当前位置:首页>文档>微专题三角函数的定义及应用学案——2023届高考数学一轮《考点·题型·技巧》精讲与精练_2.2025数学总复习_赠品通用版(老高考)复习资料_一轮复习

微专题三角函数的定义及应用学案——2023届高考数学一轮《考点·题型·技巧》精讲与精练_2.2025数学总复习_赠品通用版(老高考)复习资料_一轮复习

  • 2026-04-03 01:15:10 2026-03-19 18:36:58

文档预览

微专题三角函数的定义及应用学案——2023届高考数学一轮《考点·题型·技巧》精讲与精练_2.2025数学总复习_赠品通用版(老高考)复习资料_一轮复习
微专题三角函数的定义及应用学案——2023届高考数学一轮《考点·题型·技巧》精讲与精练_2.2025数学总复习_赠品通用版(老高考)复习资料_一轮复习
微专题三角函数的定义及应用学案——2023届高考数学一轮《考点·题型·技巧》精讲与精练_2.2025数学总复习_赠品通用版(老高考)复习资料_一轮复习
微专题三角函数的定义及应用学案——2023届高考数学一轮《考点·题型·技巧》精讲与精练_2.2025数学总复习_赠品通用版(老高考)复习资料_一轮复习
微专题三角函数的定义及应用学案——2023届高考数学一轮《考点·题型·技巧》精讲与精练_2.2025数学总复习_赠品通用版(老高考)复习资料_一轮复习
微专题三角函数的定义及应用学案——2023届高考数学一轮《考点·题型·技巧》精讲与精练_2.2025数学总复习_赠品通用版(老高考)复习资料_一轮复习
微专题三角函数的定义及应用学案——2023届高考数学一轮《考点·题型·技巧》精讲与精练_2.2025数学总复习_赠品通用版(老高考)复习资料_一轮复习
微专题三角函数的定义及应用学案——2023届高考数学一轮《考点·题型·技巧》精讲与精练_2.2025数学总复习_赠品通用版(老高考)复习资料_一轮复习
微专题三角函数的定义及应用学案——2023届高考数学一轮《考点·题型·技巧》精讲与精练_2.2025数学总复习_赠品通用版(老高考)复习资料_一轮复习
微专题三角函数的定义及应用学案——2023届高考数学一轮《考点·题型·技巧》精讲与精练_2.2025数学总复习_赠品通用版(老高考)复习资料_一轮复习
微专题三角函数的定义及应用学案——2023届高考数学一轮《考点·题型·技巧》精讲与精练_2.2025数学总复习_赠品通用版(老高考)复习资料_一轮复习
微专题三角函数的定义及应用学案——2023届高考数学一轮《考点·题型·技巧》精讲与精练_2.2025数学总复习_赠品通用版(老高考)复习资料_一轮复习
微专题三角函数的定义及应用学案——2023届高考数学一轮《考点·题型·技巧》精讲与精练_2.2025数学总复习_赠品通用版(老高考)复习资料_一轮复习
微专题三角函数的定义及应用学案——2023届高考数学一轮《考点·题型·技巧》精讲与精练_2.2025数学总复习_赠品通用版(老高考)复习资料_一轮复习
微专题三角函数的定义及应用学案——2023届高考数学一轮《考点·题型·技巧》精讲与精练_2.2025数学总复习_赠品通用版(老高考)复习资料_一轮复习
微专题三角函数的定义及应用学案——2023届高考数学一轮《考点·题型·技巧》精讲与精练_2.2025数学总复习_赠品通用版(老高考)复习资料_一轮复习
微专题三角函数的定义及应用学案——2023届高考数学一轮《考点·题型·技巧》精讲与精练_2.2025数学总复习_赠品通用版(老高考)复习资料_一轮复习
