当前位置:首页>文档>第十一章三角形单元复习提升(易错与拓展)(教师版)_初中数学_八年级数学上册(人教版)_知识点汇总-U105_2024版

第十一章三角形单元复习提升(易错与拓展)(教师版)_初中数学_八年级数学上册(人教版)_知识点汇总-U105_2024版

  • 2026-04-11 05:36:48 2026-03-29 01:38:31

文档预览

第十一章三角形单元复习提升(易错与拓展)(教师版)_初中数学_八年级数学上册(人教版)_知识点汇总-U105_2024版
第十一章三角形单元复习提升(易错与拓展)(教师版)_初中数学_八年级数学上册(人教版)_知识点汇总-U105_2024版
第十一章三角形单元复习提升(易错与拓展)(教师版)_初中数学_八年级数学上册(人教版)_知识点汇总-U105_2024版
第十一章三角形单元复习提升(易错与拓展)(教师版)_初中数学_八年级数学上册(人教版)_知识点汇总-U105_2024版
第十一章三角形单元复习提升(易错与拓展)(教师版)_初中数学_八年级数学上册(人教版)_知识点汇总-U105_2024版
第十一章三角形单元复习提升(易错与拓展)(教师版)_初中数学_八年级数学上册(人教版)_知识点汇总-U105_2024版
第十一章三角形单元复习提升(易错与拓展)(教师版)_初中数学_八年级数学上册(人教版)_知识点汇总-U105_2024版
第十一章三角形单元复习提升(易错与拓展)(教师版)_初中数学_八年级数学上册(人教版)_知识点汇总-U105_2024版
第十一章三角形单元复习提升(易错与拓展)(教师版)_初中数学_八年级数学上册(人教版)_知识点汇总-U105_2024版
第十一章三角形单元复习提升(易错与拓展)(教师版)_初中数学_八年级数学上册(人教版)_知识点汇总-U105_2024版
第十一章三角形单元复习提升(易错与拓展)(教师版)_初中数学_八年级数学上册(人教版)_知识点汇总-U105_2024版
第十一章三角形单元复习提升(易错与拓展)(教师版)_初中数学_八年级数学上册(人教版)_知识点汇总-U105_2024版
第十一章三角形单元复习提升(易错与拓展)(教师版)_初中数学_八年级数学上册(人教版)_知识点汇总-U105_2024版
第十一章三角形单元复习提升(易错与拓展)(教师版)_初中数学_八年级数学上册(人教版)_知识点汇总-U105_2024版
第十一章三角形单元复习提升(易错与拓展)(教师版)_初中数学_八年级数学上册(人教版)_知识点汇总-U105_2024版
第十一章三角形单元复习提升(易错与拓展)(教师版)_初中数学_八年级数学上册(人教版)_知识点汇总-U105_2024版
第十一章三角形单元复习提升(易错与拓展)(教师版)_初中数学_八年级数学上册(人教版)_知识点汇总-U105_2024版
第十一章三角形单元复习提升(易错与拓展)(教师版)_初中数学_八年级数学上册(人教版)_知识点汇总-U105_2024版
第十一章三角形单元复习提升(易错与拓展)(教师版)_初中数学_八年级数学上册(人教版)_知识点汇总-U105_2024版
第十一章三角形单元复习提升(易错与拓展)(教师版)_初中数学_八年级数学上册(人教版)_知识点汇总-U105_2024版
第十一章三角形单元复习提升(易错与拓展)(教师版)_初中数学_八年级数学上册(人教版)_知识点汇总-U105_2024版
第十一章三角形单元复习提升(易错与拓展)(教师版)_初中数学_八年级数学上册(人教版)_知识点汇总-U105_2024版
第十一章三角形单元复习提升(易错与拓展)(教师版)_初中数学_八年级数学上册(人教版)_知识点汇总-U105_2024版
