当前位置:首页>文档>专题04数列及求和(分层练)(解析版)_02高考数学_新高考复习资料_2024年新高考资料_二轮复习资料_高频考点解密2024年高考数学二轮复习高频考点追踪与预测(新高考专用)_分层练

专题04数列及求和(分层练)(解析版)_02高考数学_新高考复习资料_2024年新高考资料_二轮复习资料_高频考点解密2024年高考数学二轮复习高频考点追踪与预测(新高考专用)_分层练

  • 2026-04-08 00:43:05 2026-04-08 00:18:25

文档预览

专题04数列及求和(分层练)(解析版)_02高考数学_新高考复习资料_2024年新高考资料_二轮复习资料_高频考点解密2024年高考数学二轮复习高频考点追踪与预测(新高考专用)_分层练
专题04数列及求和(分层练)(解析版)_02高考数学_新高考复习资料_2024年新高考资料_二轮复习资料_高频考点解密2024年高考数学二轮复习高频考点追踪与预测(新高考专用)_分层练
专题04数列及求和(分层练)(解析版)_02高考数学_新高考复习资料_2024年新高考资料_二轮复习资料_高频考点解密2024年高考数学二轮复习高频考点追踪与预测(新高考专用)_分层练
专题04数列及求和(分层练)(解析版)_02高考数学_新高考复习资料_2024年新高考资料_二轮复习资料_高频考点解密2024年高考数学二轮复习高频考点追踪与预测(新高考专用)_分层练
专题04数列及求和(分层练)(解析版)_02高考数学_新高考复习资料_2024年新高考资料_二轮复习资料_高频考点解密2024年高考数学二轮复习高频考点追踪与预测(新高考专用)_分层练
专题04数列及求和(分层练)(解析版)_02高考数学_新高考复习资料_2024年新高考资料_二轮复习资料_高频考点解密2024年高考数学二轮复习高频考点追踪与预测(新高考专用)_分层练
专题04数列及求和(分层练)(解析版)_02高考数学_新高考复习资料_2024年新高考资料_二轮复习资料_高频考点解密2024年高考数学二轮复习高频考点追踪与预测(新高考专用)_分层练
专题04数列及求和(分层练)(解析版)_02高考数学_新高考复习资料_2024年新高考资料_二轮复习资料_高频考点解密2024年高考数学二轮复习高频考点追踪与预测(新高考专用)_分层练
专题04数列及求和(分层练)(解析版)_02高考数学_新高考复习资料_2024年新高考资料_二轮复习资料_高频考点解密2024年高考数学二轮复习高频考点追踪与预测(新高考专用)_分层练
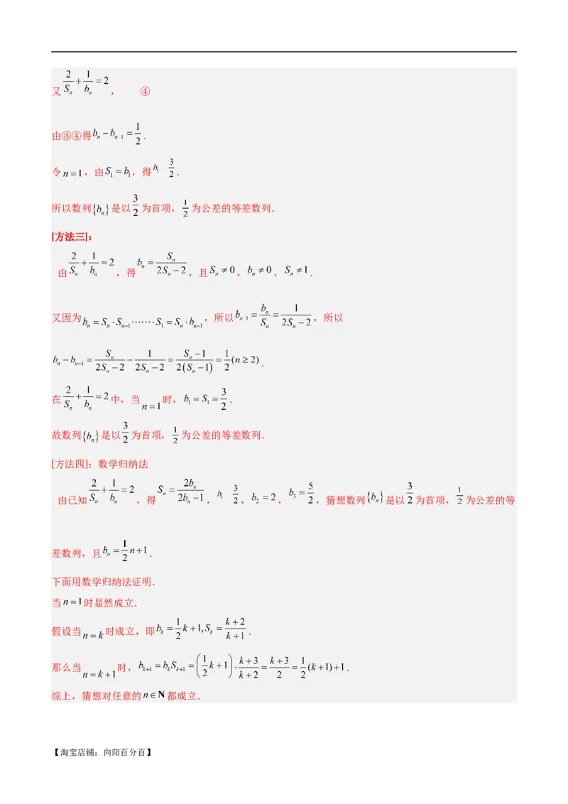
专题04数列及求和(分层练)(解析版)_02高考数学_新高考复习资料_2024年新高考资料_二轮复习资料_高频考点解密2024年高考数学二轮复习高频考点追踪与预测(新高考专用)_分层练
专题04数列及求和(分层练)(解析版)_02高考数学_新高考复习资料_2024年新高考资料_二轮复习资料_高频考点解密2024年高考数学二轮复习高频考点追踪与预测(新高考专用)_分层练
专题04数列及求和(分层练)(解析版)_02高考数学_新高考复习资料_2024年新高考资料_二轮复习资料_高频考点解密2024年高考数学二轮复习高频考点追踪与预测(新高考专用)_分层练
专题04数列及求和(分层练)(解析版)_02高考数学_新高考复习资料_2024年新高考资料_二轮复习资料_高频考点解密2024年高考数学二轮复习高频考点追踪与预测(新高考专用)_分层练
专题04数列及求和(分层练)(解析版)_02高考数学_新高考复习资料_2024年新高考资料_二轮复习资料_高频考点解密2024年高考数学二轮复习高频考点追踪与预测(新高考专用)_分层练
专题04数列及求和(分层练)(解析版)_02高考数学_新高考复习资料_2024年新高考资料_二轮复习资料_高频考点解密2024年高考数学二轮复习高频考点追踪与预测(新高考专用)_分层练
专题04数列及求和(分层练)(解析版)_02高考数学_新高考复习资料_2024年新高考资料_二轮复习资料_高频考点解密2024年高考数学二轮复习高频考点追踪与预测(新高考专用)_分层练
专题04数列及求和(分层练)(解析版)_02高考数学_新高考复习资料_2024年新高考资料_二轮复习资料_高频考点解密2024年高考数学二轮复习高频考点追踪与预测(新高考专用)_分层练
专题04数列及求和(分层练)(解析版)_02高考数学_新高考复习资料_2024年新高考资料_二轮复习资料_高频考点解密2024年高考数学二轮复习高频考点追踪与预测(新高考专用)_分层练
专题04数列及求和(分层练)(解析版)_02高考数学_新高考复习资料_2024年新高考资料_二轮复习资料_高频考点解密2024年高考数学二轮复习高频考点追踪与预测(新高考专用)_分层练
