当前位置:首页>文档>难点与解题模型09三角形中七种常考方法求角度问题(解析版)_02中考总复习(2026版更新中)_02-数学-中考总复习_2025中考复习资料_2025年中考数学一轮知识梳理

难点与解题模型09三角形中七种常考方法求角度问题(解析版)_02中考总复习(2026版更新中)_02-数学-中考总复习_2025中考复习资料_2025年中考数学一轮知识梳理

  • 2026-04-03 21:02:48 2026-03-12 23:50:30

文档预览

难点与解题模型09三角形中七种常考方法求角度问题(解析版)_02中考总复习(2026版更新中)_02-数学-中考总复习_2025中考复习资料_2025年中考数学一轮知识梳理
难点与解题模型09三角形中七种常考方法求角度问题(解析版)_02中考总复习(2026版更新中)_02-数学-中考总复习_2025中考复习资料_2025年中考数学一轮知识梳理
难点与解题模型09三角形中七种常考方法求角度问题(解析版)_02中考总复习(2026版更新中)_02-数学-中考总复习_2025中考复习资料_2025年中考数学一轮知识梳理
难点与解题模型09三角形中七种常考方法求角度问题(解析版)_02中考总复习(2026版更新中)_02-数学-中考总复习_2025中考复习资料_2025年中考数学一轮知识梳理
难点与解题模型09三角形中七种常考方法求角度问题(解析版)_02中考总复习(2026版更新中)_02-数学-中考总复习_2025中考复习资料_2025年中考数学一轮知识梳理
难点与解题模型09三角形中七种常考方法求角度问题(解析版)_02中考总复习(2026版更新中)_02-数学-中考总复习_2025中考复习资料_2025年中考数学一轮知识梳理
难点与解题模型09三角形中七种常考方法求角度问题(解析版)_02中考总复习(2026版更新中)_02-数学-中考总复习_2025中考复习资料_2025年中考数学一轮知识梳理
难点与解题模型09三角形中七种常考方法求角度问题(解析版)_02中考总复习(2026版更新中)_02-数学-中考总复习_2025中考复习资料_2025年中考数学一轮知识梳理
难点与解题模型09三角形中七种常考方法求角度问题(解析版)_02中考总复习(2026版更新中)_02-数学-中考总复习_2025中考复习资料_2025年中考数学一轮知识梳理
难点与解题模型09三角形中七种常考方法求角度问题(解析版)_02中考总复习(2026版更新中)_02-数学-中考总复习_2025中考复习资料_2025年中考数学一轮知识梳理
难点与解题模型09三角形中七种常考方法求角度问题(解析版)_02中考总复习(2026版更新中)_02-数学-中考总复习_2025中考复习资料_2025年中考数学一轮知识梳理
难点与解题模型09三角形中七种常考方法求角度问题(解析版)_02中考总复习(2026版更新中)_02-数学-中考总复习_2025中考复习资料_2025年中考数学一轮知识梳理
难点与解题模型09三角形中七种常考方法求角度问题(解析版)_02中考总复习(2026版更新中)_02-数学-中考总复习_2025中考复习资料_2025年中考数学一轮知识梳理
难点与解题模型09三角形中七种常考方法求角度问题(解析版)_02中考总复习(2026版更新中)_02-数学-中考总复习_2025中考复习资料_2025年中考数学一轮知识梳理
难点与解题模型09三角形中七种常考方法求角度问题(解析版)_02中考总复习(2026版更新中)_02-数学-中考总复习_2025中考复习资料_2025年中考数学一轮知识梳理
难点与解题模型09三角形中七种常考方法求角度问题(解析版)_02中考总复习(2026版更新中)_02-数学-中考总复习_2025中考复习资料_2025年中考数学一轮知识梳理
难点与解题模型09三角形中七种常考方法求角度问题(解析版)_02中考总复习(2026版更新中)_02-数学-中考总复习_2025中考复习资料_2025年中考数学一轮知识梳理
难点与解题模型09三角形中七种常考方法求角度问题(解析版)_02中考总复习(2026版更新中)_02-数学-中考总复习_2025中考复习资料_2025年中考数学一轮知识梳理
难点与解题模型09三角形中七种常考方法求角度问题(解析版)_02中考总复习(2026版更新中)_02-数学-中考总复习_2025中考复习资料_2025年中考数学一轮知识梳理
难点与解题模型09三角形中七种常考方法求角度问题(解析版)_02中考总复习(2026版更新中)_02-数学-中考总复习_2025中考复习资料_2025年中考数学一轮知识梳理
难点与解题模型09三角形中七种常考方法求角度问题(解析版)_02中考总复习(2026版更新中)_02-数学-中考总复习_2025中考复习资料_2025年中考数学一轮知识梳理
难点与解题模型09三角形中七种常考方法求角度问题(解析版)_02中考总复习(2026版更新中)_02-数学-中考总复习_2025中考复习资料_2025年中考数学一轮知识梳理
难点与解题模型09三角形中七种常考方法求角度问题(解析版)_02中考总复习(2026版更新中)_02-数学-中考总复习_2025中考复习资料_2025年中考数学一轮知识梳理
难点与解题模型09三角形中七种常考方法求角度问题(解析版)_02中考总复习(2026版更新中)_02-数学-中考总复习_2025中考复习资料_2025年中考数学一轮知识梳理
难点与解题模型09三角形中七种常考方法求角度问题(解析版)_02中考总复习(2026版更新中)_02-数学-中考总复习_2025中考复习资料_2025年中考数学一轮知识梳理
难点与解题模型09三角形中七种常考方法求角度问题(解析版)_02中考总复习(2026版更新中)_02-数学-中考总复习_2025中考复习资料_2025年中考数学一轮知识梳理
难点与解题模型09三角形中七种常考方法求角度问题(解析版)_02中考总复习(2026版更新中)_02-数学-中考总复习_2025中考复习资料_2025年中考数学一轮知识梳理
难点与解题模型09三角形中七种常考方法求角度问题(解析版)_02中考总复习(2026版更新中)_02-数学-中考总复习_2025中考复习资料_2025年中考数学一轮知识梳理
难点与解题模型09三角形中七种常考方法求角度问题(解析版)_02中考总复习(2026版更新中)_02-数学-中考总复习_2025中考复习资料_2025年中考数学一轮知识梳理
难点与解题模型09三角形中七种常考方法求角度问题(解析版)_02中考总复习(2026版更新中)_02-数学-中考总复习_2025中考复习资料_2025年中考数学一轮知识梳理
难点与解题模型09三角形中七种常考方法求角度问题(解析版)_02中考总复习(2026版更新中)_02-数学-中考总复习_2025中考复习资料_2025年中考数学一轮知识梳理
难点与解题模型09三角形中七种常考方法求角度问题(解析版)_02中考总复习(2026版更新中)_02-数学-中考总复习_2025中考复习资料_2025年中考数学一轮知识梳理
难点与解题模型09三角形中七种常考方法求角度问题(解析版)_02中考总复习(2026版更新中)_02-数学-中考总复习_2025中考复习资料_2025年中考数学一轮知识梳理
难点与解题模型09三角形中七种常考方法求角度问题(解析版)_02中考总复习(2026版更新中)_02-数学-中考总复习_2025中考复习资料_2025年中考数学一轮知识梳理
难点与解题模型09三角形中七种常考方法求角度问题(解析版)_02中考总复习(2026版更新中)_02-数学-中考总复习_2025中考复习资料_2025年中考数学一轮知识梳理
