 , 所以 , 即 ,所以 . 【变式4-1】(2024·广东湛江·高三统考期末)在 中,内角A,B,C的对边分别为a,b,c, , . (1)求角A; (2)作角A的平分线与 交于点 ,且 ,求 . 【答案】(1) ;(2) 【解析】(1)因 ,由正弦定理可得: , 即 . 因 ,故 ,则有 ,即 , 因 ,故 . (2)因为 为角平分线,所以 , 所以 . 因 , , ,则 , 即 ,所以 . 又由余弦定理可得: ,把 , 分别代入化简得: , 解得: 或 (舍去),所以 . 【变式4-2】(2024·山东济南·高三统考期末)记 的内角A,B,C的对边分别是a,b,c,且 , . (1)求B, (2) 的平分线交边 于点D,且 ,求b. 【答案】(1) ;(2) 【解析】(1)因为 , ,所以 , 又 ,所以 . (2)因为 ,即 , 又 , ,解得 , 在 中,由余弦定理得 , 则 . 【变式4-3】(2024·浙江宁波·高三余姚中学校联考期末)在 中,已知 . (1)求 的长; (2)若 的平分线 交 点 ,求 的最大值. 【答案】(1) ;(2) 【解析】(1)由题意得, ,得到 , 所以 , 由正弦定理 ,得到 , 又 ,所以 . (2)设 ,因为 , 所以 , 又 ,所以 ,由余弦定理, , 所以 当 时, 取到最大值 . 【变式4-4】(2023·安徽·高三校联考期末)如图,在 中, 的平分线交 边于点 ,点 在 边 上, , , . (1)求 的大小; (2)若 ,求 的面积. 【答案】(1) ;(2) 【解析】(1)因为 是 的角平分线,所以 , 在 中,根据余弦定理得 , 所以 , 则 , 因为 ,所以 . (2)因为 , 所以 , 在 中,由正弦定理得 , 在四边形 中, , 所以 ,则 . 【题型5 解三角形中的等分点应用】 满分技巧 当所三角形问题不再是中线、角平分线、垂线这些特殊情况时,要注意结合补角的三角函数关系以及同 角不同三角形,利用正余弦定理建立方程解出未知量。 【例5】(2024·山西太原·高三统考期末)在 中, , , 分别为内角 的对边,点 在线 段 上, , , 的面积为 . (1)当 ,且 时,求 ; (2)当 ,且 时,求 的周长. 【答案】(1) ;(2) . 【解析】(1)由题意得 , , , , , , , , , ; (2)由题意得 , , , , , , , , , , , , , 的周长为 . 【变式5-1】(2024·江苏苏州·高三统考期末)在 中,角 的对边分别为 ,已知 . (1)求证: ;(2)若点 在边 上,且 ,求 的面积. 【答案】(1)证明见解析;(2) 【解析】(1)因为 , 由正弦定理知 , 所以 , 所以3 ,即 , 因为 , 所以 ,所以 . (2)在 中, , 在 中, , 所以 ,所以 , 所以 ,因为 ,所以 , 所以 . 【变式5-2】(2023·江苏扬州·高三统考阶段练习)如图,在 中,角A,B,C所对的边分别为 , , ,且 . (1)求 ; (2)已知 , 为边 上的一点,若 , ,求 的长. 【答案】(1) ;(2) 【解析】(1)因为 , 由正弦定理得 , 因为 ,可得 ,所以 ,即 ,所以 , 又因为 ,可得 ,所以 ,可得 . (2)在 中,由余弦定理得 , 所以 , 因为 且 ,所以 , 所以 , 又因为 ,所以 , 所以 , 在 中,由正弦定理得 , 即 ,解得 . 【变式5-3】(2023·安徽·校联考模拟预测)在 中,角A,B,C的对边分别为a,b,c,且 . (1)求证: ; (2)如图:点 在线段 上,且 ,求 的值. 【答案】(1)证明见解析;(2) 【解析】(1)证明:由余弦定理得 , 又 ,可得 ,即 , 由正弦定理得 , 而 ,代入上式, 可得 ,所以 (舍)或 ,即 . (2)因为 , ,所以 , 在 中,由正弦定理得 , 而 ,可得 , 代入 ,可得 , 由余弦定理得 . 【变式5-4】(2023·重庆沙坪坝·重庆八中校考模拟预测)已知 , , 分别为 三个内角 , , 的对边,且 . (1)求 ; (2)若 ,点 在边 上, ,且 ,求 . 【答案】(1) ;(2) . 【解析】(1)在 中,由正弦定理及 , 得 , 即 , 则 , 而 ,于是 ,即 , 又 ,即有 ,则 ,所以 . (2)依题意, ,则 ,而 , 于是 , ,解得 , 又 ,解得 , 由余弦定理得 ,解得 ,所以 . 