当前位置:首页>文档>专题17.3勾股定理(分层练习)(提升练)-(人教版)_初中数学_八年级数学下册(人教版)_专题突破练习-V4

专题17.3勾股定理(分层练习)(提升练)-(人教版)_初中数学_八年级数学下册(人教版)_专题突破练习-V4

  • 2026-04-06 03:18:24 2026-03-23 17:41:38

文档预览

专题17.3勾股定理(分层练习)(提升练)-(人教版)_初中数学_八年级数学下册(人教版)_专题突破练习-V4
专题17.3勾股定理(分层练习)(提升练)-(人教版)_初中数学_八年级数学下册(人教版)_专题突破练习-V4
专题17.3勾股定理(分层练习)(提升练)-(人教版)_初中数学_八年级数学下册(人教版)_专题突破练习-V4
专题17.3勾股定理(分层练习)(提升练)-(人教版)_初中数学_八年级数学下册(人教版)_专题突破练习-V4
专题17.3勾股定理(分层练习)(提升练)-(人教版)_初中数学_八年级数学下册(人教版)_专题突破练习-V4
专题17.3勾股定理(分层练习)(提升练)-(人教版)_初中数学_八年级数学下册(人教版)_专题突破练习-V4
专题17.3勾股定理(分层练习)(提升练)-(人教版)_初中数学_八年级数学下册(人教版)_专题突破练习-V4
专题17.3勾股定理(分层练习)(提升练)-(人教版)_初中数学_八年级数学下册(人教版)_专题突破练习-V4
专题17.3勾股定理(分层练习)(提升练)-(人教版)_初中数学_八年级数学下册(人教版)_专题突破练习-V4
专题17.3勾股定理(分层练习)(提升练)-(人教版)_初中数学_八年级数学下册(人教版)_专题突破练习-V4
专题17.3勾股定理(分层练习)(提升练)-(人教版)_初中数学_八年级数学下册(人教版)_专题突破练习-V4
专题17.3勾股定理(分层练习)(提升练)-(人教版)_初中数学_八年级数学下册(人教版)_专题突破练习-V4
专题17.3勾股定理(分层练习)(提升练)-(人教版)_初中数学_八年级数学下册(人教版)_专题突破练习-V4
专题17.3勾股定理(分层练习)(提升练)-(人教版)_初中数学_八年级数学下册(人教版)_专题突破练习-V4
专题17.3勾股定理(分层练习)(提升练)-(人教版)_初中数学_八年级数学下册(人教版)_专题突破练习-V4
专题17.3勾股定理(分层练习)(提升练)-(人教版)_初中数学_八年级数学下册(人教版)_专题突破练习-V4
专题17.3勾股定理(分层练习)(提升练)-(人教版)_初中数学_八年级数学下册(人教版)_专题突破练习-V4
专题17.3勾股定理(分层练习)(提升练)-(人教版)_初中数学_八年级数学下册(人教版)_专题突破练习-V4
专题17.3勾股定理(分层练习)(提升练)-(人教版)_初中数学_八年级数学下册(人教版)_专题突破练习-V4
专题17.3勾股定理(分层练习)(提升练)-(人教版)_初中数学_八年级数学下册(人教版)_专题突破练习-V4
专题17.3勾股定理(分层练习)(提升练)-(人教版)_初中数学_八年级数学下册(人教版)_专题突破练习-V4
