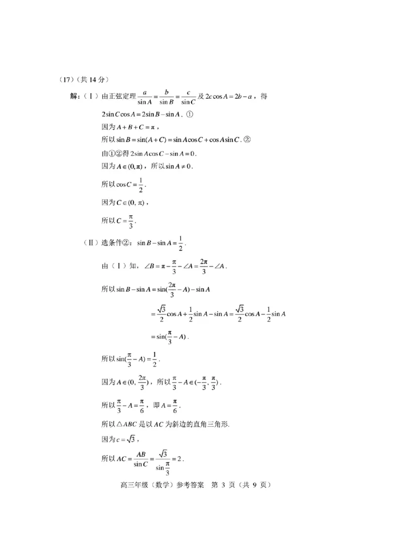
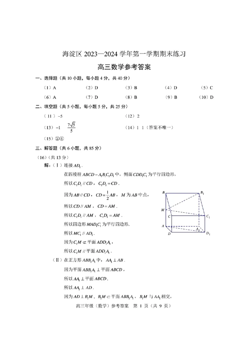
文档
办公文件
生活文档
学习资料
当前位置:
首页
>
文档
>海淀区2023-2024学年第一学期期末-数学_2024届北京海淀区第一学期期末考试
海淀区2023-2024学年第一学期期末-数学_2024届北京海淀区第一学期期末考试
2026-04-12 12:40:34
2026-02-09 05:41:59
文档预览
文档信息
文档格式
pdf
文档大小
3.112 MB
文档页数
15 页
上传时间
2026-02-09 05:41:59
下载文档
本文档来自网络内容,如有侵犯您的权益请联系我们删除,联系邮箱:wyl860211@qq.com。
上一篇
高三语文参考答案_2025年12月_251208山东省济宁市兖州区2025-2026学年高三上学期期中(全科)_山东省济宁市兖州区2025-2026学年高三上学期期中考试语文试题(含答案)
下一篇
专题05物质的量(原卷版)_1多考区联考试卷_0108好题汇编备战2024-2025学年高一化学上学期期末真题分类汇编(新高考通用)
最新文档
综合测05复合句之三大从句综合测试100题(解析版)_03高考英语_2025年新高考资料_一轮复习_2025年高考英语一轮复习讲练测(新教材新高考,含2024年高考真题)_语法
知识点27:圆周运动(拔尖原卷版)_04高考物理_新高考复习资料_2024新高考复习资料_一轮复习资料_拔尖版2024届高考物理一轮复习讲义及对应练习_知识点27:圆周运动拔尖版
综合测04非谓语动词综合测试100题(原卷版)_03高考英语_2025年新高考资料_一轮复习_2025年高考英语一轮复习讲练测(新教材新高考,含2024年高考真题)_语法
综合模拟(二)_07高考历史_2024年新高考资料_1.2024一轮复习_2024年高考历史一轮复习讲义(部编版)_学生版在此文件夹_学生用书Word版文档_一轮复习64练
知识点27:圆周运动(原卷版)_04高考物理_新高考复习资料_2024新高考复习资料_一轮复习资料_基础版2024届高考物理一轮复习讲义及对应练习_知识点27:圆周运动基础版
2009年06月大学英语6级真题及答案解析_最新更新,视频都在这_2026、6月四级速转存易和谐_四六级真题+资料包_六级真题_2007-2015年六级真题及答案解析_2009年06月英语六级真题
综合模拟(一)_07高考历史_2024年新高考资料_1.2024一轮复习_2024年高考历史一轮复习讲义(部编版)_学生版在此文件夹_学生用书Word版文档_一轮复习64练
知识点26:探究平抛运动的特点(解析版)_04高考物理_新高考复习资料_2024新高考复习资料_一轮复习资料_基础版2024届高考物理一轮复习讲义及对应练习
经济类热点--防疫抗疫-2023-2024学年高三历史二轮(专题训练)解析版_07高考历史_2024年新高考资料_2.2024二轮复习_2024届高三历史统编版二轮复习专项训练
知识点26:探究平抛运动的特点(提高解析版)_04高考物理_新高考复习资料_2024新高考复习资料_一轮复习资料_提高版2024届高考物理一轮复习讲义及对应练习
热门文档
经济类热点--防疫抗疫-2023-2024学年高三历史二轮(专题训练)原卷版_07高考历史_2024年新高考资料_2.2024二轮复习_2024届高三历史统编版二轮复习专项训练
知识点26:探究平抛运动的特点(提高原卷版)_04高考物理_新高考复习资料_2024新高考复习资料_一轮复习资料_提高版2024届高考物理一轮复习讲义及对应练习