第十一章三角形单元复习提升(易错与拓展)(教师版)_初中数学_八年级数学上册(人教版)_知识点汇总-U105_2024版
第十一章三角形单元复习提升(易错与拓展)(教师版)_初中数学_八年级数学上册(人教版)_知识点汇总-U105_2024版
第十一章三角形单元复习提升(易错与拓展)(教师版)_初中数学_八年级数学上册(人教版)_知识点汇总-U105_2024版
第十一章三角形单元复习提升(易错与拓展)(教师版)_初中数学_八年级数学上册(人教版)_知识点汇总-U105_2024版
第十一章三角形单元复习提升(易错与拓展)(教师版)_初中数学_八年级数学上册(人教版)_知识点汇总-U105_2024版
第十一章三角形单元复习提升(易错与拓展)(教师版)_初中数学_八年级数学上册(人教版)_知识点汇总-U105_2024版
第十一章三角形单元复习提升(易错与拓展)(教师版)_初中数学_八年级数学上册(人教版)_知识点汇总-U105_2024版
第十一章三角形单元复习提升(易错与拓展)(教师版)_初中数学_八年级数学上册(人教版)_知识点汇总-U105_2024版

文档信息

文档格式
docx
文档大小
4.431 MB
文档页数
27 页
上传时间
2026-03-29 01:38:31

文档内容

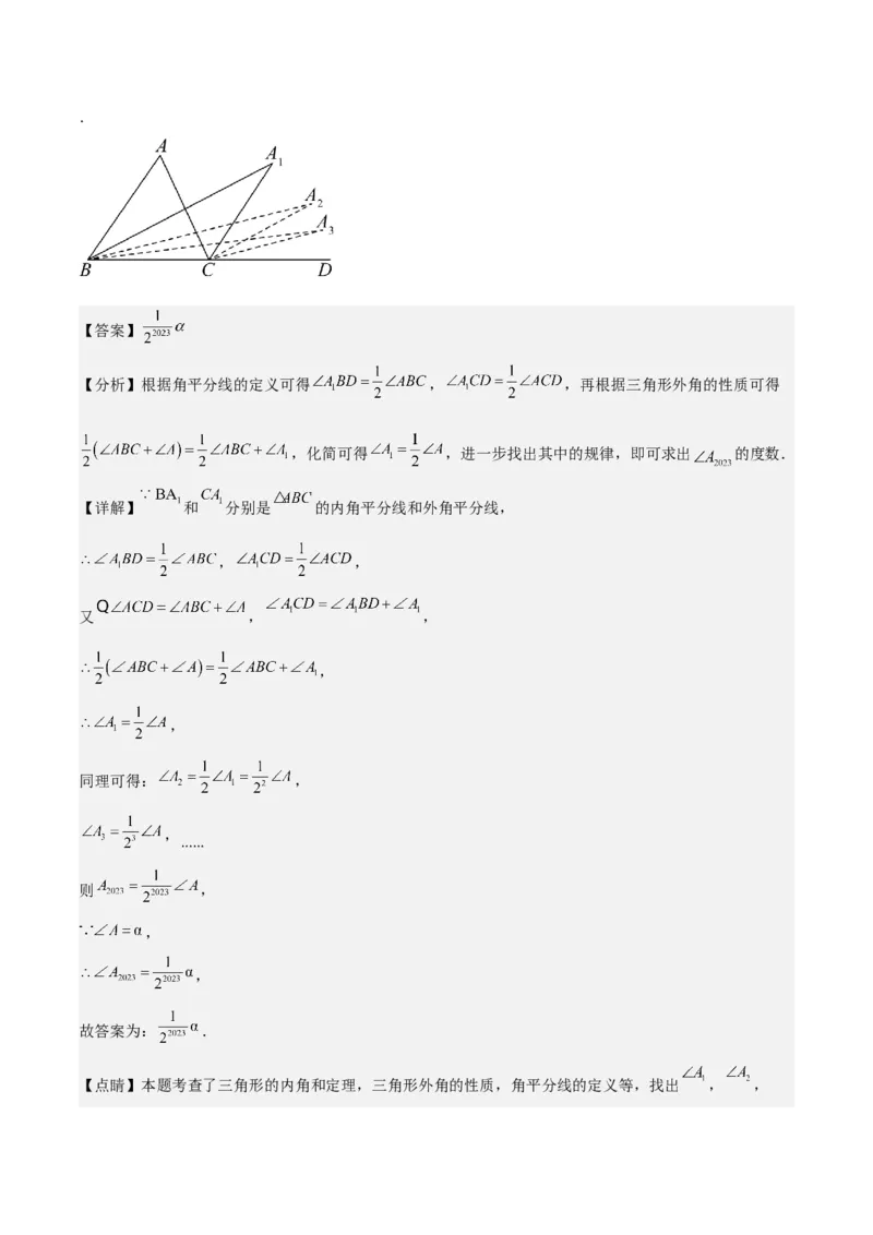
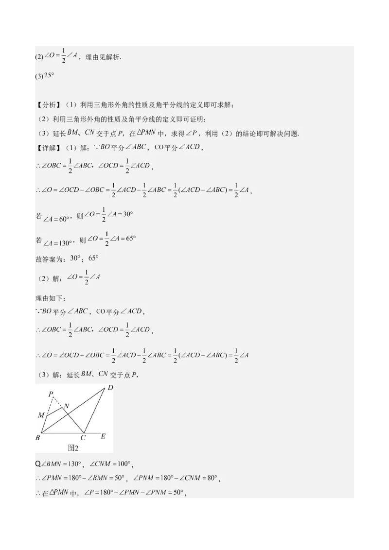
第十一章 三角形单元复习提升(四大易错与拓 展) 目录 ...............................................................................................................................................1 易错点1 判断钝角三角形某边上的高线是否正确.........................................................................................1 易错点2 三角形中折叠时图形未定产生多解漏解易错.................................................................................3 易错点3 多边形截角后的内角和问题..............................................................................................................8 易错点4 求一内角平分线与不相邻外角平分线的夹角...............................................................................10 ................................................................................................................................................15 易错点1 判断钝角三角形某边上的高线是否正确 例题:(2023秋·浙江杭州·八年级校考开学考试)下列各图中,正确画出 边上的高的是( ) A. B. C. D. 【答案】D 【分析】根据三角形高的定义判断即可得到答案. 【详解】解: 中 边上的高即为过点B作 的垂线段,该垂线段即为 边上的高,四个选项中 只有选项D符合题意, 故选:D. 