当前位置:首页>文档>难点17几何综合模型(5大热考模型)解析版_02中考总复习(2026版更新中)_02-数学-中考总复习_2025中考复习资料_2025年中考数学一轮知识梳理_难点17几何综合模型(5大热考模型)

难点17几何综合模型(5大热考模型)解析版_02中考总复习(2026版更新中)_02-数学-中考总复习_2025中考复习资料_2025年中考数学一轮知识梳理_难点17几何综合模型(5大热考模型)

  • 2026-04-07 17:14:31 2026-04-07 16:49:28

文档预览

难点17几何综合模型(5大热考模型)解析版_02中考总复习(2026版更新中)_02-数学-中考总复习_2025中考复习资料_2025年中考数学一轮知识梳理_难点17几何综合模型(5大热考模型)
难点17几何综合模型(5大热考模型)解析版_02中考总复习(2026版更新中)_02-数学-中考总复习_2025中考复习资料_2025年中考数学一轮知识梳理_难点17几何综合模型(5大热考模型)
难点17几何综合模型(5大热考模型)解析版_02中考总复习(2026版更新中)_02-数学-中考总复习_2025中考复习资料_2025年中考数学一轮知识梳理_难点17几何综合模型(5大热考模型)
难点17几何综合模型(5大热考模型)解析版_02中考总复习(2026版更新中)_02-数学-中考总复习_2025中考复习资料_2025年中考数学一轮知识梳理_难点17几何综合模型(5大热考模型)
难点17几何综合模型(5大热考模型)解析版_02中考总复习(2026版更新中)_02-数学-中考总复习_2025中考复习资料_2025年中考数学一轮知识梳理_难点17几何综合模型(5大热考模型)
难点17几何综合模型(5大热考模型)解析版_02中考总复习(2026版更新中)_02-数学-中考总复习_2025中考复习资料_2025年中考数学一轮知识梳理_难点17几何综合模型(5大热考模型)
难点17几何综合模型(5大热考模型)解析版_02中考总复习(2026版更新中)_02-数学-中考总复习_2025中考复习资料_2025年中考数学一轮知识梳理_难点17几何综合模型(5大热考模型)
难点17几何综合模型(5大热考模型)解析版_02中考总复习(2026版更新中)_02-数学-中考总复习_2025中考复习资料_2025年中考数学一轮知识梳理_难点17几何综合模型(5大热考模型)
难点17几何综合模型(5大热考模型)解析版_02中考总复习(2026版更新中)_02-数学-中考总复习_2025中考复习资料_2025年中考数学一轮知识梳理_难点17几何综合模型(5大热考模型)
难点17几何综合模型(5大热考模型)解析版_02中考总复习(2026版更新中)_02-数学-中考总复习_2025中考复习资料_2025年中考数学一轮知识梳理_难点17几何综合模型(5大热考模型)
难点17几何综合模型(5大热考模型)解析版_02中考总复习(2026版更新中)_02-数学-中考总复习_2025中考复习资料_2025年中考数学一轮知识梳理_难点17几何综合模型(5大热考模型)
难点17几何综合模型(5大热考模型)解析版_02中考总复习(2026版更新中)_02-数学-中考总复习_2025中考复习资料_2025年中考数学一轮知识梳理_难点17几何综合模型(5大热考模型)
难点17几何综合模型(5大热考模型)解析版_02中考总复习(2026版更新中)_02-数学-中考总复习_2025中考复习资料_2025年中考数学一轮知识梳理_难点17几何综合模型(5大热考模型)
难点17几何综合模型(5大热考模型)解析版_02中考总复习(2026版更新中)_02-数学-中考总复习_2025中考复习资料_2025年中考数学一轮知识梳理_难点17几何综合模型(5大热考模型)
难点17几何综合模型(5大热考模型)解析版_02中考总复习(2026版更新中)_02-数学-中考总复习_2025中考复习资料_2025年中考数学一轮知识梳理_难点17几何综合模型(5大热考模型)
难点17几何综合模型(5大热考模型)解析版_02中考总复习(2026版更新中)_02-数学-中考总复习_2025中考复习资料_2025年中考数学一轮知识梳理_难点17几何综合模型(5大热考模型)
难点17几何综合模型(5大热考模型)解析版_02中考总复习(2026版更新中)_02-数学-中考总复习_2025中考复习资料_2025年中考数学一轮知识梳理_难点17几何综合模型(5大热考模型)
难点17几何综合模型(5大热考模型)解析版_02中考总复习(2026版更新中)_02-数学-中考总复习_2025中考复习资料_2025年中考数学一轮知识梳理_难点17几何综合模型(5大热考模型)
难点17几何综合模型(5大热考模型)解析版_02中考总复习(2026版更新中)_02-数学-中考总复习_2025中考复习资料_2025年中考数学一轮知识梳理_难点17几何综合模型(5大热考模型)
难点17几何综合模型(5大热考模型)解析版_02中考总复习(2026版更新中)_02-数学-中考总复习_2025中考复习资料_2025年中考数学一轮知识梳理_难点17几何综合模型(5大热考模型)
难点17几何综合模型(5大热考模型)解析版_02中考总复习(2026版更新中)_02-数学-中考总复习_2025中考复习资料_2025年中考数学一轮知识梳理_难点17几何综合模型(5大热考模型)
难点17几何综合模型(5大热考模型)解析版_02中考总复习(2026版更新中)_02-数学-中考总复习_2025中考复习资料_2025年中考数学一轮知识梳理_难点17几何综合模型(5大热考模型)
难点17几何综合模型(5大热考模型)解析版_02中考总复习(2026版更新中)_02-数学-中考总复习_2025中考复习资料_2025年中考数学一轮知识梳理_难点17几何综合模型(5大热考模型)
难点17几何综合模型(5大热考模型)解析版_02中考总复习(2026版更新中)_02-数学-中考总复习_2025中考复习资料_2025年中考数学一轮知识梳理_难点17几何综合模型(5大热考模型)
难点17几何综合模型(5大热考模型)解析版_02中考总复习(2026版更新中)_02-数学-中考总复习_2025中考复习资料_2025年中考数学一轮知识梳理_难点17几何综合模型(5大热考模型)
难点17几何综合模型(5大热考模型)解析版_02中考总复习(2026版更新中)_02-数学-中考总复习_2025中考复习资料_2025年中考数学一轮知识梳理_难点17几何综合模型(5大热考模型)
难点17几何综合模型(5大热考模型)解析版_02中考总复习(2026版更新中)_02-数学-中考总复习_2025中考复习资料_2025年中考数学一轮知识梳理_难点17几何综合模型(5大热考模型)
难点17几何综合模型(5大热考模型)解析版_02中考总复习(2026版更新中)_02-数学-中考总复习_2025中考复习资料_2025年中考数学一轮知识梳理_难点17几何综合模型(5大热考模型)
难点17几何综合模型(5大热考模型)解析版_02中考总复习(2026版更新中)_02-数学-中考总复习_2025中考复习资料_2025年中考数学一轮知识梳理_难点17几何综合模型(5大热考模型)
难点17几何综合模型(5大热考模型)解析版_02中考总复习(2026版更新中)_02-数学-中考总复习_2025中考复习资料_2025年中考数学一轮知识梳理_难点17几何综合模型(5大热考模型)
难点17几何综合模型(5大热考模型)解析版_02中考总复习(2026版更新中)_02-数学-中考总复习_2025中考复习资料_2025年中考数学一轮知识梳理_难点17几何综合模型(5大热考模型)
难点17几何综合模型(5大热考模型)解析版_02中考总复习(2026版更新中)_02-数学-中考总复习_2025中考复习资料_2025年中考数学一轮知识梳理_难点17几何综合模型(5大热考模型)
难点17几何综合模型(5大热考模型)解析版_02中考总复习(2026版更新中)_02-数学-中考总复习_2025中考复习资料_2025年中考数学一轮知识梳理_难点17几何综合模型(5大热考模型)
难点17几何综合模型(5大热考模型)解析版_02中考总复习(2026版更新中)_02-数学-中考总复习_2025中考复习资料_2025年中考数学一轮知识梳理_难点17几何综合模型(5大热考模型)
难点17几何综合模型(5大热考模型)解析版_02中考总复习(2026版更新中)_02-数学-中考总复习_2025中考复习资料_2025年中考数学一轮知识梳理_难点17几何综合模型(5大热考模型)
难点17几何综合模型(5大热考模型)解析版_02中考总复习(2026版更新中)_02-数学-中考总复习_2025中考复习资料_2025年中考数学一轮知识梳理_难点17几何综合模型(5大热考模型)
难点17几何综合模型(5大热考模型)解析版_02中考总复习(2026版更新中)_02-数学-中考总复习_2025中考复习资料_2025年中考数学一轮知识梳理_难点17几何综合模型(5大热考模型)
难点17几何综合模型(5大热考模型)解析版_02中考总复习(2026版更新中)_02-数学-中考总复习_2025中考复习资料_2025年中考数学一轮知识梳理_难点17几何综合模型(5大热考模型)
难点17几何综合模型(5大热考模型)解析版_02中考总复习(2026版更新中)_02-数学-中考总复习_2025中考复习资料_2025年中考数学一轮知识梳理_难点17几何综合模型(5大热考模型)
难点17几何综合模型(5大热考模型)解析版_02中考总复习(2026版更新中)_02-数学-中考总复习_2025中考复习资料_2025年中考数学一轮知识梳理_难点17几何综合模型(5大热考模型)
难点17几何综合模型(5大热考模型)解析版_02中考总复习(2026版更新中)_02-数学-中考总复习_2025中考复习资料_2025年中考数学一轮知识梳理_难点17几何综合模型(5大热考模型)
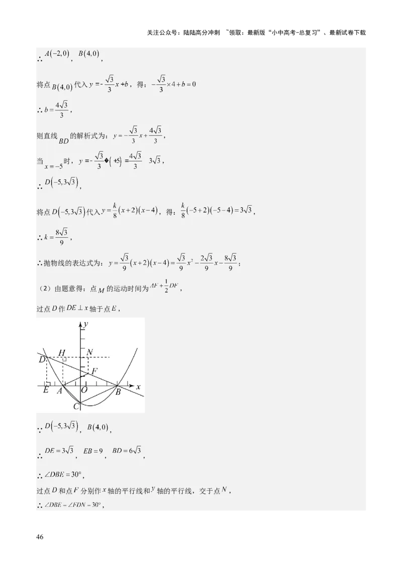
难点17几何综合模型(5大热考模型)解析版_02中考总复习(2026版更新中)_02-数学-中考总复习_2025中考复习资料_2025年中考数学一轮知识梳理_难点17几何综合模型(5大热考模型)
难点17几何综合模型(5大热考模型)解析版_02中考总复习(2026版更新中)_02-数学-中考总复习_2025中考复习资料_2025年中考数学一轮知识梳理_难点17几何综合模型(5大热考模型)
难点17几何综合模型(5大热考模型)解析版_02中考总复习(2026版更新中)_02-数学-中考总复习_2025中考复习资料_2025年中考数学一轮知识梳理_难点17几何综合模型(5大热考模型)
难点17几何综合模型(5大热考模型)解析版_02中考总复习(2026版更新中)_02-数学-中考总复习_2025中考复习资料_2025年中考数学一轮知识梳理_难点17几何综合模型(5大热考模型)
难点17几何综合模型(5大热考模型)解析版_02中考总复习(2026版更新中)_02-数学-中考总复习_2025中考复习资料_2025年中考数学一轮知识梳理_难点17几何综合模型(5大热考模型)
难点17几何综合模型(5大热考模型)解析版_02中考总复习(2026版更新中)_02-数学-中考总复习_2025中考复习资料_2025年中考数学一轮知识梳理_难点17几何综合模型(5大热考模型)
难点17几何综合模型(5大热考模型)解析版_02中考总复习(2026版更新中)_02-数学-中考总复习_2025中考复习资料_2025年中考数学一轮知识梳理_难点17几何综合模型(5大热考模型)
难点17几何综合模型(5大热考模型)解析版_02中考总复习(2026版更新中)_02-数学-中考总复习_2025中考复习资料_2025年中考数学一轮知识梳理_难点17几何综合模型(5大热考模型)
难点17几何综合模型(5大热考模型)解析版_02中考总复习(2026版更新中)_02-数学-中考总复习_2025中考复习资料_2025年中考数学一轮知识梳理_难点17几何综合模型(5大热考模型)
难点17几何综合模型(5大热考模型)解析版_02中考总复习(2026版更新中)_02-数学-中考总复习_2025中考复习资料_2025年中考数学一轮知识梳理_难点17几何综合模型(5大热考模型)
难点17几何综合模型(5大热考模型)解析版_02中考总复习(2026版更新中)_02-数学-中考总复习_2025中考复习资料_2025年中考数学一轮知识梳理_难点17几何综合模型(5大热考模型)
难点17几何综合模型(5大热考模型)解析版_02中考总复习(2026版更新中)_02-数学-中考总复习_2025中考复习资料_2025年中考数学一轮知识梳理_难点17几何综合模型(5大热考模型)
难点17几何综合模型(5大热考模型)解析版_02中考总复习(2026版更新中)_02-数学-中考总复习_2025中考复习资料_2025年中考数学一轮知识梳理_难点17几何综合模型(5大热考模型)
难点17几何综合模型(5大热考模型)解析版_02中考总复习(2026版更新中)_02-数学-中考总复习_2025中考复习资料_2025年中考数学一轮知识梳理_难点17几何综合模型(5大热考模型)
