当前位置:首页>文档>专题02矩形的性质和判定(解析版)_北师大初中数学_9上-北师大版初中数学_06专项讲练_挑战压轴题2022-2023学年九年级数学上册压轴题专题精选汇编(北师大版)

专题02矩形的性质和判定(解析版)_北师大初中数学_9上-北师大版初中数学_06专项讲练_挑战压轴题2022-2023学年九年级数学上册压轴题专题精选汇编(北师大版)

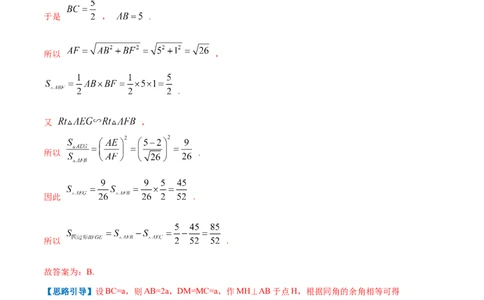
  • 2026-04-12 18:36:32 2026-04-12 18:02:24

文档预览

专题02矩形的性质和判定(解析版)_北师大初中数学_9上-北师大版初中数学_06专项讲练_挑战压轴题2022-2023学年九年级数学上册压轴题专题精选汇编(北师大版)
专题02矩形的性质和判定(解析版)_北师大初中数学_9上-北师大版初中数学_06专项讲练_挑战压轴题2022-2023学年九年级数学上册压轴题专题精选汇编(北师大版)
专题02矩形的性质和判定(解析版)_北师大初中数学_9上-北师大版初中数学_06专项讲练_挑战压轴题2022-2023学年九年级数学上册压轴题专题精选汇编(北师大版)
专题02矩形的性质和判定(解析版)_北师大初中数学_9上-北师大版初中数学_06专项讲练_挑战压轴题2022-2023学年九年级数学上册压轴题专题精选汇编(北师大版)
专题02矩形的性质和判定(解析版)_北师大初中数学_9上-北师大版初中数学_06专项讲练_挑战压轴题2022-2023学年九年级数学上册压轴题专题精选汇编(北师大版)
专题02矩形的性质和判定(解析版)_北师大初中数学_9上-北师大版初中数学_06专项讲练_挑战压轴题2022-2023学年九年级数学上册压轴题专题精选汇编(北师大版)
专题02矩形的性质和判定(解析版)_北师大初中数学_9上-北师大版初中数学_06专项讲练_挑战压轴题2022-2023学年九年级数学上册压轴题专题精选汇编(北师大版)
专题02矩形的性质和判定(解析版)_北师大初中数学_9上-北师大版初中数学_06专项讲练_挑战压轴题2022-2023学年九年级数学上册压轴题专题精选汇编(北师大版)
专题02矩形的性质和判定(解析版)_北师大初中数学_9上-北师大版初中数学_06专项讲练_挑战压轴题2022-2023学年九年级数学上册压轴题专题精选汇编(北师大版)
专题02矩形的性质和判定(解析版)_北师大初中数学_9上-北师大版初中数学_06专项讲练_挑战压轴题2022-2023学年九年级数学上册压轴题专题精选汇编(北师大版)
专题02矩形的性质和判定(解析版)_北师大初中数学_9上-北师大版初中数学_06专项讲练_挑战压轴题2022-2023学年九年级数学上册压轴题专题精选汇编(北师大版)
专题02矩形的性质和判定(解析版)_北师大初中数学_9上-北师大版初中数学_06专项讲练_挑战压轴题2022-2023学年九年级数学上册压轴题专题精选汇编(北师大版)
专题02矩形的性质和判定(解析版)_北师大初中数学_9上-北师大版初中数学_06专项讲练_挑战压轴题2022-2023学年九年级数学上册压轴题专题精选汇编(北师大版)
专题02矩形的性质和判定(解析版)_北师大初中数学_9上-北师大版初中数学_06专项讲练_挑战压轴题2022-2023学年九年级数学上册压轴题专题精选汇编(北师大版)
专题02矩形的性质和判定(解析版)_北师大初中数学_9上-北师大版初中数学_06专项讲练_挑战压轴题2022-2023学年九年级数学上册压轴题专题精选汇编(北师大版)
专题02矩形的性质和判定(解析版)_北师大初中数学_9上-北师大版初中数学_06专项讲练_挑战压轴题2022-2023学年九年级数学上册压轴题专题精选汇编(北师大版)
专题02矩形的性质和判定(解析版)_北师大初中数学_9上-北师大版初中数学_06专项讲练_挑战压轴题2022-2023学年九年级数学上册压轴题专题精选汇编(北师大版)
专题02矩形的性质和判定(解析版)_北师大初中数学_9上-北师大版初中数学_06专项讲练_挑战压轴题2022-2023学年九年级数学上册压轴题专题精选汇编(北师大版)
专题02矩形的性质和判定(解析版)_北师大初中数学_9上-北师大版初中数学_06专项讲练_挑战压轴题2022-2023学年九年级数学上册压轴题专题精选汇编(北师大版)
专题02矩形的性质和判定(解析版)_北师大初中数学_9上-北师大版初中数学_06专项讲练_挑战压轴题2022-2023学年九年级数学上册压轴题专题精选汇编(北师大版)
专题02矩形的性质和判定(解析版)_北师大初中数学_9上-北师大版初中数学_06专项讲练_挑战压轴题2022-2023学年九年级数学上册压轴题专题精选汇编(北师大版)
专题02矩形的性质和判定(解析版)_北师大初中数学_9上-北师大版初中数学_06专项讲练_挑战压轴题2022-2023学年九年级数学上册压轴题专题精选汇编(北师大版)
专题02矩形的性质和判定(解析版)_北师大初中数学_9上-北师大版初中数学_06专项讲练_挑战压轴题2022-2023学年九年级数学上册压轴题专题精选汇编(北师大版)