【点睛】本题主要考查了三角形高线定义,解题的关键是熟知过三角形一个顶点作对边的垂线得到的线段 叫三角形的高. 【变式训练】 1.(2023春·黑龙江哈尔滨·七年级哈尔滨市第一一三中学校校考期中)下面四个图形中,线段 是 的高的图形是( )A. B. C. D. 【答案】D 【分析】根据三角形的高的定义逐项分析即可解答. 【详解】解:A.线段 是 的高,选项不符合题意; B.线段 是 的高,选项不符合题意; C.线段 是 的高,选项不符合题意; D.线段 是 的高,选项符合题意. 故选:D. 【点睛】本题考查三角形的高的定义,从三角形的一个顶点到它的对边作一条垂线,顶点到垂足之间的线 段叫做三角形的高. 2.(2023秋·甘肃庆阳·八年级统考期末)如图,在 中, 是钝角,下列图中作 边上的高线, 正确的是( ) A. B. C. D. 【答案】D 【分析】根据三角形的高的定义判断即可. 【详解】解:在 中, 是钝角, 边上的高线就是过点A作 边的垂线得到的线段,如图, 故选:D.【点睛】本题考查了三角形的高:从三角形的一个顶点向它的对边作垂线,垂足与顶点之间的线段叫做三 角形的高.掌握定义是解题的关键. 3.(2023·浙江·八年级假期作业)如图, , , ,点 , , 是垂足,下列 说法错误的是( ) A. 中, 是 边上的高 B. 中, 是 边上的高 C. 中, 是 边上的高 D. 中, 是 边上的高 【答案】B 【分析】根据三角形高的定义依次判断即可. 【详解】解:A、 中, 是 边上的高,故此选项正确,不符合题意; B、 中, 不是 边上的高,故此选项错误,符合题意; C、 中, 是 边上的高故此选项正确,不符合题意; D、 中, 是 边上的高,故此选项正确,不符合题意. 故选B. 【点睛】本题主要考查了三角形高的概念,应熟记三角形的高应具备的两个条件:①经过三角形的一个顶 点,②垂直于这个顶点的对边. 易错点2 三角形中折叠时图形未定产生多解漏解易错 例题:在 中, , ,点D是 边上一动点,将 沿直线 翻折,使点A 落在点E处,连接 交 于点F.当 是直角三角形时, 度数是 度. 【答案】 或【分析】分 和 ,两种情况进行求解即可. 【详解】解:当 时,如图,则: ∵折叠, ∴ , ∴ ; 当 时,如图,则: , ∵ , , ∴ , ∴ , ∴ , ∵折叠, ∴ , 综上: 的度数为 或 . 故答案为: 或 . 【点睛】本题考查折叠的性质,三角形的内角和定理.熟练掌握折痕是角平分线,是解题的关键. 【变式训练】1.如图,在三角形纸片 中, ,点 是边 上的动点,将三角形纸片沿 对折, 使点 落在点 处,当 时, 的度数为 . 【答案】 或 【分析】分两种情况考虑,利用对称的性质及三角形内角和等知识即可完成求解. 【详解】解:由折叠的性质得: ; ∵ , ∴ ; ①当 在 下方时,如图, ∵ , ∴ , ∴ ; ②当 在 上方时,如图, ∵ , ∴ , ∴ ;综上, 的度数为 或 ; 故答案为: 或 . 【点睛】本题考查了折叠的性质,三角形内角和,注意分类讨论. 2.如图,在三角形 中, ,点D为 边上一个动点,连接 ,把三角形 沿着 折叠,当 时,则 . 【答案】 或 【分析】根据题意分 在三角形 外部和 在三角形 内部两种情况讨论,分别根据折叠的性质 和角的和差求解即可. 【详解】解:当 在三角形 外部,如图: ∵ , , ∴ , ∵三角形 沿着 折叠, ∴∴ 当 在三角形 内部,如图: ∵ , , ∴ , ∵三角形 沿着 折叠, ∴ , ∵ . 故答案为: 或 . 【点睛】此题考查了折叠的性质,角的和差,解题的关键是熟练掌握以上知识点. 3.