当前位置:首页>文档>精品解析:北京市西城区2022-2023学年八年级下学期期末历史试题(原卷版)(1)_北京初中期末题_C605-京七八九_B京历史七八九_北京八下历史_2022-2023

精品解析:北京市西城区2022-2023学年八年级下学期期末历史试题(原卷版)(1)_北京初中期末题_C605-京七八九_B京历史七八九_北京八下历史_2022-2023

  • 2026-04-03 16:07:13 2026-03-09 15:33:52

文档预览

精品解析:北京市西城区2022-2023学年八年级下学期期末历史试题(原卷版)(1)_北京初中期末题_C605-京七八九_B京历史七八九_北京八下历史_2022-2023
精品解析:北京市西城区2022-2023学年八年级下学期期末历史试题(原卷版)(1)_北京初中期末题_C605-京七八九_B京历史七八九_北京八下历史_2022-2023
精品解析:北京市西城区2022-2023学年八年级下学期期末历史试题(原卷版)(1)_北京初中期末题_C605-京七八九_B京历史七八九_北京八下历史_2022-2023
精品解析:北京市西城区2022-2023学年八年级下学期期末历史试题(原卷版)(1)_北京初中期末题_C605-京七八九_B京历史七八九_北京八下历史_2022-2023
精品解析:北京市西城区2022-2023学年八年级下学期期末历史试题(原卷版)(1)_北京初中期末题_C605-京七八九_B京历史七八九_北京八下历史_2022-2023
精品解析:北京市西城区2022-2023学年八年级下学期期末历史试题(原卷版)(1)_北京初中期末题_C605-京七八九_B京历史七八九_北京八下历史_2022-2023
精品解析:北京市西城区2022-2023学年八年级下学期期末历史试题(原卷版)(1)_北京初中期末题_C605-京七八九_B京历史七八九_北京八下历史_2022-2023
精品解析:北京市西城区2022-2023学年八年级下学期期末历史试题(原卷版)(1)_北京初中期末题_C605-京七八九_B京历史七八九_北京八下历史_2022-2023
精品解析:北京市西城区2022-2023学年八年级下学期期末历史试题(原卷版)(1)_北京初中期末题_C605-京七八九_B京历史七八九_北京八下历史_2022-2023
精品解析:北京市西城区2022-2023学年八年级下学期期末历史试题(原卷版)(1)_北京初中期末题_C605-京七八九_B京历史七八九_北京八下历史_2022-2023

文档信息

文档格式
docx
文档大小
2.456 MB
文档页数
10 页
上传时间
2026-03-09 15:33:52

文档内容

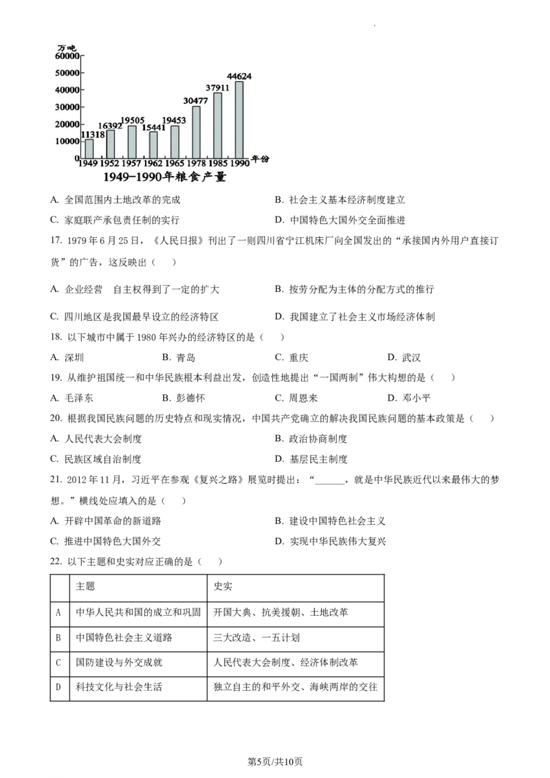
北京市西城区 2022-2023 学年八年级历史 下学期期末考试 一、本部分共25题,每题2分,共50分。在每题列出的四个选项中,选出最符合题目要求 的一项。 1. 以下一组照片共同反映了( ) 张謇创办的大生纱厂 民国时期的上海街景 辛亥革命后 军警为行人剪辫子 上海南京路上的行人(民国时期) A. 近代经济和社会生活的变化 B. 近代中国各阶层救国探索 C. 近代资产阶级民主革命历程 D. 近代新闻出版事业的发展 2. 有人认为近代报纸“籍报纸传播其主张,以言论觉天下”。这说明( ) A. 报纸出现推动近代新式教育发展 B. 