难点17几何综合模型(5大热考模型)解析版_02中考总复习(2026版更新中)_02-数学-中考总复习_2025中考复习资料_2025年中考数学一轮知识梳理_难点17几何综合模型(5大热考模型)
难点17几何综合模型(5大热考模型)解析版_02中考总复习(2026版更新中)_02-数学-中考总复习_2025中考复习资料_2025年中考数学一轮知识梳理_难点17几何综合模型(5大热考模型)
难点17几何综合模型(5大热考模型)解析版_02中考总复习(2026版更新中)_02-数学-中考总复习_2025中考复习资料_2025年中考数学一轮知识梳理_难点17几何综合模型(5大热考模型)
难点17几何综合模型(5大热考模型)解析版_02中考总复习(2026版更新中)_02-数学-中考总复习_2025中考复习资料_2025年中考数学一轮知识梳理_难点17几何综合模型(5大热考模型)
难点17几何综合模型(5大热考模型)解析版_02中考总复习(2026版更新中)_02-数学-中考总复习_2025中考复习资料_2025年中考数学一轮知识梳理_难点17几何综合模型(5大热考模型)
难点17几何综合模型(5大热考模型)解析版_02中考总复习(2026版更新中)_02-数学-中考总复习_2025中考复习资料_2025年中考数学一轮知识梳理_难点17几何综合模型(5大热考模型)
难点17几何综合模型(5大热考模型)解析版_02中考总复习(2026版更新中)_02-数学-中考总复习_2025中考复习资料_2025年中考数学一轮知识梳理_难点17几何综合模型(5大热考模型)
难点17几何综合模型(5大热考模型)解析版_02中考总复习(2026版更新中)_02-数学-中考总复习_2025中考复习资料_2025年中考数学一轮知识梳理_难点17几何综合模型(5大热考模型)
难点17几何综合模型(5大热考模型)解析版_02中考总复习(2026版更新中)_02-数学-中考总复习_2025中考复习资料_2025年中考数学一轮知识梳理_难点17几何综合模型(5大热考模型)
难点17几何综合模型(5大热考模型)解析版_02中考总复习(2026版更新中)_02-数学-中考总复习_2025中考复习资料_2025年中考数学一轮知识梳理_难点17几何综合模型(5大热考模型)
难点17几何综合模型(5大热考模型)解析版_02中考总复习(2026版更新中)_02-数学-中考总复习_2025中考复习资料_2025年中考数学一轮知识梳理_难点17几何综合模型(5大热考模型)
难点17几何综合模型(5大热考模型)解析版_02中考总复习(2026版更新中)_02-数学-中考总复习_2025中考复习资料_2025年中考数学一轮知识梳理_难点17几何综合模型(5大热考模型)
难点17几何综合模型(5大热考模型)解析版_02中考总复习(2026版更新中)_02-数学-中考总复习_2025中考复习资料_2025年中考数学一轮知识梳理_难点17几何综合模型(5大热考模型)
难点17几何综合模型(5大热考模型)解析版_02中考总复习(2026版更新中)_02-数学-中考总复习_2025中考复习资料_2025年中考数学一轮知识梳理_难点17几何综合模型(5大热考模型)
难点17几何综合模型(5大热考模型)解析版_02中考总复习(2026版更新中)_02-数学-中考总复习_2025中考复习资料_2025年中考数学一轮知识梳理_难点17几何综合模型(5大热考模型)
难点17几何综合模型(5大热考模型)解析版_02中考总复习(2026版更新中)_02-数学-中考总复习_2025中考复习资料_2025年中考数学一轮知识梳理_难点17几何综合模型(5大热考模型)
难点17几何综合模型(5大热考模型)解析版_02中考总复习(2026版更新中)_02-数学-中考总复习_2025中考复习资料_2025年中考数学一轮知识梳理_难点17几何综合模型(5大热考模型)
难点17几何综合模型(5大热考模型)解析版_02中考总复习(2026版更新中)_02-数学-中考总复习_2025中考复习资料_2025年中考数学一轮知识梳理_难点17几何综合模型(5大热考模型)
难点17几何综合模型(5大热考模型)解析版_02中考总复习(2026版更新中)_02-数学-中考总复习_2025中考复习资料_2025年中考数学一轮知识梳理_难点17几何综合模型(5大热考模型)
难点17几何综合模型(5大热考模型)解析版_02中考总复习(2026版更新中)_02-数学-中考总复习_2025中考复习资料_2025年中考数学一轮知识梳理_难点17几何综合模型(5大热考模型)
难点17几何综合模型(5大热考模型)解析版_02中考总复习(2026版更新中)_02-数学-中考总复习_2025中考复习资料_2025年中考数学一轮知识梳理_难点17几何综合模型(5大热考模型)
难点17几何综合模型(5大热考模型)解析版_02中考总复习(2026版更新中)_02-数学-中考总复习_2025中考复习资料_2025年中考数学一轮知识梳理_难点17几何综合模型(5大热考模型)
难点17几何综合模型(5大热考模型)解析版_02中考总复习(2026版更新中)_02-数学-中考总复习_2025中考复习资料_2025年中考数学一轮知识梳理_难点17几何综合模型(5大热考模型)
难点17几何综合模型(5大热考模型)解析版_02中考总复习(2026版更新中)_02-数学-中考总复习_2025中考复习资料_2025年中考数学一轮知识梳理_难点17几何综合模型(5大热考模型)
难点17几何综合模型(5大热考模型)解析版_02中考总复习(2026版更新中)_02-数学-中考总复习_2025中考复习资料_2025年中考数学一轮知识梳理_难点17几何综合模型(5大热考模型)
难点17几何综合模型(5大热考模型)解析版_02中考总复习(2026版更新中)_02-数学-中考总复习_2025中考复习资料_2025年中考数学一轮知识梳理_难点17几何综合模型(5大热考模型)
难点17几何综合模型(5大热考模型)解析版_02中考总复习(2026版更新中)_02-数学-中考总复习_2025中考复习资料_2025年中考数学一轮知识梳理_难点17几何综合模型(5大热考模型)
难点17几何综合模型(5大热考模型)解析版_02中考总复习(2026版更新中)_02-数学-中考总复习_2025中考复习资料_2025年中考数学一轮知识梳理_难点17几何综合模型(5大热考模型)
难点17几何综合模型(5大热考模型)解析版_02中考总复习(2026版更新中)_02-数学-中考总复习_2025中考复习资料_2025年中考数学一轮知识梳理_难点17几何综合模型(5大热考模型)
难点17几何综合模型(5大热考模型)解析版_02中考总复习(2026版更新中)_02-数学-中考总复习_2025中考复习资料_2025年中考数学一轮知识梳理_难点17几何综合模型(5大热考模型)
难点17几何综合模型(5大热考模型)解析版_02中考总复习(2026版更新中)_02-数学-中考总复习_2025中考复习资料_2025年中考数学一轮知识梳理_难点17几何综合模型(5大热考模型)
难点17几何综合模型(5大热考模型)解析版_02中考总复习(2026版更新中)_02-数学-中考总复习_2025中考复习资料_2025年中考数学一轮知识梳理_难点17几何综合模型(5大热考模型)
难点17几何综合模型(5大热考模型)解析版_02中考总复习(2026版更新中)_02-数学-中考总复习_2025中考复习资料_2025年中考数学一轮知识梳理_难点17几何综合模型(5大热考模型)
难点17几何综合模型(5大热考模型)解析版_02中考总复习(2026版更新中)_02-数学-中考总复习_2025中考复习资料_2025年中考数学一轮知识梳理_难点17几何综合模型(5大热考模型)
难点17几何综合模型(5大热考模型)解析版_02中考总复习(2026版更新中)_02-数学-中考总复习_2025中考复习资料_2025年中考数学一轮知识梳理_难点17几何综合模型(5大热考模型)
难点17几何综合模型(5大热考模型)解析版_02中考总复习(2026版更新中)_02-数学-中考总复习_2025中考复习资料_2025年中考数学一轮知识梳理_难点17几何综合模型(5大热考模型)
难点17几何综合模型(5大热考模型)解析版_02中考总复习(2026版更新中)_02-数学-中考总复习_2025中考复习资料_2025年中考数学一轮知识梳理_难点17几何综合模型(5大热考模型)
难点17几何综合模型(5大热考模型)解析版_02中考总复习(2026版更新中)_02-数学-中考总复习_2025中考复习资料_2025年中考数学一轮知识梳理_难点17几何综合模型(5大热考模型)
难点17几何综合模型(5大热考模型)解析版_02中考总复习(2026版更新中)_02-数学-中考总复习_2025中考复习资料_2025年中考数学一轮知识梳理_难点17几何综合模型(5大热考模型)
难点17几何综合模型(5大热考模型)解析版_02中考总复习(2026版更新中)_02-数学-中考总复习_2025中考复习资料_2025年中考数学一轮知识梳理_难点17几何综合模型(5大热考模型)
难点17几何综合模型(5大热考模型)解析版_02中考总复习(2026版更新中)_02-数学-中考总复习_2025中考复习资料_2025年中考数学一轮知识梳理_难点17几何综合模型(5大热考模型)
难点17几何综合模型(5大热考模型)解析版_02中考总复习(2026版更新中)_02-数学-中考总复习_2025中考复习资料_2025年中考数学一轮知识梳理_难点17几何综合模型(5大热考模型)
难点17几何综合模型(5大热考模型)解析版_02中考总复习(2026版更新中)_02-数学-中考总复习_2025中考复习资料_2025年中考数学一轮知识梳理_难点17几何综合模型(5大热考模型)
难点17几何综合模型(5大热考模型)解析版_02中考总复习(2026版更新中)_02-数学-中考总复习_2025中考复习资料_2025年中考数学一轮知识梳理_难点17几何综合模型(5大热考模型)
难点17几何综合模型(5大热考模型)解析版_02中考总复习(2026版更新中)_02-数学-中考总复习_2025中考复习资料_2025年中考数学一轮知识梳理_难点17几何综合模型(5大热考模型)
难点17几何综合模型(5大热考模型)解析版_02中考总复习(2026版更新中)_02-数学-中考总复习_2025中考复习资料_2025年中考数学一轮知识梳理_难点17几何综合模型(5大热考模型)
难点17几何综合模型(5大热考模型)解析版_02中考总复习(2026版更新中)_02-数学-中考总复习_2025中考复习资料_2025年中考数学一轮知识梳理_难点17几何综合模型(5大热考模型)
难点17几何综合模型(5大热考模型)解析版_02中考总复习(2026版更新中)_02-数学-中考总复习_2025中考复习资料_2025年中考数学一轮知识梳理_难点17几何综合模型(5大热考模型)
难点17几何综合模型(5大热考模型)解析版_02中考总复习(2026版更新中)_02-数学-中考总复习_2025中考复习资料_2025年中考数学一轮知识梳理_难点17几何综合模型(5大热考模型)
难点17几何综合模型(5大热考模型)解析版_02中考总复习(2026版更新中)_02-数学-中考总复习_2025中考复习资料_2025年中考数学一轮知识梳理_难点17几何综合模型(5大热考模型)
难点17几何综合模型(5大热考模型)解析版_02中考总复习(2026版更新中)_02-数学-中考总复习_2025中考复习资料_2025年中考数学一轮知识梳理_难点17几何综合模型(5大热考模型)
难点17几何综合模型(5大热考模型)解析版_02中考总复习(2026版更新中)_02-数学-中考总复习_2025中考复习资料_2025年中考数学一轮知识梳理_难点17几何综合模型(5大热考模型)
难点17几何综合模型(5大热考模型)解析版_02中考总复习(2026版更新中)_02-数学-中考总复习_2025中考复习资料_2025年中考数学一轮知识梳理_难点17几何综合模型(5大热考模型)
难点17几何综合模型(5大热考模型)解析版_02中考总复习(2026版更新中)_02-数学-中考总复习_2025中考复习资料_2025年中考数学一轮知识梳理_难点17几何综合模型(5大热考模型)
难点17几何综合模型(5大热考模型)解析版_02中考总复习(2026版更新中)_02-数学-中考总复习_2025中考复习资料_2025年中考数学一轮知识梳理_难点17几何综合模型(5大热考模型)
难点17几何综合模型(5大热考模型)解析版_02中考总复习(2026版更新中)_02-数学-中考总复习_2025中考复习资料_2025年中考数学一轮知识梳理_难点17几何综合模型(5大热考模型)

文档信息

文档格式
docx
文档大小
6.056 MB
文档页数
107 页
上传时间
2026-04-07 16:49:28

文档内容