难点与解题模型09三角形中七种常考方法求角度问题(解析版)_02中考总复习(2026版更新中)_02-数学-中考总复习_2025中考复习资料_2025年中考数学一轮知识梳理
难点与解题模型09三角形中七种常考方法求角度问题(解析版)_02中考总复习(2026版更新中)_02-数学-中考总复习_2025中考复习资料_2025年中考数学一轮知识梳理
难点与解题模型09三角形中七种常考方法求角度问题(解析版)_02中考总复习(2026版更新中)_02-数学-中考总复习_2025中考复习资料_2025年中考数学一轮知识梳理
难点与解题模型09三角形中七种常考方法求角度问题(解析版)_02中考总复习(2026版更新中)_02-数学-中考总复习_2025中考复习资料_2025年中考数学一轮知识梳理
难点与解题模型09三角形中七种常考方法求角度问题(解析版)_02中考总复习(2026版更新中)_02-数学-中考总复习_2025中考复习资料_2025年中考数学一轮知识梳理
难点与解题模型09三角形中七种常考方法求角度问题(解析版)_02中考总复习(2026版更新中)_02-数学-中考总复习_2025中考复习资料_2025年中考数学一轮知识梳理
难点与解题模型09三角形中七种常考方法求角度问题(解析版)_02中考总复习(2026版更新中)_02-数学-中考总复习_2025中考复习资料_2025年中考数学一轮知识梳理
难点与解题模型09三角形中七种常考方法求角度问题(解析版)_02中考总复习(2026版更新中)_02-数学-中考总复习_2025中考复习资料_2025年中考数学一轮知识梳理
难点与解题模型09三角形中七种常考方法求角度问题(解析版)_02中考总复习(2026版更新中)_02-数学-中考总复习_2025中考复习资料_2025年中考数学一轮知识梳理
难点与解题模型09三角形中七种常考方法求角度问题(解析版)_02中考总复习(2026版更新中)_02-数学-中考总复习_2025中考复习资料_2025年中考数学一轮知识梳理
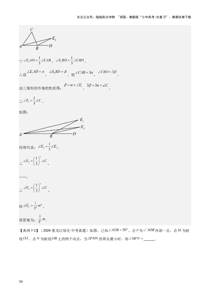
难点与解题模型09三角形中七种常考方法求角度问题(解析版)_02中考总复习(2026版更新中)_02-数学-中考总复习_2025中考复习资料_2025年中考数学一轮知识梳理
难点与解题模型09三角形中七种常考方法求角度问题(解析版)_02中考总复习(2026版更新中)_02-数学-中考总复习_2025中考复习资料_2025年中考数学一轮知识梳理
难点与解题模型09三角形中七种常考方法求角度问题(解析版)_02中考总复习(2026版更新中)_02-数学-中考总复习_2025中考复习资料_2025年中考数学一轮知识梳理
难点与解题模型09三角形中七种常考方法求角度问题(解析版)_02中考总复习(2026版更新中)_02-数学-中考总复习_2025中考复习资料_2025年中考数学一轮知识梳理
难点与解题模型09三角形中七种常考方法求角度问题(解析版)_02中考总复习(2026版更新中)_02-数学-中考总复习_2025中考复习资料_2025年中考数学一轮知识梳理
难点与解题模型09三角形中七种常考方法求角度问题(解析版)_02中考总复习(2026版更新中)_02-数学-中考总复习_2025中考复习资料_2025年中考数学一轮知识梳理
难点与解题模型09三角形中七种常考方法求角度问题(解析版)_02中考总复习(2026版更新中)_02-数学-中考总复习_2025中考复习资料_2025年中考数学一轮知识梳理
难点与解题模型09三角形中七种常考方法求角度问题(解析版)_02中考总复习(2026版更新中)_02-数学-中考总复习_2025中考复习资料_2025年中考数学一轮知识梳理
难点与解题模型09三角形中七种常考方法求角度问题(解析版)_02中考总复习(2026版更新中)_02-数学-中考总复习_2025中考复习资料_2025年中考数学一轮知识梳理
难点与解题模型09三角形中七种常考方法求角度问题(解析版)_02中考总复习(2026版更新中)_02-数学-中考总复习_2025中考复习资料_2025年中考数学一轮知识梳理
难点与解题模型09三角形中七种常考方法求角度问题(解析版)_02中考总复习(2026版更新中)_02-数学-中考总复习_2025中考复习资料_2025年中考数学一轮知识梳理
难点与解题模型09三角形中七种常考方法求角度问题(解析版)_02中考总复习(2026版更新中)_02-数学-中考总复习_2025中考复习资料_2025年中考数学一轮知识梳理
难点与解题模型09三角形中七种常考方法求角度问题(解析版)_02中考总复习(2026版更新中)_02-数学-中考总复习_2025中考复习资料_2025年中考数学一轮知识梳理

文档信息

文档格式
docx
文档大小
3.857 MB
文档页数
58 页
上传时间
2026-03-12 23:50:30

文档内容

关注公众号:陆陆高分冲刺 ~领取:最新版“小中高考-总复习”、最新试卷下载 难点与解题模型 09 三角形中七种常考方法求角度问题 题型一:方程法求角度问题 题型二:分类讨论法求角度问题 题型三:A字模型 题型四:8字模型 题型五:飞镖(燕尾)模型 题型六:三角形折叠模型 题型七:双角平分线模型 题型一:方程法求角度问题 方程法的解题步骤 第一步:找出题中的已知角,常涉及的概念有垂直、余角、补角、对顶角、角平分线等 第二步:根据题干中出现的角度和差、倍分关系或者角度比例关系,考虑设一个角为未知数 第三步:用所设角度表示出其他角度 第四步:通过列方程求解 【中考母题学方法】 【典例1】(2023·河南信阳·二模)【阅读理解】如图 ,小明把一副三角板直角顶点 重叠在一起 如图 固定三角板 ,将三角板 绕点 以每秒 的速度顺时针旋转,旋转时间为 秒,当 边与 边 重合时停止转动. 【解决问题】 (1)在旋转过程中,请填出 、 之间的数量关系______; (2)当运动时间为 秒时,图中有角平分线吗?找出并说明理由; 1关注公众号:陆陆高分冲刺 ~领取:最新版“小中高考-总复习”、最新试卷下载 (3)当 、 中一个角的度数是另一个角的两倍时,则称射线 是 的“优线”, 请直接写出所有满足条件的 值. 【答案】(1) (2)有, 平分 , 平分 ,理由见解析 (3) , , , , 【分析】(1)由题意,根据题目分析,然后画出图形可得结论; (2)依据题意,画出图形,然后分别计算出角的度数可得解; (3)依据题意,将所有可能情形梳理并分类讨论可得 的值. 【详解】(1)解:①如图, ,理由如下: 由题意得, , . ∴ , 如图, ,理由如下: 由题意得, , . ∴ , 2关注公众号:陆陆高分冲刺 ~领取:最新版“小中高考-总复习”、最新试卷下载 综上, . 故答案为: ; (2)解:有, 平分 , 平分 如图所示,理由如下: 当运动时间为 秒时, , ∴ . ∵ , ∴ , ∴ , ∴ 平分 , ∵ , ∴ 平分 ; (3)解:由题意得, , . 当 时, , ∴ ,解得 ; 当 , 在 内部时, , ∴ ,解得 ; 当 时, , ∴ ,解得 ; 当 时, , ∴ ,解得 ; 当 时, , ∴ ,解得 ; 3关注公众号:陆陆高分冲刺 ~领取:最新版“小中高考-总复习”、最新试卷下载 综上, , , , , . 【点睛】本题主要考查角的计算,解题时需要全面考虑分析所有可能,学会分类讨论是解题的关键. 