在“妙折生平 折纸与平行”的拓展课上,小潘老师布置了一个任务:如图,有一张三角形纸片 , , ,点 是 边上的固定点 ,请在 上找一点 ,将纸片沿 折叠 为折痕),点 落在点 处,使 与三角形 的一边平行,则 为 度. 【答案】35或75或125 【分析】分三种情况:①当 时,②当 时,根据折叠性质、平行线的性质得答案. 【详解】解:①当 时,由折叠可知, , , , , , , . ②当 时, , , , , ③当 时, , , , , 综上所述, 或 或 . 故答案为:35或75或125. 【点睛】此题考查的是翻折变换和平行线的性质,掌握其性质是解决此题的关键.易错点3 多边形截角后的内角和问题 例题:一个多边形截去一个角后,形成的新多边形的内角和是 ,则原多边形的边数是 . 【答案】17,18或19 【分析】根据多边形的内角和公式可得: ,求出新多边形的边数,然后再根据截去一 个角的情况进行讨论,计算即可. 【详解】解:设新多边形的边数为 , 则 , 解得: , 若截去一个角后边数增加1,则原多边形边数为19, 若截去一个角后边数减少1,则原多边形边数为17, 若截去一个角后边数不变,则原多边形边数为18, 则多边形的边数是17,18或19, 故答案为:17,18或19. 【点睛】本题主要考查了多边形的内角和公式 ( 且 是整数),注意要分情况进行讨论, 避免漏解. 【变式训练】 1.一个多边形剪去一个角后,内角和为 ,则原多边形是 边形. 【答案】 或 或 【分析】先求出新多边形的边数,再根据截去一个角后的多边形与原多边形的边数相等,多 ,少 三种情 况进行讨论. 【详解】解:设新多边形的边数是 ,则 , 解得 , 截去一个角后的多边形与原多边形的边数可以相等,多 或少 , 原多边形的边数是 或 或 . 故答案是: 或 或 . 【点睛】本题考查了多边形的内角和定理,难点在于截去一个角后的多边形与原多边形的边数相等,多 , 少 ,有这么三种情况. 2.一个多边形剪去一个内角后,得到一个内角和为2700°的新多边形,则原多边形的边数为 . 【答案】16或17或18 【分析】根据多边形的内角和公式先求出新多边形的边数,然后再根据截去一个角的情况进行讨论.【详解】解:设新多边形的边数为 , 则 , 解得 , ①若截去一个角后边数增加1,则原多边形边数为16, ②若截去一个角后边数不变,则原多边形边数为17, ③若截去一个角后边数减少1,则原多边形边数为18, 所以多边形的边数可以为16或17或18. 故答案为:16或17或18. 【点睛】本题主要考查了多边形的内角和公式.解题的关键是掌握多边形的内角和公式,注意要分情况进 行讨论,避免漏解. 3.(1)每个内角都相等的十边形的一个外角的度数为 ; (2)一个多边形过顶点剪去一个角后,所得多边形的内角和为720°,则原多边形的边数是 . 【答案】 36°/36度 6或7 【分析】(1)根据正多边形的每一个外角相等且所有的外角的度数和为360度求解即可. (2)求出新的多边形为6边形,则可推断原来的多边形可以是6边形,可以是7边形. 【详解】解:(1)一个十边形的每个外角都相等, ∴十边形的一个外角为360÷10=36°. 故答案为:36°; (2)设内角和为720°的多边形的边数是n,则(n﹣2)×180=720, 解得:n=6. ∵多边形过顶点截去一个角后边数不变或减少1, ∴原多边形的边数为6或7. 故答案为:6或7. 【点睛】此题考查了正多边形外角和多边形的内角和;解题的关键是熟练掌握多边形的内角和与多边形的 边数之间的关系,熟知正多边形外角与边数的关系式. 易错点4 求一内角平分线与不相邻外角平分线的夹角 例题:如图, 和 分别是 的内角平分线和外角平分线, 是 的角平分线, 是 的角平分线, 是 的角平分线, 是 的角平分线,若 ,则. 