专题04数列及求和(分层练)(解析版)_02高考数学_新高考复习资料_2024年新高考资料_二轮复习资料_高频考点解密2024年高考数学二轮复习高频考点追踪与预测(新高考专用)_分层练
专题04数列及求和(分层练)(解析版)_02高考数学_新高考复习资料_2024年新高考资料_二轮复习资料_高频考点解密2024年高考数学二轮复习高频考点追踪与预测(新高考专用)_分层练
专题04数列及求和(分层练)(解析版)_02高考数学_新高考复习资料_2024年新高考资料_二轮复习资料_高频考点解密2024年高考数学二轮复习高频考点追踪与预测(新高考专用)_分层练
专题04数列及求和(分层练)(解析版)_02高考数学_新高考复习资料_2024年新高考资料_二轮复习资料_高频考点解密2024年高考数学二轮复习高频考点追踪与预测(新高考专用)_分层练
专题04数列及求和(分层练)(解析版)_02高考数学_新高考复习资料_2024年新高考资料_二轮复习资料_高频考点解密2024年高考数学二轮复习高频考点追踪与预测(新高考专用)_分层练
专题04数列及求和(分层练)(解析版)_02高考数学_新高考复习资料_2024年新高考资料_二轮复习资料_高频考点解密2024年高考数学二轮复习高频考点追踪与预测(新高考专用)_分层练
专题04数列及求和(分层练)(解析版)_02高考数学_新高考复习资料_2024年新高考资料_二轮复习资料_高频考点解密2024年高考数学二轮复习高频考点追踪与预测(新高考专用)_分层练
专题04数列及求和(分层练)(解析版)_02高考数学_新高考复习资料_2024年新高考资料_二轮复习资料_高频考点解密2024年高考数学二轮复习高频考点追踪与预测(新高考专用)_分层练
专题04数列及求和(分层练)(解析版)_02高考数学_新高考复习资料_2024年新高考资料_二轮复习资料_高频考点解密2024年高考数学二轮复习高频考点追踪与预测(新高考专用)_分层练
专题04数列及求和(分层练)(解析版)_02高考数学_新高考复习资料_2024年新高考资料_二轮复习资料_高频考点解密2024年高考数学二轮复习高频考点追踪与预测(新高考专用)_分层练
专题04数列及求和(分层练)(解析版)_02高考数学_新高考复习资料_2024年新高考资料_二轮复习资料_高频考点解密2024年高考数学二轮复习高频考点追踪与预测(新高考专用)_分层练
专题04数列及求和(分层练)(解析版)_02高考数学_新高考复习资料_2024年新高考资料_二轮复习资料_高频考点解密2024年高考数学二轮复习高频考点追踪与预测(新高考专用)_分层练
专题04数列及求和(分层练)(解析版)_02高考数学_新高考复习资料_2024年新高考资料_二轮复习资料_高频考点解密2024年高考数学二轮复习高频考点追踪与预测(新高考专用)_分层练
专题04数列及求和(分层练)(解析版)_02高考数学_新高考复习资料_2024年新高考资料_二轮复习资料_高频考点解密2024年高考数学二轮复习高频考点追踪与预测(新高考专用)_分层练
专题04数列及求和(分层练)(解析版)_02高考数学_新高考复习资料_2024年新高考资料_二轮复习资料_高频考点解密2024年高考数学二轮复习高频考点追踪与预测(新高考专用)_分层练
专题04数列及求和(分层练)(解析版)_02高考数学_新高考复习资料_2024年新高考资料_二轮复习资料_高频考点解密2024年高考数学二轮复习高频考点追踪与预测(新高考专用)_分层练
专题04数列及求和(分层练)(解析版)_02高考数学_新高考复习资料_2024年新高考资料_二轮复习资料_高频考点解密2024年高考数学二轮复习高频考点追踪与预测(新高考专用)_分层练
专题04数列及求和(分层练)(解析版)_02高考数学_新高考复习资料_2024年新高考资料_二轮复习资料_高频考点解密2024年高考数学二轮复习高频考点追踪与预测(新高考专用)_分层练
专题04数列及求和(分层练)(解析版)_02高考数学_新高考复习资料_2024年新高考资料_二轮复习资料_高频考点解密2024年高考数学二轮复习高频考点追踪与预测(新高考专用)_分层练
专题04数列及求和(分层练)(解析版)_02高考数学_新高考复习资料_2024年新高考资料_二轮复习资料_高频考点解密2024年高考数学二轮复习高频考点追踪与预测(新高考专用)_分层练
专题04数列及求和(分层练)(解析版)_02高考数学_新高考复习资料_2024年新高考资料_二轮复习资料_高频考点解密2024年高考数学二轮复习高频考点追踪与预测(新高考专用)_分层练
专题04数列及求和(分层练)(解析版)_02高考数学_新高考复习资料_2024年新高考资料_二轮复习资料_高频考点解密2024年高考数学二轮复习高频考点追踪与预测(新高考专用)_分层练