【题型6 与三角值有关的最值范围】 满分技巧三角形中的最值范围问题处理方法 1、利用基本不等式求最值-化角为边 余弦定理公式里有“平方和”和“积”这样的整体,一般可先由余弦定理得到等式,再由基本不等式求 最值或范围,但是要注意“一正二定三相等”,尤其是取得最值的条件。 2、转为三角函数求最值-化边为角 如果所求整体结构不对称,或者角度有更细致的要求,用余弦定理和基本不等式难以解决,这时候可以 转化为角的关系,消元后使得式子里只有一个角,变为三角函数最值问题进行解决。 要注意三角形隐含角的范围、三角形两边之和大于第三边。 【例6】(2024·全国·模拟预测)记 的内角 所对边分别为 ,已知 . (1)证明: ; (2)求 的最小值. 【答案】(1)证明见解析;(2) . 【解析】(1)已知 , 由正弦定理得: , 整理得: , ……① 因为 ……② ②代入①有: , 再由正弦定理得 . (2)由余弦定理得: , 当且仅当 时,等号成立,所以 的最小值为 . 【变式6-1】(2024·河北邢台·高三统考期末)在锐角 中,内角 , , 的对边分别为 , , , 已知 . (1)求 ; (2)求 的取值范围. 【答案】(1) ;(2) 【解析】(1) ,由正弦定理得 . 因为 ,所以 .因为 为锐角三角形,所以 .(2)因为 ,所以 . 因为 为锐角三角形,所以 得 . 因为 , 由 ,得 ,所以 . 即 的取值范围为 . 【变式6-2】(2024·山东枣庄·高三统考期末)在 中,角 所对的边分别为 .若 . (1)求 ; (2)若 为锐角三角形,求 的取值范围. 【答案】(1) ;(2) . 【解析】(1)因为 , 整理得 , 所以 , 由正弦定理得: , 因为 ,所以 ,所以 . (2)因为 为锐角三角形, ,所以 ,且 ,所以 , 解法 , 因为 ,所以 , 所以 ,即 的取值范围是 . 解法 , 因为 ,所以 ,得 , 所以 , 即 的取值范围是 . 【变式6-3】(2023·湖南永州·统考二模)记 三个内角 的对边分别为 ,已知 为锐角, . (1)求 ; (2)求 的最小值. 【答案】(1) ;(2)无最小值; 【解析】(1)因为 , 由正弦定理得 , 由余弦定理可得 , 所以可得 ,解得 或 ; 又 为锐角,所以 , 因此 ; (2)结合(1)中 , 又 可得: ; 令 ,则 , 又 为锐角, ,所以 ,可得 , 所以 ,当 时, 恒成立,即可得 为单调递增, 所以 时, ,所以 无最值; 因此 无最小值. 【变式6-4】(2023·重庆永川·高三重庆市永川北山中学校校考阶段练习)在 中,角A、B、C所对的 边分别为a、b、c,且 . (1)求角 的大小; (2)求 的取值范围. 【答案】(1) ;(2) 【解析】(1)由正弦定理可得, , 从而可得 , , 又 为三角形的内角,所以 ,于是 , 又 为三角形的内角,因此 . (2) , 由 可知, , , 从而 , 因此 , 故 的取值范围为 . 【题型7 与边或周长有关的最值范围】 【例7】(2022·河南·高三专题练习)已知 中,角 所对的边分别为 ,若 ,且 ,则 的最小值为( )A. B. C. D. 【答案】C 【解析】因为 ,可得 , 即 ,即 , 可得 , 因为 ,则 ,所以 ,解得 , 又因为 ,所以 ,所以 , 所以 ,由余弦定理得 ,所以 , 所以 ,即 ,当且仅当 时等号成立.故选:C. 【变式7-1】(2022·全国·高三专题练习)在 中,内角 , , 所对的边分别为 , , ,若 , ,则 的最大值为( ) A. B. C. D. 【答案】A 【解析】因为 , 所以 ,即 , 由正弦定理可得 , 即 ,即 , 因为 ,所以 , 因为 , 所以 ; 由正弦定理可得 , 则 , 其中 , , 因为 ,所以 , 从而当 时, 取得最大值为 ,故选:A【变式7-2】(2024·广东汕头·金山中学校考模拟预测)在① ,② ,③ 三个条件中任选一个补充在下列问题中,并解决 该问题. 在 中,角 所对的边分别为 ,__________,且 .求: (1) ; (2) 周长的取值范围. 【答案】(1) ;(2) 【解析】(1)若选① ,由正弦定理得: , , , , , . 若选② , , , , . 若选③ , , 由正弦定理得: , 由余弦定理得: , , . (2) , , , , , , 即 ,所以△ABC周长的取值范围 . 