专题17.3勾股定理(分层练习)(提升练)-(人教版)_初中数学_八年级数学下册(人教版)_专题突破练习-V4
专题17.3勾股定理(分层练习)(提升练)-(人教版)_初中数学_八年级数学下册(人教版)_专题突破练习-V4
专题17.3勾股定理(分层练习)(提升练)-(人教版)_初中数学_八年级数学下册(人教版)_专题突破练习-V4
专题17.3勾股定理(分层练习)(提升练)-(人教版)_初中数学_八年级数学下册(人教版)_专题突破练习-V4
专题17.3勾股定理(分层练习)(提升练)-(人教版)_初中数学_八年级数学下册(人教版)_专题突破练习-V4
专题17.3勾股定理(分层练习)(提升练)-(人教版)_初中数学_八年级数学下册(人教版)_专题突破练习-V4
专题17.3勾股定理(分层练习)(提升练)-(人教版)_初中数学_八年级数学下册(人教版)_专题突破练习-V4
专题17.3勾股定理(分层练习)(提升练)-(人教版)_初中数学_八年级数学下册(人教版)_专题突破练习-V4
专题17.3勾股定理(分层练习)(提升练)-(人教版)_初中数学_八年级数学下册(人教版)_专题突破练习-V4

文档信息

文档格式
docx
文档大小
3.494 MB
文档页数
30 页
上传时间
2026-03-23 17:41:38

文档内容

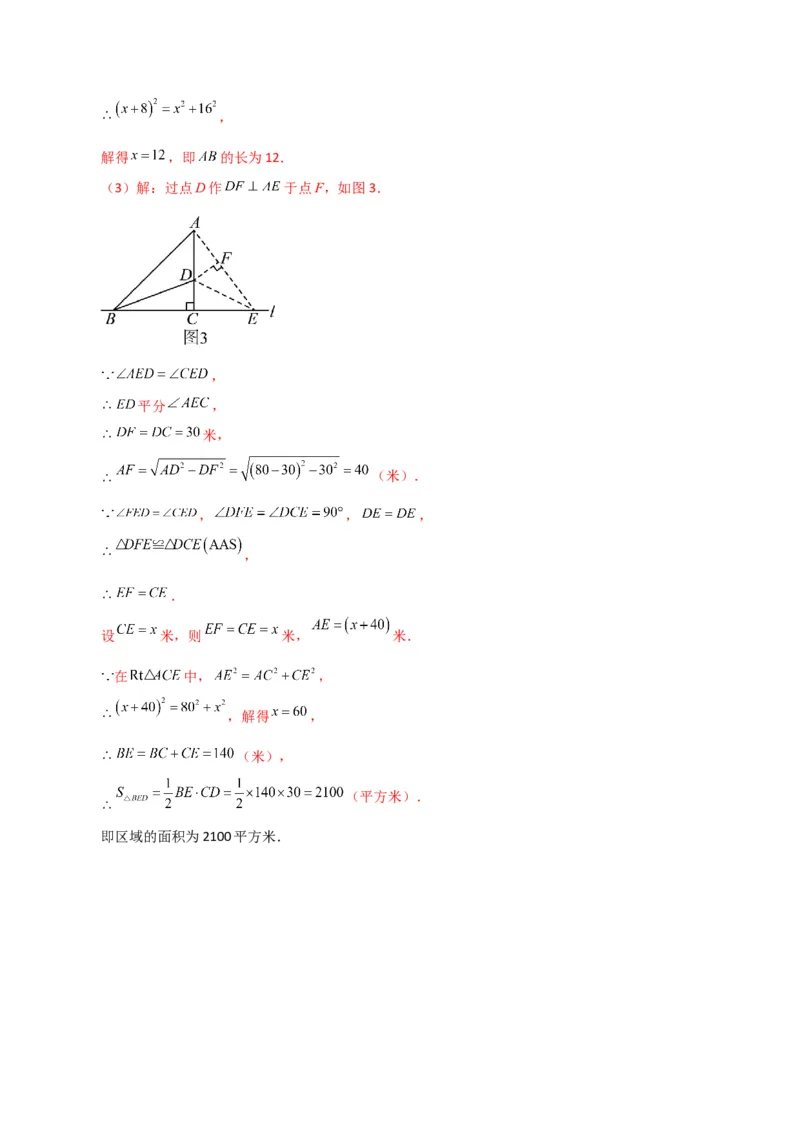
专题17.3 勾股定理(分层练习)(提升练) 一、单选题(本大题共10小题,每小题3分,共30分) 1.(2022上·黑龙江哈尔滨·八年级校考期中)等腰直角三角形斜边长为 ,则面积为( ) A. B. C. D. 2.(2024上·山西晋中·八年级统考期末)公园有一块长方形草坪,芳芳同学发现有极少数人为了走捷 径,践踏草坪走出了一条路 ,为了倡导人们爱护花草,建议公园管理人员在 处立一个标牌:“小草 青青,脚下留情” .经过测量得知: 两处的距离为 两处的距离为 则践踏草坪少走的距离 是( ) A. B. C. D. 3.(2023下·重庆铜梁·八年级重庆市巴川中学校校考期末)如图,露在水面上的鱼线 长为 . 钓鱼者想看看鱼钩上的情况把鱼竿 提起到 的位置,此时露在水面上的鱼线 长为4m,若 的 长为 ,试问的鱼竿 有多长?设 长 ,则下所列方程正确的是( ). A. B. C. D. 4.(2022下·北京海淀·八年级统考期末)如图,有一架秋千,当它静止时,踏板离地0.5米,将它往 前推3米时,踏板离地1.5米,此时秋千的绳索是拉直的,则秋千的长度是( )A.3米 B.4米 C.5米 D.6米 5.(2023上·福建泉州·八年级统考期末)如图,在 中, , , ,则 的面积为( ) A.4 B.8 C.16 D.32 6.(2023上·山东烟台·七年级统考期中)如图所示,在 中, 平分 , 平分 , 且 ,交 于点 ,若 ,则 等于() A. B. C. D. 7.(2024上·甘肃兰州·九年级兰州十一中校考期末)如图,在等边 中, 是 边上的中线, 延长 至点 ,使 ,若 ,则 ( )A. B.6 C.8 D. 8.(2024上·河北石家庄·九年级校联考期末)因班级文化建设需要,小方需要在一张 的矩 形卡纸中裁剪出若干张半径为 ,圆心角是 的扇形纸片,若采取如图所示进行裁剪,则最多可以裁 剪出扇形纸片( ) A.20张 B.21张 C.40张 D.41张 9.