微专题三角函数的定义及应用学案——2023届高考数学一轮《考点·题型·技巧》精讲与精练_2.2025数学总复习_赠品通用版(老高考)复习资料_一轮复习
微专题三角函数的定义及应用学案——2023届高考数学一轮《考点·题型·技巧》精讲与精练_2.2025数学总复习_赠品通用版(老高考)复习资料_一轮复习
微专题三角函数的定义及应用学案——2023届高考数学一轮《考点·题型·技巧》精讲与精练_2.2025数学总复习_赠品通用版(老高考)复习资料_一轮复习
微专题三角函数的定义及应用学案——2023届高考数学一轮《考点·题型·技巧》精讲与精练_2.2025数学总复习_赠品通用版(老高考)复习资料_一轮复习
微专题三角函数的定义及应用学案——2023届高考数学一轮《考点·题型·技巧》精讲与精练_2.2025数学总复习_赠品通用版(老高考)复习资料_一轮复习
微专题三角函数的定义及应用学案——2023届高考数学一轮《考点·题型·技巧》精讲与精练_2.2025数学总复习_赠品通用版(老高考)复习资料_一轮复习
微专题三角函数的定义及应用学案——2023届高考数学一轮《考点·题型·技巧》精讲与精练_2.2025数学总复习_赠品通用版(老高考)复习资料_一轮复习
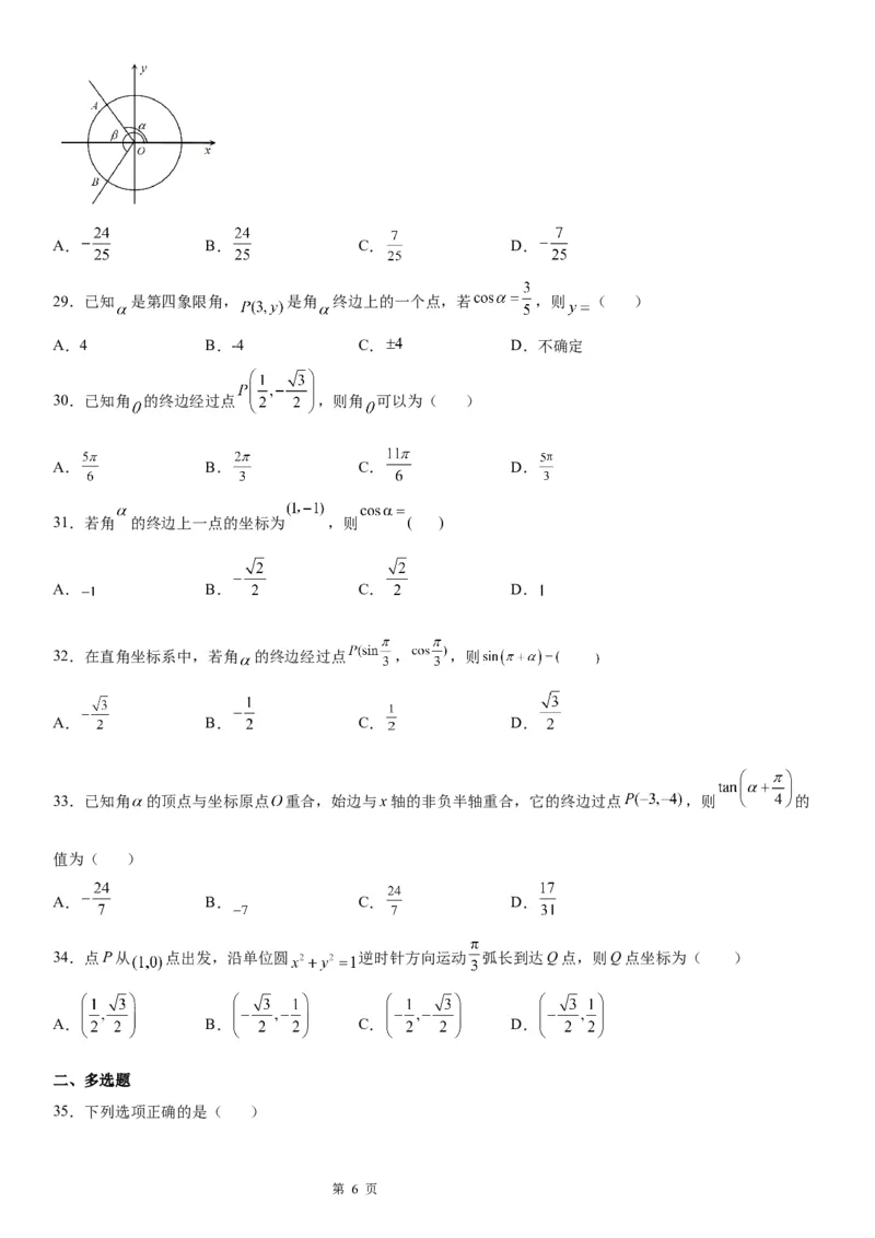
微专题三角函数的定义及应用学案——2023届高考数学一轮《考点·题型·技巧》精讲与精练_2.2025数学总复习_赠品通用版(老高考)复习资料_一轮复习
微专题三角函数的定义及应用学案——2023届高考数学一轮《考点·题型·技巧》精讲与精练_2.2025数学总复习_赠品通用版(老高考)复习资料_一轮复习
微专题三角函数的定义及应用学案——2023届高考数学一轮《考点·题型·技巧》精讲与精练_2.2025数学总复习_赠品通用版(老高考)复习资料_一轮复习

文档信息

文档格式
docx
文档大小
1.191 MB
文档页数
27 页
上传时间
2026-03-19 18:36:58

文档内容

微专题:三角函数的定义及应用 【考点梳理】 1. 三角函数的概念 (1)定义:设α是一个任意角,α∈R,它的终边OP与单位圆相交于点P(x,y),则sinα=y,cosα=x,tanα= (x≠0),正弦函数、余弦函数、正切函数统称为三角函数. (2)三角函数的定义域和函数值在各象限的符号 三 第四 角 定义域 第一象 第二象 第三象 象 函 (弧度制下) 限符号 限符号 限符号 限符 数 号 sin R + + - - α cos R + - - + α tan {αα≠kπ+,k∈Z} + - + - α 2. 特殊角的三角函数值 0 30 45 60 180 270 360 角α 90° 120° 135° 150° ° ° ° ° ° ° ° 角α 的 0 π 2π 弧度 数 - sinα 0 1 0 0 1 - cosα 1 0 - - - 0 1 1 不 不 tanα 0 1 存 - -1 - 0 存 0 在 在 【题型归纳】 题型一:由终边或终边上的点求三角函数值 1.已知角 的终边过点 ,则 的值为( ) A. B. C. D. 2.平面直角坐标系中,角 的终边经过点 ,则 ( ). A. B. C. D. 第 1 页 学学科科网网((北北京京))股股份份有有限限公公司司3.已知角 的终边经过点 ,则 ( ) A.1 B.-1 C. D. 题型二:由三角函数值求终边上的点或参数 4.已知角 的终边经过点 ,且 ,则 ( ) A. B.1 C.2 D. 5.已知 是角 终边上一点,且 ,则 的值是( ) A. B. C. D. 6.