【答案】 【分析】根据角平分线的定义可得 , ,再根据三角形外角的性质可得 ,化简可得 ,进一步找出其中的规律,即可求出 的度数. 【详解】 和 分别是 的内角平分线和外角平分线, , , 又 , , , , 同理可得: , , 则 , , , 故答案为: . 【点睛】本题考查了三角形的内角和定理,三角形外角的性质,角平分线的定义等,找出 , ,与 的规律是解题的关键. 【变式训练】 1. 为 的一个外角, 、 的角平分线交于点 . (1)若 , ,则 ______; (2)若 ,则 ______; (3)若 ,则 ______; (4)若 ,则 ______; (5)你能找出 与 之间的数量关系吗?并证明. 【答案】(1) (2) (3) (4) (5) ,证明见解析 【分析】(1)由角平分线定义得到 , ,再由三角形外角的性 质即可得到答案; (2)由角平分线定义得到 , ,再由三角形外角的性质即可得到答案; (3)由角平分线定义得到 , ,由三角形外角的性质得到 ,则 ,再由三角形外角的性质得到 ; (4)由角平分线定义得到 , ,由三角形外角的性质得到 ,则 ,再由三角形外角的性质得到 ,即可得到; (5)由角平分线定义得到 , ,由三角形外角的性质得到 ,则 ,再由三角形外角的性质得到 ,即可得到 . 【详解】(1)解:∵ 、 的角平分线交于点 . , , ∴ , , ∵ 为 的一个外角, ∴ , 故答案为: (2)∵ 、 的角平分线交于点 . ∴ , , ∵ 为 的一个外角, , ∴ ; 故答案为: (3)∵ 、 的角平分线交于点 . ∴ , , ∵ , ∴ , ∵ 为 的一个外角, ∴ ; 故答案为: (4)∵ 、 的角平分线交于点 . ∴ , , ∵ , ∴ , ∵ 为 的一个外角,∴ , ∵ , ∴ , 故答案为: (5) , 证明如下:∵ 、 的角平分线交于点 . ∴ , , ∵ , ∴ , ∵ 为 的一个外角, ∴ , ∴ . 【点睛】此题考查了三角形外角的性质、角平分线的定义等知识,熟练掌握三角形外角的性质是解题的关 键. 2.问题情境: 如图1, 中, 平分 , 平分 . (1)探索发现: 若 ,则 的度数为______;若 ,则 的度数为______. (2)猜想证明: 试判断 与 的关系,并说明理由. (3)结论应用: 如图2,在四边形 中, 平分 ,且与四边形 的外角 的平分线 交于点D. 若 , ,则 的度数为______. 【答案】(1) ,(2) ,理由见解析. (3) 【分析】(1)利用三角形外角的性质及角平分线的定义即可求解; (2)利用三角形外角的性质及角平分线的定义即可证明; (3)延长 交于点P,在 中,求得 ,利用(2)的结论即可解决问题. 【详解】(1)解: 平分 , 平分 , , , 若 ,则 若 ,则 故答案为: ; (2)解: 理由如下: 平分 , 平分 , , (3)解:延长 交于点P, , , , , 在 中, ,由(1)结论得: 故答案为: 【点睛】此题考查了三角形外角的性质及角平分线的定义,灵活运用三角形外角的性质是解答此题的关键. _ 一、单选题 1.下列四个图中,正确画出 中 边上的高是( ) A. B. C. D. 【答案】C 【分析】从三角形一个顶点向它的对边所在直线画垂线,顶点和垂足间的线段叫做三角形的高,根据三角 形的高的定义逐一判断,即可得到答案. 【详解】解:根据三角形高线的定义, 边上的高是过点A向 作垂线,垂足为D, 纵观各图形,选项A、B、D都不符合题意,只有选项C符合题意, 故选:C. 【点睛】本题考查了三角形的高,正确理解三角形的高的定义是解题关键. 