(2023上·贵州毕节·七年级校考期中)如图,由四个全等的直角三角形拼成的图形,设 ,则斜边 的长是( ) A. B. C. D. 10.(2024上·河南南阳·八年级南阳市第三中学校联考阶段练习)如图,在 中, , , ,Q是 上一动点,过点 作 于 , 于 , , 则 的长是( )A. B. C.4 D. 二、填空题(本大题共8小题,每小题4分,共32分) 11.(2023上·江苏镇江·八年级统考期中)如图,x= . 12.(2024上·四川成都·九年级四川省成都市玉林中学校考期末)如图 ,在射线 上取 ,在射线 上取 ,连接 ,以点 为圆心, 为半径画弧,交 于点 ,以 为圆 心, 为半径画弧,交 于点 ,则 . 13.(2023上·河南郑州·八年级校考期末)图中的两个滑块A,B由一个连杆连接,分别可以在垂直和 水平的滑道上滑动.开始时,滑块A距O点20厘米,滑块B距O点15厘米.问:当滑块A向下滑13厘 米时,滑块B滑动了 厘米. 14.(2023上·江苏南京·八年级校联考期末)如图, , ,以 A点为圆心, 长为半径作圆弧与数轴交于点P.若点A表示 的数为0,点B表示的数为1,则点P表示的数为 .15.(2023·安徽·模拟预测)如图,四边形 的对角线 相交于点 ,过点 作 于点 ,与 交于点 .请完成下列问题: (1) ; (2)若 ,则 的长为 . 16.(2024上·陕西咸阳·八年级统考期末)如图,圆柱形玻璃杯高为 ,底面周长为 ,在杯内 离杯底 的点 处有滴蜂蜜,此时一只蚂蚁正好在杯外壁,离杯上沿 与蜂蜜相对的点 处.则蚂蚁 到达蜂蜜点 的最短距离为 . 17.(2024上·四川成都·八年级统考期末)在平面直角坐标系 中,给出如下定义:对于以 为底 边的等腰 及 外一点C,若 ,直线 中,其中一条经过点O,另一条与 的腰 垂直,则称点C是 的“关联点”.如图,已知点 , , ,则点 就是 的“关联点”.若点 是 的“关联点”,则线段 的长是 .18.(2024上·浙江衢州·八年级统考期末)在直角三角形纸片 中, ,折叠纸片使得点 落在 边上点 处,折痕是 (如图1),将纸 片复原,再次折叠纸片,使得点 落在 边上的点 处,折痕是 (如图2),继续折叠纸片,使得点 与点 重合,折痕是 ,得到多边形 (如图3),将若干个全等的多边形交叉重叠便可得到棒 棒糖的糖果部分(如图4). (1)图1中 的长为 . (2)图3中 的长为 . 三、解答题(本大题共6小题,共58分) 19.(8分)(2024上·福建厦门·八年级统考期末)如图,在 中, , , ,点C和点D关于直线 对称. (1)求作点D;(要求:尺规作图,保留作图痕迹,不写过程) (2)连接 ,过点C作 交 的延长线于点E,求 的长度.20.(8分)(2023上·辽宁朝阳·八年级统考期末)如图,在平面直角坐标系中,长方形 的顶 点A、C的坐标分别是 和 ,E为C点左侧x轴上一动点,连接 ,将 沿 所在直线 翻折得到 ,当点 恰好落在y轴上时,求 的长(提示:点E可能在x轴正半轴上,也可能在x 轴负半轴上) 21.