已知角 的终边经过点 ,且 ,则 ( ) A. B. C. D. 题型三:由单位圆求三角函数值 7.在平面直角坐标系xOy中,已知角 的终边与以原点为圆心的单位圆相交于点 ,将角 的终边逆 时针旋转 所得角为角β,则 的值为( ) A. B. C. D. 8.已知点 是角α的终边与单位圆的交点,则 ( ) A. B. C. D. 第 2 页 学学科科网网((北北京京))股股份份有有限限公公司司9.已知第三象限角 的顶点与原点重合,始边与 轴的非负半轴重合,终边与单位圆交于点 ,则 ( ) A. B. C. D. 【双基达标】 10.已知角 的终边经过点 ,且 ,则实数a的值是( ) A. B. C. 或 D. 11.已知角 终边经过点 ,且 ,则 ( ) A. B. C. D. 12.在平面直角坐标系xOy中, 为第四象限角,角 的终边与单位圆O交于点 ,若 , 则 A. B. C. D. 13.已知角 的终边经过点 ,则角 可以为( ) A. B. C. D. 14.已知单位圆上第一象限内一点 沿圆周逆时针旋转 到点 ,若点 的横坐标为 ,则点 的横坐标为 ( ) A. B. 第 3 页 学学科科网网((北北京京))股股份份有有限限公公司司C. D. 15.若 ,则角 终边上一点的坐标可能是( ) A. B. C. D. 16.已知角 的顶点在原点,始边与 轴非负半轴重合,终边与直线 平行,则 的值为 ( ) A. B. C. D. 17.在平面直角坐标系xOy中,角 和角 的顶点均与原点 重合,始边均与x铀的非负半轴重合,它们的终边 关于y轴对称,若 ,则 ( ) A. B. C. D. 18.已知角 的终边经过点 ,将角 的终边绕原点 逆时针旋转 得到角 的终边,则 等于( ) A. B. C. D. 19.已知角 的终边上有一点 ,则 的值为( ) A.-2 B. C. D. 20.已知角 的终边经过点 ,则 ( ) A. B. C. D. 21.在平面直角坐标系中,角 的终边过点 ,将 的终边绕原点按逆时针方向旋转 与角 的终边重合, 则 ( ) A. B. C. D. 第 4 页 学学科科网网((北北京京))股股份份有有限限公公司司22.已知角 终边上一点P的坐标为 ,则 的值是 A. B. C. D. 23.角 的终边与单位圆的交点坐标为 ,将 的终边绕原点顺时针旋转 ,得到角 ,则 ( ) A. B. C. D.0 24.已知函数 ( 且 )的图像经过定点 ,且点 在角 的终边上,则 ( ) A. B.0 C.7 D. 25.已知角α的终边经过点 ,则 等于( ) A. B. C. D. 【高分突破】 一、单选题 26.已知角 的终边经过点 ,则 ( ) A. B. C. D. 27.点 是 角终边与单位圆的交点,则 的值为( ) A. B. C. D. 28.如图,在平面直角坐标系 中,角 与角 均以 为始边,终边分别是射线 和射线 ,且射线 和 射线 关于 轴对称,射线 与单位圆的交点为 ,则 的值是( ) 第 5 页 学学科科网网((北北京京))股股份份有有限限公公司司A. B. C. D. 29.已知 是第四象限角, 是角 终边上的一个点,若 ,则 ( ) A.4 B.-4 C. D.不确定 30.已知角 的终边经过点 ,则角 可以为( ) A. B. C. D. 31.若角 的终边上一点的坐标为 ,则 ( ) A. B. C. D. 32.在直角坐标系中,若角 的终边经过点 , ,则 A. B. C. D. 33.已知角 的顶点与坐标原点 重合,始边与 轴的非负半轴重合,它的终边过点 ,则 的 值为( ) A. B. C. D. 34.