【变式7-3】(2024·青海西宁·高三统考期末)在 中,角A,B,C的对边分别是a,b,c,且. (1)求 的值; (2)若 ,求 的取值范围. 【答案】(1) ;(2) 【解析】(1)因为 , 所以 , 所以 . 因为 ,所以 ,所以 . (2)由余弦定理可得 , 则 , 因为 ,当且仅当 时,等号成立, 所以 ,即 ,解得 . 因为 ,所以 . 综上, 的取值范围为 . 【变式7-4】(2023·江苏盐城·高三盐城中学校联考阶段练习)已知 的内角 的对边分别为 ,且 的面积为 (1)求 ; (2)求 周长的最小值. 【答案】(1) ;(2) 【解析】(1)由 ,得 , 即 ,则 , 由 ,得 . (2) ,得 , 由余弦定理,有 ,得 , 周长 ,当且仅当 时取等号,所以 周长的最小值为 . 【题型8 与面积有关的最值范围】 【例8】(2024·陕西咸阳·统考模拟预测)在 中,内角 , , 的对边分别为 , , ,已知该 三角形的面积 . (1)求角 的大小; (2)若 时,求 面积的最大值. 【答案】(1) ;(2) . 【解析】(1)在 中, , 而 ,即 , ,由余弦定理得 ,所以 . (2)由(1)知, , ,而 ,于是 , 即 ,当且仅当 时取等, 因此 的面积 , 所以当 时, 面积取得最大值 . 【变式8-1】(2024·四川成都·高三成都七中校考开学考试)在锐角 中,角 所对应的边分别为 ,已知 . (1)求 的值; (2)若 ,求 面积的取值范围. 【答案】(1) ;(2) 【解析】(1) ,由正弦定理得 ,即 , 由余弦定理得 , 因为 ,所以 . (2)在锐角 中, ,记 的面积为 .由正弦定理得 ,即 . 所以 . 因为在锐角 中, ,所以 , 解得 , 则 ,故 . 【变式8-2】(2024·上海普陀·高三校考期末)在 中,已知 分别为 的对边,且 , , (1)求 满足的表达式 (2)如果 ,求出此时 面积的最大值. 【答案】(1) ;(2) . 【解析】(1)由题设 , 所以 , 则 , , 又 ,则 , 所以 ,故 ,故 . (2)由 ,故 ,且 , 由 ,即 ,故 , 又 面积 , 当 ,即 时, . 【变式8-3】(2024·江西·高三校联考期末)如图,在△ABC中, ,D为△ABC外一点, ,记 , .(1)求 的值; (2)若 的面积为 , 的面积为 ,求 的最大值. 【答案】(1) ;(2) 【解析】(1)在 中,由余弦定理,得 , 在 中,由余弦定理,得 , 所以 , 所以 ,即 . (2)由题意知 , , 所以 , 由(1)知 , 所以 , , 所以 , 所以当 时, 取得最大值,最大值为 . 【变式8-4】(2023·湖南长沙·高三长沙一中校考阶段练习) 的内角A,B,C所对边分别为a,b, c,点O为 的内心,记 , , 的面积分别为 , , ,已知 , . (1)在① ;② ;③ 中选一个作为条件,判 断 是否存在,若存在,求出 的周长,若不存在,说明理由.(注:如果选择多个条件分别解答, 按第一个解答计分.) (2)若 为锐角三角形,求 面积的取值范围. 【答案】(1)见解析;(2) 【解析】(1)设 的内切圆半径为r,因为 ,所以 ,化简得: , 所以 ,因为 ,所以 , 选择①,因为 ,所以 , 因为 , ,所以 , 整理得 , 方程无实数解,所以 不存在. 选择②,因为 ,所以 , 因为 ,所以 ,所以 , 因为 , ,所以 , 整理得 ,方程无实数解,所以 不存在. 选择③,由 得: , 所以 ,即 ,所以 , 因为以 , , 所以 ,所以 ,解得 , 所以 存在且唯一, 的周长为 . (2)由(1)知, , 面积 , 因为 ,所以 , 因为 为锐角三角形, 所以 , ,解得: , 所以 ,所以 , , , 所以 的取值范围为 , 而 面积 .(建议用时:60分钟) 1.(2023·广东深圳·高三校考期末)在平面四边形 中, , ,对角线 与 交于 点 , 是 的中点, (1)若 ,求 的长; (2)若 ,求 【答案】(1) ;(2) 【解析】(1)在 中,由余弦定理可得 , 所以 ,化简得 ,解得 , 因为 是 的中点,所以 , 在 中,由余弦定理可得 , 所以 , 因为 ,所以 , 由余弦定理可得 , 在 中,由余弦定理可得 , 所以 ; (2)因为 , ,所以 , 因为 ,所以 , 设 ,所以 , 即 ,解得 , 所以 , 在 中,由余弦定理可得 .2.