报纸能传递信息,影响人们思想 C. 报纸是人们获取信息的唯一来源 D. 电影传入中国导致报纸发行减少 3. “它是一场以先进青年知识分子为先锋、广大人民群众参加的彻底反帝反封建的伟大爱国革命运动” “是中国旧民主主义革命走向新民主主义革命的转折点”。“它”指的是( ) 第1页/共10页 学科网(北京)股份有限公司A. 洋务运动 B. 辛亥革命 C. 五四运动 D. 西安事变 4. 强国必须强军,强军才能国安。以下时间轴展示了党的军队建设中的几件大事,方框处应填入的是( ) A. 南昌起义 B. 遵义会议 C. 中共七大 D. 中共十四大 5. 歌曲《军爱民,民爱军》创作于1947年,流行于晋冀鲁豫一带,歌中唱到“军爱民,民爱军,军民本 是一家人……”,这反映了( ) A. 中共一大后全国工农运动的高涨 B. 国共合作基本推翻北洋军阀统治 C. 中国共产党推动抗日根据地建设 D. 人民解放军与老百姓的血肉联系 6. 下面示意图反映了( ) A. 红军三大主力胜利会师 B. 国民党围攻中原解放区 C. 人民解放军的战略决战 D. 国民党在大陆统治结束 7. 出席中国人民政治协商会议第一届全体会议的代表分别来自党派、区域、军队、团体以及特邀五类界别 共46个单位662人。以上材料说明( ) A. 会议代表具有广泛性和民主性 B. 中国外交取得重大突破 第2页/共10页 学科网(北京)股份有限公司C. 我国国民经济得到根本性好转 D. 我国文化事业蓬勃发展 8. 西藏和平解放标志着祖国大陆获得统一,各族人民实现了大团结。以上表述可用于说明西藏和平解放的 ( ) A. 时间 B. 背景 C. 过程 D. 意义 9. 史实即历史事实,史论是对历史事件和历史人物的评论。以下叙述中,属于史论的是( ) A. 中华人民共和国的成立,开辟了中国历史的新纪元 B. 1950年10月19日夜,中国人民志愿军开进朝鲜 C. 1956年,中国第一架喷气式歼击机在沈阳试制成功 D. 1984年,我国开放了大连、天津等14个沿海城市 10. 在抗美援朝战场上,中国人民志愿军将士谱写了惊天地、泣鬼神的雄壮史诗。以下属于这一时期的战 斗英雄有( ) ①邓世昌 ②秋瑾 ③黄继光 ④邱少云 A. ①② B. ①③ C. ②③ D. ③④ 11. 以下关于我国第一个五年计划的叙述,正确的有( ) ①从1953年开始执行 ②使我国形成了完整的工业体系 ③集中主要力量发展重工业 ④开始改变我国工业落后的面貌 A. ①②③ B. ①②④ C. ①③④ D. ②③④ 12. 1954年,《中华人民共和国宪法》颁布前,有1.5亿人参与宪法草案的讨论,118万条修改和补充意 第3页/共10页 学科网(北京)股份有限公司见,这说明( ) A. 党和国家的工作重心从城市转向了农村 的 B. 它充分反映了人民 意志 C. 全国人民代表大会是最高国家权力机关 D. 我国的根本政治制度确立 13. 以下统计图中所示情况,最有可能发生在( ) A. 1949年底 B. 1956年底 C. 1978年底 D. 1992年底 14. 下图是我国首次人工合成结晶牛胰岛素五十周年(1965-2015)纪念邮票,此邮票可用于研究( ) A. 新中国的民主法治建设历程 B. 第一个五年计划的胜利完成 C. 改革开放后文化事业的发展 D. 新中国生物科学的发展成就 15. 开启了改革开放和社会主义现代化建设新时期,实现新中国成立以来党的历史上具有深远意义的伟大 转折的会议是( ) A. 