专题02矩形的性质和判定(解析版)_北师大初中数学_9上-北师大版初中数学_06专项讲练_挑战压轴题2022-2023学年九年级数学上册压轴题专题精选汇编(北师大版)
专题02矩形的性质和判定(解析版)_北师大初中数学_9上-北师大版初中数学_06专项讲练_挑战压轴题2022-2023学年九年级数学上册压轴题专题精选汇编(北师大版)
专题02矩形的性质和判定(解析版)_北师大初中数学_9上-北师大版初中数学_06专项讲练_挑战压轴题2022-2023学年九年级数学上册压轴题专题精选汇编(北师大版)
专题02矩形的性质和判定(解析版)_北师大初中数学_9上-北师大版初中数学_06专项讲练_挑战压轴题2022-2023学年九年级数学上册压轴题专题精选汇编(北师大版)
专题02矩形的性质和判定(解析版)_北师大初中数学_9上-北师大版初中数学_06专项讲练_挑战压轴题2022-2023学年九年级数学上册压轴题专题精选汇编(北师大版)
专题02矩形的性质和判定(解析版)_北师大初中数学_9上-北师大版初中数学_06专项讲练_挑战压轴题2022-2023学年九年级数学上册压轴题专题精选汇编(北师大版)
专题02矩形的性质和判定(解析版)_北师大初中数学_9上-北师大版初中数学_06专项讲练_挑战压轴题2022-2023学年九年级数学上册压轴题专题精选汇编(北师大版)
专题02矩形的性质和判定(解析版)_北师大初中数学_9上-北师大版初中数学_06专项讲练_挑战压轴题2022-2023学年九年级数学上册压轴题专题精选汇编(北师大版)
专题02矩形的性质和判定(解析版)_北师大初中数学_9上-北师大版初中数学_06专项讲练_挑战压轴题2022-2023学年九年级数学上册压轴题专题精选汇编(北师大版)
专题02矩形的性质和判定(解析版)_北师大初中数学_9上-北师大版初中数学_06专项讲练_挑战压轴题2022-2023学年九年级数学上册压轴题专题精选汇编(北师大版)
专题02矩形的性质和判定(解析版)_北师大初中数学_9上-北师大版初中数学_06专项讲练_挑战压轴题2022-2023学年九年级数学上册压轴题专题精选汇编(北师大版)
专题02矩形的性质和判定(解析版)_北师大初中数学_9上-北师大版初中数学_06专项讲练_挑战压轴题2022-2023学年九年级数学上册压轴题专题精选汇编(北师大版)
专题02矩形的性质和判定(解析版)_北师大初中数学_9上-北师大版初中数学_06专项讲练_挑战压轴题2022-2023学年九年级数学上册压轴题专题精选汇编(北师大版)
专题02矩形的性质和判定(解析版)_北师大初中数学_9上-北师大版初中数学_06专项讲练_挑战压轴题2022-2023学年九年级数学上册压轴题专题精选汇编(北师大版)
专题02矩形的性质和判定(解析版)_北师大初中数学_9上-北师大版初中数学_06专项讲练_挑战压轴题2022-2023学年九年级数学上册压轴题专题精选汇编(北师大版)
专题02矩形的性质和判定(解析版)_北师大初中数学_9上-北师大版初中数学_06专项讲练_挑战压轴题2022-2023学年九年级数学上册压轴题专题精选汇编(北师大版)
专题02矩形的性质和判定(解析版)_北师大初中数学_9上-北师大版初中数学_06专项讲练_挑战压轴题2022-2023学年九年级数学上册压轴题专题精选汇编(北师大版)
专题02矩形的性质和判定(解析版)_北师大初中数学_9上-北师大版初中数学_06专项讲练_挑战压轴题2022-2023学年九年级数学上册压轴题专题精选汇编(北师大版)
专题02矩形的性质和判定(解析版)_北师大初中数学_9上-北师大版初中数学_06专项讲练_挑战压轴题2022-2023学年九年级数学上册压轴题专题精选汇编(北师大版)
专题02矩形的性质和判定(解析版)_北师大初中数学_9上-北师大版初中数学_06专项讲练_挑战压轴题2022-2023学年九年级数学上册压轴题专题精选汇编(北师大版)
专题02矩形的性质和判定(解析版)_北师大初中数学_9上-北师大版初中数学_06专项讲练_挑战压轴题2022-2023学年九年级数学上册压轴题专题精选汇编(北师大版)
专题02矩形的性质和判定(解析版)_北师大初中数学_9上-北师大版初中数学_06专项讲练_挑战压轴题2022-2023学年九年级数学上册压轴题专题精选汇编(北师大版)
专题02矩形的性质和判定(解析版)_北师大初中数学_9上-北师大版初中数学_06专项讲练_挑战压轴题2022-2023学年九年级数学上册压轴题专题精选汇编(北师大版)
专题02矩形的性质和判定(解析版)_北师大初中数学_9上-北师大版初中数学_06专项讲练_挑战压轴题2022-2023学年九年级数学上册压轴题专题精选汇编(北师大版)
专题02矩形的性质和判定(解析版)_北师大初中数学_9上-北师大版初中数学_06专项讲练_挑战压轴题2022-2023学年九年级数学上册压轴题专题精选汇编(北师大版)