专题04数列及求和(分层练)(解析版)_02高考数学_新高考复习资料_2024年新高考资料_二轮复习资料_高频考点解密2024年高考数学二轮复习高频考点追踪与预测(新高考专用)_分层练
专题04数列及求和(分层练)(解析版)_02高考数学_新高考复习资料_2024年新高考资料_二轮复习资料_高频考点解密2024年高考数学二轮复习高频考点追踪与预测(新高考专用)_分层练
专题04数列及求和(分层练)(解析版)_02高考数学_新高考复习资料_2024年新高考资料_二轮复习资料_高频考点解密2024年高考数学二轮复习高频考点追踪与预测(新高考专用)_分层练
专题04数列及求和(分层练)(解析版)_02高考数学_新高考复习资料_2024年新高考资料_二轮复习资料_高频考点解密2024年高考数学二轮复习高频考点追踪与预测(新高考专用)_分层练

文档信息

文档格式
docx
文档大小
3.652 MB
文档页数
41 页
上传时间
2026-04-08 00:18:25

文档内容

专题验收评价 专题 4 数列及求和 内容概览 A·常考题不丢分 题型一 等差数列及性质 题型二 等比数列及性质 题型三 数列求和 题型四 数列情境题 C·挑战真题争满分 题型一 等差数列及性质 1.(2023·湖南郴州·统考一模)设数列 满足 且 是前 项和,且 ,则 ( ) A.2024 B.2023 C.1012 D.1011 【答案】C 【分析】根据题意和等差数列的定义和前n项求和公式, ,可得出 也为等差数列,从而得出答案. 【详解】由题意, , , 【淘宝店铺:向阳百分百】则数列 为等差数列,设公差为 , ,即 ,则 ,则 , 则 所以 , (常数),则 也为等差数列. 则数列 的公差为 . 所以 所以 . 故选:C 2.(2023·江西九江·统考一模)已知等差数列 的前 项和为 ,若 , ,则 ( ) A. B. C. D. 【答案】C 【分析】根据等差数列前 项和公式和通项公式即可求解. 【详解】由题意得 ,解得 , , 故选:C. 3.(2023·河南·统考模拟预测)设 是等差数列 的前n项和,若 ,则 ( ) A.15 B.30 C.45 D.60 【答案】C 【分析】根据等差数列的性质求出 ,再根据等差数列前n项和公式即可得解. 【详解】由题意得 ,所以 , 【淘宝店铺:向阳百分百】所以 . 故选:C. 4.(2023下·河南驻马店·高二校考阶段练习)设 , 分别是两个等差数列 , 的前n项和.若对 一切正整数n, 恒成立, ( ) A. B. C. D. 【答案】B 【分析】由已知和等差数列的性质,可得 . 【详解】由等差数列的性质,可得 . 故选:B 5.(2023·贵州黔东南·凯里一中校考模拟预测)等差数列 的公差为 ,前 项为 ,若数列 的 最大项是第20项和第21项,则 ( ) A.18 B.20 C.22 D.24 【答案】C 【分析】直接利用等差数列的性质,求得 ,进而求得结果. 【详解】由数列 的最大项是第20项和第21项,可得 , 即 ,解得 ,即 , 因为等差数列 的公差为 , 所以 ,解得 . 【淘宝店铺:向阳百分百】故选:C. 6.(2023·河南开封·校考模拟预测)已知 为等比数列, 是它的前 项和.若 ,且 与 的等差中项为 ,则 等于( ) A.37 B.35 C.31 D.29 【答案】C 【分析】根据等差中项及等比数列的通项公式求出公比,利用等比数列求和公式得解. 【详解】 , , 解得 , 与 的等差中项为 ,解得 , 设等比数列 的公比为 , 则 ,解得 , , , 故选:C. 题型二 等比数列及性质 1.(2023上·江苏无锡·高三锡东高中校考阶段练习)各项均为正数的等比数列 的前 项和为 ,且 成等差数列,若 ,则 ( ) A. 或15 B. 或 C.15 D. 【答案】C 【分析】根据条件先求解出 的值,然后根据等比数列前 项和公式求解出结果. 【详解】设等比数列的公比为 ,由题意可知 , 【淘宝店铺:向阳百分百】因为 成等差数列且 , 所以 , 所以 ,解得 或 (舍), 所以 , 故选:C. 2.(2023上·河南南阳·高三统考期中)已知正项数列 的前 项和为 ,且 满足 ,若 , ,则 ( ) A.3 B.4 C.9 D.16 【答案】C 【分析】由题设易知数列 为等比数列,设公比,应用等比数列前n项和公式求公比,进而求目标式的 值. 【详解】因为 ,所以数列 为等比数列,设公比为 , 则 ,得 ,解得 ( 舍去), 所以 . 故想:C 3.(2023上·四川雅安·高三校联考期中)已知等比数列 满足 ,则 ( ) A.1 B.3 C.4 D.15 【答案】B 【分析】根据题意结合等比数列的通项公式运算求解. 【淘宝店铺:向阳百分百】【详解】设 的公比为 , 因为 ,解得 , 所以 . 故选:B. 4.