中共八大 B. 中共十一届三中全会 C. 中共十八大 D. 中共二十大 的 16. 结合所学,推断图中所示1978年以后我国粮食产量增加 主要原因是( ) 第4页/共10页 学科网(北京)股份有限公司A. 全国范围内土地改革的完成 B. 社会主义基本经济制度建立 C. 家庭联产承包责任制的实行 D. 中国特色大国外交全面推进 17. 1979年6月25日,《人民日报》刊出了一则四川省宁江机床厂向全国发出的“承接国内外用户直接订 货”的广告,这反映出( ) 的 A. 企业经营 自主权得到了一定的扩大 B. 按劳分配为主体的分配方式的推行 C. 四川地区是我国最早设立的经济特区 D. 我国建立了社会主义市场经济体制 18. 以下城市中属于1980年兴办的经济特区的是( ) A. 深圳 B. 青岛 C. 重庆 D. 武汉 19. 从维护祖国统一和中华民族根本利益出发,创造性地提出“一国两制”伟大构想的是( ) A. 毛泽东 B. 彭德怀 C. 周恩来 D. 邓小平 20. 根据我国民族问题的历史特点和现实情况,中国共产党确立的解决我国民族问题的基本政策是( ) A. 人民代表大会制度 B. 政治协商制度 C. 民族区域自治制度 D. 基层民主制度 21. 2012年11月,习近平在参观《复兴之路》展览时提出:“______,就是中华民族近代以来最伟大的梦 想。”横线处应填入的是( ) A. 开辟中国革命的新道路 B. 建设中国特色社会主义 C. 推进中国特色大国外交 D. 实现中华民族伟大复兴 22. 以下主题和史实对应正确的是( ) 主题 史实 A 中华人民共和国的成立和巩固 开国大典、抗美援朝、土地改革 B 中国特色社会主义道路 三大改造、一五计划 C 国防建设与外交成就 人民代表大会制度、经济体制改革 D 科技文化与社会生活 独立自主的和平外交、海峡两岸的交往 第5页/共10页 学科网(北京)股份有限公司A. A B. B C. C D. D 的 23. 某同学搜集了“核潜艇”“辽宁舰”“歼-20战机”“东风-41洲际战略核导弹”等资料,他研究 主 题应该是( ) A. 交通通信事业的发展 B. 军队武器装备现代化 C. 祖国完全统一的方略 D. 人民解放军战区调整 24. 根据下面某同学的学习笔记,推断他学习的内容是( ) ◎1997年7月1日;1999年12月20日 ◎洗雪了百年国耻 ◎在完成祖国统一大业的道路上迈出了重要一 步 A. 教育文化事业的成就 B. 香港和澳门回归祖国 C. 对外开放格局的形成 D. 各民族共同繁荣发展 25. 从中医药古典文献中获得灵感,开创了治疗疟疾新方法,获得2015年诺贝尔生理学或医学奖的科学家 是( ) A. 钱学森 B. 邓稼先 C. 屠呦呦 D. 袁隆平 二、本部分共4题,共50分。 26. 伟大的事业需要伟大的精神 材料一 1936年8月2日,赵一曼烈士在牺牲前,给儿子写下遗书: 宁儿,母亲对于你没有能尽到教育的责任,实在是遗憾的事情。母亲因为坚决地做了反满抗日的斗争, 今天已经到了牺牲的前夕了。母亲和你在生前是永久没有再见的机会了。希望你,宁儿啊!赶快成人,来 安慰你地下的母亲!我最亲爱的孩子啊!母亲不用千言万语来教育你,就用实行来教育你。在你长大成人 之后,希望你不要忘记你的母亲是为国而牺牲的! (1)结合所学,分析赵一曼写下这封家书的时代背景。谈谈你阅读这封家书的感受。 