(2024·浙江·校联考一模)在 中,内角 所对的边分别是 ,已知 . (1)求角 ; (2)设边 的中点为 ,若 ,且 的面积为 ,求 的长. 【答案】(1) ;(2) 【解析】(1)在 中,由正弦定理得, , 因为 ,所以 , 化简得, , 在 中,由余弦定理得, , 又因为 ,所以 (2)由 ,得 , 由 ,得 ,所以 . 又因为边 的中点为 ,所以 , 所以 3.(2023·湖南长沙·高三统考阶段练习)已知 中, . (1)求 ; (2) 的平分线交 于 ,求 的长. 【答案】(1) ;(2) 【解析】(1)由正弦定理可得 ,即 , 又 为三角形内角, , . (2)由余弦定理可得 , 解得 或 (舍) 又由角平分线定理有 ,即 ,解得 ,所以在 中,由余弦定理有 . 4.(2023·江苏·高三校联考阶段练习)在 中,内角 , , 所对边分别为 , , , . (1)求 的值; (2)若 , ,点 在 内部,且 , ,求 的面积. 【答案】(1)0;(2) . 【解析】(1)在 中, , 由正弦定理可得: , ∵ ,∴ ,∴ , ∵ ,∴ . 所以: (2)如图: ,所以 在线段 的中垂线上,作 , ,垂足分别为 , . 则 ,设 , 则 中, ; 在 中, ; 在 中, ,所以: , 解得: 或 (舍去,因为此时 点在 外部). 所以 . 5.(2024·广东·高三广东实验中学校联考期末)在 中,角 所对的边分别为 边上的高 设为 ,且 . (1)若 ,求 的值; (2)求 的取值范围. 【答案】(1) ;(2) . 【解析】(1)由题意,在 中,由余弦定理和 可得,., 又由面积公式可知 , ,由 得 又 ∴ , (2)由题意及(1)得, 在 中, . 过 作 的垂线 ,且使 ,则 , ,即 ,得 , , , , 由 ,得 , 的取值范围为 . 6.(2024·浙江绍兴·高三统考期末)在 中,已知 . (1)若 ,求 的值; (2)已知中线 交 于 ,角平分线 交 于 ,且 , ,求 的面积. 【答案】(1) 或 ;(2) 【解析】(1)因为 ,得到 ,即 ,由平方关系得 , 整理得到 ,解得 或 . (2)因为 ,得到 , 整理得到 ,所以 , 又 ,所以 ,得到 , 又 是 的中点,所以 , 又 ,得到 ,整理得到 , 又 ,得到 , 所以 . 7.(2024·全国·武钢三中校联考模拟预测)已知 中,角 , , 所对的边分别为 . (1)求 的值; (2)若 为线段 上一点且满足 平分 ,求 的面积的取值范围. 【答案】(1)4;(2) 【解析】(1)由题意知 ,即 , 故 ,即 , 结合 ,得 ; (2)由于 平分 ,故 , 故 , 而 ,即得 , 设 ,则 , 即 ,则 ,故 , 当 ,即 时, 取到最大值,最大值为3; 又 ,满足 , 当 无限趋近于1或2时, 无限趋近于0, 故 的面积的取值范围为 . 8.(2024·山东威海·高三统考期末)在 中,角 所对的边分别为 记 的面积为 , 已知 . (1)求角 的大小; (2)若 ,求 的最大值. 【答案】(1) ;(2)24 【解析】(1)因为 ,所以 , 可得 , 因为 ,所以 . (2)由余弦定理可知 ,即 , 因为 ,所以 , 所以 ,可得 , 当且仅当 时,等号成立,所以 的最大值为 . 9.(2024·湖北·校联考模拟预测)在 中,已知 ,D为 的中点. (1)求A; (2)当 时,求 的最大值. 【答案】(1) ;(2) 【解析】(1) , , 即 , ,即 .或 , 当 时, , 由 , 有 ,即 时 . 当 时, (舍). . (2)设 , , 由(1)及余弦定理有 ,即 . ,即 ,当且仅当 时等号成立. 由D为边 的中点有 , , 当且仅当 时等号成立. ,当且仅当 时等号成立. 的最大值为 . 10.(2024·四川成都·成都七中校考模拟预测)记钝角 的内角 的对边分别为 .若 为锐 角且 . (1)证明: ; (2)若 ,求 周长的取值范围. 【答案】(1)证明见解析;(2) 【解析】(1)由条件可知: ,所以 , 因为 ,所以 ,所以 , 因为 , 所以 , 由正弦定理可知: . (2)因为 且 ,所以 , 所以 , 所以 , 因为 ,所以 ,所以 , 所以 , 因为 ,所以 ,所以 , 所以 ,所以 , 所以 周长的取值范围是 .