关注公众号:陆陆高分冲刺 ~领取:最新版“小中高考-总复习”、最新试卷下载 难点 17 几何综合模型(5 大热考模型) 题型一:两圆一中垂构造等腰三角形模型 题型二:两垂一圆构造直角三角形模型 题型三:胡不归模型 题型四:阿氏圆模型 题型五:瓜豆原理模型 题型一:两圆一中垂构造等腰三角形模型 分类讨论: 若AB=AC,则点C在以点A 为圆心,线段AB的长为半径的圆上; 若BA=BC,则点C在以点B为圆心,线段AB的长为半径的圆上; 若CA=CB,则点C在线段AB的垂直平分线PQ上以上简称“两圆一中垂” “两圆一中垂”上的点能构成等腰三角形,但是要除去原有的点A,B,还要除去因共线无法构成三角形的点 MN以及线段AB中点E(共除去5个点)需要注意细节 【中考母题学方法】 【典例1-1】(2022•建湖县一模)如图,每个小方格的边长为1,A,B两点都在小方格的顶点上,点C也 是图中小方格的顶点,并且△ABC是等腰三角形,那么点C的个数为( ) 1关注公众号:陆陆高分冲刺 ~领取:最新版“小中高考-总复习”、最新试卷下载 A.1 B.2 C.3 D.4 【分析】根据“两圆一线”画图找点即可. 【解答】解:如图,C点与P、Q、R重合时,均满足△ABC是等腰三角形, 故选:C. 【点评】本题考查“两圆一线”构造等腰三角形的方法,熟练使用两圆一线的方法是解题关键. 【典例1-2】(2020•武汉模拟)平面直角坐标系中,A(3,3)、B(0,5).若在坐标轴上取点C,使 △ABC为等腰三角形,则满足条件的点C的个数是( ) A.3 B.4 C.5 D.7 【分析】由于没有说明△ABC的腰长,故需要分三种情况进行讨论,分别是 AB=AC,AB=BC,AC= BC, 【解答】解:当AC=CB时, 作AB的垂直平分线,交x轴于C ,交y轴于点C 1 2 当AB=AC时, 以点A为圆心,AB为半径作圆A,交y轴于C ,交x轴于C 、C , 3 4 5 当AB=BC时, 以点B为圆心,AB为半径作圆B,交y轴于点C 、C 6 7 2关注公众号:陆陆高分冲刺 ~领取:最新版“小中高考-总复习”、最新试卷下载 故选:D. 【点评】本题考查等腰三角形的性质,解题的关键是根据等腰三角形的性质分三种情况进行讨论,本题 属于中等题型. 【典例1-3】(2022•开州区模拟)如图,在等腰Rt△ABC中,AB=BC,D是BC的中点,E为AC边上任意 一点,连接DE,将线段DE绕点D逆时针旋转90°得到线段DF,连接EF,交AB于点G. (1)如图1,若AB=6,AE= ,求ED的长; (2)如图2,点G恰好是EF的中点,连接BF,求证:CD= BF; (3)如图3,若AB=4 ,连接CF,当CF+ BF取得最小值时.请直接写出S△CEF 的值. 【分析】(1)过点E作EH⊥BC于点H,得∠CHE=90°,在等腰直角三角形ABC中,求出BC=6,AC= ,再证明△CHE也是等腰直角三角形,最后在Rt△DHE中,求出DE即可; (2)过点E作EM∥BF于AB交点M,过点D作DN⊥BC交AC于N,得出△CDN为等腰直角三角形,再 证明△BFD≌NED(SAS),△EMG≌△FBG(AAS),最后在等腰Rt△CDN中,求出CD与BF关系; (3)如图3﹣1中,取AC的中点T,连接DT,BT,则△BDT是等腰直角三角形.首先证明点F在直线 3关注公众号:陆陆高分冲刺 ~领取:最新版“小中高考-总复习”、最新试卷下载 BT上运动,如图3﹣2中,取AT的中点Q,连接BQ,作FH⊥BQ于点H,CJ⊥BQ于点J,交BT于点R. 再证明当点F与R重合时,CF+ BF的值最小,即可解决问题. 【解答】解:(1)如图,过点E作EH⊥BC于点H, ∴∠CHE=90°, 在等腰直角三角形ABC中, ∵AB=6, ∴BC=6,AC= , ∵D为BC中点, ∴CD= BC, ∵AE= , ∴CE=AC﹣CE= , ∵∠C=45°, ∴△CHE也是等腰直角三角形, ∴CH=EH=5, ∴HD=CH﹣CD=2, ∴在Rt△DHE中,DE= = . (2)如图,过点E作EM∥BF于AB交点M,过点D作DN⊥BC交AC于N, 4关注公众号:陆陆高分冲刺 ~领取:最新版“小中高考-总复习”、最新试卷下载 ∴△CDN为等腰直角三角形, ∴CD=ND, ∵BD=CD, ∴BD=DN, ∵∠5+∠BDE=∠6+∠BDE, ∴∠5=∠6, 在△BFD和△NED中, , ∴△BFD≌NED(SAS), ∴BF=EN,∠3=∠4, 在.△EMG和△FBG中, , ∴△EMG≌△FBG(AAS), ∴ME=BF, ∴ME=EN, ∵∠2+∠3=45°, ∴∠1+∠4=45°, ∴∠MEN=∠1+∠4+∠FED=90°, ∴∠AEM=90°, ∴△AEM是等腰直角三角形, ∴AE=ME=BF=EN, ∴BF= AN, 5关注公众号:陆陆高分冲刺 ~领取:最新版“小中高考-总复习”、最新试卷下载 ∵DN∥BC,D是BC的中点, ∴CN=AN, ∴BF= CN, 又∵在等腰Rt△CDN中,CD= CN, ∴CD= BF. (3)如图3﹣1中,取AC的中点T,连接DT,BT,则△BDT是等腰直角三角形. ∵∠EDF=∠TDB=90°, ∴∠BDF=∠TDE, ∵DB=DT,DF=DE, ∴△BDF≌△TDE(SAS), ∴∠DBF=∠DTE=135°, ∵∠DBT=135°, ∴F,B,T共线, ∴点F在直线BT上运动, 如图3﹣2中,取AT的中点Q,连接BQ,作FH⊥BQ于点H,CJ⊥BQ于点J,交BT于点R. 6关注公众号:陆陆高分冲刺 ~领取:最新版“小中高考-总复习”、最新试卷下载 ∵tan∠FBH= = = , ∴FH= BF, ∴CF+ BF=CF+FH≤CJ, ∴当点F与R重合时,CF+ BF的值最小, ∵∠BTQ=∠CTR=90°,BT=CT,∠QBT=∠RCT, ∴△BTQ≌△CTR(ASA), ∴TR=QT, ∵AB=BC=4 ,∠ABC=90°, ∴AC= AB=8, ∴AT=CT=BT=4,QT=RT=2, ∴BF=TE=2, ∴S△CEF = •CE•FT= ×2×2=2. 【点评】本题考查了几何变换的综合应用,解题关键是正确作出辅助线,能判定出全等三角形,解直角 等腰三角形. 【中考模拟即学即练】 【变式1-1】如图,在Rt△ABC中,∠ACB=90°,AB=2BC,在直线BC或AC上取一点P,使得△PAB为等 腰三角形,则符合条件的点P共有( ) 7关注公众号:陆陆高分冲刺 ~领取:最新版“小中高考-总复习”、最新试卷下载 A.4个 B.5个 C.6个 D.7个 【分析】根据等腰三角形的判定,“在同一三角形中,有两条边相等的三角形是等腰三角形(简称:在 同一三角形中,等边对等角)”分三种情况解答即可. 【解答】解:如图, ①AB的垂直平分线交AC一点P (PA=PB),交直线BC于点P ; 1 2 ②以A为圆心,AB为半径画圆,交AC有二点P ,P ,交BC有一点P ,(此时AB=AP); 3 4 2 ③以B为圆心,BA为半径画圆,交BC有二点P ,P ,交AC有一点P (此时BP=BA). 5 2 6 2+(3﹣1)+(3﹣1)=6, ∴符合条件的点有六个. 故选:C. 【点评】本题考查了等腰三角形的判定;构造等腰三角形时本着截取相同的线段就能作出等腰三角形来, 思考要全面,做到不重不漏. 【变式1-2】已知直线y=﹣ x+3与坐标轴分别交于点A,B,点P在抛物线y=﹣(x﹣ )2+4上,能 使△ABP为等腰三角形的点P的个数有( ) A.8个 B.4个 C.5个 D.6个 【分析】分三种情况考虑:①以点B为圆心,AB长度为半径作圆可找出两个点P;②以点A为圆心, AB长度为半径作圆可找出四个点P;③作线段AB的垂直平分线可找出两个点P.综上即可得出结论. 【解答】解:分三种情况考虑: ①以点B为圆心,AB长度为半径作圆,交抛物线于点P 、P ; 1 2 ②以点A为圆心,AB长度为半径作圆,交抛物线于点P 、P 、P 、P ; 3 4 5 6 ③作线段AB的垂直平分线,交抛物线于点P 、P . 7 8 综上所述:能使△ABP为等腰三角形的点P的个数为8个. 8关注公众号:陆陆高分冲刺 ~领取:最新版“小中高考-总复习”、最新试卷下载 故选:A. 【点评】本题考查了二次函数图象上点的坐标特征、一次函数图象上点的坐标特征以及等腰三角形的判 定,依照题意画出图形,利用数形解决问题是解题的关键. 【变式1-3】如图,已知点A(1,2)是反比例函数y= 图象上的一点,连接AO并延长交双曲线的另一 分支于点B,点P是x轴上一动点;若△PAB是等腰三角形,则点P的坐标是 . 【分析】由对称性可知O为AB的中点,则当△PAB为等腰三角形时只能有PA=AB或PB=AB,设P点 坐标为(x,0),可分别表示出PA和PB,从而可得到关与x的方程,可求得x,可求得P点坐标. 【解答】解: ∵反比例函数y= 图象关于原点对称, ∴A、B两点关于O对称, ∴O为AB的中点,且B(﹣1,﹣2), ∴当△PAB为等腰三角形时有PA=AB或PB=AB, 设P点坐标为(x,0), ∵A(1,2),B(﹣1,﹣2), ∴AB= =2 ,PA= ,PB= , 9关注公众号:陆陆高分冲刺 ~领取:最新版“小中高考-总复习”、最新试卷下载 当PA=AB时,则有 =2 ,解得x=﹣3或5,此时P点坐标为(﹣3,0)或(5, 0); 当PB=AB时,则有 =2 ,解得x=3或﹣5,此时P点坐标为(3,0)或(﹣5, 0); 综上可知P点的坐标为(﹣3,0)或(5,0)或(3,0)或(﹣5,0), 故答案为:(﹣3,0)或(5,0)或(3,0)或(﹣5,0). 【点评】本题主要考查等腰三角形的性质和反比例函数的对称性,判断出只有PA=AB或PB=AB两种情 况是解题的关键,注意方程思想的应用. 题型二:两垂一圆构造直角三角形模型 平面内有两点A,B,再找一点C,使得ABC 为直角三角形 分类讨论: 若∠A=90°,则点C在过点A 且垂直于AB 的直线上(除点A外); 若∠B=90°,则点C在过点B且垂直于AB的直线上(除点B外); 若∠C=90°,则点C在以AB为直径的圆上(除点A,B外). 以上简称“两垂一圆”. “两垂一圆”上的点能构成直角三角形,但要除去A,B两点. 【中考母题学方法】 【典例2-1】(2023·湖南怀化·中考真题)如图,AB是 的直径,点 是 外一点, 与 相切于 点 ,点 为 上的一点.连接 、 、 ,且 . 10关注公众号:陆陆高分冲刺 ~领取:最新版“小中高考-总复习”、最新试卷下载 (1)求证: 为 的切线; (2)延长 与AB的延长线交于点D,求证: ; (3)若 ,求阴影部分的面积. 【答案】(1)见解析 (2)见解析 (3) 【分析】(1)连接 ,证明 ,即可得证; (2)根据 ,即可得证; (3)根据圆周角定理得出 ,进而勾股定理求得 ,根据 ,即 可求解. 【详解】(1)证明:∵ 是 的切线, ∴ 如图所示,连接 在 与 中, ∴ 11关注公众号:陆陆高分冲刺 ~领取:最新版“小中高考-总复习”、最新试卷下载 ∵ 为 上的一点. ∴ 是 的切线; (2)∵ 是 的切线; ∴ , ∴ ∴ (3)解:∵ , ∴ , ∵ ∴ , ∴ ∴ , ∴ 【点睛】本题考查了切线的性质与判定,圆周角定理,求含30度角的直角三角形的性质,勾股定理,求扇 形面积,熟练掌握以上知识是解题的关键. 【典例2-2】(2023·福建泉州·二模)如图, 是半圆 的直径, 与半圆 相切于点 ,连 接 并延长,交 的延长线于点 . 12关注公众号:陆陆高分冲刺 ~领取:最新版“小中高考-总复习”、最新试卷下载 (1)求证: ; (2)若 的半径为 ,求 的长. 【答案】(1)见解析 (2) 【分析】(1)连接 ,通过证明 可得 ,然后求得 ,从而使问题得证; (2)利用 的正切值分析计算. 【详解】(1)证明:如图,连接 , 为半圆 的直径, 是半圆 的切线, , 与半圆 相切于点 , , . , , , . (2)解:在 中, , , , , , 13关注公众号:陆陆高分冲刺 ~领取:最新版“小中高考-总复习”、最新试卷下载 , . 【点睛】本题考查了圆周角定理,切线的性质和判定,锐角三角函数,准确添加辅助线构造直角三角形是 解题关键. 【中考模拟即学即练】 【变式2-1】在平面直角坐标系中,点A的坐标为(﹣1,2),点B的坐标为(2,6),点C在坐标轴上, 若△ABC为直角三角形,则满足条件的点C共有( ) A.2个 B.4个 C.6个 D.8个 【分析】过点A作AB的垂线,交x轴于点C ,交y轴于点C ;过点B作AB的垂线,交x轴于点C ,交y 1 2 3 轴于点C ;根据直径所对的圆周角为直角,以AB为直径作圆,根据A和B的坐标求出AB的长度,即为圆 4 的直径,可得出半径的长,进而判断得出圆与x轴相离,可得出圆与y轴交于2点.所以满足条件的点共 有6个. 【解答】解:根据题意画出相应的图形,如图所示: 分三种情况考虑:当A为直角顶点时,过A作AC⊥AB,交x轴于点C ,交y轴于点C ,此时满足题意的点 1 2 为C ,C ; 1 2 当B为直角顶点时,过B作BC⊥⊥AB,交x轴于点C ,交y轴于点C ,此时满足题意的点为C ,C ; 3 4 3 4 当C为直角顶点时,以AB为直径作圆,由A(﹣1,2),B(2,6),得到AB=5,可得此圆与x轴相离, 则此圆与x轴没有交点,与y轴有2个交点,分别为C ,C . 5 6 综上,所有满足题意的C有6个. 故选:C. 【点评】此题考查了圆周角定理,勾股定理,以及坐标与图形性质,利用了分类讨论及数形结合的思想. 