当前位置:首页>文档>第02讲三角恒等变换(十一大题型)(讲义)(原卷版)_2025年新高考资料_一轮复习_2025年高考数学一轮复习讲练测(新教材新高考,含2024高考真题)_第四章三角函数与解三角形

第02讲三角恒等变换(十一大题型)(讲义)(原卷版)_2025年新高考资料_一轮复习_2025年高考数学一轮复习讲练测(新教材新高考,含2024高考真题)_第四章三角函数与解三角形

  • 2026-04-16 03:08:47 2026-04-16 03:07:53

文档预览

第02讲三角恒等变换(十一大题型)(讲义)(原卷版)_2025年新高考资料_一轮复习_2025年高考数学一轮复习讲练测(新教材新高考,含2024高考真题)_第四章三角函数与解三角形
第02讲三角恒等变换(十一大题型)(讲义)(原卷版)_2025年新高考资料_一轮复习_2025年高考数学一轮复习讲练测(新教材新高考,含2024高考真题)_第四章三角函数与解三角形
第02讲三角恒等变换(十一大题型)(讲义)(原卷版)_2025年新高考资料_一轮复习_2025年高考数学一轮复习讲练测(新教材新高考,含2024高考真题)_第四章三角函数与解三角形
第02讲三角恒等变换(十一大题型)(讲义)(原卷版)_2025年新高考资料_一轮复习_2025年高考数学一轮复习讲练测(新教材新高考,含2024高考真题)_第四章三角函数与解三角形
第02讲三角恒等变换(十一大题型)(讲义)(原卷版)_2025年新高考资料_一轮复习_2025年高考数学一轮复习讲练测(新教材新高考,含2024高考真题)_第四章三角函数与解三角形
第02讲三角恒等变换(十一大题型)(讲义)(原卷版)_2025年新高考资料_一轮复习_2025年高考数学一轮复习讲练测(新教材新高考,含2024高考真题)_第四章三角函数与解三角形
第02讲三角恒等变换(十一大题型)(讲义)(原卷版)_2025年新高考资料_一轮复习_2025年高考数学一轮复习讲练测(新教材新高考,含2024高考真题)_第四章三角函数与解三角形
第02讲三角恒等变换(十一大题型)(讲义)(原卷版)_2025年新高考资料_一轮复习_2025年高考数学一轮复习讲练测(新教材新高考,含2024高考真题)_第四章三角函数与解三角形
第02讲三角恒等变换(十一大题型)(讲义)(原卷版)_2025年新高考资料_一轮复习_2025年高考数学一轮复习讲练测(新教材新高考,含2024高考真题)_第四章三角函数与解三角形
第02讲三角恒等变换(十一大题型)(讲义)(原卷版)_2025年新高考资料_一轮复习_2025年高考数学一轮复习讲练测(新教材新高考,含2024高考真题)_第四章三角函数与解三角形
第02讲三角恒等变换(十一大题型)(讲义)(原卷版)_2025年新高考资料_一轮复习_2025年高考数学一轮复习讲练测(新教材新高考,含2024高考真题)_第四章三角函数与解三角形
第02讲三角恒等变换(十一大题型)(讲义)(原卷版)_2025年新高考资料_一轮复习_2025年高考数学一轮复习讲练测(新教材新高考,含2024高考真题)_第四章三角函数与解三角形
第02讲三角恒等变换(十一大题型)(讲义)(原卷版)_2025年新高考资料_一轮复习_2025年高考数学一轮复习讲练测(新教材新高考,含2024高考真题)_第四章三角函数与解三角形
第02讲三角恒等变换(十一大题型)(讲义)(原卷版)_2025年新高考资料_一轮复习_2025年高考数学一轮复习讲练测(新教材新高考,含2024高考真题)_第四章三角函数与解三角形
第02讲三角恒等变换(十一大题型)(讲义)(原卷版)_2025年新高考资料_一轮复习_2025年高考数学一轮复习讲练测(新教材新高考,含2024高考真题)_第四章三角函数与解三角形
第02讲三角恒等变换(十一大题型)(讲义)(原卷版)_2025年新高考资料_一轮复习_2025年高考数学一轮复习讲练测(新教材新高考,含2024高考真题)_第四章三角函数与解三角形
第02讲三角恒等变换(十一大题型)(讲义)(原卷版)_2025年新高考资料_一轮复习_2025年高考数学一轮复习讲练测(新教材新高考,含2024高考真题)_第四章三角函数与解三角形
第02讲三角恒等变换(十一大题型)(讲义)(原卷版)_2025年新高考资料_一轮复习_2025年高考数学一轮复习讲练测(新教材新高考,含2024高考真题)_第四章三角函数与解三角形
第02讲三角恒等变换(十一大题型)(讲义)(原卷版)_2025年新高考资料_一轮复习_2025年高考数学一轮复习讲练测(新教材新高考,含2024高考真题)_第四章三角函数与解三角形
第02讲三角恒等变换(十一大题型)(讲义)(原卷版)_2025年新高考资料_一轮复习_2025年高考数学一轮复习讲练测(新教材新高考,含2024高考真题)_第四章三角函数与解三角形
第02讲三角恒等变换(十一大题型)(讲义)(原卷版)_2025年新高考资料_一轮复习_2025年高考数学一轮复习讲练测(新教材新高考,含2024高考真题)_第四章三角函数与解三角形
第02讲三角恒等变换(十一大题型)(讲义)(原卷版)_2025年新高考资料_一轮复习_2025年高考数学一轮复习讲练测(新教材新高考,含2024高考真题)_第四章三角函数与解三角形
第02讲三角恒等变换(十一大题型)(讲义)(原卷版)_2025年新高考资料_一轮复习_2025年高考数学一轮复习讲练测(新教材新高考,含2024高考真题)_第四章三角函数与解三角形