点P从 点出发,沿单位圆 逆时针方向运动 弧长到达Q点,则Q点坐标为( ) A. B. C. D. 二、多选题 35.下列选项正确的是( ) 第 6 页 学学科科网网((北北京京))股股份份有有限限公公司司A. B. C.若 终边上有一点 ,则 D.若一扇形弧长为2,圆心角为 ,则该扇形的面积为 36.下列结论正确的是( ) A. 是第三象限角 B.若圆心角为 的扇形的弧长为 ,则该扇形面积为 C.若角 的终边过点 ,则 D. 37.已知 ,则函数 的值可能为( ) A.3 B.-3 C.1 D.-1 38.已知点 为平面直角坐标系原点,角 的终边分别与以 为圆心的单位圆交于 两点,若 为第 四象限角,且 ,则( ) A. B.当 时, C. 最大值为 D.当 时, 三、填空题 39.已知角α的终边经过点P(-4,m),且 ,则m=___________. 第 7 页 学学科科网网((北北京京))股股份份有有限限公公司司40.已知角 的终边经过点 ,则 __________. 41.角 的终边与单位圆的交点的坐标是______. 42.若角 的终边经过点 ,则 ___________. 43.若角 终边上一点 ,则 的值为___________. 44.已知角 的终边经过点 且 ,则 _________. 四、解答题 45.已知角 的终边上有一点 , . (1)若 ,求实数a的值. (2)若 且 ,求实数a的取值范围. 46.已知角 的终边过点 ,且 ,求 的值. 47.在平面直角坐标系 中, , 是位于不同象限的任意角,它们的终边交单位圆(圆心在坐标原点O)于 A,B两点 (1)已知点A ,将 绕原点顺时针旋转 到 ,求点B的坐标; (2)若角 为锐角,且终边绕原点逆时针转过 后,终边交单位圆于 ,求 的值; (3)若A,B两点的纵坐标分别为正数a,b,且 ,求 的最大值. 48.已知角α的终边在直线y=-3x上,求10sin α+ 的值. 49.已知 ,求证: . 第 8 页 学学科科网网((北北京京))股股份份有有限限公公司司参考答案 1.D 【解析】 【分析】 利用三角函数的定义即可求解. 【详解】 角 的终边经过点 ,则 , 由三角函数的定义可得: . 故选:D. 2.A 【解析】 【分析】 根据三角函数的定义可得 ,利用诱导公式及二倍角的正弦公式即可求解. 【详解】 解:因为角 的终边经过点 ,所以 , 故 . 故选:A. 3.D 【解析】 【分析】 若知任意角 的终边上一点坐标,可求出任意角 的三角函数值, . 【详解】 解:由已知得 , 所以 . 故选D. 4.C 【解析】 【分析】 由三角函数定义求得 值. 【详解】 由题意 ,解得 . 故选:C. 第 9 页5.D 【解析】 【分析】 根据 ,可判断点 位于第二象限,利用正弦函数的定义列方程求解即可. 【详解】 解:因为 是角 终边上一点, ,故点 位于第二象限, 所以 , , 整理得: ,因为 ,所以 . 故选:D. 6.A 【解析】 【分析】 根据三角函数的定义求出 ,再根据三角函数的定义分别求出 ,即可得解. 【详解】 解:角 的终边经过点 ,由 , 可得 ,所以 , 所以 , , 所以 . 故选:A. 7.B 【解析】 【分析】 先根据三角函数定义得到角 的正弦与余弦,进而利用二倍角公式求出 ,代入求值即可. 【详解】 由三角函数定义可知: , ,而 ,所以 , ,所以 故选:B 第 10 页8.B 【解析】 【分析】 根据余弦函数的定义直接进行求解即可. 