【中考模拟即学即练】 【变式1-1】(23-24陕西西安)新定义:从一个角的顶点出发,在角的内部引两条射线,如果这两条射线 所成的角等于这个角的一半,那么这两条射线所成的角叫做这个角的内半角.如图1,若射线 在 的内部,且 ,则 是 的内半角,根据以上信息,解决下面的问题: (1)如图1, ,若 是 的内半角,则 ______, ______. (2)如图2,已知 ,将 绕点 按顺时针方向旋转一个角度 至 .若 是 的内半角,求 的值. (3)把一块含有 角的三角板 按图3方式放置,使 边与 边重合, 边与 边重合,如图 4,将三角板 绕顶点 以4度/秒的速度按顺时针方向旋转一周,旋转时间为 秒,当射线 构成内半角时,请求出 的值. 【答案】(1) , (2) (3) 或 或 或 【分析】(1)本题主要考查了角的和差,先根据题意算出 的度数,再利用 即可解答;弄清楚角之间的关系是解题的关键; (2)本题主要考查看旋转的性质、内半角的定义、一元一次方程的应用等知识点,根据旋转性质可推出 和 ,然后可用含有α的式子表示 和 的度数,根据 是 的内半角,即可求出α的值即可;掌握内半角的定义是解题的关键; (3)本题主要考查了旋转的性质、内半角的定义、一元一次方程的应用等知识点,根据旋转一周构成内 半角的情况总共有四种,分别画出图形,求出对应t值即可.掌握分类讨论思想是解题的关键. 【详解】(1)解:∵ 是 的内半角, , 4关注公众号:陆陆高分冲刺 ~领取:最新版“小中高考-总复习”、最新试卷下载 ∴ , ∴ . 故答案为: , . (2)解:由旋转性质可知: , ∴ , ∵ 是 的内半角, ∴ ,即 ,解得: . ∴ 的值为 . (3)解:①如图4:此时 是 的内半角, 由旋转性质可知: , ∴ , ∵ 是 的内半角, ∴ ,即 ,解得: ; ②如图:此时 是 的内半角, 由旋转性质可得: , ∴ , ∵ 是 的内半角, ∴ ,即 ,解得: ; ③如图所示,此时 是 的内半角, 由旋转性质可知: , 5关注公众号:陆陆高分冲刺 ~领取:最新版“小中高考-总复习”、最新试卷下载 ∴ , ∵ 是 的内半角, ∴ ,即 ,解得: ; ④如图所示,此时 是 的内半角, 由旋转性质可知: , ∴ , ∵ 是 的内半角, ∴ ,即 ,解得: . 综上所述:当射线 构成内半角时,t的值为 或 或 或 . 【变式1-2】(23-24湖南长沙)定义:从一个角的顶点出发,在角的内部引两条射线,如果这两条射线所 成的角与这个角互余,那么这两条射线所成的角叫做这个角的内余角,如图1,若射线 在 的内部,且 ,则 是 的内余角. 根据以上信息,解决下面的问题: (1)如图1, ,若 是 的内余角,则 ______; (2)如图2.已知 将 绕点 顺时针方向旋转一个角度 得到 .同时将 绕 点 顺时针方向旋转一个角度 得到 .若 是 的内余角,求 的值; (3)把一块含有 角的三角板 按图 方式放置,使 边与 边重合, 边与 边重合,如图4 将三角板 绕顶点 以 度/秒的速度按顺时针方向旋转,旋转时间为 秒,在旋转一周的时间内,当射 线 构成内余角时,请求出 的值. 6关注公众号:陆陆高分冲刺 ~领取:最新版“小中高考-总复习”、最新试卷下载 【答案】(1) (2) 的值为 (3)当射线 构成内余角时, 的值为 秒或 秒 【分析】本题主要考查角的和差的运算,掌握内余角的概念及计算方法是解题的关键. (1)根据内余角可求出 的度数,再根据 即可求解; (2)根据旋转的性质分别用含 的式子表示 , 的度数,再根据 是 的内余角列 式求解即可; (3)根据内余角的概念及计算方法,分类讨论,当 在 内部时;当 在射线 下方时;当 在 上方时;当 在 内部时;根据旋转的性质表示角的数量关系,列表求解即可. 【详解】(1)解:∵ 是 的内余角, ∴ , ∵ , ∴ , ∵ , ∴ , 故答案为: ; (2)解:已知 , 绕点 顺时针方向旋转一个角度 得到 , 绕点 顺 时针方向旋转一个角度 得到 , ∴ , , ∴ , , ∵ 是 的内余角, ∴ , ∴ , 解得, ∴ 的值为 ; 7关注公众号:陆陆高分冲刺 ~领取:最新版“小中高考-总复习”、最新试卷下载 (3)解:根据题意可得, ,三角板 绕顶点 以 度/秒的速度按顺时针方向旋转,旋转时 间为 秒, 当 在 内部时,如图所示, ∴ , , ∴ , , 若 是 的内余角时,得 , ∴ ,无解, ∴当 在 内部时,射线 不能构成内余角; 当 在射线 下方时,如图所示, ∴ , , 若 是 的内余角, ∴ , 解得, (秒); 当 在 上方时,如图所示, ∴ , , 若 是 的内余角, ∴ , 8关注公众号:陆陆高分冲刺 ~领取:最新版“小中高考-总复习”、最新试卷下载 解得, (秒); 当 在 内部时,如图所示, ∴ , , , ∴ , 若 是 的内余角, ∴ ,无解, ∴当 在 内部时,射线 不能构成内余角; 综上所述,当射线 构成内余角时, 的值为 秒或 秒. 【变式1-3】(23-24河南焦作)一副三角板按如图1所示放置,边 , 在直线 上, . 如图2,将三角板 绕点O顺时针旋转到 ,转速为每秒钟转动 ,当 旋转一周回到射线 上时停止转动,设转动时间为 秒. (1)当 与 重合时,直接写出的值; (2)①当 正好平分 时,在图1中画出此时 的位置,并求出t的值; 9关注公众号:陆陆高分冲刺 ~领取:最新版“小中高考-总复习”、最新试卷下载 ②在旋转过程中,作 的角平分线 ,当 时.直接写出t的值. 【答案】(1)15秒 (2)①图见详解, 的值为21秒;② 的值为33或45秒 【分析】本题考查了角的计算,特殊角,角平分线的定义,正确的理解题意是解题的关键. (1)根据已知角的度数和平角的定义直接求度数即可; (2)①根据 求解即可;②根据题意分两种情况得出 的度数,求解即可. 【详解】(1)解:由题知, (秒); (2)①如图所示: ∵ 正好平分 ∴ , ∴ , 的值为21; ②当 在 内部时, , ∴ ∵ 平分 ∴ ∴ 10关注公众号:陆陆高分冲刺 ~领取:最新版“小中高考-总复习”、最新试卷下载 ∴ 当 在 外部时, ∴ ∵ 平分 ∴ ∴ 转动的角度为: , 解得 , 当 时. 的值为33或45(秒). 题型二:分类讨论法求角度问题 常考分类讨论的情形 1.若题中出现角度大小,但不明确角度边的位置,需对角的位置进行分情况讨论,再根据角度大小分别求解: 2.若题中出现射线旋转,并让探究三条射线中某一条射线是另两条射线夹角的平分线,需分别讨论哪条射线是 角平分线的情况; 3.若题中出现射线三等分角,但并未说明射线靠近角度的哪一边,需对射线的位置进行分情况讨论. 【中考母题学方法】 【典例2】(22-23浙江)【问题提出】已知 与 有共同的始边 ,且满足 , 若 ,求 的度数. 【问题解决】圆圆首先画出两个符合题意的图形,运用分类讨论的数学思想,解决问题. 在图①中,当射线 在 的内部时,由题意易得 ; 在图②中,当射线 在 的外部时,由题意易得 . 11关注公众号:陆陆高分冲刺 ~领取:最新版“小中高考-总复习”、最新试卷下载 【问题应用】请仿照这种方法,解决下面两个问题 (1)如图③,已知点A,B,C在数轴上对应的数分别为 ,2,1,请在数轴上标出线段 的中点D并写 出D所表示的数;若数轴上存在点E,它到点C的距离恰好是线段 的长,求线段 的长. (2)如果两个角的差的绝对值等于 ,就称这两个角互为垂角,例如: , 则 和 互为垂角(本题中所有角都是指大于 且小于 的角). ①若 ,求 的垂角; ②如果一个角的垂角等于这个角的补角的 ,求这个角的度数. 