第02讲三角恒等变换(十一大题型)(讲义)(原卷版)_2025年新高考资料_一轮复习_2025年高考数学一轮复习讲练测(新教材新高考,含2024高考真题)_第四章三角函数与解三角形

文档信息

文档格式
docx
文档大小
1.429 MB
文档页数
20 页
上传时间
2026-04-16 03:07:53

文档内容

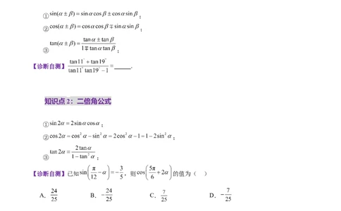
第 02 讲 三角恒等变换 目录 01 考情透视·目标导航..........................................................................................................................2 02 知识导图·思维引航..........................................................................................................................3 03 考点突破·题型探究..........................................................................................................................4 知识点1:两角和与差的正余弦与正切.....................................................................................................................4 知识点2:二倍角公式..................................................................................................................................................4 知识点3:降次(幂)公式..........................................................................................................................................5 知识点4:半角公式......................................................................................................................................................5 知识点4:辅助角公式..................................................................................................................................................5 解题方法总结.................................................................................................................................................................5 题型一:两角和与差公式的证明................................................................................................................................7 题型二:两角和与差的三角函数公式........................................................................................................................9 题型三:两角和与差的三角函数公式的逆用与变形..............................................................................................10 题型四:利用角的拆分求值.......................................................................................................................................11 题型五:给角求值.......................................................................................................................................................12 