当前位置:首页>文档>七年级数学第三次月考卷(参考答案)(北师大版)_北师大初中数学_7下-北师大版初中数学_7下-初中数学北师大版(2025春季新版)持续更新_6.习题试卷_月考试卷

七年级数学第三次月考卷(参考答案)(北师大版)_北师大初中数学_7下-北师大版初中数学_7下-初中数学北师大版(2025春季新版)持续更新_6.习题试卷_月考试卷

  • 2026-04-12 15:36:50 2026-04-12 15:22:26

文档预览

七年级数学第三次月考卷(参考答案)(北师大版)_北师大初中数学_7下-北师大版初中数学_7下-初中数学北师大版(2025春季新版)持续更新_6.习题试卷_月考试卷
七年级数学第三次月考卷(参考答案)(北师大版)_北师大初中数学_7下-北师大版初中数学_7下-初中数学北师大版(2025春季新版)持续更新_6.习题试卷_月考试卷
七年级数学第三次月考卷(参考答案)(北师大版)_北师大初中数学_7下-北师大版初中数学_7下-初中数学北师大版(2025春季新版)持续更新_6.习题试卷_月考试卷
七年级数学第三次月考卷(参考答案)(北师大版)_北师大初中数学_7下-北师大版初中数学_7下-初中数学北师大版(2025春季新版)持续更新_6.习题试卷_月考试卷
七年级数学第三次月考卷(参考答案)(北师大版)_北师大初中数学_7下-北师大版初中数学_7下-初中数学北师大版(2025春季新版)持续更新_6.习题试卷_月考试卷
七年级数学第三次月考卷(参考答案)(北师大版)_北师大初中数学_7下-北师大版初中数学_7下-初中数学北师大版(2025春季新版)持续更新_6.习题试卷_月考试卷
七年级数学第三次月考卷(参考答案)(北师大版)_北师大初中数学_7下-北师大版初中数学_7下-初中数学北师大版(2025春季新版)持续更新_6.习题试卷_月考试卷
七年级数学第三次月考卷(参考答案)(北师大版)_北师大初中数学_7下-北师大版初中数学_7下-初中数学北师大版(2025春季新版)持续更新_6.习题试卷_月考试卷
七年级数学第三次月考卷(参考答案)(北师大版)_北师大初中数学_7下-北师大版初中数学_7下-初中数学北师大版(2025春季新版)持续更新_6.习题试卷_月考试卷
七年级数学第三次月考卷(参考答案)(北师大版)_北师大初中数学_7下-北师大版初中数学_7下-初中数学北师大版(2025春季新版)持续更新_6.习题试卷_月考试卷

文档信息

文档格式
docx
文档大小
0.275 MB
文档页数
6 页
上传时间
2026-04-12 15:22:26

文档内容

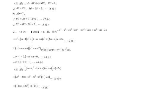
2024-2025 学年七年级数学下学期第三次月考卷 参考答案 一、选择题(本大题共12小题,每小题3分,满分36分.在每个小题给出的四个选项中,只有一项符合 题目要求的) 1 2 3 4 5 6 7 8 9 10 11 12 C B D D D C A B A D D C 第二部分(非选择题 共84分) 二、填空题(本大题共4小题,每小题3分,满分12分) 13. 14. 15.②④ 16. 或 三、解答题(本大题共8小题,满分72分.解答应写出文字说明,证明过程或演算步骤) 17.(7分)【详解】(1)解:由三角形三边之间的关系可得: ,···(1分) 即: ,···(2分) ,···(3分) 第三边 的取值范围为 ;···(4分) (2)解: 第三边 为奇数,且 , ,···(5分) ,···(6分) 是等腰三角形.···(7分) 18.(8分)【详解】(1)证明: , ,·····(1分) , ,·····(2分) .·····(3分) (2)解: , 1 / 6 学科网(北京)股份有限公司,·····(4分) , .·····(5分) ,·····(6分) , .·····(8分) 19.(8分)【详解】(1)解:由题意得: 为 和 的平分线, ∴ , ,····(1分) 在 中, , ∴ ····(2分) ;····(4分) (2)解:连接 ,····(5分) ∵ 为 角平分线的交点, ∴由角平分线的性质定理可证 到三边的距离相等,····(6分) ∴ , ∴ ,即 ,····(7分) 解得, .····(8分) 20.(8分)【详解】(1)证明:∵ , ∴ , ∴ ;···(1分) ∵ , 2 / 6 学科网(北京)股份有限公司∴ ,···(2分) ∴ ;···(3分) 在 和 中, , ∴ ;···(5分) (2)解:∵ , , ∴ , ,···(6分) ∵ , ∴ ,···(7分) ∴ .···(8分) 21.(8分).【详解】(1)解:原式 ···(2分) 的展开式中不含 和 项, ,···(4分) .···(4分) (2)解: ···(5分) ···(6分) .···(7分) 把 代入,得原式 .···(8分) 22.(9分)【详解】(1)解:补全表格如下: 摸球次数 40 80 120 160 200 240 280 320 360 400 出现红球的频 14 23 38 56 68 84 90 112 126 135 数 3 / 6 学科网(北京)股份有限公司出现红球的频 0.35 0.29 0.32 0.35 0.34 0.35 0.32 0.35 0.35 0.34 率 出现白球的频 26 57 82 104 132 156 190 208 234 265 数 出现白球的频 0.65 0.71 0.68 0.65 0.66 0.65 0.68 0.65 0.65 0.66 率 ······(4分) (2)解:在图中画出出现红球的频率的折线统计图如下: ······(5分) (3)解:观察图表,出现红球的概率估计值为0.34,出现白球的概率估计值为0.66, 故答案为:0.34,0.66;······(6分) (4)解:如果重复试验400次,再将出现红球的频率绘成折线统计图,两幅图不会完全相同,因为每次的 试验都是随机的,不能确保两次试验完全一致;······(8分) 两幅图有类似的地方,随着试验次数的增加,红球频率最终稳定数值基本相同.······(9分) 23.(11分)【详解】(1)解: 由题意可知答案为:SSS(边边边)······(2分) (2)证明:由作图可知: , ,又 , ∴ ,······(3分) ∴ ,······(4分) ∵ ∴ ,又 ,······(5分) ∴ ,······(7分) ∴ ,又 , ,······(8分) ∴ ,······(9分) ∴ ,······(10分) 4 / 6 学科网(北京)股份有限公司∴ 平分 .······(11分) 24.(12分) 【详解】(1)解:∵在 中, 为中线, ∴ , ∵ , , ∴ , ∵ , ∴ , ∴ , 故答案为: ;······(1分) (2)证明:由(1)可知: , ,······(2分) , ,······(3分) , ;······(4分) (3)证明:由(1)可知 ,由(2)可知 , , ,······(5分) ;······(6分) (4)解: , , , ,······(7分) 在 和 中, , 5 / 6 学科网(北京)股份有限公司, ,······(9分) 设 的底边 上的高为h,则 的底边 上的高为h, , ,······(10分) , ,······(11分) , 与 的面积之和为 .······(12分) 6 / 6 学科网(北京)股份有限公司