(10分)(2024上·福建福州·八年级福建师大附中校考期末)如图, 中, ,点 在 的边 上, ,以 为直角边在 同侧作等腰 ,使 ,过 作 于点 ,连接 . (1)求证: ; (2)当 时,则 为多少; (3)若 ,求 的值.22.(10分)(2023上·辽宁丹东·八年级统考期中)如图,有一架救火飞机沿东西方向,由点 飞向 点 ,在直线 的正下方有一个着火点 ,且点 与 两点的距离分别为 和 ,又 两点 距离为 ,飞机与着火点距离在 以内可以受到洒水影响. (1)请通过计算说明,着火点 是否受洒水影响; (2)若救火飞机的速度为 ,要想扑灭着火点 估计需要13秒,请你通过计算说明在救火飞机 从点 飞到点 的过程中,着火点 能否被扑灭. 23.(10分)(2024上·江苏南京·八年级校联考期末)在 中, , (1)如图①, 为 边上一点,连接 ,以 为边作 , , ,连接 . 求证: , (2)如图②, 为 外一点.若 , , .则 的长为______. 24.(12分)(2024上·陕西汉中·八年级统考期末)【问题提出】(1)如图1, 为 的边 上的高,若 , ,则 的长为________; 【问题探究】 (2)如图2,在 中, , 平分 交 于点D,若 , ,求 的 长; 【问题解决】 (3)如图3,直线l是一条小路, 是李叔叔家的一块花园的平面示意图,其中边 在小路l上, 边上的点D处有一口灌溉水井,经测量, , 米, 米.李叔叔计划对 该花园进行扩建,在点C右侧的小路l上取点E,并在 、 、 内分别种植不同的花卉, 根据李叔叔的规划要求, ,请你计算 区域的面积. 参考答案: 1.A 【分析】本题考查了等腰直角三角形的性质及勾股定理,根据等腰直角三角形的性质及勾股定理得该 等腰直角三角形的直角边为 ,再利用三角形的面积公式即可求解,熟练掌握基础知识是解题的关键. 解:依题意得: 该等腰直角三角形的直角边为: , 面积为: , 故选A. 2.D 【分析】本题考查了勾股定理.熟练掌握勾股定理是解题的关键.由勾股定理得, ,根据 ,计算求解即可. 解:由题意知, , 由勾股定理得, , ∵ , ∴则践踏草坪少走的距离为 , 故选:D. 3.A 【分析】如图:设 长 ,则 ,分别在 和 可得 、 ,再根据 可得 ,然后代入相关数据即可解答. 解:设 长 ,则 , 在 中, , 在 中, , ∵ , ∴ ,即 . 故选A. 【点拨】本题主要考查了勾股定理的应用,掌握勾股定理的基本形式以及 的隐含条件是解答 本题的关键. 4.C 【分析】设 米,用 表示出 的长,在直角三角形 中,利用勾股定理列出关于 的 方程,求出方程的解即可得到结果. 解:设 米, 米, 米, (米 , 米, 在 中, 米, 米, 米, 根据勾股定理得: , 解得: , 则秋千的长度是5米.故选:C. 【点拨】此题考查了勾股定理的应用,熟练掌握勾股定理是解本题的关键. 5.C 【分析】本题主要考查了勾股定理,等腰直角三角形的性质与判定,过点C作 于D, 交 于E,先证明 ,设 ,则 ,再证明 ,得到 ,则 ,利用勾股定理得到 ,解得 ,则 . 