专题02矩形的性质和判定(解析版)_北师大初中数学_9上-北师大版初中数学_06专项讲练_挑战压轴题2022-2023学年九年级数学上册压轴题专题精选汇编(北师大版)
专题02矩形的性质和判定(解析版)_北师大初中数学_9上-北师大版初中数学_06专项讲练_挑战压轴题2022-2023学年九年级数学上册压轴题专题精选汇编(北师大版)

文档信息

文档格式
docx
文档大小
1.182 MB
文档页数
46 页
上传时间
2026-04-12 18:02:24

文档内容

2022-2023 学年北师大版数学九年级上册压轴题专题精选汇编 专题 02 矩形的性质和判定 考试时间:120分钟 试卷满分:100分 一.选择题(共10小题,满分20分,每小题2分) 1.(2分)(2022九上·黄冈开学考)如图,在矩形 中, , ,点 为 中点, 、 为 边上两个动点,且 ,当四边形 周长最小时, 的长为( ) A.1 B.2 C. D.4 【答案】D 【完整解答】解:如图, 在AD上截取线段AF=PQ=2 ,作F点关BC的对称点G ,连接EG与BC交于一点即为Q点,过A点作 FQ的平行线交BC于一点,即为P点,过G点作BC的平行线交DC的延长线于H点. , , , , , 设 ,则 ,在 中, , , , , 解得 . 故答案为:D. 【思路引导】在AD上截取线段AF=PQ=2,作F点关于BC的对称点G ,连接EG与BC交于一点即为O 点,过A点作FQ的平行线交BC于一点,即为P点,过G点作BC的平行线交DC的延长线于H点,则 GH=DF=6,EH=6,∠GEH=∠CEQ=45°,设BP=x,则CQ=6-x,根据等腰直角三角形的性质可得 CQ=EC,据此求出x. 2.(2分)(2022九上·福建竞赛)如图,在矩形ABCD中,AB=2BC,点M是CD边的中点,点E,F分 别是边AB,BC上的点,且AF⊥ME,G为垂足.若EB=2,BF=1,则四边形BFGE的面积为( ) A. B. C. D. 【答案】B 【完整解答】解:设 ,则 , . 作 于 , 则 . 所以 .所以 , 即 , 解得 . 于是 , . 所以 , . 又 , 所以 . 因此 . 所以 . 故答案为:B. 【思路引导】设BC=a,则AB=2a,DM=MC=a,作MH⊥AB于点H,根据同角的余角相等可得 ∠EMH=∠FAB,证明△EMH∽△FAB,根据相似三角形的性质可得a的值,利用勾股定理可得AF,根据 三角形的面积公式可得S ,根据相似三角形的性质可得S ,然后根据S =S -S 进行计算. ABF AEG 四边形BFGE ABF AGE △ △ △ △ 3.(2分)(2021九上·内江期末)如图,在某一时刻测得1米长的竹竿竖直放置时影长1.2米,在同一时 刻旗杆AB的影长不全落在水平地面上,有一部分落在楼房的墙上,他测得落在地面上影长为BD=9.6米, 留在墙上的影长CD=2米,则旗杆的高度( )A.12米 B.10.2米 C.10米 D.9.6米 【答案】C 【完整解答】解:如图,作CE⊥AB于E点, 则四边形BDCE为矩形,BD=CE=9.6米,BE=CD=2米, 根据题意得 ,即 , 解得AE=8(米), 所以AB=AE+BE=8+2=10(米). 故答案为:C. 【思路引导】作CE⊥AB于E点,则四边形BDCE为矩形,BD=CE=9.6米,BE=CD=2米,根据物体的高 度与影长成比例可得AE的值,然后根据AB=AE+BE进行计算. 4.(2分)(2021九上·南京期末)如图,在矩形ABCD中,E,F,G分别在AB,BC,CD上, DE⊥EF,EF⊥FG,BE=3,BF=2,FC=6,则DG的长是( ) A.4 B. C. D.5【答案】B 【完整解答】解:∵在Rt BEF中,BF=2,BE=3 △ ∴EF= 如图:过G作GH⊥DE垂足为H, ∵DE⊥EF,EF⊥FG ∴四边形EFGH是矩形 ∴HG=EF= ∵矩形ABCD ∴∠A=∠B=90° ∴∠AED+∠ADE=90° ∵DE⊥EF ∴∠AED+∠BEF=90° ∴∠BEF=∠ADE 又∵∠A=∠B=90° ∴△EBF∽△DAE 同理:△DAE∽△GHD ∴△EBF∽△GHD ∴ ,即 ,解得DG= . 故答案为:B.【思路引导】首先利用勾股定理求出EF,过G作GH⊥DE,垂足为H,易得四边形EFGH是矩形,根据 矩形的性质可得则HG=EF= ,∠A=∠B=90°,由同角的余角相等可得∠BEF=∠ADE,进而证明 △EBF∽△DAE,△DAE∽△GHD,△EBF∽△GHD,然后利用相似三角形的性质进行计算. 5.(2分)(2021九上·海州期末)如图所示,四边形ABCD是矩形,过点D作对角线BD的垂线,交BC 的延长线于点E,取BE的中点F,连接DF,DF=5,设AB=x,AD=y,则x2+(y﹣5)2的值为 ( ) A.10 B.25 C.50 D.75 【答案】B 【完整解答】解:∵四边形ABCD是矩形,AB=x,AD=y, ∴CD=AB=x,BC=AD=y,∠BCD=90°, 又∵BD⊥DE,点F是BE的中点,DF=5, ∴BF=DF=EF=5, ∴CF=5-BC=5-y, ∴在Rt DCF中,DC2+CF2=DF2,即x2+(5-y)2=52=25, ∴x2+(△y-5)2=x2+(5-y)2=25. 