【答案】(1) 或 (2)① ;② 或 【分析】本题考查了互为垂角和补角的定义及运用,数轴,数轴上两点之间的距离,绝对值,解题关键是 找准角之间关系. (1)根据中点的定义找到点D,由已知的A、B、C所表示的数求出 的长度,就可以求出E点所在的位 置,再求出 的长度. (2)①根据互为垂角的定义求出即可.②根据已知条件,分类列出方程解之. 【详解】(1)解:∵点A,B,C在数轴上对应的数分别为 ,2,1,点D的线段 的中点, ∴D所表示的数为 , , 如图,点D即为所求; 12关注公众号:陆陆高分冲刺 ~领取:最新版“小中高考-总复习”、最新试卷下载 ∵点E到点C的距离恰好是线段 的长, ∴ , ∴点C表示的数为7或 , ∴ 的长为: 或 ; (2)解:①设 的垂角为 , 根据题意得: , ∴ 或 , 解得 或230(舍去), ∴ 的垂角为 ; ②设这个角的度数为 , 当 时,它的垂角为 , 根据题意得 , 解得: , 当 时,它的垂角为 , 根据题意得 , 解得 , 故这个角的度数为 或 . 【中考模拟即学即练】 【变式2-1】(24-25·江苏无锡)定义:从一个角的顶点出发,在角的内部引两条射线,如果这两条射线所 成的角等于这个角的一半,那么这两条射线所成的角叫做这个角的内半角.如图①所示,若 ,则 是 的内半角. 13关注公众号:陆陆高分冲刺 ~领取:最新版“小中高考-总复习”、最新试卷下载 (1)如图①所示,已知 , , 是 的内半角,则 ________. (2)如图②,已知 ,将 绕点O按顺时针方向旋转一个角度 至 ,当旋 转的角度 为何值时, 是 的内半角? (3)已知 ,把一块含有 角的三角板如图③叠放,将三角板绕顶点O以 /秒的速度按顺时针方 向旋转,如图④,问:在旋转一周的过程中,且射线 始终在 的外部,射线 能否 构成内半角?若能,请直接写出旋转的时间;若不能,请说明理由. 【答案】(1) (2) (3)当旋转的时间为 或 或 或 时,射线 , , , 能构成内半角 【分析】(1)由内半角的定义得 ,再由 即可求解; (2)由旋转得: ,由角的和差得 , ,再由内半角的 定义得 ,即可求解; (3)分四种情况讨论,利用内半角的含义,建立一元一次方程,即可求解. 【详解】(1)解: , 是 的内半角, , ; 故答案: ; (2)解:当旋转的角度 为 时, 是 的内半角; 14关注公众号:陆陆高分冲刺 ~领取:最新版“小中高考-总复习”、最新试卷下载 理由如下: 由旋转得: , , , 是 的内半角, , , 解得: ; (3)在旋转一周的过程中,射线 , , , 能构成内半角,理由如下; 理由:设按顺时针方向旋转一个角度 ,旋转的时间为t, 如图1,∵ 是 的内半角, , ∴ , ∴ , 解得: , ∴ ; 如图2,∵ 是 的内半角, , 15关注公众号:陆陆高分冲刺 ~领取:最新版“小中高考-总复习”、最新试卷下载 ∴ , ∴ , ∴ , ∴ ; 如图3,∵ 是 的内半角, , ∴ , ∴ , ∴ , ∴ , 如图4,∵ 是 的内半角, , ∴ , ∴ , 16关注公众号:陆陆高分冲刺 ~领取:最新版“小中高考-总复习”、最新试卷下载 解得: , ∴ , 综上所述,当旋转的时间为 或 或 或 时,射线 , , , 能构成内半角. 【点睛】本题考查了新定义,旋转的性质,角的和差,一元一次方程的应用,理解新定义,能根据旋转的 过程确定时间范围,进行分类讨论是解题的关键. 【变式2-2】(23-24·广东广州)(1)如图,线段 ,C为 的中点,点P从点A出发,以 的速度沿线段 向右运动,到点B停止;点Q从点B出发,以 的速度沿线段 向左运动, 到点A停止.若P,Q两点同时出发,当其中一点停止运动时,另一点也随之停止.设点P的运动时间为x ( )s. (ⅰ) ________cm. (ⅱ)是否存在某一时刻,使得C,P,Q这三点中,有一点恰为另外两点所连线段的中点?若存在,求出 所有满足条件的x的值;若不存在,请说明理由. (2)一副三角板按左图中的方式拼接在一起,其中边 、 与直线 上, , . (ⅰ) ________度. (ⅱ)如图,三角板 固定不动,将三角板 绕点O按顺时针方向旋转角 (即 ),在 转动过程中两个三角板一直处于直线 的上方. ①当 平分 , , 其中的两边组成的角时, ________. ②在旋转过程中,是否存在某一时刻满足 ?若存在,求此时的角 ;若不存在,请说明 理由. 【答案】(1)(ⅰ)10(ⅱ)x=6; (2)(ⅰ)75(ⅱ)① 的值为 , , ②当 或 时,存在 17关注公众号:陆陆高分冲刺 ~领取:最新版“小中高考-总复习”、最新试卷下载 【分析】(1)(ⅰ)根据线段中点,可得答案;(ⅱ)根据线段中点的性质,可得方程,根据解方程, 可得答案. (2)(ⅰ)根据平角的定义即可得到结论;(ⅱ)①根据已知条件和角平分线的定义即可得到结论;② 当 在 的左侧时,当 在 的右侧时,列方程即可得到结论. 【详解】解:(1)(ⅰ)∵C为 的中点 ∴ . 故答案为:10; (ⅱ)存在, ①∵P的速度2 ,Q的速度是1 , ∴ , 又 , ∴ ∴ 不是线段 的中点; ② 为线段 的中点,得 ,解得x=6; ③ 为线段 的中点,得 ,解得 综上所述:x=6或 . (2)(ⅰ) , , , 故答案为:75; (ⅱ)①当 平分 时, , , , , , 当 平分 时, , 18关注公众号:陆陆高分冲刺 ~领取:最新版“小中高考-总复习”、最新试卷下载 , ; 当 平分 时, , , , 综上所述,旋转角度 的值为 , , ; ②当 在 的左侧时,则 , , , , ; 当 在 的右侧时,则 , , , , , 综上所述,当 或 时,存在 . 【点睛】本题考查了两点间的距离,角的计算,特殊角,角平分线的定义,利用线段中点的性质得出关于 的方程是解题关键,要分类讨论,以防遗漏. 【变式2-3】(24-25陕西西安)探究与实践 将一副三角板按如图方式拼接在一起,已知 , ,按如图1所示摆放,将 、 边重合在直线 上, 、 边在直线 的两侧: 【问题发现】 (1)保持三角板 不动,将三角板 绕点O旋转至如图2所示的位置,则 ① __________; ② __________. 19关注公众号:陆陆高分冲刺 ~领取:最新版“小中高考-总复习”、最新试卷下载 【问题探究】 (2)若三角板 按每分钟 的速度绕点O逆时针方向旋转,三角板 按每分钟 的速度也绕点O 逆时针方向旋转, 旋转到射线 上时都停止运动,设旋转t分钟,计算 (用含t的代 数式表示). 【问题解决】 (3)保持三角板 不动,将三角板 绕点O逆时针方向旋转 ,若射线 平分 , 射线 平分 ,求 的大小. 【答案】(1)① ;② ;(2) ;(3) 或 【分析】本题考查的是角的和差运算,角平分线的定义,角的动态定义的理解; (1)①将 转化为 即可得;②依据 、 ,将原式转化为 计算可得; (2)设运动时间为t秒, ,只需表示出 即可得出答案,而 在 与 相遇时, ,再画出图形求解即可; (3)设 绕点O逆时针旋转 ,再分①① 时,如图;② 时,如图,分 别画出图形求解即可. 【详解】解:(1)① , ② ; (2)设旋转时间为t秒,则 , , 当 与 相遇时, , 解得: , 如图, , 20关注公众号:陆陆高分冲刺 ~领取:最新版“小中高考-总复习”、最新试卷下载 ∴ ; (3)设 绕点O逆时针旋转 , ① 时,如图, ∵ , ∴ , ∵ 平分 , ∴ , ∵ , 平分 , ∴ ∴ , ∴ ; ② 时,如图, ∵ , ∴ , ∵ 平分 , ∴ , ∵ , 平分 , 21关注公众号:陆陆高分冲刺 ~领取:最新版“小中高考-总复习”、最新试卷下载 ∴ , ∴ . 