题型六:给值求值.......................................................................................................................................................13 题型七:给值求角.......................................................................................................................................................13 题型八:正切恒等式及求非特殊角..........................................................................................................................14 题型九:三角恒等变换的综合应用..........................................................................................................................15 题型十:辅助角公式的高级应用..............................................................................................................................16 题型十一:积化和差、和差化积公式......................................................................................................................17 04真题练习·命题洞见........................................................................................................................17 05课本典例·高考素材........................................................................................................................18 06易错分析·答题模板........................................................................................................................19 易错点:不会应用辅助角公式..................................................................................................................................19 答题模板:三角关系式的化简求值..........................................................................................................................20考点要求 考题统计 考情分析 三角恒等变换位于三角函数与数学变 换的结合点上,高考会侧重综合推理能力 2024年I卷第4题,5分 和运算能力的考查,体现三角恒等变换的 (1)基本公式 2024年II卷第13题,5分 工具性作用,以及会有一些它们在数学中 (2)三角恒等变 2024年甲卷第8题,5分 的应用. 换求值 2023年II卷第7题,5分 这就需要同学熟练运用公式,进一步 (3)辅助角公式 2023年I卷II卷第8题,5分 提高运用联系转化的观点去处理问题的自 2022年II卷第6题,5分 觉性,体会一般与特殊的思想、换元的思 2021年甲卷第11题,5分 想、方程的思想等数学思想在三角恒等变 换中的作用. 复习目标: (1)会推导两角差的余弦公式 (2)会用两角差的余弦公式推导出两角差的正弦、正切公式 (3)掌握两角和与差的正弦、余弦、正切公式,并会简单应用 (4)能运用两角和与差的正弦、余弦、正切公式推导二倍角的正弦、余弦、正切公式,并进行简 单的恒等变换知识点1:两角和与差的正余弦与正切 ① ; ② ; ③ ; 【诊断自测】 . 知识点2:二倍角公式 ① ; ② ; ③ ; 【诊断自测】已知 ,则 的值为( ) A. B. C. D.知识点3:降次(幂)公式 【诊断自测】已知函数 . (1)求 的最小正周期和单调区间; (2)若 , ,求 的值. 知识点4:半角公式 【诊断自测】(2024·高三·河北·期末)已知 ,则 的值为 . 知识点4:辅助角公式 b a b sinϕ= ,cosϕ= ,tanϕ= asinα+bcosα= √a2 +b2sin(α+ϕ) (其中 √a2 +b2 √a2 +b2 a ). 【诊断自测】当 时, 取最小值,求 的值 . 解题方法总结 1、两角和与差正切公式变形 tanα±tanβ=tan(α±β)(1∓tanαtanβ) ;tanα+tanβ tanα−tanβ tanα⋅tanβ=1− = −1 tan(α+β) tan(α−β) . 