(2023·云南·怒江傈僳族自治州民族中学校联考一模)已知等比数列 的前 项和为 , , ,则 ( ) A.29 B.31 C.33 D.36 【答案】B 【分析】根据 , 可求出首项 ,公比 ,然后利用等比数列求和公式即可求解. 【详解】因为数列 是等比数列, , 所以 ,即 ,则 . 又因为 ,故有 . 所以 ,则 , 所有 ,所有 ,故B项正确. 故选:B. 5.(2023·湖南·校联考模拟预测)设 为数列 的前n项积,若 , ,且 , 当 取得最大值时, ( ) A.6 B.8 C.9 D.10 【淘宝店铺:向阳百分百】【答案】B 【分析】先求出等比数列的通项公式 ,然后求出积 ,整理后,结合指数函数性质、二次函数性质分析 得出结论. 【详解】由题易知, ,∵ ,∴ ,故 是公比为 的等比数列, ∵ ,∴ ,故 .∴ , ∴ , 要使 取得最大值,则 为偶数,且 取最小值, 由二次函数知识知,当 或9时, 取最小值,只有 ,使得 为偶数符合要求. 故选:B. 二、填空题 6.(2023·四川攀枝花·统考模拟预测)已知正项等差数列 的前 项和为 ,若 成等比数列, 则 的最小值为 . 【答案】 /12.5 【分析】根据给定的条件,利用等差数列性质求出 ,再表示出 ,并借助基本不等式求解即得. 【详解】由 成等比数列,得 ,即 ,则 , 而 ,因此 ,当且仅当 时取等号, 所以当 时, 取得最小值 . 故答案为: 【淘宝店铺:向阳百分百】题型三 数列求和 1.(2023上·天津·高三联考)已知 为数列 的前 项和,且 , . (1)求数列 的通项公式; (2)令 ,设数列 的前项和为 ,若 ,求 的最小值. 【答案】(1) ; (2)10 【分析】(1)根据数列递推式利用 之间的关系推出 ,结合等比数列定义以及等比数列通项 公式即可求得答案; (2)由(1)结果可得 的表达式,利用裂项法即可求得 表达式,解不等式即得答案. 【详解】(1)当 时, ,解得 , 又 ,所以 所以 ,即 , 又因为 ,所以 ,所以 , 所以数列 是以2为首项,2为公比的等比数列, 所以 ; (2)由(1)可得 , 【淘宝店铺:向阳百分百】所以 , 因为 ,即 , 所以 ,因为 ,所以 , 所以 的最小值为10. 2.(2023·河南新乡·统考一模)已知 是数列 的前 项和, . (1)若数列 为等差数列,求数列 的通项公式; (2)若 ,求数列 的前 项和 . 【答案】(1) (2) 【分析】(1)利用 可得出 ,再利用相减法得 , 结合等差数列的条件可得其公差,从而求得 后得出通项公式; (2)利用(1)中方法求得 ,然后用裂项相消法求和. 【详解】(1)当 时, ,即 . 因为 ,当 时, , 两式相减得 , 所以 ,两式相减得 . 因为数列 为等差数列,所以数列 的公差 , 【淘宝店铺:向阳百分百】又 ,所以 , 则 ,即数列 的通项公式为 . (2)因为 ,所以 , 由(1)可知 ,所以 , , . 3.(2023上·陕西西安·高三统考阶段练习)已知数列 的前n项和为 ,且 . (1)求 的通项公式; (2)记 ,求数列 的前n项和 . 【答案】(1) ; (2) . 【分析】(1)利用 关系,构造数列 及等比数列定义写出 的通项公式; (2)由(1)得 ,讨论 、 求前n项和 . 【详解】(1)当 ,则 ; 当 ,则 , 【淘宝店铺:向阳百分百】所以 ,而 ,则 是首项、公比为2的等比数列, 所以 ,且 也满足, 综上, . (2)由(1)得 , 当 时, , 当 时, . 所以 . 4.(2023上·黑龙江齐齐哈尔·高三统考阶段练习)已知数列 是公差为1的等差数列,且 , 数列 是等比数列,且 , . (1)求 和 的通项公式; (2)设 ,求数列 的前 项和 . 【答案】(1) , (2) 【分析】(1)根据等差等比数列的公式法求得通项; 【淘宝店铺:向阳百分百】(2)先求解 ,根据并项求和法得出结果. 【详解】(1)由题可知数列 是公差为1的等差数列,且 , 则 ,解得 , 所以 , 设等比数列 的公比为 ,且 , 则 解得 , 所以 , 所以 和 的通项公式为 . (2)由(1)得为 ,则 , 所以数列 的前 项和 . 5.(2023上·福建龙岩·高二校联考期中)已知数列 的前 项和是 ,且 . (1)证明: 是等比数列. (2)求数列 的前 项和 . 【答案】(1)证明见解析 【淘宝店铺:向阳百分百】(2) . 【分析】(1)先对 进行化简构造出 ,并结合等比数列定义可求解; (2)根据(1)求出 ,然后构造关于 的方程组并利用错位相减法可求解. 【详解】(1)证明:当 时, ,得: ; 当 时,得: , 将两式相减得: ,得: , 所以得:当 时, 是等比数列,通项公式为: , 当 , 也符合, 故可证:数列 为等比数列. (2)由(1)得: ,则得: , 则: ① ② ①-②得: , 化简得: . 所以:数列 的前 项和: . 6.