综上, 或 . 题型三:A 字模型 模型结论: . 【中考母题学方法】 【典例3】(2024·贵州·模拟预测)教材回顾 我们知道,直角三角形的两个锐角互余,你能对直角三角形的这一性质进行证明吗? 性质证明 (1)为了证明该性质,小明同学画出了图形(如图1),并写出了“已知”和“求证”,请你完成证明过 程. 已知:在直角三角形 中, 求证: 性质运用 (2)如图2,在 中, ,点 , 分别在 , 上,且 , , ,求证: . 拓展提升 (3)如图3,在 中, , , , 分别为 , 的中点. , 分别在 , 上,且 , , 与 相交于 , 与 相交于 求证:点 是 的中 22关注公众号:陆陆高分冲刺 ~领取:最新版“小中高考-总复习”、最新试卷下载 点 【答案】(1)证明见解析;(2)证明见解析;(3)证明见解析 【分析】本题考查三角形的内角和定理,相似三角形的判定和性质,勾股定理逆定理: (1)根据三角形的内角和定理,即可得出结论; (2)先证明 ,得到 ,求出 的长,进而求出 的长,勾股定理逆定理得到 是直角三角形,且 ,即可得证; (3)先证明 ,得到 ,进而得到 ,三线合一,得到 , 得到 ,进而得到 ,推出 ,等量代换得到 ,即可得证. 【详解】(1)证明:由三角形的内角和定理可得 , 又 , ∴ . (2)证明:∵ , , ∴ , ∴ ,即 ,解得 , ∴ . 在 中, , , , ∵ ∴ 是直角三角形,且 , ∴ . (3)证明:∵ , 为 的中点, ∴ , 又 , ∴ , ∴ . ∵ ,点 为 的中点, ∴ , ∴ , . ∵ , ∴ , 23关注公众号:陆陆高分冲刺 ~领取:最新版“小中高考-总复习”、最新试卷下载 ∴ , ∴ , ∴ . ∵ ,点 是 的中点, ∴ ,即 . ∴ , ∴ , ∴ , ∴ , ∴点 为 的中点. 【中考模拟即学即练】 【变式3-1】如图, 中, ,直线 交 于点D,交 于点E,则 ( ). A. B. C. D. 【答案】D 【详解】解: , , , 故选:D. 【变式3-2】如图所示, 的两边上各有一点 ,连接 ,求证 . 24关注公众号:陆陆高分冲刺 ~领取:最新版“小中高考-总复习”、最新试卷下载 【详解】解: 和 是 的外角, . 又 , . 【变式3-3】如图1,直线 与 的边 , 分别相交于点 , (都不与点 重合). (1)若 ,①求 的度数;②如图2,直线 与边 , 相交得到 和 ,直接写出 的度数.(2)如图3, , 分别平分 和 ,写出 和 的数量关系,并说明 理由; (3)如图4,在四边形 中,点 , 分别是线段 、线段 上的点, , 分别平分 和 ,直接写出 与 , 的关系. 【答案】(1)① ;② (2) ,理由见解析(3) . 【分析】本题主要考查三角形内角和定理、三角形外角性质,掌握三角形内角和定理、角平分线的定义等 知识点,灵活运用相关知识是正确解答的关键.(1)①根据三角形内角和定理,角平分线的定义进行计 算即可;②根据①的结论即可解答;(2)由(1)的结论以及三角形内角和定理即可解答; (3)由(2)的结论可得 ,再根据三角形内角和定理进行解答即可. 【详解】(1)解:①如图1, ∵ ,∴ , ∵ ,∴ ; ②由①方法可得: . 25关注公众号:陆陆高分冲刺 ~领取:最新版“小中高考-总复习”、最新试卷下载 (2)解: ,理由如下:由(1)可得 . ∵ , 分别平分 和 ,∴ , ∴ , ∴ . (3)解: ,理由如下:由图2可得, , ∵ , 分别平分 和 ,∴ , ∴ , ∴ . 题型四:8 字模型 模型结论: 2∠P=∠B+∠D 【中考母题学方法】 【典例4】(2024·宁夏·中考真题)综合与实践 如图1,在 中, 是 的平分线, 的延长线交外角 的平分线于点 . 【发现结论】 结论1: ___________ ; 结论2:当图1中 时,如图2所示,延长 交 于点 ,过点 作 的垂线交 于点 , 交 的延长线于点 .则 与 的数量关系是___________. 【应用结论】 (1)求证: ; 26关注公众号:陆陆高分冲刺 ~领取:最新版“小中高考-总复习”、最新试卷下载 (2)在图2中连接 , ,延长 交 于点 ,补全图形,求证: . 【答案】【发现结论】结论1: ;结论2:相等(或 );【应用结论】(1)见解析;(2)见 解析 【分析】本题主要考查了全等三角形的判定与性质、角平分线的定义、三角形外角的性质、等边对等角、 等角对等边、勾股定理等知识,熟练掌握知识点推理证明是解题的关键. [发现结论]结论1:根据角平分线的定义、三角形外角的性质,推出 , ,即可得出 ; 结论2:根据已知 ,和结论1 ,得出 ,根据角平分线的定义得出 ,进一步推出 ,利用 证明 ,即可得出 ; [应用结论](1)根据过点 作 的垂线交 于点 ,得出 ,推出 , 结合结论2: ,利用 证明 ,即可证明 ; (2)连接 , ,延长 交 于点 ,根据垂线的定义得出 ,由结论2得: ,由(1)过程得: ,根据等边对等角、勾股定理、全等三角形的性质,推出 , , ,根据对顶角相等得出 ,推出 ,进一步得出 , ,根据等角对等边得出 , ,即可证明 . 【详解】解:[发现结论]结论1: ∵ 是 的平分线, 的延长线交外角 的平分线于点 , ∴ , , 27关注公众号:陆陆高分冲刺 ~领取:最新版“小中高考-总复习”、最新试卷下载 ∴ , 又∵ , ∴ , 故答案为: ; 结论2: ∵ ,由结论1得 , ∴ , ∵ 是 的平分线,过点 作 的垂线交 于点 , ∴ , , ∴ , ∴ , 在 和 中, , ∴ , ∴ , 故答案为:相等(或 ); [应用结论](1)证明:∵过点 作 的垂线交 于点 , ∴ , ∴ , ∵ , ∴ , ∴ , 又∵由结论2得: , ∴在 和 中, 28关注公众号:陆陆高分冲刺 ~领取:最新版“小中高考-总复习”、最新试卷下载 ∴ , ∴ ; (2)证明:如图,连接 , ,延长 交 于点 , ∵过点 作 的垂线交 于点 , ∴ , ∵由结论2得: ,由(1)过程得: , ∴ , , , ∴ , , ∴ , , ∴ , , ∴ . 【中考模拟即学即练】 【变式4-1】(2024·山东潍坊·模拟预测)潍坊红木嵌银漆器是山东潍坊特有的传统手工艺品,最早可追溯 到战国时代在一些铜器上镶嵌金银丝花纹;如图为某嵌银厂制作的传统工艺红木嵌银靠背马扎,其侧面图 如图所示, , 与地面平行, ,则 ( ) 29关注公众号:陆陆高分冲刺 ~领取:最新版“小中高考-总复习”、最新试卷下载 A. B. C. D. 【答案】C 【分析】本题主要考查了平行线的性质,三角形的内角和定理,解题的关键是熟练运用平行线的性质及三 角形的内角和定理. 先由平角求出 的度数,再由平行线的性质求出 的度数,最后根据三角形的内角和定理求出 的度数. 【详解】解:∵ , , , , , , 故选:C. 【变式4-2】(2024·山西·三模)如图1是一个可调节的电脑桌,它的工作原理是利用液体在封闭的管路中 传递力和能量.图2是将其正面抽象成的图形,其中桌面 与底座 平行,等长的支架 交于它 们的中点E.液压杆 .若 ,则 的度数为( ) A. B. C. D. 【答案】D 30关注公众号:陆陆高分冲刺 ~领取:最新版“小中高考-总复习”、最新试卷下载 【分析】主要考查等腰三角形的性质及平行线的性质,根据题意得出 ,确定 ,再由对顶角及平行线的性质即可求解 【详解】解: 等长的支架 交于它们的中点E, , ∵ , ∴ , ∴ , ∴ , ∵ , ∴故选:D 【变式4-3】(2024·湖北武汉·模拟预测)如图1,在平行四边形 中, , 的延长线交于点F. (1)求 的长; (2)如图2, 的角平分线交 于点P,点Q在 上; ①当 为等腰三角形时,求 的长; ②如图3,当点Q在线段 上,连接 ,将 沿 翻折得到 ,点M恰好落在 边上,试 求线段 的长. 