故答案为:B. 【思路引导】根据矩形的性质可得CD=AB=x,BC=AD=y,∠BCD=90°,根据直角三角形斜边上中线的 性质可得BF=DF=EF=5,则CF=5-BC=5-y,然后在Rt DCF中,应用勾股定理解答即可. 6.(2分)(2021九上·信都月考)如图,矩形ABCD△的边长AD=3,AB=2,E为AB的中点,F在边BC 上,且BF=2FC,AF分别与DE、DB相交于点M,N,则MN的长为( ) A. B. C. D.【答案】B 【完整解答】过F作FH⊥AD于H,交ED于O,则FH=AB=2. ∵BF=2FC,BC=AD=3, ∴BF=AH=2,FC=HD=1, ∴AF= = = , ∵OH∥AE, ∴ = , ∴OH= AE= , ∴OF=FH﹣OH=2﹣ = , ∵AE∥FO,∴△AME∽△FMO, ∴ = ,∴AM= AF= , ∵AD∥BF,∴△AND∽△FNB, ∴ = , ∴AN= AF= , ∴MN=AN﹣AM= ﹣ = ,故答案为:B. 【思路引导】先求出BF=AH=2,FC=HD=1,再求出△AND∽△FNB,最后利用相似三角形的性质计算求 解即可。 7.(2分)(2021九上·通川期末)如图,已知四边形ABCD是矩形,点E在BA的延长线上, , EC分别交AD,BD于点F,G,若 ,则 的值为( ). A. B. C.2 D. 【答案】B 【完整解答】解:∵四边形ABCD是矩形 ∴DC∥AB, ∴∠DCE=∠AEC,∠CDA=∠EAD ∴ ∴ 设AB=AF=CD=x ,AE=AD=y, 则有 给方程两边同时除以 , 令 为t则有解得 , (舍去) 则t= = 则 = . 故答案为:B. 【思路引导】由矩形的性质以及平行线的性质可得∠DCE=∠AEC,∠CDA=∠EAD,证明 △EAF∽△CDF,设AB=AF=CD=x ,AE=AD=y,由相似三角形的对应边成比例可得x2-y2+xy=0,给方程 两边同时除以x2可得关于 的一元二次方程,求出 的值,据此解答. 8.(2分)(2021九上·瑞安期中)如图,在矩形 中,点 , , 分别在边 , , 上,四边形 由两个正方形组成,若 ,则线段 的长为( ) A.4 B.4.5 C.5 D.5.5 【答案】B 【完整解答】解:在矩形 中,∠B=∠A=90°,四边形 由两个正方形组成是矩形 ∴∠FEH=90°,∠EFG=90°, ∴∠BFE+∠BEF=∠BEF+∠AEH=90°, ∴∠BFE=∠AEH, ∴△BEF∽△AHE,∴ , ∴ , ∴AE=1, 在Rt AEH中,AE=1,AH=2, △ EH= , ∵∠FGC=∠GFE=90°, ∴∠CFG+∠FCG=∠CFG+∠BFE, ∴∠FCG=∠BFE ∴△GFC∽△BEF, ∵△BEF∽△AHE, ∴△GFC∽△AHE, ∴ , ∵EH=FG= , ∴ 即 , ∴BC=BF+FC=2+ 4.5. 故答案为:B. 【思路引导】由矩形性质得∠B=∠A=90°,∠FEH=90°,∠EFG=90°,由同角余角相等得∠BFE=∠AEH, 证明△BEF∽△AHE,由相似三角形的性质求出AE,由勾股定理求出EH,证△GFC∽△BEF∽△AHE, 由相似三角形的性质可得FC,然后根据BC=BF+FC进行计算. 9.(2分)(2021九上·瑞安期中)如图,在矩形 中,线段 , 分别平行于 , ,它们相交于点 ,点 , 分别在线段 , 上, , ,连接 , ,相交于点 .已知 , ,则 的 值为( ) A. B. C. D. 【答案】B 【完整解答】解:∵ , 设AB=5x, BC=6x, ∵ ∴AE= ,AH= , ∴EB=AB-AE= ,HD=AD-AH=6x-2x=4x, ∵线段 , 分别平行于 , , ∴∠DHI=∠A=∠AHI=∠D=∠BEI=∠AEI=∠B=90° ∴四边形AHIE,四边形HDGI,四边形EIFB均为矩形, ∴IN=HI=AE= ,IM=IE=AH=2x,IF=EB= ,IG=HD=4x, ∵ , , ∴ 即 ,又∵∠MIG=∠NIF, ∴△NIF∽△MIG, ∴∠IFN=∠IGM, 又∠MPF=∠GPN, ∴△MPF∽△NPG, . 故答案为:B. 【思路引导】设AB=5x, BC=6x,则AE= ,AH=2x,EB= x ,HD=4x,由平行线的性质可得 ∠DHI=∠A=∠AHI=∠D=∠BEI=∠AEI=∠B=90°,则四边形AHIE,HDGI,EIFB均为矩形,根据矩形的 对边相等得IN=HI=AE= ,IM=IE=AH=2x,IF=EB= x,IG=HD=4x,证明△NIF∽△MIG, △MPF∽△NPG,然后根据相似三角形的性质进行求解. 10.(2分)(2021九上·南宁期中)将正方形ABCD折叠,使顶点A与CD边上的点M重合,折痕交AD 于E,交BC于F,边AB折叠后与BC边交于点G.若 , ,则 ( ) A.3 B.4 C. D. 