2、降幂公式与升幂公式 1−cos2α 1+cos2α 1 sin2α= ;cos2α= ;sinαcosα= sin2α 2 2 2 ; 1+cos2α=2cos2α;1−cos2α=2sin2α;1+sin2α=(sinα+cosα) 2 ;1−sin2α=(sinα−cosα) 2 . 3、其他常用变式 2sinαcosα 2tanα cos2α−sin2α 1−tan2α α sinα 1−cosα sin2α= = ;cos2α= = ;tan = = sin2α+cos2α 1+tan2α sin2α+cos2α 1+tan2α 2 1+cosα sinα . 4、拆分角问题:① ; ;② ;③ ; ④ ;⑤ . 注意:特殊的角也看成已知角,如 . 5、和化积公式 6、积化和公式题型一:两角和与差公式的证明 【典例1-1】阅读下面材料:根据两角和与差的正弦公式,有 ①, ②, 由 得 ③. 令 , ,则 , ,代入③得 . (1)利用上述结论,试求 的值; (2)类比上述推证方法,根据两角和与差的余弦公式,证明: . 【典例1-2】如图,设单位圆与x轴的正半轴相交于点 ,当 时,以x轴非负半轴为 始边作角 , ,它们的终边分别与单位圆相交于点 , . (1)叙述并利用上图证明两角差的余弦公式; (2)利用两角差的余弦公式与诱导公式.证明: . (附:平面上任意两点 , 间的距离公式 【方法技巧】 推证两角和与差公式就是要用这两个单角的三角函数表示和差角的三角公式,通过余弦定理或向量数 量积建立它们之间的关系,这就是证明的思路. 【变式1-1】如图,在平面直角坐标系中,以原点为圆心,单位长度为半径的圆上有两点 ,. (1)请分别利用向量 与 的数量积的定义式和坐标式,证明: . (2)已知(1)中的公式对任意的 , 都成立(不用证),请用该公式计算 的值,并证明: . 【变式1-2】在推导很多三角恒等变换公式时,我们可以利用平面向量的有关知识来研究,在一定程度上 可以简化推理过程.如我们就可以利用平面向量来推导两角差的余弦公式: . 具体过程如下:如图,在平面直角坐标系 内作单位圆 ,以 为始边作角 .它们的终边与单位 圆 的交点分别为 . 则 ,由向量数量积的坐标表示,有 . 设 的夹角为 ,则 ,另一方面,由图(1)可 知, ; 由图(2)可知 ,于是 . 所以 ,也有 ; 所以,对于任意角 有: . 此公式给出了任意角 的正弦、余弦值与其差角 的余弦值之间的关系,称为差角的余弦公式,简记作 .有了公式 以后,我们只要知道 的值,就可以求得 的值了. 阅读以上材料,利用图(3)单位圆及相关数据(图中 是 的中点),采取类似方法(用其他方法解 答正确同等给分)解决下列问题: (1)判断 是否正确?(不需要证明) (2)证明: . 题型二:两角和与差的三角函数公式 【典例2-1】(2024·黑龙江哈尔滨·模拟预测)已知 ,则 ( ) A. B. C. D. 【典例2-2】(2024·浙江·三模)若 ,则( ) A. B. C. D. 【方法技巧】两角和与差的三角函数公式可看作是诱导公式的推广,可用 α,β的三角函数表示 的三角函数, 在使用两角和与差的三角函数公式时,特别要注意角与角之间的关系,完成统一角和角与角转换的目的. 【变式2-1】(多选题)下列选项中,值为 的是( ) A. B. C. D. 【变式2-2】(多选题)已知 ,且 是方程 的两根,下列选项中正确 的是( ) A. B. C. D. 题型三:两角和与差的三角函数公式的逆用与变形 【典例3-1】(2024·高三·陕西商洛·期中)已知 , 满足 ,则 . 【典例3-2】计算: = . 【方法技巧】 运用两角和与差的三角函数公式时,不但要熟练、准确,而且要熟悉公式的逆用及变形.公式的逆用 和变形应用更能开拓思路,增强从正向思维向逆向思维转化的能力. 【变式3-1】 . 【变式3-2】(2024·江西·模拟预测)已知 , ,则 . 【变式3-3】已知 ,则 . 【变式3-4】设 , ,则 .题型四:利用角的拆分求值 【典例4-1】(2024·辽宁·模拟预测)已知 ,则 . 【典例4-2】已知 , 均为锐角, , ,则 的值为( ) A. B. C. D. 【方法技巧】 常 用 的 拆 角 、 配 角 技 巧 : ; ; ; ; ; 等. 【变式4-1】(2024·山东·模拟预测)已知 ,则 ( ) A. B. C. D. 【变式4-2】已知 ,则 ( ) A. B. C. D. 【变式4-3】若α为锐角,且 ,则cos2α=( ) A. B. C. D.题型五:给角求值 【典例5-1】(2024·重庆·模拟预测)式子 化简的结果为( ) A. B. C. D. 【典例5-2】计算: ( ) A. B. C. D. 【方法技巧】 (1)给角求值问题求解的关键在于“变角”,使其角相同或具有某种关系,借助角之间的联系寻找 转化方法. (2)给角求值问题的一般步骤 ①化简条件式子或待求式子; ②观察条件与所求之间的联系,从函数名称及角入手; ③将已知条件代入所求式子,化简求值. 【变式5-1】求值: ( ) A.1 B. C. D. 【变式5-2】(2024·广东汕头·二模)若 ,则实数 的值为( ) A. B. C. D. 【变式5-3】 的值为( ) A. B. C. D. 题型六:给值求值 【典例6-1】(2024·广西南宁·一模)已知 ,则 .