14关注公众号:陆陆高分冲刺 ~领取:最新版“小中高考-总复习”、最新试卷下载 注意:若△ABC是直角三角形,则它的任意一个顶点都有可能为直角顶点. 【变式2-2】(2022·浙江宁波·二模)如图1,四边形 是 的内接四边形,其中 ,对角线 相交于点 ,在 上取一点 ,使得 ,过点 作 交 于点 . (1)证明: ; (2)如图 2,若 ,且 恰好经过圆心 ,求 的值; (3)若 ,设 的长为 . ①如图3,用含有 的代数式表示 的周长; ②如图4, 恰好经过圆心 ,求 内切圆半径与外接圆半径的比值. 【答案】(1)见解析; (2)CB·CD=12; (3)①C BCD= ;②内切圆半径与外接圆半径的比值为 ; △ 【分析】(1)利用等腰三角形的性质和圆周角定理即可证明; (2)由垂径定理得AC=2AF=2AD,由(1)结论可得AD=2AE=2,求出AC,CE的长再由△ABC∽△DEC, 利用比例的性质即可解答; (3)①利用(1)结论求得AC的长,由△BCE∽△ADE求得BC,DE的代数式,由△ABE∽△DCE求得CD 的代数式,再计算周长即可; ②根据①的解答先由勾股定理求出BC的长,再利用面积法求出Rt△BCD的内切圆半径即可解答; 【详解】(1)证明:∵AB=AD, ∴∠ABD=∠ADB, ∵∠ABD=∠ACD, ∴∠ACD=∠ADB, ∵∠CAD=∠DAE, ∴△CAD∽△DAE; (2)解:∵△CAD∽△DAE, 15关注公众号:陆陆高分冲刺 ~领取:最新版“小中高考-总复习”、最新试卷下载 ∴ , ∵GH是直径,AC⊥GH, ∴AC=2AF, 又∵AB=AF=AD, ∴AC=2AD, ∴AD=2AE=2, ∴AF=2,CF=2,EF=1, ∴AC=4,CE=3, ∵∠BCA=∠ADB=∠ABD=∠ACD, 又∵∠BAC=∠EDC, ∴△ABC∽△DEC, ∴ , ∴CB·CD=CA·CE=4×3=12; (3)解:①∵AE=1,EF=2, ∴AB=AD=AF=3, ∵ , ∴AC=9,即CE=8, ∵△BCE∽△ADE, ∴ =x,即BC=3x,DE= , ∵△ABE∽△DCE, ∴ , ∴CD= , ∴C BCD= ; △ ②∵BC是直径, ∴∠BAC=90°, 16关注公众号:陆陆高分冲刺 ~领取:最新版“小中高考-总复习”、最新试卷下载 ∴BC= , ∴外接圆半径为 , 在Rt△ABE中:BE= , 由①小题结论,C BCD= , △ BD= ,CD= , 设内切圆半径为r则△BCD的面积= ×△BCD的周长×r,则 , 解得:r= ∴半径之比= ; 【点睛】本题考查了相似三角形的判定和性质,圆周角定理,垂径定理,三角形内切圆半径求法等知识; 熟练掌握相似三角形的判定和性质是解题关键. 【变式2-3】(2021·浙江杭州·一模)如图,点E是正方形ABCD边BC上一点(点E不与B、C重合),连 接AE交对角线BD于点F,△ADF的外接圆O交边CD于点G,连接GA、GE,设 =α. (1)求∠EAG的度数. (2)当α= 时,求tan∠AEG. (3)用α的代数式表示 ,并说明理由. 17关注公众号:陆陆高分冲刺 ~领取:最新版“小中高考-总复习”、最新试卷下载 【答案】(1)45°;(2)3;(3) 【分析】(1)根据同弧所对的圆周角相等即可求出结果; (2)连接 ,根据正方形推出 ,再根据圆的内接四边形对角互补推出 ,然后根 据第一问推得 ,即 ,然后利用已知 得出 ,再根据 即可 得出结果; (3)过点 作 ,连接 然后根据正方形的对称性得 ,由(2)得 ,由 和三线合一得 ,然后根据已知得出 ,再根据 得出 ,根据 利用比例线段得出 ,然后根据 , 等量代换即可得到结果. 【详解】解:(1) 是正方形 的对角线, , , , ; (2)连接 , 18关注公众号:陆陆高分冲刺 ~领取:最新版“小中高考-总复习”、最新试卷下载 在正方形 中 , 又 在圆 的内接四边形 中 , ,由(1)得 , , , , , , , , , , 正方形 中 , , , , ; (2)过 作 ,垂足为 ,连接 , 利用正方形轴对称可得 , 由(2)知 , , , 19关注公众号:陆陆高分冲刺 ~领取:最新版“小中高考-总复习”、最新试卷下载 , , , , , , , , , , , , . 【点睛】本题考查了圆的综合题,圆的相关概念同弧所对的圆周角,圆的内接四边形是解本题的必备条件. 利用平行出相似,平行出比例线段以及线段的等量代换是解本题的关键. 【变式2-4】(2023·黑龙江哈尔滨·二模)如图1, 内接于 中, 为直径,点 在弧 上,连 接 . (1)求证: ; (2)如图2,连接 交 于点 ,若 ,求证: ; (3)在(2)的条件下,如图3,点 在线段 上,连接 交 于点 ,若 , , ,求线段 的长. 20关注公众号:陆陆高分冲刺 ~领取:最新版“小中高考-总复习”、最新试卷下载 【答案】(1)见解析 (2)见解析 (3) 【分析】(1)根据圆周角定理可得 , ,由三角形内角和定理可得 , 从而可得 ; (2)设 ,可得 ,从而得到 ,由等腰三角形的性质可得 ,即可得到 ,即 ,从而即可得证; (3)连接 ,由(2)可得: 垂直平分 ,可得 ,根据等腰三角形的性质及三角 形外角的定义可得 ,设 ,则 , ,过点 作 交 的延长线于点 ,根据三角形的中位线定理可得 ,过点 作 于点 ,则 ,设 ,根据同角的余角相等可得 ,从而可得 ,因此 ,即 ,解方程即可得到答案. 【详解】(1)证明: 为直径, , ∴ , , ∴ , ∴ ; (2)证明:设 , ∵ , ∴ , ∴ , ∵ , ∴ , ∴ , ∴ , 21关注公众号:陆陆高分冲刺 ~领取:最新版“小中高考-总复习”、最新试卷下载 ∴ , ∴ , ∴ ; (3)解:连接 , , 由(2)可得: 垂直平分 , ∴ , ∴ , ∵ , ∴ , ∵ , ∴ , 为直径, ∴ , 设 , ∴ , ∴ , 过点 作 交 的延长线于点 , ∴ , , ∴ , ∴ , ∵ , , 22关注公众号:陆陆高分冲刺 ~领取:最新版“小中高考-总复习”、最新试卷下载 ∴ , 过点 作 于点 , ∴ , 设 , ∵ , ∴ , ∴ , ∴ , ∴ , 解得 (舍去), , ∴ , ∴ , ∴ , ∴ . 【点睛】本题主要考查了圆周角定理、三角形外角的定义、等腰三角形的判定与性质、三角形内角和定理、 三角形的中位线定理,正弦的应用,熟练掌握圆周角定理、三角形外角的定义、等腰三角形的判定与性质、 三角形内角和定理、三角形的中位线定理,添加适当的辅助线,是解题的关键. 题型三:胡不归模型 一动点P在直线MN外的运动速度为V ,在直线MN上运动的速度为V ,且V 1,则提取系数,转化为小于1的形式解决即可)。 【最值原理】垂线段最短。 【中考母题学方法】 【典例3-1】(2022·内蒙古鄂尔多斯·中考真题)如图,在△ABC中,AB=AC=4,∠CAB=30°, AD⊥BC,垂足为D,P为线段AD上的一动点,连接PB、PC.则PA+2PB的最小值为 . 【答案】4 【分析】在∠BAC的外部作∠CAE=15°,作BF⊥AE于F,交AD于P,此时PA+2PB=2 = =2BF,通过解直角三角形ABF,进一步求得结果. 【详解】解:如图, 24关注公众号:陆陆高分冲刺 ~领取:最新版“小中高考-总复习”、最新试卷下载 在∠BAC的外部作∠CAE=15°,作BF⊥AE于F,交AD于P, 此时PA+2PB最小, ∴∠AFB=90° ∵AB=AC,AD⊥BC, ∴∠CAD=∠BAD= , ∴∠EAD=∠CAE+∠CAD=30°, ∴PF= , ∴PA+2PB=2 = =2BF, 在Rt△ABF中,AB=4,∠BAF=∠BAC+∠CAE=45°, ∴BF=AB•sin45°=4 , ∴(PA+2PB) =2BF= , 最大 故答案为: . 【点睛】本题考查了等腰三角形的性质,解直角直角三角形,解题的关键是作辅助线. 【典例3-2】(2022·广西梧州·中考真题)如图,在平面直角坐标系中,直线 分别与x,y轴交 于点A,B,抛物线 恰好经过这两点. 25关注公众号:陆陆高分冲刺 ~领取:最新版“小中高考-总复习”、最新试卷下载 (1)求此抛物线的解析式; (2)若点C的坐标是 ,将 绕着点C逆时针旋转90°得到 ,点A的对应点是点E. ①写出点E的坐标,并判断点E是否在此抛物线上; ②若点P是y轴上的任一点,求 取最小值时,点P的坐标. 【答案】(1) (2)①点E在抛物线上;②P(0,− ) 【分析】(1)先求出A、B坐标,然后根据待定系数法求解即可; (2)①根据旋转的性质求出EF=AO=3,CF=CO=6,从而可求E的坐标,然后把E的坐标代入(1)的函数 解析式中,从而判断出点E是否在抛物线上; ②过点E作EH⊥AB,交y轴于P,垂足为H, ,则 ,得 ,可知HP+PE的最小值为EH的长,从而解决问题. 【详解】(1)解:当x=0时,y=-4, 当y=0时, , ∴x=-3, ∴A(-3,0),B(0,-4), 把A、B代入抛物线 , 26关注公众号:陆陆高分冲刺 ~领取:最新版“小中高考-总复习”、最新试卷下载 得 , ∴ , ∴抛物线解析式为 . (2)解:①∵A(-3,0),C(0,6), ∴AO=3,CO=6, 由旋转知:EF=AO=3,CF=CO=6,∠FCO=90° ∴E到x轴的距离为6-3=3, ∴点E的坐标为(6,3), 当x=3时, , ∴点E在抛物线上; ②过点E作EH⊥AB,交y轴于P,垂足为H, ∵A(−3,0),B(0,−4), ∴OA=3,OB=4, ∴AB=5, ∵ , ∴ , ∴ , 27关注公众号:陆陆高分冲刺 ~领取:最新版“小中高考-总复习”、最新试卷下载 ∴HP+PE的最小值为EH的长, 作EG⊥y轴于G, ∵∠GEP=∠ABO, ∴tan∠GEP=tan∠ABO, ∴ , ∴ , ∴ , ∴OP= −3= , ∴P(0,− ). 【点睛】本题是二次函数综合题,主要考查了待定系数法求函数解析式,旋转的性质,三角函数,两点之 间、线段最短等知识,利用三角函数将 转化为HP的长是解题的关键. 【典例3-3】(2024·四川成都·模拟预测)探究式学习是新课程倡导的重要学习方式,某兴趣小组拟做以下 探究. 【尝试初探】 (1)如图①,在四边形 中,若 , , ,求 的长; 【深入探究】 (2)如图②,在四边形 中,若 , , ,求 的长; 【拓展延伸】 (3)如图③,在四边形 中,若 , , ,延长 相交于点 , , 是线段 上一动点,连接 ,求 的最小值. 28关注公众号:陆陆高分冲刺 ~领取:最新版“小中高考-总复习”、最新试卷下载 【答案】(1)10;(2)8;(3) . 【分析】本题是三角形综合题,涉及了解特殊的直角三角形、对角互补模型、最值胡不归模型、角平分线 性质及判定、全等三角形的判定,解题关键是利用三角形全等转化线段和角的关系,由30度角、45度角 的解直角三角形,求边长,构造胡不归模型利用垂线段最短求出最值. (1)易证 ,从而可得 , ,进而由含30 度直角三角形性质可得 ; (2)如图2,取 的中点O,连接 、 , 由直角三角形斜边中线等于斜边一半可证明 是等 腰直角三角形, ,即可求出 . (3)由已知可以求得证明 , ,再构造含30度的直角三角形求 出 ,再利用胡不归模型构造 的折线段,根据垂线段最短,得出 的最小值即可求解. 【详解】解:(1)∵ , , ; ∴ ; ∴ , ∴ , ∴ . (2)如图②,取 的中点O,连接 、 , 29关注公众号:陆陆高分冲刺 ~领取:最新版“小中高考-总复习”、最新试卷下载 ∵ , ∴ , , ∴ , , ∴ , ; ∴ ,即 , ∵ , ∴ , 又∵ , ∴ , (3)如图③,过点A作 , ∵ , , ∴ , , 又∵ , ∴ , ∴ , ∴ , 在 和 中, 30关注公众号:陆陆高分冲刺 ~领取:最新版“小中高考-总复习”、最新试卷下载 ∴ , ∴ , ∵ , , ∴ , ∴ , 过点A作 交 于点Q, ∴ , , ∴ , , ∵ , ∴ , ∴ , 如图④,作 ,过点P作 ,垂足为H,过点D作 ,垂足为N,交 于M, ∴ , , ∴ , , ∵ ,当点P在点M位置时,点H与N重合, 取最小值,最小值为 , ∴ 的最小值为 , 31关注公众号:陆陆高分冲刺 ~领取:最新版“小中高考-总复习”、最新试卷下载 ∴ 最小值为 . 【中考模拟即学即练】 【变式3-1】(22-23九年级上·山东济宁·期末)如图, 中, , , 于点 E,D是线段 上的一个动点,则 的最小值是( ) A. B. C. D.10 【答案】B 【分析】如图,作 于 , 于 .由 ,设 , ,利用勾股 定理构建方程求出 ,再证明 ,推出 ,由垂线段最短即可解决问题. 【详解】解:如图,作 于 , 于 . , , , 设 , , 32关注公众号:陆陆高分冲刺 ~领取:最新版“小中高考-总复习”、最新试卷下载 则有: , , 解得 (舍去), ∴ , , , ,则 ∴ , , , , , , 当C、D、H三点共线时, , 的最小值为 . 故选:B. 【点睛】本题考查解直角三角形,等腰三角形的性质,垂线段最短等知识,解题的关键是学会添加常用辅 助线,用转化的思想思考问题,属于中考常考题型. 