【答案】D 【完整解答】解:如图,过点 作 于 ,交 于点 ,则 , ∵四边形ABCD为正方形, ∴ , , ∵ , ∴四边形CDHF为矩形, ∴ , ∴ , 由折叠的性质得 , ∴ , , ∵ , , , 在 和 中, , , , ∵ , , ∴ , , ∴ , ∴ . 故答案为:D.【思路引导】过点F作FH⊥AD于H,交AM于点O,由正方形的性质可得∠D=∠C=90°,AD=DC,推出 四边形CDHF为矩形,得到FH=DC,进而推出AD=FH,由折叠的性质得EF⊥AM,由同角的余角相等可 得∠DMA=∠HEF,证明△ADM≌△FHE,得到EF=AM,根据DC、CM的值可得DM、AD,然后利用勾 股定理求解即可. 二.填空题(共10小题,满分20分) 11.(2分)(2022九上·黄冈开学考)如图,在矩形 中, ,点 、 分别在边 、 上,连接 、 若四边形 是菱形,则 等于 . 【答案】 【完整解答】解: 四边形MBND是菱形, . 四边形ABCD是矩形, . 设 , ,则 , 、 均为正数 . 在 中, ,即 , 解得 , , .故答案为: . 【思路引导】根据菱形的性质可得MD=MB,根据矩形的性质可得∠A=90°,设AB=x,AM=y,则 MB=2x-y,在Rt ABM中,利用勾股定理可得x、y的关系,由MD=MB可得MD,据此求解. 12.(2分)(2△018·市中区模拟)如图,矩形OABC的边OA,OC分别在x轴、y轴上,点B在第一象限, 点D在边BC上,且∠AOD=30°,四边形OA′B′D与四边形OABD关于直线OD对称(点A′和A,B′和B 分别对应).若AB=1,反比例函数 (k≠0)的图象恰好经过点A′,B,则k的值为 【答案】 【完整解答】解:∵四边形ABCO是矩形,AB=1,∴设B(m,1),∴OA=BC=m,∵四边形OA′B′D与 四边形OABD关于直线OD对称, ∴OA′=OA=m,∠A′OD=∠AOD=30°, ∴∠A′OA=60°, 过A′作A′E⊥OA于E,∴OE= m,A′E= m, ∴A′( m, m), ∵反比例函数 (k≠0)的图象恰好经过点A′,B, ∴ m• m=m, ∴m= , ∴k= . 故答案为: . 【思路引导】反比例函数y= 的图象经过点B和点A',可设点B(m,1),用含m的代数式分别表示出点A'的横、纵坐标,由k=x ·y =x ·y ,求出m的值,即可得k的值。 B B A' A' 13.(2分)(2021九上·揭东期末)如图,矩形 的两条对角线相交于点 ,已知 , ,则矩形对角线 的长为 cm. 【答案】5 【完整解答】解:∵四边形ABCD是矩形, ∴AO=CO=BO=DO, ∵∠AOD=120°, ∴∠AOB=60°,且AO=BO, ∴△ABO为等边三角形, ∴AO=BO=AB=2.5, ∴BD=5, 故答案为:5. 【思路引导】先证明△ABO为等边三角形,再利用等边三角形的性质可得AO=BO=AB=2.5,最后根据矩 形的性质可得BD=5。 14.(2分)(2021九上·禅城期末)如图,在矩形ABCD中,AD=13,AB=5,E为BC上一点,DE平 分∠AEC,则CE的长为 . 【答案】1 【完整解答】解:在矩形ABCD中, , ,∴ , ∵DE平分∠AEC, ∴ ∴ , ∴ , 由勾股定理可得: , ∴ , 故答案为:1 【思路引导】先证明 ,再利用勾股定理求出 ,最后利用 计算即可。 15.(2分)(2021九上·三水期末)如图,点O是菱形ABCD对角线的交点,DE AC,CE BD,连接 OE,设AC=12,BD=16,则OE的长为 . 【答案】10 【完整解答】解:∵DE AC,CE BD, ∴四边形OCED为平行四边形, ∵四边形ABCD是菱形, ∴AC⊥BD,OA=OC= AC=6,OB=OD= BD=8, ∴∠DOC=90 ,CD= = =10, ∴平行四边形OCED为矩形, ∴OE=CD=10,故答案为:10. 【思路引导】根据平行线的性质得出四边形OCED为平行四边形,再根据菱形的性质得出AC⊥BD,OA =OC= AC=6,OB=OD= BD=8,利用勾股定理得出CD的值,得出平行四边形OCED为矩形,即 可得出答案。 16.(2分)(2021九上·海州期末)如图,在矩形ABCD中,E,F分别为边AB,AD的中点,BF与 EC、ED分别交于点M,N.已知AB=4,BC=6,则MN的长为 . 【答案】 【完整解答】解:如图1所示,延长CE,DA交于点Q, ∵四边形ABCD是矩形,BC=6, ∴∠BAD=90°,AD=BC=6,AD∥ BC, ∵F为AD的中点, ∴AF=DF=3, 在Rt BAF中,由勾股定理得: △ , ∵AD ∥ BC, ∴∠Q=∠ECB, ∵E为AB的中点,AB=4,∴AE=BE=2, 在△QAE和△CBE中, ∴△QAE≌△CBE(AAS), ∴AQ=BC=6,即QF=6+3=9, ∵AD BC, ∴△QMF∽△CMB, ∴ , ∵BF=5, ∴BM=2,FM=3, 如图2所示,延长BF和CD,交于W, 同理AB=DW=4,CW=8,BF=FW=5, ∵AB CD, ∴△BNE∽△WND, ∴ , ∴ ,解得:BN= , ∴MN=BN−BM= −2= . 