(2023上·福建厦门·高三厦门外国语学校校考阶段练习)设 是数列 的前 项和,已知 【淘宝店铺:向阳百分百】(1)求 ,并证明: 是等比数列; (2)求满足 的所有正整数 . 【答案】(1) ,证明见解析 (2)1,2 【分析】(1)利用 代入计算即可求得 ,由等比数列定义可求得 ,即可得 出证明; (2)利用数列分组求和可得出 ,再利用二次函数及指数函数单调性即可求 得结果. 【详解】(1)由 可得 , 所以 , 可得 ; 由已知得 , 所以 , 其中 , 所以 是以 为首项, 为公比的等比数列; (2)由(1)知 , 【淘宝店铺:向阳百分百】所以 , 所以 , 所以 , 由二次函数及指数函数性质可知当 时, 单调递减, 其中 , 所以满足 的所有正整数 为1,2. 题型四 数列情境题 1.(2024·四川自贡·统考一模)南末数学家杨辉在《详解九章算法》和《算法通变本末》中,提出了一些 新的垛积公式,所讨论的高阶等差数列与一般等差数列不同,前后两项之差并不相等,但是逐项差数之差 或者高次差成等差数列.对这类高阶等差数列的研究,在杨辉之后一般称为“垛积术”.现有高阶等差数列, 其前 项分别为 ,则该数列的第 项( ) A. B. C. D. 【答案】D 【分析】根据“高阶等差数列”的定义求得第 项. 【详解】 , 【淘宝店铺:向阳百分百】设 , , 设 , 所以 ,所以 是首项为 ,公差为 的等差数列, 所以 ,即 , 所以 . 故选:D 2.(2023下·湖南·高二校联考期末)南宋数学家杨辉在《详解九章算术》中提出了高阶等差数列的问题, 即一个数列 本身不是等差数列,但从 数列中的第二项开始,每一项与前一项的差构成等差数列 (则称数列 为一阶等差数列),或者 仍旧不是等差数列,但从 数列中的第二项开始,每 一项与前一项的差构成等差数列 (则称数列 为二阶等差数列),依次类推,可以得到高阶等差数 列.类比高阶等差数列的定义,我们亦可定义高阶等比数列,设数列 :1,1,3,27,729…是一阶等比 数列,则 的值为(参考公式: )( ) A.60 B.120 C.240 D.480 【答案】B 【分析】设 ,则由题意可知 为等比数列,其中 , ,从而可求出 ,利用累 乘法可求出 ,从而可求出 ,然后利用分组求和法可求得结果. 【详解】由题意,数列1,1,3,27,729,…为 ,且为一阶等比数列, 【淘宝店铺:向阳百分百】设 ,所以 为等比数列,其中 , ,公比为 ,所以 , 则 , , 所以 , , 因为 , ,也适合上式,所以 , 所以 . 故选:B. 3.(2023上·广东·高三广州市第一中学统考阶段练习)17到19世纪间,数学家们研究了用连分式求解代 数方程的根,并得到连分式的一个重要功能:用其逼近实数求近似值.例如,把方程 改写成 ①,将 再代入等式右边得到 ,继续利用①式将 再代入等式右边得到 ……反复进行,取 时,由此得到数列 , , , , ,记作 ,则当 足够大 时, 逼近实数 .数列 的前2024项中,满足 的 的个数为(参考数据: ) A.1007 B.1009 C.2014 D.2018 【答案】D 【淘宝店铺:向阳百分百】【分析】作差讨论 的符号与 的关系,结合 可得 , ,然后 讨论奇数项和偶数项的单调性,再验证前8项哪些满足题意,结合单调性即可解答. 【详解】由题, , 且前8项为1,2, , , , , , , , 所以当 时, ; 当 时, . 又 ,所以 , . 因为 , 其中 , 所以 , 所以 , , 所以 , , 又因为 , 【淘宝店铺:向阳百分百】所以不满足 的分别为 , , , , , , . 故选:D. 【点睛】本题难点在于作差讨论 的符号与 的关系,从而得到 , ,这 对学生的思维能力有很高的要求,不易想到,但结合本题目标分析,似乎又是理所当然. 4.(2023·湖南长沙·长沙一中校考模拟预测)等比数列的历史由来已久,我国古代数学文献《孙子算经》、 《九章算术》、《算法统宗》中都有相关问题的记载.现在我们不仅可以通过代数计算来研究等比数列, 还可以构造出等比数列的图象,从图形的角度更为直观的认识它.以前n项和为 ,且 , 的 等比数列 为例,先画出直线OQ: ,并确定x轴上一点 ,过点 作y轴的平行线,交直 线OQ于点 ,则 .再过点 作平行于x轴,长度等于 的线段 ,……,不断重复上述步 骤,可以得到点列 , 和 .下列说法错误的是( ) A. B. C.点 的坐标为 D. 【答案】D 【淘宝店铺:向阳百分百】【分析】根据题设描述,确定题图中相关线段的数量关系,结合直线斜率定义、等比数列前n项和判断各 项的正误即可. 【详解】选项A,由题设及图象知: ,故正确; 选项B,因为 表示直线OQ: 斜率,即为q,故正确; 选项C,点 的横坐标为 ,故正确; 选项D,由 , 而 , ,则 , 又△ 为等腰直角三角形,即 , 综上, ,故错误. 故选:D 5.