【变式3-2】(2023·安徽黄山·模拟预测)如图,在平面直角坐标系中,二次函数 的图 象与x轴交于点A,C两点,与y轴交于点B,对称轴与x轴交于点D,若P为y轴上的一个动点,连接 ,则 的最小值为( ) 33关注公众号:陆陆高分冲刺 ~领取:最新版“小中高考-总复习”、最新试卷下载 A. B. C. D. 【答案】A 【分析】作射线 ,作 于E,作 于F,交y轴于 ,可求得 ,从而得出 ,进而得出 ,进一步得出结果. 【详解】解:如图, 作射线 ,作 于E,作 于F,交y轴于 , 抛物线的对称轴为直线 , ∴ , 当 时, , ∴ , 当 时, , 34关注公众号:陆陆高分冲刺 ~领取:最新版“小中高考-总复习”、最新试卷下载 ∴ , , ∴ , ∴ , ∵ , ∴ , ∴ , ∴ ,当点P在 时, 最小,最大值等于 , 在 中, , , ∴ , ∴ , 故选:A. 【点睛】本题以二次函数为背景,考查了二次函数与一元二次方程之间的关系,解直角三角形等知识,解 决问题的关键是用三角函数构造 . 【变式3-3】(23-24九年级下·江苏南通·阶段练习)在平面直角坐标系 中,抛物线 与 轴交于 , 两点,若 ,函数 的最小值为 ,且 . (1)求该抛物线的解析式; (2)如果将该抛物线在 轴下方的部分沿 轴向上翻折,得到的图象与剩余的图象组成新图形 .当函数 的图象与图形 的公共点的个数大于 时,求 的取值范围; (3)在(2)的条件下,当 取最大值时,函数 的图象与图形 的对称轴交于点 ,若过 作 平行于 轴的直线交图形 于点 ,过点 作 轴的平行线交函数 的图象于点 , 为线段 35关注公众号:陆陆高分冲刺 ~领取:最新版“小中高考-总复习”、最新试卷下载 上的一点,动点 从点 出发,沿 运动到点 停止,已知点 在 上运动的速度为 单位 长度每秒,在 上运动的速度为 单位长度每秒.求当点 运动的时间最短时,对应的点 的坐标. 【答案】(1) (2) (3) 或 【分析】(1)令 ,解方程求得 ,得出 ,进而根据二次函数的性质,得出 求得 的值,即可求解; (2)先得出 过点 ,根据题意画出图象,观察函数图象可得当 过点 时,与抛物线有3个交点,当 与抛物线 只有一个交点时,与图形 有3个交点,进而得出 的范围; (3)根据题意得出 的最大值为 ,则 ,解方程得出 或 ,进而分类讨论,根据 胡不归问题作出辅助线,进而即可求解. 【详解】(1)解:令 , 解得: , ∴ , ∴ , ∵ , ∴ , ∵ , ∴ , ∵ , ∴ , 解得: , 36关注公众号:陆陆高分冲刺 ~领取:最新版“小中高考-总复习”、最新试卷下载 ∴抛物线解析式为 ; (2)解:∵ ,当 时, , ∴ 过点 如图所示, 当 过点 时,与抛物线有3个交点, 将 代入 , 即 解得: , 依题意,当 时的抛物线解析式为 , 当 与抛物线 只有一个交点时, ∴ 消去 得, ∴ 37关注公众号:陆陆高分冲刺 ~领取:最新版“小中高考-总复习”、最新试卷下载 解得: 或 (舍去) 结合函数图象可得:当函数 的图象与图形 的公共点的个数大于 时, ; (3)∵ ∴ 的最大值为 ∴ ∵ ∴抛物线的对称轴为直线 ∴当 时, ,则 当 时, , 解得: , ∴ 或 , 当 时,如图所示,则 , 令 ,代入 ,则 ∴ ,则 , ∴ , 如图所示,作 关于 的对称点 ,则 ,过点 作 于点 , 38关注公众号:陆陆高分冲刺 ~领取:最新版“小中高考-总复习”、最新试卷下载 . ∴ ∴ , 依题意,点 在 上运动的速度为 单位长度每秒,在 上运动的速度为 单位长度每秒. ∵ , 当 在 上时,取得最小值,即点 运动的时间最短时, 此时如图所示, ∵ , ∴ , ∴ , 39关注公众号:陆陆高分冲刺 ~领取:最新版“小中高考-总复习”、最新试卷下载 ∴ , ∴ , ∴ , 当 时,如图所示, 同理可得 , ∴ , 综上所述, 或 . 【点睛】本题考查了二次函数综合,二次函数的性质,二次函数的几何变换,一次函数与二次函数交点问 题,解直角三角形,胡不归问题,熟练掌握以上知识是解题的关键. 【变式3-4】(24-25九年级上·海南三亚·期末)如图1,已知抛物线与x轴交于 两点,与y 轴交于点 . 40关注公众号:陆陆高分冲刺 ~领取:最新版“小中高考-总复习”、最新试卷下载 (1)求该抛物线所对应的函数关系式; (2)已知点 是抛物线的顶点,点 是线段 上的一个动点(与点 、 不重合),过点E作 轴于 点 ,交抛物线于点 . ①求四边形 的面积; ②求 的边CE上的高的最大值; ③如图2,在②的条件下,在x轴上是否存在点G,使得 的值最小?若存在,请求出这个最小值; 若不存在,请说明理由. 【答案】(1) (2)①12;② .③ 【分析】(1)根据抛物线与x轴交于 , 两点,设函数解析式为 ,再将点 代入求解即可. (2)①先求出抛物线的顶点 坐标为 ,再根据四边形 的面积 计算即可; ②求出直线 的解析式为: ,求出 ,设 的边 上的高为 ,设点E为 ,则 ,在 中, ,即可求出答 案; 41关注公众号:陆陆高分冲刺 ~领取:最新版“小中高考-总复习”、最新试卷下载 ③以点A为顶点作 ,过点G作 于点M,得到 三点共线时, 有 最小值,即为 的长,此时点G在点 的位置,利用解直角三角形求出答案即可. 【详解】(1)∵抛物线与x轴交于 , 两点, ∴设该抛物线的解析式为: . ∵过点 , ∴ , 解得 , ∴该抛物线的解析式为: . (2)∵ , ∴抛物线的顶点 坐标为 ∴四边形 的面积 ; 即四边形 的面积 ②设直线 的解析式为: , 把点 , 代入,得 ,解得 , ∴直线 的解析式为: . ∵ , , 42关注公众号:陆陆高分冲刺 ~领取:最新版“小中高考-总复习”、最新试卷下载 ∴ , ∵ , ∴ , ∴ , 设 的边 上的高为 ,如图, 设点E为 ,则 , 则 , 在 中, , ∵ , ∴当 时, 有最大值,最大值为 ; ③以点A为顶点作 ,过点G作 于点M, ∴ , 43关注公众号:陆陆高分冲刺 ~领取:最新版“小中高考-总复习”、最新试卷下载 ∴ ,即 三点共线时, 有最小值,即为 的长,此时点G 在点 的位置, 如图: 由可知,当 时, , ∴ 有最大值时,点E的坐标为 , 则 , 在 中, , ∴ , , ∴ , ∴ , ∴ , 即 的最小值为 【点睛】本题考查了待定系数法求解析式,等腰直角三角形的判定和性质,二次函数求最值,解直角三角 形,矩形的判定和性质等知识,解题关键是在求等腰直角三角形的存在性时,注意分类讨论的思想的运用, 要把所有符合条件的点求全. 44关注公众号:陆陆高分冲刺 ~领取:最新版“小中高考-总复习”、最新试卷下载 【变式3-5】(2023·福建泉州·模拟预测)如图,已知抛物线 ( 为常数,且 )与 轴从左至右依次交于 , 两点,与 轴交于点 ,经过点 的直线 与抛物线的另一交点为 . (1)若点 的横坐标为 ,求抛物线的函数表达式; (2)在(1)条件下,设 为线段 上一点(不含端点),连接 ,一动点 从点 出发,沿线段 以 每秒1个单位的速度运动到 ,再沿线段 以每秒2个单位的速度运动到 后停止.当点 的坐标是多 少时,点 在整个运动过程中用时最少? 【答案】(1) (2) 【分析】(1)由点 的坐标求出直线 的解析式,再由点 的横坐标代入直线 的解析式求出点 的 坐标,然后将点 的坐标代入抛物线解析式求 ,从而得到抛物线的函数表达式; (2)过点 作 轴于点 ,过点 和点 分别作 轴的平行线和 轴的平行线,交于点 ,过点 作 于点 ,由点 和点 的坐标求线段 、 和 的长度,得到 ,结合速度可 知时间为 ,然后利用“ 角所对的直角边是斜边的一半”得 ,从而得到 ,进而求得此时点 坐标. 【详解】(1)解:对于 ,当 时, 或 , 45关注公众号:陆陆高分冲刺 ~领取:最新版“小中高考-总复习”、最新试卷下载 ∴ , , 将点 代入 ,得: ∴ , 则直线 的解析式为: , 当 时, , ∴ , 将点 代入 ,得: , ∴ , ∴抛物线的表达式为: ; (2)由题意得:点 的运动时间为 , 过点 作 轴于点 , ∵ , , ∴ , , , ∴ , 过点 和点 分别作 轴的平行线和 轴的平行线,交于点 , ∴ , 46关注公众号:陆陆高分冲刺 ~领取:最新版“小中高考-总复习”、最新试卷下载 ∴ , ∴ , 过点 作 于点 ,此时 , ∴ 与直线 的交点即为所求点 , ∵ , ∴当 时, , ∴点 的坐标为 时,点 在整个运动过程中用时最少. 【点睛】本题考查了二次函数和一次函数图象上点的坐标特征、待定系数法求抛物线解析式、特殊角的直 角三角形三边关系,第2问的突破点是利用转化的思想结合“ 角所对的直角边是斜边的一半”将 进行转化,然后利用垂线段最短求得用时最小时的点 坐标. 【变式3-6】(2023·广西柳州·二模)已知抛物线 过点 , 两点,与 轴 交于点 , , (1)求抛物线的解析式及顶点 的坐标; (2)点 为抛物线上位于直线 下方的一动点,当 面积最大时,求点 的坐标; 47关注公众号:陆陆高分冲刺 ~领取:最新版“小中高考-总复习”、最新试卷下载 (3)若点 为线段 上的一动点,问: 是否存在最小值?若存在,求出这个最小值;若不存 在,请说明理由. 【答案】(1)解析式为 ,顶点 的坐标为 (2)点 的坐标为 (3)存在,最小值为 【分析】(1)根据题意设抛物线的交点式,然后代入点 的坐标,求解即可; (2)作 轴,交 于点 ,通过设 和 的坐标,利用“割补法”表示出 ,从而利用二次 函数的性质求解最值即可; (3)将直线 绕着 点逆时针旋转 ,并过点 作其垂线,垂足为 ,分别连接 , , ,构 造出含 角的直角三角形,然后转换为求 得最小值,继而确定当 、 、 三点共线时,满足 取得最小值,此时利用含 角的直角三角形的性质分段求解再相加即可得出结论. 【详解】(1)解:由题意,设抛物线解析式为 ,其中 , ∵ , ∴点 的坐标为 , 将 代入 ,解得: , ∴ , ∴抛物线的解析式为 , ∵对称轴为直线 , ∴将 代入 ,得: , 48关注公众号:陆陆高分冲刺 ~领取:最新版“小中高考-总复习”、最新试卷下载 ∴顶点 的坐标为 ; (2)解:∵ , , ∴直线 的解析式为: , ∵点 在抛物线上,且位于直线 下方, ∴设 ,其中, , 如图所示,作 轴,交 于点 , ∴ , ∴ , ∵ , , , ∴ , ∴ , 整理可得: ,其中 , ∵ , ∴当 时, 取得最大值, 将 代入 ,得: , ∴此时点 的坐标为 ; 49关注公众号:陆陆高分冲刺 ~领取:最新版“小中高考-总复习”、最新试卷下载 (3)解:存在最小值,理由如下: 如下图所示,将直线 绕着 点逆时针旋转 ,并过点 作其垂线,垂足为 , 分别连接 , , ,则 , , ∴在 中, , ∴随着 点的运动,总有 , ∴ , 要使得 取得最小值,即要使得 取得最小值, 如下图,当 、 、 三点共线时,满足 取得最小值, 50关注公众号:陆陆高分冲刺 ~领取:最新版“小中高考-总复习”、最新试卷下载 此时, , , ∵ , ∴ , , ∴ , ∴ , ∴ , ∴ 存在最小值,最小值为 . 【点睛】本题考查求二次函数解析式,二次函数综合面积问题,以及利用“胡不归”模型构造三角形求线 段和最值问题,掌握二次函数的基本性质,熟练运用函数思想解决图形面积问题是解题关键. 【变式3-7】(2022·四川成都·模拟预测)抛物线 分别交x轴于点 , ,交y 轴于点C,抛物线的对称轴与x轴相交于点D,点M为线段OC上的动点,点N为线段AC上的动点,且 . 51关注公众号:陆陆高分冲刺 ~领取:最新版“小中高考-总复习”、最新试卷下载 (1)求抛物线的表达式; (2)线段MN,NC在数量上有何关系,请写出你的理由; (3)在M,N移动的过程中,DM+ MC是否有最小值,如果有,请写出理由. 【答案】(1) (2) ,见解析 (3)有,最小值为 【分析】(1)利用待定系数法即可求解; (2)在 中, , ,根据 ,有 ,即可得 ,问题得解; (3)先求出 ,即 ,即有 ,则 的最小值是 的最 小值,即点D到AC的垂线段DN的长,问题随之得解. 【详解】(1)把点 , 代入抛物线 中得: ,解得: , ∴抛物线的解析式为: ; (2) , 理由是:如图1, 52关注公众号:陆陆高分冲刺 ~领取:最新版“小中高考-总复习”、最新试卷下载 令 ,则 ,即 , ∵ , , ∴, , , 在 中, , , ∵ , ∴ , ∴ , ∴ , ∴ ; (3)在M,N移动的过程中, 有最小值是 ,理由如下: 由(2)知: , ∴ ,即 , ∴ , ∴ 的最小值是 的最小值,即D、M、N三点共线时,点D到AC的垂线段DN的长, 如图2, 53关注公众号:陆陆高分冲刺 ~领取:最新版“小中高考-总复习”、最新试卷下载 抛物线解析式为: ; ∴对称轴是: ,即 , ∴ , 在 中, , ∴ , 即 , ∴在M,N移动的过程中, 有最小值是 . 【点睛】本题主要考查了利用待定系数法求解抛物线解析式,二次函数的性质,解直角三角形以及垂线段 最短等知识.题目难度不大,细心作答即可.掌握二次函数的性质是解答本题的关键. 题型四:阿氏圆模型 动点到两定点距离之比为定值(即:平面上两点A、B,动点P满足 PA/PB=k(k为常数,且 k≠1)),那么动点的轨迹就是圆,因这个结论最早由古希腊数学家阿波罗尼斯发现的,故称这个圆称为 阿波罗尼斯圆,简称为阿氏圆。 