【详解】 因为点 是角α的终边与单位圆的交点, 所以 , 故选:B 9.D 【解析】 【分析】 根据任意角三角函数的定义即可求解. 【详解】 由题意得, ,解得 , 又 为第三象限角, 所以 , 故 , 所以 , 故选:D. 10.A 【解析】 【分析】 利用三角函数的定义列出方程,求出a的值 【详解】 , , ∴ 且 ,解得 . 故选:A 11.A 【解析】 【分析】 第 11 页利用任意角的三角函数定义列方程求解 ,进而可得 的值. 【详解】 因为角 终边经过点 ,且 , 所以 ,所以 ,所以点 的坐标为 , 所以 . 故选: A 12.C 【解析】 根据 为第四象限角,再结合 ,确定 的范围,进而确定 ,然后由 求解. 【详解】 ∵ , ∴ , 又 , 所以 , 所以 , ∴ . 故选:C 【点睛】 易错点点睛:本题容易忽视 的范围,而导致 出错. 13.B 【解析】 【分析】 求得 ,结合 在第二象限求得 的值,由此确定正确选项. 【详解】 第 12 页依题意 ,由于 在第二象限, 所以 , 当 时 ,所以B选项正确,其它选项错误. 故选:B 14.C 【解析】 先根据单位圆及点 的横坐标确定出点 的纵坐标,根据任意角三角函数的定义可求得 及 ,设 点 的横坐标为 ,则 ,利用余弦的差角公式求解即可. 【详解】 由单位圆上第一象限内一点 沿圆周逆时针旋转 到点 ,点 的横坐标为 ,可知点 的纵坐标为 .则 , , 设点 的横坐标为 ,又 , 所以 . 故选:C. 【点睛】 本题考查任意角三角函数的定义及余弦的差角公式的运用,解答时注意以下几点: (1)一般地,当已知角 终边上一点 时,则 , , ; (2)注意 ,计算时,要注意根据角 与 的范围确定其三角函数值的正负. 15.C 【解析】 【分析】 利用任意角的三角函数的定义求解即可 【详解】 选项中的点均为平面直角坐标系下单位圆上的点, 第 13 页由三角函数的定义,知 , 故选:C. 16.D 【解析】 【分析】 由题意角 的终边在直线 上,则得出 的值,将原式化为 ,代入可得答案. 【详解】 因为角 的终边与直线 平行,即角 的终边在直线 上 所以 ; 故选:D 17.B 【解析】 【分析】 根据三角函数的定义可求. 【详解】 设 的终边上有一点 ,则 , 因为角 和角 的终边关于y轴对称,则 是角 终边上一点, 所以 . 故选:B. 18.B 【解析】 【分析】 先由条件求出 ,再根据角的旋转及诱导公式即可求解. 【详解】 因为角 的终边经过点 , 所以 , 所以 故选:B 19.A 【解析】 利用正切函数的定义即可计算. 第 14 页【详解】 角 的终边上有一点 , . 故选:A. 20.B 【解析】 【分析】 利用任意角的三角函数的定义求解即可 【详解】 因为角 的终边经过点 , 所以 , 故选:B 21.A 【解析】 【分析】 由终边上的点知 , ,进而可得 ,即可求 . 【详解】 由角 的终边过点 ,知: , , ∴ ,故 . 故选:A. 22.A 【解析】 根据三角函数定义, ,即可求解 【详解】 由题意, 故选: 【点睛】 本题考查三角函数定义,属于基本题. 23.A 【解析】 【分析】 第 15 页先求 的正余弦三角函数,再求 的正余弦三角函数,然后根据余弦的两角和与差的公式计算即可得到答案. 【详解】 由角 的终边经过点 ,得 , 因为角 的终边是由角 的终边顺时针旋转 得到的, 所以 , 故选:A. 【点睛】 本题主要考查了三角函数的定义以及两角和与差的正余弦公式的应用,属于中档题. 24.D 【解析】 【分析】 由题知 ,进而根据三角函数定义结合齐次式求解即可. 