故答案为: . 【思路引导】延长CE,DA交于点Q,由矩形的性质得∠BAD=90°,AD=BC=6,AD∥BC,由中点概念 得AF=DF=3,由勾股定理求出BF,证△QAE≌△CBE,得AQ=BC=6,则QF=9,证明△QMF∽△CMB, 由相似三角形性质得BM、FM,延长BF和CD,交于W,同理得AB=DW=4,CW=8,BF=FW=5,证明 △BNE∽△WND,根据相似三角形的性质求出BN,然后根据MN=BN−BM进行计算 . 17.(2分)(2021九上·郑州期末)如图,在矩形ABCD中,AB=4,BC=3,将△BCD沿射线BD平移 长度a(a>0)得到△B'C'D',连接AB',AD',则当△AB'D'是直角三角形时,a的长为 . 【答案】 或 【完整解答】解:分两种情况: ①如图1,∠D'AB'=90°,延长C'B'交AB于G,过点D'作D'H⊥AB,交BA的延长线于H, ∴∠H=∠AGB'=∠BGB'=90°,∵四边形ABCD是矩形, ∴∠BAD=∠C=90°,AD=BC=3, ∵tan∠ABD= ,即 , 设B'G=3x,BG=4x, ∴BB'=a=5x, 由平移得:DD'=BB'=5x, ∴D'H=3+3x,AH=BG=4x, ∴AG=AB=BG=4﹣4x, ∵∠D'AB'=∠HAD'+∠BAB'=90°, ∠AD'H+∠HAD'=90°, ∴∠AD'H=∠GAB', ∵∠H=∠AGB'=90°, ∴△D'HA∽△AGB', ∴ ,即 , ∴x= , ∴a=5× = ; ②如图2,∠AB'D'=90°,延长C'B'交AB于M,则C'M⊥AB,∴∠AMB'=90°, 由平移得:B'C'=BC=3, 同理设B'M=3m,BM=4m,则BB'=a=5m, ∴AM=4﹣4m, ∵∠AB'M+∠D'B'C'=90°,∠MAB'+∠AB'M=90°, ∴∠D'B'C'=∠MAB', ∵∠C'=∠AMB'=90°, ∴△D'C'B'∽△B'MA, ∴ ,即 , ∴m= , ∴a=5m=5× = ; 综上,a的值是 或 . 故答案为: 或 . 【思路引导】①当∠D'AB'=90°时,延长C'B'交AB于G,过点D'作D'H⊥AB,交BA的延长线于H,由 矩形的性质可得∠BAD=∠C=90°,AD=BC=3,根据∠ABD的正切函数可设B'G=3x,BG=4x,则 BB'=a=5x,由平移得:DD'=BB'=5x,则D'H=3+3x,AH=BG=4x,AG=AB=BG=4-4x,证明 △D'HA∽△AGB',然后根据相似三角形的性质求出x,据此可得a的值;②当∠AB'D'=90°时,延长 C'B'交AB于M,则C'M⊥AB,由平移得:B'C'=BC=3,同理设B'M=3m,BM=4m,则BB'=a=5m, 则AM=4-4m,证明△D'C'B'∽△B'MA,由相似三角形的性质求出m,进而可得a的值. 18.(2分)(2021九上·大庆期末)如图,矩形ABCD中,AB=20,AD=15,P,Q分别是AB,AD边 上的动点,PQ=16,以PQ为直径的⊙O与BD交于点M,N,则MN的最大值为 .【答案】 【完整解答】解:过A点作AH⊥BD于H,连接OM,如图: ∵四边形ABCD是矩形, ∴∠BAD=90°, 在Rt ABD中,BD= = =25, △ ∵ ×AH×BD= ×AD×AB, ∴AH= =12, ∵⊙O的直径为16, ∴⊙O的半径为8, ∴点O在AH上时,OH最短, ∵HM= , ∴此时HM有最大值,OH=AH﹣OA=4, 则最大值为 =4 , ∵OH⊥MN,∴MN=2MH, ∴MN的最大值为2×4 =8 . 故答案为:8 . 【思路引导】过A点作AH⊥BD于H,连接OM,根据四边形ABCD是矩形,在Rt ABD中,利用勾股 定理得出BD的值,点O在AH上时,OH最短,得出此时HM有最大值,即可得出△结论。 19.(2分)(2021九上·沈河期末)如图,在矩形ABCD中,AD=3,点E在AB边上,AE=4,BE= 2,点F是AC上的一个动点.连接EF,将线段EF绕点E逆时针旋转90°并延长至其2倍,得到线段EG, 当 时,点G到CD的距离是 . 【答案】 或 【完整解答】解:如图1所示,过点G作NH∥AD分别交BA,CD延长线于 H,N,过点F作FM∥BC, 交AB于M,∵四边形ABCD是矩形, ∴∠B=∠BAD=∠HAD=∠ADC=∠AND=90°, ∴∠H=∠N=∠AMF=90°, ∴四边形HADH是矩形, ,即 , ∴HN=AD, 由旋转的性质可知∠GEF=90°, ∴∠HEG+∠NEF=90°, 又∵MEF+∠MFE=90°, ∴∠HEG=∠MFE, ∴△HEG∽△MFE, ∴ , ∴ , , ∵MF∥BC, ∴△AMF∽△ABC, ∴ , ,∴ , ∴ , ∴ ,即点G到CD的距离为 ; 如图2所示,过点G作NH∥AD分别交直线BA,直线CD于 H,N,过点F作FM∥BC,交AB于M, 同理可求出 , , 同理可证△AMF∽△ABC, ∴ , , ∴ , ∴ , ∴ ,即点G到CD的距离为 ; 综上所述,点G到CD的距离为 或 .