经济类热点--科技进步-2023-2024学年高三历史二轮(专题训练)解析版_07高考历史_2024年新高考资料_2.2024二轮复习_2024届高三历史统编版二轮复习专项训练
知识点26:探究平抛运动的特点(拔尖解析版)_04高考物理_新高考复习资料_2024新高考复习资料_一轮复习资料_拔尖版2024届高考物理一轮复习讲义及对应练习
经济类热点--科技进步-2023-2024学年高三历史二轮(专题训练)原卷版_07高考历史_2024年新高考资料_2.2024二轮复习_2024届高三历史统编版二轮复习专项训练
知识点26:探究平抛运动的特点(拔尖原卷版)_04高考物理_新高考复习资料_2024新高考复习资料_一轮复习资料_拔尖版2024届高考物理一轮复习讲义及对应练习
经济类热点--生态保护--2024届高三历史统编版二轮复习解析版_07高考历史_2024年新高考资料_2.2024二轮复习_2024届高三历史统编版二轮复习专项训练
知识点26:探究平抛运动的特点(原卷版)_04高考物理_新高考复习资料_2024新高考复习资料_一轮复习资料_基础版2024届高考物理一轮复习讲义及对应练习
知识点25:抛体运动(解析版)_04高考物理_新高考复习资料_2024新高考复习资料_一轮复习资料_基础版2024届高考物理一轮复习讲义及对应练习_知识点25:抛体运动基础版
经济类热点--生态保护--2024届高三历史统编版二轮复习原卷版_07高考历史_2024年新高考资料_2.2024二轮复习_2024届高三历史统编版二轮复习专项训练
随机文档
经济类热点--民生问题、人文关怀-2023-2024学年高三历史二轮(专题训练)解析版_07高考历史_2024年新高考资料_2.2024二轮复习_2024届高三历史统编版二轮复习专项训练
知识点25:抛体运动(提高解析版)_04高考物理_新高考复习资料_2024新高考复习资料_一轮复习资料_提高版2024届高考物理一轮复习讲义及对应练习_知识点25:抛体运动提高版
经济类热点--民生问题、人文关怀-2023-2024学年高三历史二轮(专题训练)原卷版_07高考历史_2024年新高考资料_2.2024二轮复习_2024届高三历史统编版二轮复习专项训练
经济类热点--城市化进程-2023-2024学年高三历史二轮(专题训练)解析版_07高考历史_2024年新高考资料_2.2024二轮复习_2024届高三历史统编版二轮复习专项训练
知识点25:抛体运动(提高原卷版)_04高考物理_新高考复习资料_2024新高考复习资料_一轮复习资料_提高版2024届高考物理一轮复习讲义及对应练习_知识点25:抛体运动提高版
经济类热点--城市化进程-2023-2024学年高三历史二轮(专题训练)原卷版_07高考历史_2024年新高考资料_2.2024二轮复习_2024届高三历史统编版二轮复习专项训练
经济类热点--人口问题与人口迁移-2023-2024学年高三历史二轮(专题训练)原卷版_07高考历史_2024年新高考资料_2.2024二轮复习_2024届高三历史统编版二轮复习专项训练
知识点25:抛体运动(拔尖解析版)_04高考物理_新高考复习资料_2024新高考复习资料_一轮复习资料_拔尖版2024届高考物理一轮复习讲义及对应练习_知识点25:抛体运动拔尖版
经济类热点--一带一路-2023-2024学年高三历史二轮(专题训练)解析版_07高考历史_2024年新高考资料_2.2024二轮复习_2024届高三历史统编版二轮复习专项训练
经济类热点--一带一路-2023-2024学年高三历史二轮(专题训练)原卷版_07高考历史_2024年新高考资料_2.2024二轮复习_2024届高三历史统编版二轮复习专项训练