2.如图,在 中, 边上的高作法正确的是( ) A. B. C. D. 【答案】D 【分析】 中 边上的高线是过C点作 的垂线,据此判断即可. 【详解】解: 中 边上的高线是过C点作 的垂线,四个选项中只有D选项正确,符合题意.故选:D. 【点睛】本题主要考查了三角形高线的作法,正确把握相关定义是解题关键,经过三角形的顶点(与底相 对的点)向对边(底)作垂线,顶点和垂足之间的线段就是三角形的一条高. 二、填空题 3.如果剪掉四边形的一个角,那么所得多边形的内角和的度数可能是 . 【答案】 、 、 【分析】分四边形剪去一个角,边数减少1,不变,增加1,三种情况讨论求出所得多边形的内角和,即可 得解. 【详解】解:剪去一个角,若边数减少1,则内角和为:(3−2)•180°=180°, 若边数不变,则内角和为:(4−2)•180°=360°, 若边数增加1,则内角和为:(5−2)•180°=540°, 综上分析可知,四边形剪去一个角,所得多边形内角和的度数可能是180°,360°,540°. 故答案为:180°,360°,540°. 【点睛】本题主要考查了多边形的内角和,解题的关键是要注意剪去一个角有三种情况. 4.一个多边形截去一个角后,所形成的另一个多边形的内角和是2160°,则原多边形的边数是 . 【答案】13或14或15 【分析】先根据多边形的内角和公式(n﹣2)•180°求出截去一个角后的多边形的边数,再根据截去一个角 后边数增加1,不变,减少1讨论得解. 【详解】解:设多边形截去一个角的边数为n,根据题意得: (n﹣2)•180°=2160° 解得:n=14. ∵截去一个角后边上可以增加1,不变,减少1, ∴原多边形的边数是13或14或15. 故答案为13或14或15. 【点睛】本题考查了多边形的内角和公式,本题难点在于多边形截去一个角后边数有增加1,不变,减少1 三种情况. 5.如图,直角三角形 中, ,点 是 边上的一点,连接 ,将 沿 折叠,使点 落在点 处,当 是直角三角形时, 的度数为 .【答案】 或 / 或 【分析】分两种情况:当 时,根据直角三角形的性质可得 ,当 时,即 在 外时,由折叠可得: , , , 平分 ,即 . 【详解】解:分两种情况:如图, ①当 时, 由折叠得 , , ∴ , ∴A、E、D三点在同一条直线上,点 在 上时, ②当 时,即 在 外时,如图, 由折叠可得: , , , ,由折叠的性质可知: 平分 , , 不可能为直角. 故答案为 或 . 【点睛】本题考查折叠的性质,解本题要注意分类讨论.熟练掌握折叠的性质、直角三角形的性质和三角 形的内角和等基本知识点. 6.如图,Rt△ABC中,∠C=90°,∠A=30°,E,F分别是边AC,AB上的点,连接EF,将△AEF沿EF 折叠,得到 ,当 的边 与△ABC的一边平行时,∠AEF的度数是 . 【答案】30°或75°或120° 【分析】分三种情况讨论,利用翻折变换和平行线的性质可求∠AEF的度数. 【详解】解:如图1, 若 时, ∴ , ∵∠C=90°,∠A=30°, ∴ , ∵将△AEF沿EF折叠,得到 , ∴ , ∴∠BFE=180°﹣∠AFE, ∴∠AFE﹣60°=180°﹣∠AFE, ∴∠AFE=120°, ∴∠AEF=180°﹣120°﹣30°=30°;如图2,设 与AB交于点H, 若 时, ∴∠BCA=∠FHA=90°, ∴∠AFH=180°﹣∠AHF﹣∠A=180°﹣90°﹣30°=60°, ∵将△AEF沿着EF折叠, ∴ ; ∴∠AEF=180°﹣∠A﹣∠AFE=120°; 如图3, 若 时, ∴ , ∴ , ∵将△AEF沿着EF折叠, ∴ ; 综上所述:30°或75°或120°. 