54关注公众号:陆陆高分冲刺 ~领取:最新版“小中高考-总复习”、最新试卷下载 P A B O 如图 1 所示,⊙O的半径为 r,点 A、B都在⊙O 外,P为⊙O上一动点,已知r=k·OB(即 ), 连接PA、PB,则当“PA+k·PB”的值最小时,P点的位置如何确定?最小值是多少呢? 如图2,在线段OB上截取OC使OC=k·r(即 ),∵ ,∴ , ∵∠POC=∠BOP,∴△POC∽△BOP,∴ ,即k·PB=PC。 故本题求“PA+k·PB”的最小值可以转化为 “PA+PC”的最小值。 其中与A与C为定点,P为动点,故当A、P、C三点共线时,“PA+PC”值最小,如图3所示。 阿氏圆求最值的本质就是通过构造母子相似,化去比例系数,转化为两定一动将军饮马型求最值,难点在 于如何构造母子相似。 阿氏圆最值问题常见考法:点在圆外:向内取点(系数小于1);点在圆内:向外取点(系数大于1);一 内一外:提系数;隐圆型阿氏圆等。 注意区分胡不归模型和阿氏圆模型:在前面的“胡不归”问题中,我们见识了“k·PA+PB”最值问题,其中 P点轨迹是直线,而当P点轨迹变为圆时,即通常我们所说的“阿氏圆”问题. 【中考母题学方法】 【典例4-1】(2020·广西·中考真题)如图,在Rt 中,AB=AC=4,点E,F分别是AB,AC的中点, 点P是扇形AEF的 上任意一点,连接BP,CP,则 BP+CP的最小值是 . 55关注公众号:陆陆高分冲刺 ~领取:最新版“小中高考-总复习”、最新试卷下载 【答案】 . 【分析】在AB上取一点T,使得AT=1,连接PT,PA,CT.证明 ,推出 = = , 推出PT= PB,推出 PB+CP=CP+PT,根据PC+PT≥TC,求出CT即可解决问题. 【详解】解:在AB上取一点T,使得AT=1,连接PT,PA,CT. ∵PA=2.AT=1,AB=4, ∴PA2= AT•AB, ∴ = , ∵∠PAT=∠PAB, ∴ , ∴ = = , ∴PT= PB, ∴ PB+CP=CP+PT, ∵PC+PT≥TC, 在Rt 中, ∵∠CAT=90°,AT=1,AC=4, ∴CT= = , 56关注公众号:陆陆高分冲刺 ~领取:最新版“小中高考-总复习”、最新试卷下载 ∴ PB+PC≥ , ∴ PB+PC的最小值为 . 故答案为 . 【点睛】本题考查等腰直角三角形的性质,三角形相似的判定与性质,勾股定理的应用,三角形的三边关 系,圆的基本性质,掌握以上知识是解题的关键. 【典例4-2】(2023·浙江衢州·模拟预测)如图所示,在平面直角坐标系中, , ,点 是第 一象限的动点且 ,线段 绕点 在第一象限转动; (1)在转动过程中,求点 到 的最近距离 ; (2)试求 的最小值 . 【答案】 【分析】 根据已知条件判断,点 在以点 为圆心, 为半径的圆弧上,当射线 于点 时,点 到 的距离最近,最近距离为 的长,用面积法求 的长, ,即可求解; 在 上取 ,连接 , ,由 , ,得 ,又因为 ,可推出 ∽ ,根据相似三角形的性质,得 ,所以 , ,在 中,根据三角形三边关系, ,当点 、 、 三点共线时, ,此时 值最小,在 中,根据勾股定理,得 57关注公众号:陆陆高分冲刺 ~领取:最新版“小中高考-总复习”、最新试卷下载 ,所以 的最小值为 . 【详解】解: 如图 ,以点 为圆心, 为半径作弧,作 于点 , 点 是第一象限的动点且 , 点 在以点 为圆心, 为半径的圆弧上, 在 中, , , , ,即 , 解得 , . 故答案为: . 如图 ,在 上取 ,连接 , , , , , 58关注公众号:陆陆高分冲刺 ~领取:最新版“小中高考-总复习”、最新试卷下载 又 , ∽ , , , , 在 中, , 当点 、 、 三点共线时, ,此时 值最小, 在 中, , 的最小值为 . 故答案为: . 【点睛】本题考查了胡不归模型,垂线段最短,三角形相似的判定和性质,勾股定理,将 转化为 的长是解题的关键. 【典例4-3】(2023·重庆万州·模拟预测)如图,在等腰直角三角形 中, ,过点 作 交过点 的直线于点 , ,直线 交 于 . (1)如图 ,若 ,求 的长; (2)如图 ,过点 作 交 于点 ,交 的延长线于 ,取线段 的中点 ,连接 ,求证: . (3)在(2)的条件下,过点 作 交 于点 ,若点 是线段 上任一点,连接 ,将 59关注公众号:陆陆高分冲刺 ~领取:最新版“小中高考-总复习”、最新试卷下载 沿 折叠,折叠后的三角形记为 ,当 取得最小时,直接写出 的值. 【答案】(1) (2)见解析 (3) 【分析】(1)过点 作 于点 ,过点 作 ,交 的延长线于点 ,根据两直线平行, 内错角相等可得 , ,结合等腰直角三角形的性质可得 ,根据四个角都是直角的四边形是矩形,矩形的对边相等的可得 ,根据直角 三角形中, 角所对的边是斜边的一半即可求解; (2)根据特殊角的三角形函数值可求得 , ,求得 ,根 据等角的余角相等可得 ,结合锐角三角函数的定义可求得 ,根据直角三角形斜 边上的中线是斜边的一半可得 ,推得 ,根据两个角和它们所夹的边分别对应相等的两个 三角形全等,全等三角形的对应边相等可得 ,即可证明; (3)根据折叠的性质可得 ,即点 在以 为圆心, 为半径的圆上运动,以 为圆心, 为 半径作 ,连接 ,过点 作 于 ,连接 , ,根据特殊角的三角函数值可得 , ,根据垂直于同一直线的两直线平行可得 ,根据两直线平行,同 旁内角互补、等腰直角三角形的性质和有三个角是直角的四边形是矩形可得四边形 是矩形,根据矩 形的对边相等可得 ,根据直角三角形,斜边上的中线是斜边的一半可得 ,推得 ,根据两边成比例且夹角相等的两个三角形相似,相似三角形的对应边之比相等可得 ,推得当 、 、 在同一条直线上时, 取得最小值 ,求出 的值,根 据锐角三角形函数的定义即可求解. 60关注公众号:陆陆高分冲刺 ~领取:最新版“小中高考-总复习”、最新试卷下载 【详解】(1)解:过点 作 于点 ,过点 作 ,交 的延长线于点 ,如图: 则 , ∵ , ∴ , , ∵ 是等腰直角三角形, , , , ∴ , ∵ , ∴四边形 是矩形, ∴ , ∴ . (2)证明:如图: ∵ , ∴ , ∵ , ∴ , , ∵ , , ∴ , ∴ , , ∴ , ∴ , ∴ , 61关注公众号:陆陆高分冲刺 ~领取:最新版“小中高考-总复习”、最新试卷下载 ∴ , ∴ , ∵点 是 的中点, , ∴ , ∴ , 在 和 中, , ∴ , ∴ , ∵ , ∴ . (3)解:∵将 沿 折叠,折叠后的三角形记为 , ∴ ,即点 在以 为圆心, 为半径的圆上运动, 如图,以 为圆心, 为半径作 ,连接 ,过点 作 于 ,连接 , , ∵ , , 62关注公众号:陆陆高分冲刺 ~领取:最新版“小中高考-总复习”、最新试卷下载 ∴ , , ∵ , , ∴ , ∵ , , ∴四边形 是矩形, ∴ , ∵点 是 斜边 的中点, ∴ , ∴ , , ∴ , ∵ , ∴ , 又∵ , ∴ , ∴ , ∴ , ∴ ,当且仅当 、 、 在同一条直线上时, 取得最小值 , ∵ , , , ∴ , 在 中, , 63关注公众号:陆陆高分冲刺 ~领取:最新版“小中高考-总复习”、最新试卷下载 ∴ . 【点睛】本题考查了解直角三角形的应用,等腰直角三角形性质,矩形的判定和性质,折叠的性质,全等 三角形的判定和性质,相似三角形的判定和性质,直角三角形的性质等,添加辅助线构造全等三角形和相 似三角形是解题的关键. 【中考模拟即学即练】 【变式4-1】(22-23九年级下·江苏徐州·阶段练习)在 中, , , ,以点 为圆心,2为半径作圆 ,分别交 , 于 、 两点,点 是圆 上一个动点,则 的最小 值是 . 【答案】 / 【分析】在 上取一点 ,使得 ,连接 ,构造 ,进而得出 ,根 据两点之间线段最短得出 的最小值为 的长,勾股定理即可求解. 【详解】解:如图所示,在 上取一点 ,使得 ,连接 64关注公众号:陆陆高分冲刺 ~领取:最新版“小中高考-总复习”、最新试卷下载 ∵ , ∴ ,又 ∴ , ∴ , ∴ , ∴ ∵ , ∴ , 故答案为: . 【点睛】本题考查了相似三角形的性质与判定,阿氏圆问题,构造相似三角形是解题的关键. 【变式4-2】(2023·江苏宿迁·三模)如图,在平面直角坐标系中, 、 、 、 , 点P在第一象限,且 ,则 的最小值为 . 65关注公众号:陆陆高分冲刺 ~领取:最新版“小中高考-总复习”、最新试卷下载 【答案】 【分析】取一点 ,以O为圆心, 为半径作圆,与 交于点F,连接 ,首先利 用四点共圆证明 ,再利用相似三角形的性质证明 ,推出 ,根据 ,利用两点之间的距离公式,即可求出 的 最小值,即可得. 【详解】解:如图所示,取一点 ,以O为圆心, 为半径作圆,与 交于点F,连接 , ∵ 、 , , ∴ , , 以O为圆心, 为半径作 ,在优弧 上取一点Q,连接 , ∵ , , ∴ , ∴A,P,B,Q四点共圆, ∴ , 66关注公众号:陆陆高分冲刺 ~领取:最新版“小中高考-总复习”、最新试卷下载 ∵ , , , ∴ , ∴ , ∵ , ∴ , ∴ , ∴ , ∴ , 过点F作 于点G, ∵ , , ∴ ∴点F的坐标为 , ∵ , ∴ ∵ ,即 , ∴ 的最小值是 , 故答案为: . 【点睛】本题考查了四点共圆,相似三角形,勾股定理,三角形三边关系,解题的关键是掌握这些知识点. 【变式4-3】(2020·江苏南京·二模)如图,在△ABC中,∠ACB=90°,BC=12,AC=9,以点C为圆心,6 为半径的圆上有一个动点D.连接AD、BD、CD,则2AD+3BD的最小值是 . 67关注公众号:陆陆高分冲刺 ~领取:最新版“小中高考-总复习”、最新试卷下载 【答案】 【分析】如下图,在CA上取一点E,使得CE=4,先证△DCE∽△ACD,将 转化为DE,从而求得 的最小距离,进而得出2AD+3BD的最小值. 【详解】如下图,在CA上取一点E,使得CE=4 ∵AC=9,CD=6,CE=4 ∴ ∵∠ECD=∠ACD ∴△DCE∽△ACD ∴ ∴ED= 在△EDB中,ED+DB≥EB ∴ED+DB最小为EB,即ED+DB=EB ∴ 在Rt△ECB中,EB= ∴ 68关注公众号:陆陆高分冲刺 ~领取:最新版“小中高考-总复习”、最新试卷下载 ∴2AD+3DB= 故答案为: . 【点睛】本题考查求最值问题,解题关键是构造出△DCE∽△ACD. 【变式4-4】(2022·广东广州·一模)已知,AB是⊙O的直径,AB= ,AC=BC. (1)求弦BC的长; (2)若点D是AB下方⊙O上的动点(不与点A,B重合),以CD为边,作正方形CDEF,如图1所示,若 M是DF的中点,N是BC的中点,求证:线段MN的长为定值; (3)如图2,点P是动点,且AP=2,连接CP,PB,一动点Q从点C出发,以每秒2个单位的速度沿线段 CP匀速运动到点P,再以每秒1个单位的速度沿线段PB匀速运动到点B,到达点B后停止运动,求点Q 的运动时间t的最小值. 【答案】(1)4 (2)见解析 (3)5 【分析】(1)AB是⊙O的直径,AC=BC可得到△ABC是等腰直角三角形,从而得道答案; (2)连接AD、CM、DB、FB,首先利用△ACD≌△BCF,∠CBF=∠CAD,证明D、B、F共线,再证明 △CMB是直角三角形,根据直角三角形斜边上的中线等于斜边的一半,即可得证; (3)“阿氏圆”的应用问题,以A为圆心,AP为半径作圆,在AC上取点M,使AM=1,连接PM,过M 作MH⊥AB于H,连接BM交⊙A于P',先证明PM= , +BP最小,即是PM+BP最小,此时P、B、 M共线,再计算BM的长度即可. 【详解】(1)∵AB是⊙O的直径, ∴∠ABC=90°, ∵AC=BC, 69关注公众号:陆陆高分冲刺 ~领取:最新版“小中高考-总复习”、最新试卷下载 ∴△ABC是等腰直角三角形,∠CAB=45°,BC=AC ∵AB=4 , ∴ ∴ ∴BC= 4; (2)连接AD、CM、DB、FB,如图: ∵△ABC是等腰直角三角形,四边形CDEF是正方形, ∴CD=CF,∠DCF=∠ACB=90°, ∴∠ACD=90-∠DCB=∠BCF, 又AC=BC, ∴△ACD≌△BCF(SAS), ∴∠CBF=∠CAD, ∴∠CBF+∠ABC+∠ABD=∠CAD+∠ABC+∠ABD =∠DAB+∠CAB++∠ABC+∠ABD =∠DAB+45°+45°+∠ABD, 而AB是⊙O的直径, ∴∠ADB=90°, ∴∠DAB+∠ABD=90°, ∴∠CBF+∠ABC+∠ABD=180°, ∴D、B、F共线, ∵四边形CDEF是正方形, ∴△DCF是等腰直角三角形, ∵M是DF的中点, ∴CM⊥DF,即△CMB是直角三角形, 70关注公众号:陆陆高分冲刺 ~领取:最新版“小中高考-总复习”、最新试卷下载 ∵N是BC的中点, ∴MN= BC=2,即MN为定值; (3)以A为圆心,AP为半径作圆,在AC上取点M,使AM=1,连接PM,过M作MH⊥AB于H,连接 BM交⊙A于P',如图: 一动点Q从点C出发,以每秒2个单位的速度沿线段CP匀速运动到点P,再以每秒1个单位的速度沿线 段PB匀速运动到点B, ∴Q运动时间t= +BP, ∵AM=1,AP=2,AC=BC=4, ∴ , 又∠MAP=∠PAC, ∴△MAP∽△PAC, ∴ , ∴PM= , ∴ +BP最小,即是PM+BP最小, 此时P、B、M共线,即P与P'重合,t= +BP最小值即是BM的长度, 在Rt△AMH中,∠MAH=45°,AM=1, ∴AH=MH= , 71关注公众号:陆陆高分冲刺 ~领取:最新版“小中高考-总复习”、最新试卷下载 ∵AB=4 , ∴BH=AB-AH= , Rt△BMH中,BM= =5, ∴点Q的运动时间t的最小值为5. 