【详解】 解:令 得 ,故定点 为 , 所以由三角函数定义得 , 所以 故选:D 25.D 【解析】 【分析】 由任意角三角函数的定义可得结果. 【详解】 依题意得 . 故选:D. 26.B 【解析】 【分析】 由角 的终边经过点P(﹣1, ),利用任意角的三角函数定义求出 即可. 第 16 页【详解】 ∵点P(﹣1, ), ∴x=﹣1,y= ,|OP| , ∴ .故 故选:B 27.A 【解析】 【分析】 根据三角函数的定义得 ,再利用终边相同的角即可得出结论. 【详解】 由题意得 , 故选:A. 28.D 【解析】 【分析】 由三角函数的定义可得 , , , 的值,再由差角的余弦公式计算即得. 【详解】 由任意角的三角函数的定义可得, , , 因 ,且射线 和射线 关于 轴对称,则射线OB与单位圆的交点为 ,于是得 , , 因此, , 所以 的值是 . 故选:D 29.B 【解析】 【分析】 利用三角函数的定义求得 . 【详解】 依题意 是第四象限角,所以 , 第 17 页. 故选:B 30.D 【解析】 【分析】 由已知可得 是第四象限角,且 , ,结合选项得结论. 【详解】 角 的终边经过点 , 是第四象限角,且 , , 则 . 故选:D 31.C 【解析】 【分析】 根据任意角三角函数的定义即可求解. 【详解】 ∵角 的终边上一点的坐标为 ,它与原点的距离 , ∴ , 故选:C. 32.B 【解析】 【分析】 由题意利用任意角的三角函数的定义,再利用诱导公式求得 的值. 【详解】 解:角 的终边经过点 , ,则 , , 则 , 故选:B. 【点睛】 本题主要考查任意角的三角函数的定义,属于基础题. 33.B 【解析】 第 18 页先由任意角的三角函数的定义求得 的值,而后再由两角和的正切公式展开计算即可得解. 【详解】 由题意,利用任意角的三角函数的定义可得 , 所以 . 故选: . 34.A 【解析】 【分析】 根据三角函数的定义直接求点 的坐标. 【详解】 由题意可知 , 根据三角函数的定义可知 , , 所以点 的坐标是 . 故选:A 【点睛】 本题考查三角函数的定义,属于基础题型. 35.AB 【解析】 【分析】 根据诱导公式,弧度制与角度制的转化公式,以及三角函数的定义,扇形面积公式,即可判断选项. 【详解】 ,故A正确; ,故B正确; 若 终边上有一点 ,则 ,故C不正确; 若一扇形弧长为2,圆心角为 ,则该扇形的半径为 ,面积为 ,故D不正确. 故选:AB 36.BCD 【解析】 【分析】 根据象限角、扇形面积、三角函数定义、诱导公式等知识对选项进行分析,由此确定正确答案. 第 19 页【详解】 A选项, 是第二象限角,A错误. B选项,扇形的半径为 ,面积为 ,B正确. C选项, ,C正确. D选项, ,D正确. 故选:BCD 37.BC 【解析】 讨论 在第一象限; 在第二象限; 在第三象限; 在第四象限;四种情况分别化简得到答案. 【详解】 , 当 在第一象限时: ; 当 在第二象限时: 当 在第三象限时: 当 在第四象限时: 故选: 【点睛】 本题考查了三角函数值化简,分类讨论是常用的数学方法,需要熟练掌握. 38.CD 【解析】 【分析】 根据题意写出 两点的坐标.根据数量积的定义即可计算出选项A;根据向量垂直即可计算出选项B;结合图形 分析 共线的时候 最大值为 ;根据 分析出 ,从而求出选项D中的值. 【详解】 易知 , ,故A错误; 第 20 页当 时, , ,故B错误; 由于 ,故 过原点时, 最大且最大值为 ,故C正确; 因为 ,且 为第四象限角,所以 . , ,即 , ,故D正确. 故选: . 39. 