【点睛】本题是翻折变换,平行线的性质,利用分类讨论思想解决问题是本题的关键. 7.如图, , 分别是 的内角平分线和外角平分线, , 分别是 的内角平分线和外 角平分线, , 分别是 的内角平分线和外角平分线……以此类推,若 ,则 .【答案】 【分析】根据角平分线的性质可得 , ,再根据外角的性质和三 角形内角可得 , ,然后等量代换即可. 【详解】解:由题意可得: , , ∵ , , ∴ , ∴ , 同理可得 , …… ∵ , ∴ , ,…… , 故答案为: . 【点睛】本题考查了几何规律,涉及到角平分线的性质、三角形外角的性质等,灵活运用所学知识是关键. 三、解答题 8.(1)如图1,在 中, 的平分线和 的外角平分线交于点 ,若 ,求 的度数.(2)如图2,在四边形 中, 的平分线和 的外角平分线交于点 ,求 的度数. (3)如图3,若将(2)中“ ”改为“ ”,其余条件不变,直接写出 与 之间的数量关系. 【答案】(1) ;(2) ;(3) 【分析】(1)先根据角平分线的定义求出 , ,则由三角形外角的性质可得 ; (2)如图所示,延长 交 延长线于F,求出 ,则由三角形外角的性质可得 ,由角平分线的定义可得 , ,由三角形外角 的性质可得 ; (3)同(2)求解即可. 【详解】解:(1)∵ 平分 , ∴ , ∵ , ∴ ∵ 平分 , ∴ . ∴ .(2)如图所示,延长 交 延长线于F, ∵ , ∴ , ∵ , ∴ , ∵ 平分 , ∴ , ∵ 平分 , ∴ . ∵ , , ∴ ; (3)如图所示,延长 交 延长线于F, ∵ , ∴ , ∵ , ∴ , ∵ 平分 , ∴ , ∵ 平分 ,∴ . ∵ , , ∴ , ∴ . 【点睛】本题主要考查了三角形外角的性质,角平分线的定义,熟知三角形一个外角的度数等于与其不相 邻的两个内角的度数之和是解题的关键. 9.【结论探究】如图1,在 中, 的平分线 与外角 的平分线 相交于点P,则有 结论: . 请完成上述结论的证明过程: ∵ 平分 , ∴ ___________. ∵ 平分 , ∴ . ∵ ___________ , ∴ , ∵ , ∴ ___________ .请直接应用上面的结论解决下面问题: 【结论应用】如图2,在 中, , 的平分线 与外角 的平分线 相交于点 E,外角 的平分线 与 的延长线相交于点F,求 的度数. 【拓展应用】 如图3,已知四边形 与四边形 , 平分 , 平分外角 . ①若 ,则 ___________ ; ②若 ,则 ___________(用含β的代数式表示). 【答案】结论探究: ,A, ;结论应用: ;拓展应用:①211;② 【分析】结论探究:由角平分线的定义得到 , ,由三角形外角的性质得 到 , ,由此即可得到结论; 结论应用:①先利用角平分线的定义得到 ,再利用结论探究中的结论求出 , 由此即可利用三角形内角和定理求出答案; 拓展应用:①如图3,延长 交于M,延长 交于N,先利用三角形内角和定理和三角形外角 的性质得到 ,则 ,再由结论可得 ,同理可得 ; ②仿照拓展应用①的方法求解即可. 【详解】解:结论探究:∵ 平分 , ∴ . ∵ 平分 , ∴ . ∵ , ∴ , ∵ , ∴ . 故答案为: ,A, ; 结论应用:如图2,∵ 平分 , 平分外角 , ∴ , ∴ , ∴ , ∵ , ∴ ; 拓展应用: ①如图3,延长 交于M,延长 交于N, ∵ , ∴ , ∴ , ∵ 平分 , 平分外角 ∴ , ∴同理可得 , 故答案为:211; ②由①知 , ∴ , ∴ , ∵ ,∴ , ∴ . 故答案为: . 【点睛】本题主要考查了三角形内角和定理,三角形外角的性质,角平分线的定义,正确理解题意并熟练 掌握相关知识是解题的关键.