【点睛】本题考查圆、等腰直角三角形、正方形等综合知识,解题的关键是构造△MAP∽△PAC,把求 +BP最小的问题转化为求BM的长度. 【变式4-5】(2022·广东惠州·一模)如图1,抛物线 与 轴交于 两点,与 轴交于点 ,其中点 的坐标为 ,抛物线的对称轴是直线 . (1)求抛物线的解析式; (2)若点 是直线 下方的抛物线上一个动点,是否存在点 使四边形 的面积为16,若存在,求出 点 的坐标若不存在,请说明理由; (3)如图2,过点 作 交抛物线的对称轴于点 ,以点 为圆心,2为半径作 ,点 为 上的 72关注公众号:陆陆高分冲刺 ~领取:最新版“小中高考-总复习”、最新试卷下载 一个动点,求 的最小值. 【答案】(1) (2) 或 (3) 【分析】(1)根据点 的坐标为 ,抛物线的对称轴是直线 .待定系数法求二次函数解析式即 可, (2)先求得直线 解析式,设 ,则 ,过点 作 轴交直线 于点 ,根 据 等于16建立方程,解一元二次方程即可求得 的值,然后求得 的坐标, (3)在 上取 ,过点 作 ,构造 ,则当 三点共线时,取得最小 值,最小值为 ,勾股定理解直角三形即可. 【详解】(1)解:∵抛物线 与 轴交于 两点,与 轴交于点 ,点 的坐标为 , 抛物线的对称轴是直线 , ∴ , , 解得 , 抛物线解析式为: , (2)当 ,即 , 73关注公众号:陆陆高分冲刺 ~领取:最新版“小中高考-总复习”、最新试卷下载 解得 , , , 设直线 解析式为 , , 解得 , 直线 解析式为 , 设 ,过点 作 轴交直线 于点 , 则 , 74关注公众号:陆陆高分冲刺 ~领取:最新版“小中高考-总复习”、最新试卷下载 , 四边形 的面积为16, , 解得 , 或 , (3)如图,过点 作 交抛物线的对称轴于点 ,以点 为圆心,2为半径作 , 是抛物线的对称轴, , , , , , , 75关注公众号:陆陆高分冲刺 ~领取:最新版“小中高考-总复习”、最新试卷下载 在 上取 ,过点 作 ,交 轴于点 ,交抛物线对称轴于点 ,则 , , , , , , , , , 当 三点共线时,取得最小值,最小值为 , . 则 的最小值为 . 【点睛】本题考查了二次函数综合,相似三角形的性质与判定,掌握二次函数的性质与相似三角形的性质 与判定是解题的关键. 【变式4-6】(2021·重庆九龙坡·二模)在 中, , .若点 为 上一点,连接 ,将 绕点 顺时针旋转90°得到 ,连接 ,交 于点 . (1)如图1,若 , ,求 的长; 76关注公众号:陆陆高分冲刺 ~领取:最新版“小中高考-总复习”、最新试卷下载 (2)如图2,点 为 的中点,连接 交 于点 .若 ,猜想线段 与线段 的数量关 系,并写出证明过程; (3)如图3,若 , 为 的中点,将 绕点 旋转得 ,连接 , ,当 最小时,求 . 【答案】(1) ; (2) ,证明见解析; (3) . 【分析】(1)过 作 ,垂足是 ,构造直角三角形,借助解直角三角形求得线段的长度; (2)延长CA,过 作 垂直于CA的延长线,垂足是 ,连接 , ,过 作 于 ,构 造全等三角形,设 ,利用中位线定理,解直角三角形,用 的代数式表示CD和 ,即可得CD与 的数量关系; (3)取 的中点 ,连接 ,连接 ,构造相似三角形,利用两点之间线段最短,确定 的位置, 继而求得相关三角形的面积. 【详解】(1)解:过 作 ,垂足是 ,如图1: 将BD绕点 顺时针旋转90°得到 , , , , , , 在 中有 , , , 在 中, , 77关注公众号:陆陆高分冲刺 ~领取:最新版“小中高考-总复习”、最新试卷下载 , ; (2)线段 与线段 的数量关系为: CD, 证明:延长CA,过 作 垂直于CA的延长线,垂足是 ,连接 , ,过 作 于 ,如 图2: , 由旋转可知 , , , , , , , 四点共圆, , , , , , 在 和 中, , , , , 在等腰 中,由三线合一可知 是 的中线, , , 是 的中点, 是 的中点, 78关注公众号:陆陆高分冲刺 ~领取:最新版“小中高考-总复习”、最新试卷下载 是 的中点, 是 的中位线, , , , , , , , , 设 ,则 , 在 中, , , , , 是等腰直角三角形, , 在 中, , , , , 在 中, , , , 又 , , 79关注公众号:陆陆高分冲刺 ~领取:最新版“小中高考-总复习”、最新试卷下载 CD; (3)设 ,则 ,取 的中点 ,连接 ,连接 ,如图3, 由旋转可知 , , , , 又 , , , , 根据旋转和两点之间线段最短可知, 最小,即是 最小,此时 、 、 共线, 即 在线段 上, 设此时 落在 处,过 作 于 ,连接 ,如图 , , 分别是 , 的中点, 是 的中位线, , 80关注公众号:陆陆高分冲刺 ~领取:最新版“小中高考-总复习”、最新试卷下载 , , , 四边形 是矩形, , , 又 , 设 , 在直角三角形 中, , ,解得 , 此时 . 【点睛】此题主要考查全等三角形判定,等腰三角形的三线合一,解直角三角形,四点共圆,几何最值, 综合性强,难度较大,属于压轴题,解得关键是作辅助线,构造全等三角形和相似三角形解决问题. 题型五:瓜豆原理模型 瓜豆原理:若两动点到某定点的距离比是定值,夹角是定角,则两动点的运动路径相同。 主动点叫瓜,从动点叫豆,瓜在直线上运动,豆也在直线_上运动;瓜在圆周上运动,豆的轨迹也是圆。 古人云:种瓜得瓜,种豆得豆.“种”圆得圆,“种”线得线,谓之“瓜豆原理”。 条件:1)如图,P是直线BC上一动点,连接AP,取AP中点Q,当点P在BC上运动时,Q点轨迹是? A A Q Q B P C B P N M C 结论:当P点轨迹是直线时,Q点轨迹也是一条直线. 证明:分别过A、Q向BC作垂线,垂足分别为M、N,在运动过程中, 因为AP=2AQ,所以QN始终为AM的一半,即Q点到BC的距离是定值,故Q点轨迹是一条直 81关注公众号:陆陆高分冲刺 ~领取:最新版“小中高考-总复习”、最新试卷下载 线. 条件:2)如图,在△APQ中AP=AQ,∠PAQ为定值,当点P在直线BC上运动时,求Q点轨 迹? 结论:当AP与AQ夹角固定且AP:AQ为定值的话,P、Q轨迹是同一种图形。 证明:当确定轨迹是线段的时候,可以任取两个时刻的Q点的位置,连线即可, 比如Q点的起始位置和终点位置,连接即得Q点轨迹线段。 解题策略:1)当动点轨迹确定时可直接运用垂线段最短求最值; 2)当动点轨迹不易确定是直线时,可通过以下四种方法进行确定: ** 错误的表达式 **观察动点运动到特殊位置时,如中点,端点等位置时是否存在动点与定直线的端点连 接后的角度不变,若存在该动点的轨迹为直线;** 错误的表达式 **当某动点到某条直线的距离不变时, 该动点的轨迹为直线;** 错误的表达式 **当一个点的坐标以某个字母的代数式表示时,若可化为一次函 数,则点的轨迹为直线;④若动点轨迹用上述方法都不合适,则可以将所求线段转化为其他已知轨迹的线 段求值。 【中考母题学方法】 【典例5-1】(2021·山东泰安·中考真题)如图,在矩形 中, , ,点P在线段 上 运动(含B、C两点),连接 ,以点A为中心,将线段 逆时针旋转60°到 ,连接 ,则线段 的最小值为( ) A. B. C. D.3 82关注公众号:陆陆高分冲刺 ~领取:最新版“小中高考-总复习”、最新试卷下载 【答案】A 【分析】根据题中条件确定出点 的轨迹是线段,则线段 的最小值就转化为定点 到点 的轨迹线段 的距离问题. 【详解】解: 与 固定夹角是 , ,点 的轨迹是线段, 的轨迹也是一条线段. 两点确定一条直线,取点 分别与 重合时,所对应两个点Q, 来确定点 的轨迹,得到如下标注信息后的图形: 求 的最小值,转化为点 到点 的轨迹线段的距离问题, , 在 中, , , , 将 逆时针绕点 转动 后得到 , 为等边三角形, , 为 的中点,根据三线合一知, , 83关注公众号:陆陆高分冲刺 ~领取:最新版“小中高考-总复习”、最新试卷下载 过点 作 的垂线交于点 , 在 中, 对应的边等于斜边的一半, , 的最小值为 , 故选:A. 【点睛】本题考查了动点问题中,两点间距离的最小值问题,解题的关键是:需要确定动点的轨迹,才能 方便找到解决问题的突破口. 【典例5-2】(2020·江苏宿迁·中考真题)如图,在平面直角坐标系中,Q是直线y=﹣ x+2上的一个动点, 将Q绕点P(1,0)顺时针旋转90°,得到点 ,连接 ,则 的最小值为( ) A. B. C. D. 【答案】B 【分析】利用等腰直角三角形构造全等三角形,求出旋转后Q′的坐标,然后根据勾股定理并利用二次函数 的性质即可解决问题. 【详解】解:作QM⊥x轴于点M,Q′N⊥x轴于N, 84关注公众号:陆陆高分冲刺 ~领取:最新版“小中高考-总复习”、最新试卷下载 设Q( , ),则PM= ,QM= , ∵∠PMQ=∠PNQ′=∠QPQ′=90°, ∴∠QPM+∠NPQ′=∠PQ′N+∠NPQ′, ∴∠QPM=∠PQ′N, 在△PQM和△Q′PN中, , ∴△PQM≌△Q′PN(AAS), ∴PN=QM= ,Q′N=PM= , ∴ON=1+PN= , ∴Q′( , ), ∴OQ′2=( )2+( )2= m2﹣5m+10= (m﹣2)2+5, 当m=2时,OQ′2有最小值为5, ∴OQ′的最小值为 , 故选:B. 【点睛】本题考查了一次函数图象上点的坐标特征,一次函数的性质,三角形全等的判定和性质,坐标与 图形的变换-旋转,二次函数的性质,勾股定理,表示出点的坐标是解题的关键. 【典例5-3】(2023·北京海淀·三模)在平面直角坐标系 中,给定图形 和点 ,若图形 上存在两个 85关注公众号:陆陆高分冲刺 ~领取:最新版“小中高考-总复习”、最新试卷下载 点 , 满足 且 ,则称点 是图形 的关联点.已知点 , . (1)在点 , , 中,______是线段 的关联点; (2) 是以点 为圆心,r为半径的圆. ①当 时,若线段 上任一点均为 的关联点,求r的取值范围; ②记线段 与线段 组成折线 ,若存在 ,使折线G的关联点都是 的关联点,直接写出r的最 小值. 【答案】(1) , (2)① ,② 【分析】(1)根据关联点的定义,结合勾股定理进行判断即可; (2)①根据题意推得三角形 为含30度角的直角三角形,根据瓜豆原理可得求得点 到点 的最大距 离为 ,最小距离为 ,推得 的所有关联点在以 为圆心, 和 为半径的两 个圆构成的圆环中,结合图形求得半径 的取值范围; ②结合①中的结论,画出满足条件的关联点的范围,进行求解即可. 【详解】(1)解:∵ , ∴ 为直角三角形,故满足 , 根据勾股定理可得: , , ; , , ; , , ; 86关注公众号:陆陆高分冲刺 ~领取:最新版“小中高考-总复习”、最新试卷下载 ∵ ,且 ;故 是线段 的关联点; ∵ ,且 ;故 是线段 的关联点; ∵ ,且 ; ∵ , ∴ , ∴对于线段AB上的任意两点M、N,当 时, ,如图, 则 必是锐角,不可能是直角, 故 不是线段 的关联点; 故答案为: , . (2)①由(1)可得:∵ , ∴ 为直角三角形, 故 ,即 , 即三角形 为含30度角的直角三角形;如图: 87关注公众号:陆陆高分冲刺 ~领取:最新版“小中高考-总复习”、最新试卷下载 则点 是:以 为斜边且含30度角的直角三角形的直角顶点. 在圆 上取点 , ,则对于任意位置的 和 ,符合的关联点有2个,如图: 以点 为例,当点 在半径为 的 上运动时,点 为圆上一定点,且 , ,则 点 的运动轨迹为圆,故点 的轨迹也为圆,令点 的轨迹为圆 ,如图: 当 , , 三点共线, , , 三点共线时, ,故 , ,则点 到点 的最大距离为 ,最小距离为 ; 当点 也在 上运动时, 也随之运动,则 扫过的区域为 和 为半径围成的圆环,即 的所有关联点在以 为圆心, 和 为半径的两个圆构成的圆环中, 故当线段 与半径为 交于点 时, 最小,如图: 88关注公众号:陆陆高分冲刺 ~领取:最新版“小中高考-总复习”、最新试卷下载 则 ,解得: ; 当线段 与半径为 的圆相切时, 最大,过点 作 ,如图: 则 , 即 ,解得: , 则 ,解得: ; ∴ . ②当关联点在线段 上时,满足条件的关联点所在范围如图阴影部分: 89关注公众号:陆陆高分冲刺 ~领取:最新版“小中高考-总复习”、最新试卷下载 当关联点在线段 上时,满足条件的关联点所在范围如图阴影部分: 当关联点在不同线段上时,满足条件的关联点在点 和点 上的范围如图阴影部分: 综上:所有区域叠加一起为: 90关注公众号:陆陆高分冲刺 ~领取:最新版“小中高考-总复习”、最新试卷下载 由①可知,满足 的所有关联点所在范围为圆环,故若使得圆环能够完整“包住”关联点,圆环中外圆 的必须经过点 ;, ∵ , , , , ∴四边形 为矩形,∴ , 则 , 即 ,解得: (负值舍去); 综上, 的最小值为 . 