(2023·安徽黄山·统考三模)黄山市歙县三阳镇叶村历史民俗“叠罗汉”已被列入省级非物质文化遗产 保护项目,至今已有500多年的历史,表演时由二人以上的人层层叠成各种样式,魅力四射,光彩夺目, 好看又壮观.小明同学在研究数列 时,发现其递推公式 就可以利用“叠罗汉”的 思想来处理,即 ,如果该数列 的前两项分别为 ,其前 项和 记为 ,若 ,则 ( ) 【淘宝店铺:向阳百分百】A. B. C. D. 【答案】D 【分析】根据 ,得 ,将 中每一项逐一拆解,即可求解. 【详解】解:由 得, 所以 , .故选:D. 一、单选题 1.(2023·全国·Ⅰ卷)记 为数列 的前 项和,设甲: 为等差数列;乙: 为等差数列,则 ( ) A.甲是乙的充分条件但不是必要条件 B.甲是乙的必要条件但不是充分条件 C.甲是乙的充要条件 D.甲既不是乙的充分条件也不是乙的必要条件 【答案】C 【淘宝店铺:向阳百分百】【分析】利用充分条件、必要条件的定义及等差数列的定义,再结合数列前n项和与第n项的关系推理判 断作答., 【详解】方法1,甲: 为等差数列,设其首项为 ,公差为 , 则 , 因此 为等差数列,则甲是乙的充分条件; 反之,乙: 为等差数列,即 为常数,设为 , 即 ,则 ,有 , 两式相减得: ,即 ,对 也成立, 因此 为等差数列,则甲是乙的必要条件, 所以甲是乙的充要条件,C正确. 方法2,甲: 为等差数列,设数列 的首项 ,公差为 ,即 , 则 ,因此 为等差数列,即甲是乙的充分条件; 反之,乙: 为等差数列,即 , 即 , , 当 时,上两式相减得: ,当 时,上式成立, 于是 ,又 为常数, 因此 为等差数列,则甲是乙的必要条件, 所以甲是乙的充要条件. 故选:C 2.(2022·全国·统考高考乙卷)已知等比数列 的前3项和为168, ,则 ( ) A.14 B.12 C.6 D.3 【淘宝店铺:向阳百分百】【答案】D 【分析】设等比数列 的公比为 ,易得 ,根据题意求出首项与公比,再根据等比数列的通 项即可得解. 【详解】解:设等比数列 的公比为 , 若 ,则 ,与题意矛盾, 所以 , 则 ,解得 , 所以 . 故选:D. 3.(2021·全国·高考甲卷)记 为等比数列 的前n项和.若 , ,则 ( ) A.7 B.8 C.9 D.10 【答案】A 【分析】根据题目条件可得 , , 成等比数列,从而求出 ,进一步求出答案. 【详解】∵ 为等比数列 的前n项和, ∴ , , 成等比数列 ∴ , ∴ , ∴ . 故选:A. 4.(2021·全国·统考高考甲卷)等比数列 的公比为q,前n项和为 ,设甲: ,乙: 是递增 数列,则( ) 【淘宝店铺:向阳百分百】A.甲是乙的充分条件但不是必要条件 B.甲是乙的必要条件但不是充分条件 C.甲是乙的充要条件 D.甲既不是乙的充分条件也不是乙的必要条件 【答案】B 【分析】当 时,通过举反例说明甲不是乙的充分条件;当 是递增数列时,必有 成立即可说 明 成立,则甲是乙的必要条件,即可选出答案. 【详解】由题,当数列为 时,满足 , 但是 不是递增数列,所以甲不是乙的充分条件. 若 是递增数列,则必有 成立,若 不成立,则会出现一正一负的情况,是矛盾的,则 成立,所以甲是乙的必要条件. 故选:B. 二、填空题 5.(2022·全国·统考高考乙卷)记 为等差数列 的前n项和.若 ,则公差 . 【答案】2 【分析】转化条件为 ,即可得解. 【详解】由 可得 ,化简得 , 即 ,解得 . 故答案为:2. 三、问解答 6.(2023·全国·统考高考Ⅰ卷)设等差数列 的公差为 ,且 .令 ,记 分别为数 【淘宝店铺:向阳百分百】列 的前 项和. (1)若 ,求 的通项公式; (2)若 为等差数列,且 ,求 . 【答案】(1) (2) 【详解】(1) , ,解得 , , 又 , , 即 ,解得 或 (舍去), . (2) 为等差数列, ,即 , ,即 ,解得 或 , , , 又 ,由等差数列性质知, ,即 , ,即 ,解得 或 (舍去) 当 时, ,解得 ,与 矛盾,无解; 当 时, ,解得 . 综上, . 【淘宝店铺:向阳百分百】7.(2023·全国·统考高考乙卷)记 为等差数列 的前 项和,已知 . (1)求 的通项公式; (2)求数列 的前 项和 . 【答案】(1) (2) 【分析】(1)根据题意列式求解 ,进而可得结果; (2)先求 ,讨论 的符号去绝对值,结合 运算求解. 【详解】(1)设等差数列的公差为 , 由题意可得 ,即 ,解得 , 所以 , (2)因为 , 令 ,解得 ,且 , 当 时,则 ,可得 ; 当 时,则 ,可得 ; 综上所述: . 【淘宝店铺:向阳百分百】8.(2023·全国·统考高考甲卷)设 为数列 的前n项和,已知 . (1)求 的通项公式; (2)求数列 的前n项和 . 【答案】(1) (2) 【分析】(1)根据 即可求出; (2)根据错位相减法即可解出. 