解:如图所示,过点C作 于D, 交 于E, ∴ , ∵ , ∴ , ∴ , ∴ , 设 , ∴ , ∵ , , ∴ , ∴ , ∴ , ∵ , ∴ , ∴ , ∴ ,∴ , 故选:C. 6.C 【分析】本题考查了等腰三角形的判定与性质,勾股定理,熟练掌握勾股定理是解题的关键. 根据 角平分线的定义和平行线的性质可得 和 是等腰三角形,可得 , 从而可得 ,然后再利用角平分线的定义以及平角定义可得 ,从而在 中,利用 勾股定理进行计算,即可解答. 解: 平分 平分 , 在 中,故选:C. 7.C 【分析】此题主要考查了等边三角形的性质,等腰三角形的判定和性质,勾股定理等.先由等边三角 形的性质,得 , , ,再根据 ,得 , 进而得 ,则 ,然后在 中,由勾股定理求出 即可. 解: 为等边三角形, , , 是 边上的中线, , , , , , , , , , , , 在 中,由勾股定理得: , 即 , 解得: , . 故选:C. 8.C 【分析】本题主要考查了含30度角的直角三角形的性质,二次根式除法,在 中,,则 ,再由 即可得到答案. 解:如图所示,在 中, , ∴ , ∵ , ∴最多可以裁剪出扇形纸 张, 故选:C. 9.B 【分析】本题考查了勾股定理,全等三角形的性质,用含a,b的式子表示各个线段是解题的关键.解: 设 ,则 ,求得 ,求得 ,得到 ,根据勾股定理即可得到结论. 解:设 ,则 , ∵ , ∴ , ∴ , ∴ , ∴ , ∴ ,故选:B. 10.C 【分析】本题考查了勾股定理及等面积法,连接 ,设 ,通过勾股定理得出k的值, 再求出 ,再利用等面积法求解即可,熟练掌握知识点是解题的关键. 解:连接 , ∵ , ∴设 , ∴ , ∵ , ∴ , ∵ , ∴ , ∴ , ∵ , ∴ , 解得 (负舍), ∴ , ∴ , ∵ , ∴ , ∴ , 故选:C.11.15 【分析】本题考查了直角三角形三边之间的关系,根据勾股定理可求得 的值,正确计算是解答本题 的关键. 解:∵三角形是直角三角形, ∴ , 解得: , 故答案为: . 12. 【分析】本题考查作图-基本作图、勾股定理,解题的关键是理解题意,灵活运用所学知识解决问题. 由题意得, , ,由勾股定理得 ,则 , , 即可得出答案. 解:由题意得, , , , , , . 故答案为: . 13.9 【分析】根据勾股定理求出 的长,再求出下滑后的 ,利用勾股定理求出下滑后的 ,继而求 出滑块B滑动的距离. 解:依题意得: , 设滑动后点A、B的对应位置是 , 由勾股定理得, (厘米), 当滑块A向下滑13厘米时, (厘米),∴ (厘米), ∴滑块B滑动的距离为: (厘米), 故答案为:9. 【点拨】本题考查的是勾股定理的应用,善于观察题目的信息,灵活运用勾股定理是解题的关键. 14. 【分析】利用勾股定理求出 ,则可得 ,再利用实数与数轴关系即可得出答案. 解:点A表示的数为0,点B表示的数为1, ∴ , ∵ , ∴由勾股定理,得 , , ∴ , ∵点P在数轴的负半轴上, ∴点P表示的数为 . 故答案为: . 【点拨】本题考查勾股定理,实数与数轴,熟练掌握勾股定理和用数轴上的点表示实数是解题的关键. 15. 