材料二 雷锋是社会主义革命和建设时期的时代楷模 “我就是长着一个心眼,我一心向着党,向着社会主义,向着共产主义” “我要把有限的生命,投入到无限的为人民服务之中去” “钉子有两个长处:一个是挤劲,一个是钻劲。我们在学习上,也要提倡这种‘钉子’精神,善于挤 和善于钻” “今天是星期日,我没外出,给班里的同志洗了五床褥单,帮战友补了一床被子……今后还应该多做 一些日常的、细小的、平凡的工作,少说漂亮话” 第6页/共10页 学科网(北京)股份有限公司——雷锋日记(节选) (2)依据材料二,概括日记中体现的雷锋精神。结合所学,列举一位与雷锋同时期的英雄模范人物。 材料三 党的百年奋斗历程中,每个时期的奋斗都有标志性精神 时 新民主主义革命 社会主义革命和建设 改革开放和社会主义现代化建设 中国特色社会主义新 期 时期 时期 新时期 时代 ① ② 改革开放精神 脱贫攻坚精神 精 井冈山精神 北大荒精神 ③ 探月精神 神 西柏坡精神 红旗渠精神 载人航天精神 新时代北斗精神 (3)将下列精神按照其形成的时期填入相应位置。从这三种精神中任选其一,结合史实说说对这一精神 的理解。 A特区精神 B建党精神 C抗美援朝精神 (4)综合材料和所学,说说党的伟大精神和光荣传统对我们日常学习和生活的指导意义。 27. 布置“经济与社会生活变迁”展览 【图像证史】 ①中国工农红军标语: ②农民申请加入生产合作社 ③《中华 第7页/共10页 学科网(北京)股份有限公司人民共和国土地改革法》受到广大农民的热烈拥护 打倒土豪劣绅,把土地分给农民 的 (1)将图片反映 事件按发生的时间先后排序。(写序号)任选其一,结合背景,概述其实施的影响。 【人物说史】某同学采访了家中长辈使用票证的情况,以下是采访内容摘要 从1955年开始,国家会根据人 口、性别、年龄分配票证。 那时经济发展水平较低,想吃到粮 食、买到衣服不像现在这样方便。 取粮需要拿着粮票去粮店定量、定 类兑换;买衣服也要凭布票按时、 有限获取。买家电、缝纫机等需要 工业品票。当时的粮票还分为全国 粮票和地方粮票,全国粮票是全国 通用的,地方粮票只能在本省使 用。 姥爷家使用过的票证 (2)依据图文材料,概括票证使用的特点。结合所学,说出票证使用的原因。 【词汇述史】改革开放以来中国大陆的词汇变异 经济类 生活类 家庭联产承包责任制、民工潮; 快餐店、信息处理、热线电话、微波炉; 经济特区、转口贸易、展销; 卡拉OK、度假村、蹦迪、潮、大腕; 劳动密集型、人才市场、下海、跳槽…… 款爷、创收…… (3)依据表格,结合所学,概括词汇变异反映的社会变化。 (4)请你为本次“经济与社会生活变迁”展览,推荐补充其他史料,并说明理由。 28. 新中国成立后,我国外交事业翻开新篇章 材料一 南京临时政府《对外宣言书》 《中国人民政治协商会议共同纲领》 (1912年1月) (1949年9月) “凡(辛亥)革命以前所有满政府与 “中华人民共和国必须彻底取消帝国主 第8页/共10页 学科网(北京)股份有限公司各国缔结之条约,民国均认为有 义国家在中国的一切特权”。 效”…… (1)依据材料一,比较二者对帝国主义国家态度的不同。结合所学,写出中华人民共和国的外交政策。 材料二 周恩来是新中国外交的创始人和奠基者 1953年,接见印度代表时,首次提出①作为处理两国关系 的原则。 1954年,率代表团参加日内瓦会议,他出色的外交才能和 政治家风度,为新中国赢得了很高的国际声誉。 1955年,率代表团参加在印尼召开的万隆会议,针对帝国 主义破坏会议的阴谋和各国间的矛盾、分歧,他提出 “②”的方针。 