【详解】(1)因为 , 当 时, ,即 ; 当 时, ,即 , 当 时, ,所以 , 化简得: ,当 时, ,即 , 当 时都满足上式,所以 . (2)因为 ,所以 , , 两式相减得, 【淘宝店铺:向阳百分百】, ,即 , . 9.(2021·全国·统考高考Ⅰ卷)已知数列 满足 , (1)记 ,写出 , ,并求数列 的通项公式; (2)求 的前20项和. 【答案】(1) ;(2) . 【分析】(1)方法一:由题意结合递推关系式确定数列 的特征,然后求和其通项公式即可; (2)方法二:分组求和,结合等差数列前 项和公式即可求得数列的前20项和. 【详解】解:(1)[方法一]【最优解】: 显然 为偶数,则 , 所以 ,即 ,且 , 所以 是以2为首项,3为公差的等差数列, 于是 . [方法二]:奇偶分类讨论 由题意知 ,所以 . 由 ( 为奇数)及 ( 为偶数)可知, 数列从第一项起, 若 为奇数,则其后一项减去该项的差为1, 若 为偶数,则其后一项减去该项的差为2. 【淘宝店铺:向阳百分百】所以 ,则 . [方法三]:累加法 由题意知数列 满足 . 所以 , , 则 . 所以 ,数列 的通项公式 . (2)[方法一]:奇偶分类讨论 . [方法二]:分组求和 由题意知数列 满足 , 所以 . 所以数列 的奇数项是以1为首项,3为公差的等差数列; 同理,由 知数列 的偶数项是以2为首项,3为公差的等差数列. 从而数列 的前20项和为: . 【整体点评】(1)方法一:由题意讨论 的性质为最一般的思路和最优的解法; 方法二:利用递推关系式分类讨论奇偶两种情况,然后利用递推关系式确定数列的性质; 方法三:写出数列 的通项公式,然后累加求数列 的通项公式,是一种更加灵活的思路. 【淘宝店铺:向阳百分百】(2)方法一:由通项公式分奇偶的情况求解前 项和是一种常规的方法; 方法二:分组求和是常见的数列求和的一种方法,结合等差数列前 项和公式和分组的方法进行求和是一 种不错的选择. 10.(2021·全国·统考高考真题)记 是公差不为0的等差数列 的前n项和,若 . (1)求数列 的通项公式 ; (2)求使 成立的n的最小值. 【答案】(1) ;(2)7. 【分析】(1)由题意首先求得 的值,然后结合题意求得数列的公差即可确定数列的通项公式; (2)首先求得前n项和的表达式,然后求解二次不等式即可确定n的最小值. 【详解】(1)由等差数列的性质可得: ,则: , 设等差数列的公差为 ,从而有: , , 从而: ,由于公差不为零,故: , 数列的通项公式为: . (2)由数列的通项公式可得: ,则: , 则不等式 即: ,整理可得: , 解得: 或 ,又 为正整数,故 的最小值为 . 【点睛】等差数列基本量的求解是等差数列中的一类基本问题,解决这类问题的关键在于熟练掌握等差数 列的有关公式并能灵活运用. 11.(2021·全国·Ⅱ卷)记 为数列 的前n项和.已知 . (1)证明: 是等差数列; 【淘宝店铺:向阳百分百】(2)若 成等比数列,求 的最小值. 【答案】(1)证明见解析; (2) . 【分析】(1)依题意可得 ,根据 ,作差即可得到 ,从而 得证; (2)法一:由(1)及等比中项的性质求出 ,即可得到 的通项公式与前 项和,再根据二次函数的 性质计算可得. 【详解】(1)因为 ,即 ①, 当 时, ②, ① ②得, , 即 , 即 ,所以 , 且 , 所以 是以 为公差的等差数列. (2)[方法一]:二次函数的性质 由(1)可得 , , , 又 , , 成等比数列,所以 , 即 ,解得 , 所以 ,所以 , 所以,当 或 时, . 【淘宝店铺:向阳百分百】[方法二]:【最优解】邻项变号法 由(1)可得 , , , 又 , , 成等比数列,所以 , 即 ,解得 , 所以 ,即有 . 则当 或 时, . 【整体点评】(2)法一:根据二次函数的性质求出 的最小值,适用于可以求出 的表达式; 法二:根据邻项变号法求最值,计算量小,是该题的最优解. 12.(2021·全国·统考高考乙卷)设 是首项为1的等比数列,数列 满足 .已知 , , 成等差数列. (1)求 和 的通项公式; (2)记 和 分别为 和 的前n项和.证明: . 【答案】(1) , ;(2)证明见解析. 【分析】(1)利用等差数列的性质及 得到 ,解方程即可; (2)利用公式法、错位相减法分别求出 ,再作差比较即可. 【详解】(1)因为 是首项为1的等比数列且 , , 成等差数列, 所以 ,所以 , 即 ,解得 ,所以 , 【淘宝店铺:向阳百分百】所以 . (2)[方法一]:作差后利用错位相减法求和 , , . 设 , ⑧ 则 . ⑨ 由⑧-⑨得 . 所以 . 因此 . 