45 【分析】本题考查了等腰三角形的性质,勾股定理,线段垂直平分线的性质等知识. (1)设 ,由等腰三角形的性质可得 , ,再根据三角形外角的 性质求解即可;(2)连接 ,则易得 , ;由勾股定理求出 ,再由等腰三角形性质及勾 股定理求得 ,即可得结果. (1)解:设 , , , . , , ∴ , . (2)解:如图,连接 . ∵ , ∴ ; ∵ , ∴ , ∴ ; , ; , , 由勾股定理得: , . 16.10 【分析】本题考查了平面展开-最短路径问题,将图形展开,利用轴对称的性质和勾股定理进行计算是 解题的关键,将杯子侧面展开,建立A关于 的对称点 ,根据两点之间线段最短可知 的长度即为所求. 解:如图,将杯子侧面展开,作 关于 的对称点 ,连接 ,则 即为最短距离, 圆柱形玻璃杯底面周长为 ,杯底 的点 处,沿 与蜂蜜相对的点 处, , , , , 故答案为:10. 17. / 【分析】此题考查了勾股定理,过点Q作 轴于点A,利用勾股定理求出 ,利用面积法求出 的长,勾股定理求出 ,得到 ,再根据勾股定理求出线段 的长. 解:如图,过点Q作 轴于点A, ∵ 是 的“关联点”, , , ∴ , ∴ ,∵ , ∴ , ∴ , ∴ , ∴ . 故答案为 . 18. 3 【分析】本题考查了勾股定理与折叠问题,等腰三角形的性质与判定,全等三角形的性质与判定; (1)在直角三角形纸片 中, ,勾股定理求得 ,如图1中,设 , 则 , ,在 中,勾股定理即可求解; (2)设 交于点 ,根据折叠可得 ,证明 ,在 中,勾股定理 求得 ,进而证明 ,即可求解. 解:(1)在直角三角形纸片 中, , ∴ , 如图1中,设 ,则 , , 根据折叠可得 , , 在 中, , 即 , 解得: , ∴ ,故答案为: . (2)∵折叠, ∴ , , ∴ ; 在图2中,设 交于点 ,根据折叠可得 , ∴ , 又∵ , ∴ , ∴ , ∴ ; ∴设 ,则 , 在 中, , ∴ , 解得: , ∴ ; 在图3中,∵ , ∴ , ∴ ; 在 中, , ∴ , ∴ , ∴ , ∴ ;∵ , ∴ ; 故答案为: . 19.(1)见分析;(2)6 【分析】本题考查了作图,平行线的性质和判定,轴对称的性质,勾股定理,熟练掌握基本作图以及 平行线的性质是解题的关键 (1)在 的上方作 ,在射线 上截取 ,使 ,点D即为所求; (2)过 A 作 于 H,设 交直线 于 G,分别求出 , 可得结论 解:(1)如图所示 (2)过 A 作 于 H,设 交直线 于 G, , , , , 由 , , 解得 , , 点C和点D关于直线 对称, , ,, , , 是线段 的垂直平分线, 在 中, , , , , 20. 或 【分析】本题考查坐标与轴对称,勾股定理.分点 在 轴正半轴上和点 在 轴负半轴上,两种情 况,进行求解即可.解题的关键是画出图形,利用数形结合和分类讨论的思想进行求解. 解:当点 在 轴正半轴上时,如图:设 交 轴于点 ,则:四边形 均为长方形, ∵长方形 的顶点A、C的坐标分别是 和 , ∴ , , , ∵翻折, ∴ , ,在 中, , ∴ , 设 ,则 , 在 中, , 即: , ∴ ,即: ; 当点 在 轴负半轴上时:如图 同法可得 , ∴ , 设 ,则 , 在 中, , 即: , ∴ ,即: , 综上: 或 . 21.