【答案】(1) ; (2)① 或 或 ② . 【分析】(1)解直角三角形 求得 ,进而求得结果; (2)①作 于F,分为三种情形:当 时,可推出 是等腰直角三角形,解三角形 求得 ,进而求得结果,进而求得 和 情形; 31关注公众号:陆陆高分冲刺 ~领取:最新版“小中高考-总复习”、最新试卷下载 ②可推出 从而 进而推出 从而求得 , 进一步得出结果. 本题考查了平行四边形的性质,等腰三角形分类,解直角三角形,折叠得性质,全等三角形的判定和性质 等知识, 掌握相关知识是解决问题的关键. 【详解】(1)解:∵四边形 是平行四边形, (2)解:①如图1,作 于G, 当 时, ∴ , ∵ 平分 , ∴ , ∴ , ∴ , ∴ , 在 中, 设 在 中, 32关注公众号:陆陆高分冲刺 ~领取:最新版“小中高考-总复习”、最新试卷下载 由 得, 如图2, 当 时, 由上知: 如图3, 当 时, 综上所述: 或 或 ②如图,将 沿 翻折得到 , ∵四边形 是平行四边形, 33关注公众号:陆陆高分冲刺 ~领取:最新版“小中高考-总复习”、最新试卷下载 ∵ , ∴ , ∴ , ∵将 沿 翻折得到 , ∴ ∴ ∵ , ∴ , ∴ , ∴ , ∴ . 题型五:飞镖(燕尾)模型 模型结论:∠BDC=∠A+∠B+∠C. ∠O= (∠A+∠C)。 ∠O= (∠D-∠B)。 【中考母题学方法】 【典例5】(2024·河南·模拟预测)如图,点A,B,C,D,E在同一平面内,若 ,则 ( ) 34关注公众号:陆陆高分冲刺 ~领取:最新版“小中高考-总复习”、最新试卷下载 A. B. C. D. 【答案】C 【分析】本题考查了四边形内角和定理和三角形内角和定理.连接 ,利用四边形内角和定理和三角形 内角和定理计算即可. 【详解】解:如图,连接 , 则 , , ∵ , ∴ , ∴ , 故选:C. 【中考模拟即学即练】 【变式5-1】如图, , , , 的度数是 A. B. C. D. 【分析】延长 交 于 ,根据三角形的一个外角等于与它不相邻的两个内角的和列式求出 ,再利 35关注公众号:陆陆高分冲刺 ~领取:最新版“小中高考-总复习”、最新试卷下载 用三角形的一个外角等于与它不相邻的两个内角的和列式计算即可得解. 【解答】解:如图,延长 交 于 , , , , , . 故选: . 【点评】本题考查了三角形的一个外角等于与它不相邻的两个内角的和的性质,熟记性质是解题的关键. 【变式5-2】请阅读下列材料,并完成相应的任务:有趣的“飞镖图”. 如图,这种形似飞镖的四边形,可以形象地称它为“飞镖图”.当我们仔细观察后发现,它实际上就是凹 四边形.那么它具有哪些性质呢?又将怎样应用呢?下面我们进行认识与探究:凹四边形通俗地说,就是 一个角“凹”逃去的四边形,其性质有:凹四边形中最大内角外面的角等于其余三个内角之和. (即如图1,∠ADB=∠A+∠B+∠C)理由如下: 方法一:如图2,连结AB,则在△ABC中,∠C+∠CAB+∠CBA=180°, 即∠1+∠2+∠3+∠4+∠C=180°, 又:在△ABD中,∠1+∠2+∠ADB=180°, ∴∠ADB=∠3+∠4+∠C,即∠ADB=∠CAD+∠CBD+∠C. 方法二:如图3,连结CD并延长至F, ∵∠1和∠3分别是△ACD和△BCD的一个外角,.......... 大家在探究的过程中,还发现有很多方法可以证明这一结论. 任务:(1)填空:“方法一”主要依据的一个数学定理是_________; 36关注公众号:陆陆高分冲刺 ~领取:最新版“小中高考-总复习”、最新试卷下载 (2)探索及应用:根据“方法二”中辅助线的添加方式,写出该证明过程的剩余部分. 【答案】(1)三角形的内角和定理 (2)见解析 【分析】(1)根据解题过程作答即可;(2)连结CD并延长至F,由三角形外角的性质即可证明. 【详解】(1)由解题过程可得,“方法一”主要依据的一个数学定理是三角形的内角和定理, 故答案为:三角形的内角和定理; (2)连结CD并延长至F,∵∠1和∠3分别是△ACD和△BCD的一个外角, , ,即 . 【点睛】本题考查了三角形的内角和定理和三角形外角的性质,准确理解题意,熟练掌握知识点是解题的 关键. 【变式5-3】(2024·江苏·统考期中)【概念学习】在平面中,我们把大于180且小于360的角称为优角, 如果两个角相加等于360,那么称这两个角互为组角,简称互组. (1)若1、2互为组角,且1135,则2________; 【理解运 用】习惯上,我们把有一个内角大于180的四边形俗称为镖形. (2)如图①,在镖形ABCD中,优角BCD与钝角BCD互为组角,试探索内角A、B、D与钝 角BCD之间的数量关系,并说明理由; 【拓展延伸】(3)如图②,ABCDEF ________;(用含的代数式表示) ABCD AD BC Q AB DC P APD AQB (4)如图③,已知四边形 中,延长 、 交于点 ,延长 、 交于 , 、 M AQCP180 的平分线交于点 , ;①写出图中一对互组的角________(两个平角除外); PM QM ②直接运用(2)中的结论,试说明: ; BO CO ABO ACO i1,2,3,,2017,2018 (5)如图④, i、 i分别为 , 的2019等分线( ).它们的交点从 上到下依次为 O 1 , O 2 , O 3 ,…, O 2018.已知 BOC m , BAC n ,则 BO 1000 C  _______  .(用含 m n 、 的代数式表示) 37关注公众号:陆陆高分冲刺 ~领取:最新版“小中高考-总复习”、最新试卷下载 【答案】(1)225°;(2)钝角∠BCD=∠A+∠B+∠D;(3)2α;(4)①优角∠PCQ与钝角∠PCQ;② 1000 1019 m n 见解析;(5) 2019 2019 【分析】(1)根据互为组角的定义可知∠2=360°-∠1,代入数据计算即可; (2)根据四边形内角和定理可得∠A+∠B+优角∠BCD+∠D=360°,根据周角的定义可得优角∠BCD+钝角 ∠BCD=360°´,再利用等式的性质得出钝角∠BCD=∠A+∠B+∠D;(3)两次运用镖形中的角的关系可得; (4)①根据互为组角的定义及周角的定义,结合图形可知优角∠PCQ与钝角∠PCQ是一对互组的角; ②先由∠APD、∠AQB的平分线交于点M,得出∠AQM=∠BQM,∠APM=∠DPM.令 ∠AQM=∠BQM=α,∠APM=∠DPM=β.由(2)中的结论可知在镖形APMQ中,有∠A+α+β=∠PMQ,在 镖形APCQ中,有∠A+2α+2β=∠QCP,于是根据等式的性质得出∠QCP+∠A=2∠PMQ,而 ∠A+∠QCP=180°,那么∠PMQ=90°,即PM⊥QM.(5)由 1019 BOC OBO OCO BO C (ABOACO)BO C , 1000 1000 1000 2019 1000 1000 BO C ABO ACO BAC  (ABOACO)BAC 知 1000 1000 1000 2019 2019 1019 ABOACO (BO CBAC),代入 BOC  (ABOACO)BO C 得 1000 1000 2019 1000 1019 2019 BOC   (BO CBAC)BO C ,据此得出 2019 1000 1000 1000 1000 1019 1000 1019 BO C  (BOC BAC) BOC BAC ,代入可得答案. 