故 . [方法二]【最优解】:公式法和错位相减求和法 证明:由(1)可得 , ,① ,② 【淘宝店铺:向阳百分百】① ②得 , 所以 , 所以 , 所以 . [方法三]:构造裂项法 由(Ⅰ)知 ,令 ,且 ,即 , 通过等式左右两边系数比对易得 ,所以 . 则 ,下同方法二. [方法四]:导函数法 设 , 由于 , 则 . 又 , 【淘宝店铺:向阳百分百】所以 ,下同方法二. 【整体点评】本题主要考查数列的求和,涉及到等差数列的性质,错位相减法求数列的和,考查学生的数 学运算能力,是一道中档题,其中证明不等式时采用作差法,或者作商法要根据式子得结构类型灵活选择, 关键是要看如何消项化简的更为简洁. (2)的方法一直接作差后利用错位相减法求其部分和,进而证得结论; 方法二根据数列的不同特点,分别利用公式法和错位相减法求得 ,然后证得结论,为最优解; 方法三采用构造数列裂项求和的方法,关键是构造 ,使 ,求得 的表达式, 这是错位相减法的一种替代方法, 方法四利用导数方法求和,也是代替错位相减求和法的一种方法. 13.(2021·全国·统考高考乙卷)记 为数列 的前n项和, 为数列 的前n项积,已知 . (1)证明:数列 是等差数列; (2)求 的通项公式. 【答案】(1)证明见解析;(2) . 【分析】(1)由已知 得 ,且 ,取 ,得 ,由题意得 【淘宝店铺:向阳百分百】,消积得到项的递推关系 ,进而证明数列 是等差数列; (2)由(1)可得 的表达式,由此得到 的表达式,然后利用和与项的关系求得 . 【详解】(1)[方法一]: 由已知 得 ,且 , , 取 ,由 得 , 由于 为数列 的前n项积, 所以 , 所以 , 所以 , 由于 所以 ,即 ,其中 所以数列 是以 为首项,以 为公差等差数列; [方法二]【最优解】: 由已知条件知 ① 于是 . ② 由①②得 . ③ 【淘宝店铺:向阳百分百】又 , ④ 由③④得 . 令 ,由 ,得 . 所以数列 是以 为首项, 为公差的等差数列. [方法三]: 由 ,得 ,且 , , . 又因为 ,所以 ,所以 . 在 中,当 时, . 故数列 是以 为首项, 为公差的等差数列. [方法四]:数学归纳法 由已知 ,得 , , , ,猜想数列 是以 为首项, 为公差的等 差数列,且 . 下面用数学归纳法证明. 当 时显然成立. 假设当 时成立,即 . 那么当 时, . 综上,猜想对任意的 都成立. 【淘宝店铺:向阳百分百】即数列 是以 为首项, 为公差的等差数列. (2) 由(1)可得,数列 是以 为首项,以 为公差的等差数列, , , 当n=1时, , 当n≥2时, ,显然对于n=1不成立, ∴ . 【整体点评】(1)方法一从 得 ,然后利用 的定义,得到数列 的递推关系,进 而替换相除消项得到相邻两项的关系,从而证得结论; 方法二先从 的定义,替换相除得到 ,再结合 得到 ,从而证得结论,为最优 解; 方法三由 ,得 ,由 的定义得 ,进而作差证得结论;方法四利用 归纳猜想得到数列 ,然后利用数学归纳法证得结论. (2)由(1)的结论得到 ,求得 的表达式,然后利用和与项的关系求得 的通项公式; 14.(2021·全国·统考高考甲卷)已知数列 的各项均为正数,记 为 的前n项和,从下面①②③ 【淘宝店铺:向阳百分百】中选取两个作为条件,证明另外一个成立. ①数列 是等差数列:②数列 是等差数列;③ . 注:若选择不同的组合分别解答,则按第一个解答计分. 【答案】证明过程见解析 【分析】选①②作条件证明③时,可设出 ,结合 的关系求出 ,利用 是等差数列可证 ;也可分别设出公差,写出各自的通项公式后利用两者的关系,对照系数,得到等量关系,进行证 明. 选①③作条件证明②时,根据等差数列的求和公式表示出 ,结合等差数列定义可证; 选②③作条件证明①时,设出 ,结合 的关系求出 ,根据 可求 ,然后可证 是等差数列;也可利用前两项的差求出公差,然后求出通项公式,进而证明出结论. 【详解】选①②作条件证明③: [方法一]:待定系数法+ 与 关系式 设 ,则 , 当 时, ; 当 时, ; 因为 也是等差数列,所以 ,解得 ; 所以 , ,故 . [方法二] :待定系数法 设等差数列 的公差为d,等差数列 的公差为 , 则 ,将 代入 , 【淘宝店铺:向阳百分百】化简得 对于 恒成立. 则有 ,解得 .所以 . 选①③作条件证明②: 因为 , 是等差数列, 所以公差 , 所以 ,即 , 因为 , 所以 是等差数列. 选②③作条件证明①: [方法一]:定义法 设 ,则 , 当 时, ; 当 时, ; 因为 ,所以 ,解得 或 ; 当 时, ,当 时, 满足等差数列的定义,此时 为等差数列; 当 时, , 不合题意,舍去. 综上可知 为等差数列. [方法二]【最优解】:求解通项公式 因为 ,所以 , ,因为 也为等差数列,所以公差 【淘宝店铺:向阳百分百】,所以 ,故 ,当 时, ,当 时,满足上式,故 的通项公式为 ,所 以 , ,符合题意. 【淘宝店铺:向阳百分百】