【典例6-2】(2024·高三·吉林长春·开学考试)已知 ,则 . 【方法技巧】 给值求值:给出某些角的三角函数式的值,求另外一些角的三角函数值,解题关键在于“变角”, 使其角相同或具有某种关系,解题的基本方法是:①将待求式用已知三角函数表示;②将已知条件转化而 推出结论,其中“凑角法”是解此类问题的常用技巧,解题时首先要分析已知条件和结论中各种角之间的 相互关系,并根据这些关系来选择公式. 【变式6-1】(2024·全国·模拟预测)已知 ,则 . 【变式6-2】(2024·高三·浙江绍兴·期末)若 , ,则 . 【变式6-3】(2024·山西临汾·模拟预测)已知 为锐角,且 ,则 . 题型七:给值求角 【典例7-1】(2024·贵州六盘水·模拟预测)设 , ,且 ,则 . 【典例7-2】已知 为锐角,且 ,则 . 【方法技巧】 给值求角:解此类问题的基本方法是:先求出“所求角”的某一三角函数值,再确定“所求角”的 范围,最后借助三角函数图像、诱导公式求角. 【变式7-1】已知 , 均为锐角, , ,则 , . 【变式7-2】若 ,且 , ,则 .【变式7-3】已知 , , ,则 的值是( ) A. B. C. D. 【变式7-4】设 ,且 ,则( ) A. B. C. D. 题型八:正切恒等式及求非特殊角 【典例8-1】(2024·陕西商洛·高三陕西省山阳中学校联考期中)已知 , 满足 , 则 ______. 【典例8-2】(2024·江苏南通·高三校考期中)在 中,若 ,则 _________. 【方法技巧】 正切恒等式:当 时, . 证明:因为 , ,所以 故 tanA+tanB+tanC=tanA⋅tanB⋅tanC. 【变式8-1】(2024·山东·高三济宁市育才中学校考开学考试)若角 的终边经过点 ,且 ,则实数 ___________. 【变式8-2】(山西省临汾市2023-2024学年高三11月期中数学试题)已知 , ,且 ,则 ( ) A. B. C. D.题型九:三角恒等变换的综合应用 【典例9-1】在 中 , , . (1)求 ; (2)求 ; (3)求 . 【典例9-2】(2024·天津·二模)在 中,角 , , 所对的边分别为 , , ,已知 , , . (1)求 的值; (2)求 的值; (3)求 的值. 【方法技巧】 (1)进行三角恒等变换要抓住:变角、变函数名称、变结构,尤其是角之间的关系;注意公式的逆 用和变形使用. (2)形如 化为 ,可进一步研究函数的周期性、单调性、最值 与对称性. 【变式9-1】(2023·陕西咸阳·校考二模)已知函数 (1)求函数 的对称轴和对称中心; (2)当 ,求函数 的值域. 【变式9-2】(2023·上海松江·高三上海市松江二中校考阶段练习)已知 . (1)求 在 上的单调递减区间;(2)若 ,求 的值. 题型十:辅助角公式的高级应用 【典例10-1】已知 的最大值为3,则 . 【典例10-2】设 是一个三角形的三个内角,则 的最小值为 . 【方法技巧】 b a b sinϕ= ,cosϕ= ,tanϕ= ( 1 ) asinα+bcosα= √a2 +b2sin(α+ϕ) ( 其 中 √a2 +b2 √a2 +b2 a , π |ϕ|< 2 ). (2) , . 【变式10-1】(2024·高三·内蒙古赤峰·开学考试)已知 ,若 ,则 的最大值为 . 【变式10-2】 的取值范围是 . 题型十一:积化和差、和差化积公式 【典例11-1】 ,则 . 【典例11-2】若 , ,则 结果用 , 表示. 【方法技巧】 三角函数式的化简要注意观察条件中角之间的联系(和、差、倍、互余、互补等).【变式11-1】设 , ,则 . 【变式11-2】已知 则 的值为 . 【变式11-3】若 , ,则 . 【变式11-4】(2024·安徽阜阳·一模)已知 ,则 , . 1.(2024年高考全国甲卷数学(理)真题)已知 ,则 ( ) A. B. C. D. 2.(2024年新课标全国Ⅰ卷数学真题)已知 ,则 ( ) A. B. C. D. 3.(2023年新课标全国Ⅰ卷数学真题)已知 ,则 ( ). A. B. C. D. 4.(2023年新课标全国Ⅱ卷数学真题)已知 为锐角, ,则 ( ). A. B. C. D.1.在 中,已知 是x的方程 的两个实根,求 . 2.你能利用所给图形,证明下列两个等式吗? ; . 3.是否存在锐角 , ,使得① ;② 同时成立?若存在,求出 , 的 值;若不存在,请说明理由. 4.(1)求函数 的最小正周期和单调递增区间; (2)求函数 的最大值和最小值.5.观察以下各等式: , , 分析上述各式的共同特点,猜想出反映一般规律的等式,并对等式的正确性作出证明. 6.设 .利用三角变换,估计 在 时的取值情况,进而 猜想x取一般值时 的取值范围. 易错点:不会应用辅助角公式 易错分析:不能真正的理解辅助角公式,不明白角 的三 角函数意义. 【易错题1】若函数 的最大值为 ,则实数 . 【易错题2】已知 ,则 . 答题模板:三角关系式的化简求值 1、模板解决思路 对于要化简求值的三角函数关系式,首先要化简,尽可能化成最简的形式,然后结合已知条件和待求 问题进一步求值.2、模板解决步骤 第一步:对已知条件中的三角函数式进行化简. 第二步:将待化简的三角函数式向第一步的化简结果进行转化. 第三步:求出最后的结果. 【典型例题1】化简 . 【典型例题2】化简求值: + .