1000 2019 1000 2019 2019 【详解】解:(1)∵∠1、∠2互为组角,且∠1=135°,∴∠2=360°-∠1=225°; (2)钝角∠BCD=∠A+∠B+∠D.理由如下: 如图①,∵在四边形ABCD中,∠A+∠B+优角∠BCD+∠D=360°, 又∵优角∠BCD+钝角∠BCD=360°,∴钝角∠BCD=∠A+∠B+∠D; 38关注公众号:陆陆高分冲刺 ~领取:最新版“小中高考-总复习”、最新试卷下载 (3)∠A+∠B+∠C+∠D+∠E+∠F=∠BOC+∠DOE=2α; (4)①优角∠PCQ与钝角∠PCQ; ②∵∠APD、∠AQB的平分线交于点M,∴∠AQM=∠BQM,∠APM=∠DPM. 令∠AQM=∠BQM=α,∠APM=∠DPM=β.∵在镖形APMQ中,有∠A+α+β=∠PMQ, 在镖形APCQ中,有∠A+2α+2β=∠QCP,∴∠QCP+∠A=2∠PMQ, ∵∠A+∠QCP=180°,∴∠PMQ=90°.∴PM⊥QM; 1000 1019 (5)如图,由题意知ABO  ABO,OBO  ABO , 1000 2019 1000 2019 1000 1019 ACO  ACO ,OCO  ACO, 1000 2019 1000 2019 1019 BOCOBO OCO BO C (ABOACO)BO C , 1000 1000 1000 2019 1000 1000 BO C ABO ACO BAC  (ABOACO)BAC , 1000 1000 1000 2019 2019 1019 则ABOACO (BO CBAC),代入 BOC  (ABOACO)BO C 得: 1000 1000 2019 1000 1019 2019 BOC   (BO CBAC)BO C , 2019 1000 1000 1000 1000 1019 1000 1019 BO C  (BOC BAC) BOC BAC 解得: , 1000 2019 1000 2019 2019 1000 1019 BO C  m n , , . ∵BOC m BAC n 1000 2019 2019 【点睛】本题考查了多边形内角与外角,四边形内角和定理,角平分线定义,垂直的定义,等式的性质, 学生的阅读理解能力及知识的迁移能力.理解互为组角的定义以及得出(2)中的关系是解题的关键. 题型六:三角形折叠模型 39关注公众号:陆陆高分冲刺 ~领取:最新版“小中高考-总复习”、最新试卷下载 模型结论:2∠C=∠1+∠2; 2∠C=∠2-∠1。 【中考母题学方法】 【典例6-1】(2024·四川·中考真题)如图, 中, , , ,折叠 ,使 点A与点B重合,折痕 与 交于点D,与 交于点E,则 的长为 . 【答案】3 【分析】本题考查了折叠的性质和勾股定理,熟练掌握勾股定理是解题的关键. 设 ,则 ,根据勾股定理求解即可. 【详解】解:由折叠的性质,得 , 设 ,则 , 由勾股定理,得 , ∴ , 解得 . 故答案为:3. 【典例6-2】(2024·江苏常州·中考真题)如图,在 中, , , ,D是边 的中点,E是边 上一点,连接 .将 沿 翻折,点C落在 上的点F处,则 . 40关注公众号:陆陆高分冲刺 ~领取:最新版“小中高考-总复习”、最新试卷下载 【答案】 【分析】本题考查勾股定理与折叠问题,勾股定理求出 的长,折叠得到 , ,设 ,在 中,利用勾股定理进行求解即可. 【详解】解:∵ , , ,D是边 的中点, ∴ , ∴ , ∵将 沿 翻折,点C落在 上的点F处, ∴ , , ∴ , 设 ,则: , 在 中,由勾股定理,得: , 解得: ; ∴ ; 故答案为: . 【典例6-3】(2024·广东深圳·模拟预测)如图,在 中, ,E是 中点,F是 上一点,沿着 折叠 ,若 ,则 . 【答案】 【分析】取 中点为D、连接 ,作 中点G,连接 交 ,交 于O,根据勾股定理求出 的长,由折叠性质以及等腰三角形的判定与性质得出 共线,即O与 重合,利用中位线性质, 41关注公众号:陆陆高分冲刺 ~领取:最新版“小中高考-总复习”、最新试卷下载 勾股定理得出一元二次方程 ,求出结果即可得出结论. 【详解】解:如图所示,取 中点为D、连接 ,作 中点G,连接 交 ,交 于O, 在 中 为 中点, , 由折叠可知: , 点G是 中点,在 中有 ,且 , 在 中, , 在 中,E为 中点,G为 中点, , 取 中点为 ,则 , , , 共线,即O与 重合, , 在 中, , 为 的中点,D为 的中点, , , 42关注公众号:陆陆高分冲刺 ~领取:最新版“小中高考-总复习”、最新试卷下载 , 在 中,设 ,则 , , , 在 中, ,即 , 整理得: , 解得: , , 故答案为: . 【点睛】本题考查了勾股定理,一元二次方程的几何应用,中位线的性质,等腰三角形的判定与性质,折 叠性质,熟练掌握相关性质定理,准确作出辅助线为解题关键. 【中考模拟即学即练】 【变式6-1】(2024·湖南·二模)如图, 在四边形 内部,若 , , 则 ( ) A. B. C. D. 【答案】B 【分析】此题考查了三角形和四边形内角和,解题的关键是掌握以上知识点. 首先根据三角形内角和定理得到 ,然后根据四边形内角和求解即可. 【详解】∵ ∴ 43关注公众号:陆陆高分冲刺 ~领取:最新版“小中高考-总复习”、最新试卷下载 ∵ , ∴ . 故选:B. 【变式6-2】(2024·江苏徐州·模拟预测)如图,在 中,将 沿 折叠后,点D恰好落在 的延长线上的点E处,若 , ,则 的周长为( ) A.12 B.18 C.15 D.21 【答案】B 【分析】本题考查了折叠的性质,平行四边形的性质,三角形内角和定理,含 的直角三角形.解题的 关键在于对知识的熟练掌握与灵活运用.由折叠的性质与题意可得, ,由 ,可知 ,则 , ,进而可求 的值,即可得出结果. 【详解】解:由折叠的性质可得, , ∵ , ∴ , ∴ , ∴ , ∴ , 的周长为: , 故选:B. 【变式6-3】(2024·广东·模拟预测)如图所示,在 中,将点A与点B分别沿 和 折叠,使点 A,B都与点C重合,若 ,则 的度数为() 44关注公众号:陆陆高分冲刺 ~领取:最新版“小中高考-总复习”、最新试卷下载 A. B. C. D. 【答案】B 【分析】本题考查了三角形内角和定理,熟练掌握三角形内角和定理,折叠的性质是解题关键.根据折叠 的性质得, , ,再根据三角形内角和定理 ,最后由 求 的度数. 【详解】解: 将点 与点 分别沿 和 折叠,使点 、 与点 重合, ∴ , , ∵ , ∴ , ∵ , ∴ , 解得 故选:B. 【变式6-4】(2024·贵州贵阳·二模)综合与实践 问题情境:在综合与实践课上,老师要求同学们以“折纸中的数学”为主题开展活动. 独立思考: (1)如图①,将三角形纸片 沿 折叠,使点 落在四边形 内点 的位置,则 与 之间的数量关系为 ,请说明理由; 深入探究: (2)如图②,若点 落在四边形 的边 下方时,试猜想此时 与 , 之间的数量关系,并 说明理由; 结论运用: (3)如图③,在四边形 中, , , 分别是 , 边上的一点,沿 将四边形 折叠,点 的对应点 恰好落在 边上,且 , . 45关注公众号:陆陆高分冲刺 ~领取:最新版“小中高考-总复习”、最新试卷下载 ① 的度数为 ; ②若 , ,求点 到 的距离. 【答案】(1) ,理由见解析;(2) ,理由见解析;(3)① ;② 【分析】(1)连接 ,由折叠的性质得出 .