(1)见分析;(2)2;(3) 【分析】(1)首先证得 ,利用全等三角形的判定定理即可得解; (2)利用全等三角形的性质可得 ,可得 ,由勾股定理可得 ,进一步计算可得结果;(3)由(1)得 ,可得 ,利用勾股定理得到 ,可得 , 进一步计算可得结果; 解:(1)证明:∵ , ∴ , ∵ , , ∴ , 又∵ 是等腰直角三角形, ∴ , 在 和 中 , ∴ ; (2)解:由(1)得 , ∴ , ∴ , 由勾股定理得, , ∵ , ∴ , 解得 ; (3)解:由(1)得 , , , 整理得 ,即 , ∴ , ∵ , ∴ ,∴ , ∴ , 在 中,由勾股定理得, , ∴ , ∴ , ∴ , ,解得 , 即 . 【点拨】本题主要考查了等腰直角三角形的性质,勾股定理和全等三角形的性质与判定,结合勾股定 理计算是解题的的关键. 22.(1)着火点 洒水影响,见分析;(2)着火点 能被扑灭,见分析 【分析】本题考查了勾股定理与勾股定理的逆定理的应用,等腰三角形的性质, (1)过点 作 ,垂足为 ,勾股定理的逆定理证明 是直角三角形,进而等面积法求 得 长度,与500进行比较即可求得答案; (2)以点 为圆心, 为半径作圆,交 于点 ,勾股定理求得 ,进而求得 的长,根 据飞机的速度得到飞行时间,再根据题意求得灭火时间,即可解决问题. (1)解:着火点C受洒水影响,理由如下, 如图,过点 作 ,垂足为 , , , , , , , 是直角三角形,, (米), , 着火点C受洒水影响 (2)解:如图,当 时,飞机正好喷到着火点 , , , 在 中, , , 飞机的速度为 , (秒), 14秒 13秒, 着火点 能被扑灭, 答:着火点 能被扑灭. 23.(1)见分析;(2) 【分析】本题考查了全等三角形的性质与判定,勾股定理,等腰三角形的性质; (1)先证明 可得 ,进而可得 ,再证明 ,即可得出结论; (2)根据(1)的方法,以 为边作 , , ,证明 ,根据已 知条件得出 是等腰直角三角形, , 中,勾股定理求得 ,进而根据 ,即可求解. 解:(1)证明:∵即 在 和 ∴ 即 ; (2)解:如图所示,以 为边作 , , , 同(1)可得 , ∴ , , ∴ 是等腰直角三角形, ∴ , , ∴ 在 中, ∴ ∴ , 故答案为: .24.(1)1;(2)12;(3) 区域的面积为2100平方米 【分析】本题考查了勾股定理的应用,全等三角形的判定和性质,角平分线的性质: (1)根据勾股定理求得 ,再由 ,即可得到答案; (2)过点D作 于点E,由角平分线的性质可得 , ,再根据勾股 定理求得 ,再证明 ,可得 ,再利用勾股定理建立方程求解即可; (3)过点D作 于点F,由 可知 平分 ,则 ,由勾股定理 求得 ,再证明 ,再利用勾股定理建立方程求得 ,进而求得 ,再利用三角形的面积 公式求解即可. (1)解: , , 在 中, , , , 故答案为:1; (2)解:过点D作 于点E,如图. 平分 , , , . , , , , . 设 ,则 , . 在 中, ,, 解得 ,即 的长为12. (3)解:过点D作 于点F,如图3. , 平分 , 米, (米). , , , , . 设 米,则 米, 米. 在 中, , ,解得 , (米), (平方米). 即区域的面积为2100平方米.