万隆会议期间的周恩 来 (2)请写出图中①②处应填入的内容。从①②中任选其一,说说其意义。 材料三 20世纪70年代,国际形势发生了巨大变化。中美领导人都认为有必要也有可能进行改善两 国关系的谈判。在美国看来,美苏对立一直是它所面对的严重问题,而此时世界上已出现几个力量中心, 中国是其中的一个重要力量。美国要维持它在世界上的霸权地位,要对付苏联的挑战,迫切需要改善同中 国的关系。就中国方面来说,要着重对付苏联当时对我国安全所构成的直接和严重的威胁,要解决台湾问 题以实现国家统一大业,要恢复和扩大国际交往,积极参与国际事务,也需要缓和同美国的关系。 (3)依据材料三,概括20世纪70年代中美关系缓和的原因。(结合所学,列举一件20世纪70年代中国 外交上的大事。(中美关系缓和除外) 材料四 2013年,习近平主席首次向全世界提出了人类命运共同体的理念。构建人类命运共同体明确 了中国外交的世界愿景,回应了各国人民的共同诉求,指明了解决全球性问题的根本路径,成为引领时代 潮流和人类前进方向的鲜明旗帜。 (4)依据材料四,指出中国解决当今世界问题的方案。说说这一方案的意义。 29. 从“两弹一星”到漫步太空 材料一 20世纪50年代,党中央作出了研制“两弹一星”的战略决策。1956年,国务院制定了 《1956—1967年科学技术发展远景规划》,把核技术与航天技术、喷气技术等列在57个重点项目的前列。 全国20个省、市、自治区,26个部委,90个工厂、研究所和高校全部配合或参与了这一工作,形成 了全国一盘棋干事创业的强大合力。没有专业人员,科技工作者就进行突击培训、以老带新;没有图纸, 就自己动手绘制……自力更生、艰苦奋斗正是“两弹一星”事业取得成功的立足点。国家利益高于一切的 使命感是“两弹一星”科研队伍最坚强、最持久的精神支柱。 (1)依据材料一,概括我国“两弹一星”事业取得成功的原因。 第9页/共10页 学科网(北京)股份有限公司材料二 “两弹一星”的成功研制,使我国国防尖端技术取得了很大进展。打破了少数国家的核垄断、 核讹诈,极大地提高了我国的国际地位。原子弹和氢弹研制有力地推动了我国原子物理、基本粒子等理论 自然科学的研究。在近半个世纪的冷战时期,我国获得了总体上属于相对和平安定的发展环境,没有“两弹 一星”的成功是很难想象的。 (2)结合材料二,分析“两弹一星”成功研制的意义。 材料三 中国航天大事记(部分) 时间 事件 1992年9月 中央决策载人航天工程立项实施 1999年11 神舟一号无人飞船成功发射,开启了我国的飞天之旅 月 2003年10 航天员杨利伟乘坐神舟五号载人飞船升入太空,在太空绕 月 地球运行14圈,历时21小时23分 2005年10 神舟六号载人航天员突破掌握了载人飞船“多人多天”在 月 轨飞行关键技术 神舟七号航天员成功完成出舱任务,突破和掌握了空间出 2008年9月 舱活动技术 神舟十二号载人飞船与天和核心舱完成对接,中国人首次 2021年6月 进入自己的空间站 2022年12 神舟十四号航天员乘组向神舟十五号航天员乘组移交中国 月 空间站的钥匙,中国空间站正式开启长期有人驻留模式 神舟十六号载人飞船发射成功,这是我国载人航天工程进 2023年5月 入空间站应用与发展阶段的首次载人飞行任务 (3)依据材料三,说说20世纪90年代以来,我国航天事业发展的表现。 (4)综合上述材料,畅想我国未来的科技发展与生活图景。 第10页/共10页 学科网(北京)股份有限公司