由三角形外角的性质可得出结论; (2)由三角形外角的性质得出 , ,则可得出结论; (3)①延长 交 的延长线于 ,由(2)中结论可知 ,求出 即可得出答案; ②过点 作 交 于点 ,过点 作 交 的延长线于点 ,求出 , . 求出 ,得出 ,则可得出答案. 【详解】解:(1) , 理由如下:连接 ,如图①, 将三角形纸片 沿 折叠,点 落在四边形 内点 的位置, . , , , 即 ; 故答案为: ; 46关注公众号:陆陆高分冲刺 ~领取:最新版“小中高考-总复习”、最新试卷下载 (2) , 理由如下:设 与 交于点 ,如图②, , , , ; (3)①延长 交 的延长线于 ,由(2)中结论可知 ,如图③, , . , . 故答案为: ; ②过点 作 交 于点 ,过点 作 交 的延长线于点 ,如图, , , , . , 47关注公众号:陆陆高分冲刺 ~领取:最新版“小中高考-总复习”、最新试卷下载 , , , . , , ,即点 到 的距离为 . 【点睛】本题是几何变换综合题,考查了折叠的性质,三角形外角的性质,三角形内角和定理,勾股定理 及直角三角形的相关性质等内容,正确掌握相关性质内容是解题的关键. 题型七:双角平分线模型 1.双内角平分线 模型结论: 2∠P=∠A+∠D。 2.双外角平分线 模型结论: . 3.内角平分线+外角平分线 48关注公众号:陆陆高分冲刺 ~领取:最新版“小中高考-总复习”、最新试卷下载 模型结论: . 的度数是 . 【中考母题学方法】 【典例7-1】(2024·四川达州·中考真题)如图,在 中, , 分别是内角 、外角 的三等分线,且 , ,在 中, , 分别是内角 ,外 角 的三等分线.且 , ,…,以此规律作下去.若 . 则 度. 【答案】 【分析】本题考查了三角形的外角定理,等式性质,熟练掌握知识点是解题的关键. 先分别对 运用三角形的外角定理,设 ,则 , ,则 ,得到 , ,同理可求: ,所以可得 . 【详解】解:如图: 49关注公众号:陆陆高分冲刺 ~领取:最新版“小中高考-总复习”、最新试卷下载 ∵ , , ∴设 , ,则 , , 由三角形的外角的性质得: , , ∴ , 如图: 同理可求: , ∴ , ……, ∴ , 即 , 故答案为: . 【典例7-2】(2024·黑龙江绥化·中考真题)如图,已知 ,点 为 内部一点,点 为射 线 、点 为射线 上的两个动点,当 的周长最小时,则 . 50关注公众号:陆陆高分冲刺 ~领取:最新版“小中高考-总复习”、最新试卷下载 【答案】 / 度 【分析】本题考查了轴对称 最短路线问题,等腰三角形的性质,三角形内角和定理的应用;作点P关于 , 的对称点 .连接 .则当 , 是 与 , 的交点时, 的周长最短, 根据对称的性质结合等腰三角形的性质即可求解. 【详解】解:作 关于 , 的对称点 .连接 .则当 , 是 与 , 的交点 时, 的周长最短,连接 , 关于 对称, ∴ , 同理, , , , , 是等腰三角形. 51关注公众号:陆陆高分冲刺 ~领取:最新版“小中高考-总复习”、最新试卷下载 , 故答案为: . 【典例7-3】(2024·辽宁锦州·二模)【模型建构】 如图1,点O在直线 上,射线 , 位于直线 两侧,若 ,则称 , 是关于直线 的对称角 当射线 , 位于 同侧且 时,可以通过作对顶角构造出对称角,可以反向延长射线 , 得到 (如图2),或者反向延长射线 ,则 (如图3). 【模型应用】 (1)小明受到模型启发,运用两种方法构造出对称角解决了下面问题: 如图4,点C,D在 上,点E,F在直线 外,连接 , , , ,若 , ,求 的度数. 方法一:延长 至H,使 ,连接 , 方法二:延长 至H,使 ,连接 , 请你依照小明的解题思路,任选一种方法,写出证明过程; (2)小明又尝试将(1)中问题进行变式提出了新问题,请你应用“对称角”模型构造全等三角形或者按 照自己的解题思路解答. 如图5,在 中, ,点D是 的中点,点E,F分别在 , 上, , ,猜想 , , 之间的数量关系,并说明理由. 【学以致用】 (3)如图6,在四边形 中, , , , 相较于点E,且 ,若 , ,求 的长. 52关注公众号:陆陆高分冲刺 ~领取:最新版“小中高考-总复习”、最新试卷下载 【答案】(1)90°;(2) ,见解析;(3)8 【分析】本题主要考查了菱形的性质、相似三角形的判定与性质、勾股定理、全等三角形的判定与性质等 知识点,熟练掌握以上知识是解题的关键. (1)方法一:如图1,延长 至H,使 ,连接 ,证明 可得 .证明 可得 即可;方法二:如图2,延长 至 H,使 ,连接 ,证明 得出 .证明 . 得出 即可; (2)答图3,延长 至H,使 ,连接 , ,证明 可得 .证出 即可; (3)如图4:延长 至F,使 ,过点F作 于D.证明 .得出 .设 ,由勾股定理列出方程可求解即可. 【详解】解:(1)方法一:如答图1,延长 至H,使 ,连接 , , 53关注公众号:陆陆高分冲刺 ~领取:最新版“小中高考-总复习”、最新试卷下载 . , . , . , . . , , . . 方法二:如答图2,延长 至H,使 ,连接 , , 且 . , . , . . . , . . (2) .如答图3,延长 至H,使 ,连接 、 , 54关注公众号:陆陆高分冲刺 ~领取:最新版“小中高考-总复习”、最新试卷下载 , , . , , . . 中, ,点D是 的中点, . . . . . . (3)如答图4,延长 至F,使 ,过点F作 于D. , . . . . 又 , . . . . 55关注公众号:陆陆高分冲刺 ~领取:最新版“小中高考-总复习”、最新试卷下载 四边形 是菱形. , , , , . 设 , , , , , , . 中,由公股定理有 , ,解得: .即 . 【中考模拟即学即练】 【变式7-1】(2024·甘肃武威·一模)如图, 是 的外角, 平分 , 平分 , 且 相交于点D.若 ,则 等于( ) A. B. C. D. 【答案】B 【分析】本题主要考查了三角形外角的性质.根据角平分线的定义可得 , 再由三角形外角的性质,可得 ,从而得到 ,即可求 解. 【详解】解:∵ 平分 , 平分 , ∴ . ∵ 是 的外角, 是 的外角, ∴ , 56关注公众号:陆陆高分冲刺 ~领取:最新版“小中高考-总复习”、最新试卷下载 ∴ , ∴ , ∵ , ∴ . 故选:B. 【变式7-2】(2023·山东淄博·一模)如图,点 是 的内心,连接 ,若 ,则 ( ) A. B. C. D. 【答案】A 【分析】根据三角形内心的定义得到 分别是 的角平分线,再利用三角形的内角和 定理即可得到 的度数. 【详解】解:∵点 是 的内心, ∴ 分别是 的角平分线, ∴ , , ∵ , ∴ , ∴ , ∴ , ∴ , 故选: . 【点睛】本题考查了三角形内心的定义,角平分线的定义,三角形的内角定理,掌握三角形内心的定义是 解题的关键. 【变式7-3】(2024·湖北武汉·模拟预测)如图,两平面镜α、β的夹角为θ,入射光线 平行于β入射到 57关注公众号:陆陆高分冲刺 ~领取:最新版“小中高考-总复习”、最新试卷下载 α上,经两次反射后的出射光线CB平行于α,则角θ等于( ) A.30° B.45° C.60° D.75° 【答案】C 【分析】本题考查了镜面对称问题;利用反射的性质得到入射光线与水平线的夹角等于反射光线与水平线 的夹角,再利用平行的性质把相应的角转移到一个三角形中求解. 【详解】解:由题意得, , 由镜面成像原理可知, , , ∴ , ∴ , 故选C. 58