【思路引导】分两种情况:①当线段EG在EA的右侧;②当线段EG在EA的左侧;根据旋转的性质、相 似三角形的判定与性质、锐角三角函数的定义分别求解即可. 20.(2分)(2021九上·杭州月考)如图,在矩形ABCD中, , ,E是BC的中点,将 △ECD沿直线ED翻折至矩形ABCD所在平面内,得到△EC′D,连结BC′,并延长BC′交AD于点F,则 △C′DF的面积为 . 【答案】 【完整解答】解:根据将△ECD沿直线ED翻折至矩形ABCD所在平面内,得到△EC′D, , E是BC的中点, , , 是等腰三角形, , 根据外角的性质可得 , , , 分别过点E、C'作HE⊥BF于点H,C'G⊥ED于点G,, 在 中, , , , , , , , , , 故答案为: . 【思路引导】根据折叠的性质可得C'E=CE,∠CED=∠C'ED,证明BF∥ED,分别过点E、C'作HE⊥BF于点H,C'G⊥ED于点G,可得C'G=HE,在Rt CDE中,利用勾股定理求出求出DE的长,根据面积法, △ 求出C'G的长即得HE,利用勾股定理求出BH,根据 即可求解. 三.解答题(共8题,满分60分) 21.(5分)(2021九上·庐江期末)如图,矩形ABCD中,BC=4,将矩形ABCD绕点C顺时针旋转得到 矩形A′B′C′D′,此时点B′恰好落在边AD上.连接B′B,若∠AB′B=75°,求旋转角及AB长. 【答案】解:连接B′B,作B′E⊥BC于E, 在矩形ABCD中, ∵∠AB′B=75°, ∴∠ABB′=15°, ∴∠CBB′=75°, ∵CB=CB′=4, ∴∠CBB′=∠CB′B=75°, ∴∠BCB′=180°﹣75°﹣75°=30°, ∴B′E= CB′=2, ∴AB=2. 故旋转角是30°,AB长2. 【思路引导】 连接B′B,作B′E⊥BC于E, 利用矩形的性质得出 ∠CBB′=75°,∠CBB′=∠CB′B=75°, 再利用旋转的性质得出答案。22.(5分)(2022九上·莲湖期末)如图所示,矩形AOBC的边AO,OB在两坐标轴上,双曲线 与矩形AOBC的边交于点D,E,点C(8,5),求D,E两点的坐标. 【答案】解:∵矩形ABCD,点C(8,5) ∴AC∥x轴,BC∥y轴, ∵点D,E在反比例 的图象上, ∴当y=5时, 5x=8 解之: ∴点 ; 当x=8时,8y=8, 解之:y=1 ∴点E(8,1). 【思路引导】利用矩形的性质可证得AC∥x轴,BC∥y轴,由点D,E在反比例 的图象上,可求 出当y=5时的x的值,可得到点D的坐标,再求出当x=8时y的值,可得到点E的坐标.23.(7分)(2022九上·岳麓开学考)如图,点 是菱形 对角线的交点,过点 作 , 过点 作 , 与 相交于点 . (1)(3分)求证:四边形 是矩形. (2)(4分)若 , ,求矩形 的面积. 【答案】(1)证明: , , 四边形 是平行四边形. 又 四边形 是菱形, ,即 , 四边形 是矩形 (2)解: 在菱形 中, , . 又 , 是等边三角形, , , , 矩形 的面积是 . 【思路引导】(1)易得四边形OCED为平行四边形,根据菱形的性质可得∠COD=90°,然后根据矩形的 判定定理进行证明;(2)根据菱形的性质可得AB=BC=CD=4,结合∠ABC=60°可得△ABC是等边三角形,由等边三角形的性 质得AC=4,OC=2,利用勾股定理求出OD,然后根据矩形的面积公式进行计算. 24.(7分)(2022·舟山九上月考)矩形OABC的顶点A,C分别在x,y轴的正半轴上,点F是边BC上 的一个动点(不与点B,C重合),过点F的反比例函数 的图象与边AB交于点E(8,m),AB= 4. (1)(3分)如图1,若BE=3AE. ①求反比例函数的表达式; ②将矩形OABC折叠,使O点与F点重合,折痕分别与x,y轴交于点H,G,求线段OG的长度. (2)(4分)如图2,连接OF,EF,请用含m的关系式表示OAEF的面积,并求OAEF的面积的最大 值. 【答案】(1)解:①∵BE=3AE,AB=4, ∴AE=1,BE=3, ∴E(8,1), ∴k=8×1=8, ∴反比例函数表达式为y ; ②当y=4时,x=2, ∴F(2,4), ∴CF=2, 设OG=x,则CG=4﹣x,FG=x, 由勾股定理得, ,解得x , ∴OG ; (2)解:∵点E、F在反比例函数 的图象上, ∴CF×4=8m, ∴CF=2m, ∴四边形OAEF的面积为8×4 =- +4m+16=﹣ +20, ∵0<m<4, ∴当m=2时,四边形OAEF的面积最大为20. 【思路引导】(1)①利用BE=3AE,AB=4,可证得AB=4AE,可求出AE,BE的长,由此可得到点E的 坐标,将点E的坐标代入反比例函数解析式,可求出k的值,即可得到此函数解析式;②利用函数解析式 求出点F的坐标,可得到CF的长;利用折叠的性质,设OG=x,可表示出CG,FG的长,利用勾股定理 可得到关于x的方程,解方程求出x的值即可. (2)利用反比例函数图象上点的坐标特点,可表示出CF的长,再表示出四边形OAEF的面积与m之间的 函数解析式,将其解析式转化为顶点式,利用二次函数的性质及m的取值范围,可求出四边形OAEF的面 积的最值. 25.