【解析】 【分析】 利用任意角的三角函数的定义求解. 【详解】 解:∵已知角α的终边经过点P(-4,m),且 , ∴ ,显然 , 解得 , (舍去), 故答案为: 40. 【解析】 【分析】 求出点 到坐标原点的距离,根据三角函数的定义,求出 ,即可求解. 【详解】 设角 的终边经过点 ,坐标原点为 , 当 时, , 当 时, , 第 21 页所以 . 故答案为: . 41. 【解析】 【分析】 作出单位圆,根据三角函数的定义即可得到答案. 【详解】 如图,单位圆圆O,点P为角 的终边与圆O的交点,过点 引x轴的垂线,垂足为M, 易知 ,|OP|=1,则有向线段 ,则 . 故答案为: . 42. 【解析】 【分析】 根据定义求得 ,再由诱导公式可求解. 【详解】 角 的终边经过点 , 则 , 所以 . 故答案为: . 43. 第 22 页【解析】 【分析】 根据诱导公式及三角函数的定义求解. 【详解】 由诱导公式知, , 因为角 终边上一点 , 所以 , 所以原式 故答案为: 44.-8 【解析】 利用三角函数的定义直接求解. 【详解】 , 且 ,解得: , , . 故答案为:-8 45.(1)2 (2) 【解析】 【分析】 (1)利用三角函数的定义列出方程,求出 ;(2)由 且 得到 所在象限,故可以得到点 的坐标的特征,列出不等式,求出范围 (1) 依题意,得 ,所以 . (2) 由 且 得 为第四象限角,故 ,所以 .故实数a的取值范围是 . 46. 【解析】 【分析】 第 23 页利用三角函数的定义求出 的值,再利用三角函数的定义可求得 的值. 【详解】 根据三角函数的定义,知 ,所以 ,所以 , 所以 , . 从而 . 47.(1) ;(2) ;(3) 。 【解析】 【分析】 (1)设点 在角 的终边上,根据任意角的三角函数的定义可得 再根据题意可知点 在角 的终边上,且 ,根据诱导公式即可求出点 的坐标; (2)由题意利用任意角的三角函数的定义求得 和 的值,再利用两角和差的三角公式,求得 要求式子的值; (3)由题意,角 和角 一个在第一象限,另一个在第二象限,再利用任意角的三角函数的定义、两角和差的三 角公式,可得 ,平方可得 ,再利用基本不等式,即可求出结果. 【详解】 (1)设点 在角 的终边上, 又 ,则 , 所以点 在角 的终边上,且 , 所以点 的横坐标为 ,纵坐标为 ,即 点坐标为 . (2)∵顶点在原点的锐角 绕原点逆时针转过 后,终边交单位圆于 , ∴ ,且 ,求得 , 则 , , 则 . 第 24 页(3)角 和角 一个在第一象限,另一个在第二象限, 不妨假设 在第一象限,则 在第二象限, 根据题意可得 ,且 , ∴ , , ∴ , 即 ,平方可得, ,当且仅当 时,取等号. ∴ ,当且仅当 时,取等号,故当 时, 取得最大 值为 . 48.0 【解析】 【分析】 根据题意可设角α终边上任一点为P(k,-3k),分k>0和k<0时进行讨论,求得对应的三角函数值,代入即可. 【详解】 设角α终边上任一点为P(k,-3k), 则r= . 当k>0时,r= , 所以sin α= , , 所以10sin α+ 当k<0时,r= , 所以sin α , , 所以 , 综上, . 49.证明见解析 【解析】 【分析】 利用三角函数定义结合扇形面积公式可得证. 【详解】 证明:如图,设角 的终边与单位圆交于点 ,单位圆交x轴于点A,交y轴于点B, 连接 , ,过P作 轴, 轴,M,N分别为垂足. 第 25 页则 , . 在 中, , . , , , 又 , ,即 . 所以 . 第 26 页第 27 页