【点睛】本题考查了新定义——关联点,勾股定理,圆的相关性质,借助三角形面积求高,解一元一次方 程,解一元二次方程等,是圆与几何图形的综合题,根据圆的相关性质推得满足条件关联点的范围是圆环, 根据临界点求最值是解题的关键. 【中考模拟即学即练】 【变式5-1】(2024·安徽六安·三模)如图,在等边 中,以A为直角顶点作等腰直角 , 分别交 、 于点E、F,N为线段 上一动点,M为线段 上一动点,且 ,以 下4个结论:① ;② ;③ ;④当 的值最小时, .正确的个数为( ) 91关注公众号:陆陆高分冲刺 ~领取:最新版“小中高考-总复习”、最新试卷下载 A.4个 B.3个 C.2个 D.1个 【答案】A 【分析】①根据 是等边三角形, 是等腰直角三角形,得出 ,进而求出 , ,即可判 断;②求出 ,即可判断;③在 上截取 ,连接 ,通过证明 , 为等边三角形,即可判断;④过点B作 ,使 ,连接 ,证明 ,则 ,作点Q关于 的对称点 ,连接 ,交 于点N,此时 最小,求出 ,则 ,即可判断. 【详解】解:①∵ 是等边三角形, 是等腰直角三角形, ∴ , ∴ , ∴ , ∴ , ∴ ,故①正确; ②∵ 是等腰直角三角形, ∴ , ∴ , ∵ , ∴ , ∴ ,故②正确; ③在 上截取 ,连接 , ∵ , ∴ , ∵ , ∴ , ∵ , ∴ , 92关注公众号:陆陆高分冲刺 ~领取:最新版“小中高考-总复习”、最新试卷下载 ∴ , ∴ , ∴ 为等边三角形,则 , ∵ , ∴ ,故③正确; ④过点B作 ,使 ,连接 , ∵ , ∴ , ∴ , ∴ , 作点Q关于 的对称点 ,连接 ,交 于点N, 此时 最小, ∵ , , ∴ , ∵ , ∴ , ∵ , ∴ , ∴ ,故④正确; 93关注公众号:陆陆高分冲刺 ~领取:最新版“小中高考-总复习”、最新试卷下载 综上:正确的有①②③④,共4个, 故选:A. 【点睛】本题考查了等边三角形的性质,等腰直角三角形的性质,全等三角形的判定和性质,线段最值问 题,解题的关键是熟练掌握相关性质定理,正确画出辅助线. 【变式5-2】(2024·山东德州·二模)如图,在矩形 中, 点P在线段 上运动 (含B、C两点),连接 ,以点A为中心,将线段 逆时针旋转60°到 ,连接 ,则线段 的 最小值为( ) A. B.5 C.3 D.1 【答案】A 【分析】本题考查矩形的性质,旋转变换,等边三角形的性质,全等三角形的判定和性质,解直角三角形 等知识,解题的关键是学会添加常用辅助线,构造全等三角形解决问题,本题的突破点是证明点Q的在射 线 上运动. 如图,以 为边向右作等边 ,作射线 交 于点E,过点D作 于H.利用全等三角形 的性质证明 ,推出 ,推出点Q在射线 上运动,求出 ,可得结论. 94关注公众号:陆陆高分冲刺 ~领取:最新版“小中高考-总复习”、最新试卷下载 【详解】解:如图,以 为边向右作等边 ,作射线 交 于点E,过点D作 于H. ∵四边形 是矩形, ∴ , ∵ 都是等边三角形, ∴ , ∴ , 在 和 中, , ∴ , ∴ , ∵ , ∴ , ∵ , ∴点Q在射线 上运动, ∵ , ∴ , ∵ , ∴ . 根据垂线段最短可知,当点Q与H重合时, 的值最小,最小值为 . 95关注公众号:陆陆高分冲刺 ~领取:最新版“小中高考-总复习”、最新试卷下载 故选A. 【变式5-3】(2022·山东泰安·三模)如图,在Rt ABC中, , ,BC=2,线段BC △ 绕点B旋转到BD,连AD,E为AD的中点,连接CE,则CE的最大值是 . 【答案】3 【分析】通过已知求得D在以B为圆心,BD长为半径的圆上运动,∵E为AD的中点, ∴E在以BA中点为圆心, 长为半径的圆上运动,再运用圆外一定点到圆上动点距离的最大值=定点与 圆心的距离+圆的半径,求得CE的最大值. 【详解】解:∵BC=2,线段BC绕点B旋转到BD, ∴BD=2, ∴ . 由题意可知,D在以B为圆心,BD长为半径的圆上运动, ∵E为AD的中点, ∴E在以BA中点为圆心, 长为半径的圆上运动, CE的最大值即C到BA中点的距离加上 长. ∵ , ,BC=2, 96关注公众号:陆陆高分冲刺 ~领取:最新版“小中高考-总复习”、最新试卷下载 ∴C到BA中点的距离即 , 又∵ , ∴CE的最大值即 . 故答案为3. 【点睛】本题考查了与圆相关的动点问题,正确识别E点运动轨迹是解题的关键. 【变式5-4】(2022·广东河源·二模)如图,已知 ,平面内点P到点O的距离为2,连接AP, 若 且 ,连接AB,BC,则线段BC的最小值为 . 【答案】 【分析】如图所示,延长PB到D使得PB=DB,先证明△APD是等边三角形,从而推出ABP=90°, ∠BAP=30°,以AO为斜边在AC下方作Rt△AMO,使得∠MAO=30°,连接CM,过点M作MH⊥AC于H, 解直角三角形得到 ,从而证明△AMB∽△AOP,得到 ,则 ,则点B 在以M为圆心,以 为半径的圆上,当M、B、C三点共线时,即点B在点 的位置时,BC有最小值, 据此求解即可. 【详解】解:如图所示,延长PB到D使得PB=DB, ∵ , ∴ , 又∵∠APB=60°, ∴△APD是等边三角形, ∵B为PD的中点, 97关注公众号:陆陆高分冲刺 ~领取:最新版“小中高考-总复习”、最新试卷下载 ∴AB⊥DP,即∠ABP=90°, ∴∠BAP=30°, 以AO为斜边在AC下方作Rt△AMO,使得∠MAO=30°,连接CM,过点M作MH⊥AC于H, ∴ , 同理可得 , ∵∠OAM=30°=∠PAB, ∴∠BAM=∠PAO, 又∵ , ∴△AMB∽△AOP, ∴ , ∵点P到点O的距离为2,即OP=2, ∴ , ∴点B在以M为圆心,以 为半径的圆上, 连接CM交圆M(半径为 )于 , ∴当M、B、C三点共线时,即点B在点 的位置时,BC有最小值, ∵AC=2AO=8, ∴AO=4, ∴ , ∴ , , ∴ , ∴ , ∴ , ∴BC的最小值为 , 98关注公众号:陆陆高分冲刺 ~领取:最新版“小中高考-总复习”、最新试卷下载 故答案为: . 【点睛】本题主要考查了等边三角形的性质与判定,解直角三角形,相似三角形的性质与判定,勾股定理, 圆外一点到圆上一点的最值问题,解题的关键在于能够熟练掌握瓜豆模型即证明点B在以M为圆心,半径 为 的圆上运动. 【变式5-5】(2022九年级·全国·专题练习)若 ,以点C为圆心,2为半径作圆,点P为该圆上的动 点,连接 . (1)如图1,取点B,使 为等腰直角三角形, ,将点P绕点A顺时针旋转 得到 . ①点 的轨迹是 (填“线段”或者“圆”); ② 的最小值是 ; (2)如图2,以 为边作等边 (点A、P、Q按照顺时针方向排列),在点P运动过程中,求 的 最大值. (3)如图3,将点A绕点P逆时针旋转 ,得到点M,连接 ,则 的最小值为 . 【答案】(1)①圆;② (2)6 (3) 【分析】 99关注公众号:陆陆高分冲刺 ~领取:最新版“小中高考-总复习”、最新试卷下载 (1)①连接 、 ,证明 ,得出 ,即点 到点B的距离等于定长, 即可得出答案; ② 由 等 腰 直 角 三 角 形 的 性 质 得 出 , 当 在 线 段 上 时 , 得 出 最 小 ; (2)以 为边长作等边 ,连接 ,证明 ,得出 ,当C、D、Q 三点共线时, 有最大值 ; (3)M点的轨迹是一个圆 ,求出 和圆 的半径,即可解决问题. 【详解】(1) 解:①连接 、 ,如图1所示: 是等腰直角三角形, , , 由旋转的性质得: , , , , 在 和 中, , , ,即点 到点B的距离等于定长, 点 的轨迹是以B为圆心,2为半径的圆, 故答案为:圆; ② 是等腰直角三角形, , , 当点 在线段 上时, 最小 , 100关注公众号:陆陆高分冲刺 ~领取:最新版“小中高考-总复习”、最新试卷下载 故答案为: ; (2) 解:以 为边长作等边 ,连接 、 ,如图2所示: 和 是等边三角形, , , , , 在 和 中, , , , 当C、D、Q三点共线时, 有最大值 ; 101关注公众号:陆陆高分冲刺 ~领取:最新版“小中高考-总复习”、最新试卷下载 (3) 解:如图3所示:M点的轨迹是以 为直径的一个圆 , 则 , , 则 是梯形 的中位线, , 连接 , 则 , , , , 是等腰直角三角形, , , , 故答案为: . 【点睛】 本题是圆的综合题目,考查了轨迹、圆的定义、旋转的性质、等腰直角三角形的性质、全等三角形的判定 与性质、等边三角形的性质、勾股定理以及最值问题;本题综合性强,熟练掌握旋转的性质,证明三角形 全等是解题的关键. 【变式5-6】(2022·江苏扬州·一模)如图,在矩形ABCD中,AB=3,AD=4,连接BD,将 ABD绕点D 顺时针旋转,记旋转后的三角形为 A′B′D,旋转角为α(0°<α<360°且α≠180°). △ △ 102关注公众号:陆陆高分冲刺 ~领取:最新版“小中高考-总复习”、最新试卷下载 (1)在旋转过程中,当A′落在线段BC上时,求A′B的长; (2)连接A′A、A′B,当∠BA′B'=90°时,求tan∠A′AD; (3)在旋转过程中,若 DAA′的重心为G,则CG的最小值= . △ 【答案】(1)4 ; 1 (2)tan∠A′AD=3或 ; 3 (3) 【分析】(1)由四边形ABCD矩形,AB=3,AD=4得CD=AB=3,BC=AD=4,∠C=90°,当A′落在 线段BC上时,由旋转得A′D=AD=4,则A′C ,所以A′B=4 ;(2)分两种情况,一 是点B′与点C在直线BD的同侧,作A′E⊥AD于点E,则∠A′EA=90°,先证明点B、A′、D在同一条直线 上,求得BD 5,由 sin∠ADB, cos∠ADB,求出A′E的长和ED 的长,再求出AE的长,再由tan∠A′AD 求出此时tan∠A′AD的值;二是点B′与点C在直线BD的异 侧,作A′E⊥AD交AD的延长线于点E,则∠E=90°,先求出A′E的长和ED的长,再求出AE的长,再由 tan∠A′AD 求出此时tan∠A′AD的值; (3)在AD上截取DF ,则 ,作DH⊥AA′于点H,在DH上截取DG DH,连接FG、 CG,则 ,由A′D=AD可知H为AA′的中点,DH为 DAA′的中线,点G为 DAA′的重心,再证明 △ △ 103关注公众号:陆陆高分冲刺 ~领取:最新版“小中高考-总复习”、最新试卷下载 DFG∽△DAH,则∠FGD=∠AHD=90°,取DF的中点O,连接OC交⊙O于点P,连接OG,则OG= △ OP=OD DF ,可知点G在以点O为圆心、半径为 的圆上运动,可由CG+OG≥OC推导出 CG≥CP,则当CG=CP时,CG的长最小,求出CP的长即可. 【详解】(1)解:(1)如图1,∵四边形ABCD矩形,AB=3,AD=4, ∴CD=AB=3,BC=AD=4,∠C=90°, 当A′落在线段BC上时,由旋转得A′D=AD=4, ∴A′C , ∴A′B=BC﹣A′C=4 , ∴A′B的长为4 . (2)(2)如图2,点B′与点C在直线BD的同侧,作A′E⊥AD于点E,则∠A′EA=90°, 由旋转得∠B′A′D=∠BAD=90°,A′D=AD=4, ∵∠BA′B'=90°, 104关注公众号:陆陆高分冲刺 ~领取:最新版“小中高考-总复习”、最新试卷下载 ∴∠B′A′D+∠BA′B'=180°, ∴点B、A′、D在同一条直线上, ∵∠A′ED=∠BAD=90°, ∴BD 5, ∴ sin∠ADB, cos∠ADB, ∴A′E A′D 4 ,ED A′D 4 , ∴AE=AD﹣ED=4 , ∴tan∠A′AD 3; 如图3,点B′与点C在直线BD的异侧,作A′E⊥AD交AD的延长线于点E,则∠E=90°, 由旋转得∠B′A′D=∠BAD=90°,A′D=AD=4, ∵∠BA′B'=90°, ∴∠B′A′D=∠BA′B', ∴A′D与A′B重合, ∴点B、A′、D在同一条直线上, ∵∠EDA′=∠ADB, ∴ sin∠EDA′=sin∠ADB , cos∠EDA′=cos∠ADB , 105关注公众号:陆陆高分冲刺 ~领取:最新版“小中高考-总复习”、最新试卷下载 ∴A′E A′D ,ED A′D , ∴AE=AD+ED=4 , ∴tan∠A′AD , 1 综上所述,tan∠A′AD=3或 . 3 (3)(3)如图4,在AD上截取DF ,则 , 作DH⊥AA′于点H,在DH上截取DG DH,连接FG、CG,则 , ∵A′D=AD, ∴H为AA′的中点, ∴DH为 DAA′的中线, ∴点G为△ DAA′的重心, △ ∵ ,∠FDG=∠ADH, ∴△DFG∽△DAH, ∴∠FGD=∠AHD=90°, 取DF的中点O,连接OC交⊙O于点P,连接OG,则OG=OP=OD DF , ∴点G在以点O为圆心、半径为 的圆上运动, 106关注公众号:陆陆高分冲刺 ~领取:最新版“小中高考-总复习”、最新试卷下载 ∵CG+OG≥OC,即CG+OG≥CP+OP, ∴CG CP ,∴CG≥CP, ∴当CG=CP时,CG的长最小, ∵OC , ∴CP=OC﹣OP , ∴CG的最小值是 , 故答案为: . 【点睛】此题重点考查矩形的性质、旋转的性质、相似三角形的判定与性质、勾股定理、锐角三角函数、 解直角三角形、“两点之间,线段最短”、数形结合与分类讨论数学思想的运用等知识与方法,此题难度 较大,属于考试压轴题. 107