(5分)(2020九上·邢台期中)如图, 是矩形 的边 上的一点, 于 点 , , , .求 的长度.【答案】解:∵四边形 是矩形, ∴ , ∵ ∴ ∵ , , ∴ 在 和 中, ∴ ∴ ,即 解得 即 的长度为 . 【思路引导】根据矩形的性质求出DC的长以及∠ADC=∠C=90°,根据勾股定理求出DE的长,由垂直的 定义即可得到∠AFD=∠C,根据同角的余角相等即可得到∠EDC=∠DAF,进而证明得到 △EDC∽△DAF,由相似三角形的性质求出DF的长度即可。 26.(10分)(2019九上·长兴月考)如图,在矩形ABCD中,AB=18,AD=12,点M是边AB的中点, 连结DM,DM与AC交于点G。点E,F分别是CD与DG上的点,连结EF。 (1)(2分)求证:CG=2AG; (2)(3分)若DE=6,当以E,F,D为顶点的三角形与△CDG相似时,求EF的长; (3)(5分)若点E从点D出发,以每秒2个单位的速度向点C运动,点F从点G出发,以每秒1个 单位的速度向点D运动。当一个点到达,另一个随即停止运动。在整个运动过程中,求四边形CEFG的面积的最小值。 【答案】(1)证明:在矩形ABCD中,AB∥DC, ∴∠DCG=∠MAG,∠CDG=∠AMG, ∴△AGM∽△CGD, ∴ ∵点M是边AB的中点,∴DC=AB=2AM, ∴ =2,CG即CG=2AG (2)证明:在Rt ADC中,由勾股定理得AC= ,由(1) △ 得,CG=2AG,:CG= AC=4 同理可得DG=10 ①当∠DEF=∠DCG时, DEF∽△DCG △ ∴ 即 ,解得EF= ②当∠DEF=∠DGC时, DEF∽△DGC △ ∴ ,即 ,解得EF= (3)证明:作GH⊥DC,FN⊥DC, ∵∠DNF=∠DAM,∠NDF=∠AMD,∴△DNF∽△MAD ∴ 即 ,解得NF=∵S =S -S = 四边形CEFG DCG DEF △ △ ∴所以当t=5时,S =52 四边形CEFG最小 【思路引导】(1)利用矩形的性质及平行线的性质,可证得∠DCG=∠MAG,,∠CDG=∠AMG, △AGM∽△CGD,再利用相似三角形的对应边相等,可得比例线段,然后证明DC=AB=2AM,即可证得 CG与AG的数量关系。 (2)利用勾股定理,分别求出AC、DG的长,再分情况讨论:①当∠DEF=∠DCG时, △DEF∽△DCG;②当∠DEF=∠DGC时,△DEF∽△DGC,分别利用相似三角形的性质,得出对应边成 比例,即可求出EF的长。 (3)作GH⊥DC,FN⊥DC,易证△DNF∽△MAD,可证对应边成比例,求出NF的长,再根据 S 四边形 =S -S ,可得到S与t的函数解析式,再利用二次函数的性质,可求出四边形CEFG的面积的最小 CEFG DCG DEF △ △ 值。 27.(11分)(2021九上·海州期末)如图,△ABC中,∠C=90°,AC=3,BC=4,在线段AB上,动 点M从点A出发向点B做匀速运动,同时动点N从B出发向点A做匀速运动,当点M、N其中一点停止 运动时,另一点也停止运动,分别过点M、N作AB的垂线,分别交两直角边AC,BC所在的直线于点 D、E,连接DE,若运动时间为t秒,在运动过程中四边形DENM总为矩形(点M、N重合除外). (1)(3分)写出图中与△ABC相似的三角形; (2)(4分)如图,设DM的长为x,矩形DENM面积为S,求S与x之间的函数关系式;当x为何值 时,矩形DENM面积最大?最大面积是多少? (3)(4分)在运动过程中,若点M的运动速度为每秒1个单位长度,求点N的运动速度.求t为多少 秒时,矩形DEMN为正方形? 【答案】(1)图中与△ABC相似的三角形有△DEC,△EBN,△ADM; (2)解:∵在△ABC中,∠C=90°,AC=3,BC=4, ∴ , ∵△ADM∽△ABC,∴ , ∵ , ∴ , ∴ ∴ , ∴ , ∵△ADM∽△ABC,△DEC∽△ABC, ∴△ADM∽△DEC, ∴ ,即 , ∴ , ∴ , ∵ , ∴当 时,矩形DENM面积最大,最大面积是3; (3)解:当M、N相遇前,∵四边形DENM是矩形, ∴NE=MD, ∵△AMD∽△ABC, ∴ , 由题意得 , ∴ , ∴ ; ∵△BEN∽△BAC, ∴ ,即 ∴ , ∴点N的速度为每秒 个单位长度; ∵当N、M相遇时,有AM+BM=AB, ∴ ,解得 ,即M、N相遇的时间为 , 当N、M相遇后继续运动,N点到达A点时, ∴ , 解得 ,即N点到底A点的时间为 ; ∵矩形DENM是正方形, ∴DM=MN=EN, 当N、M相遇前,即当 时, , , , ∴ , ∴ , 解得 ; 当N、M相遇后,即当 时, , , , ∴ , , ∴ , ∴ ,解得 不符合题意, ∴综上所述,点N的速度为每秒 个单位长度,当 时,矩形DEMN为正方形. 【完整解答】(1)解:∵四边形DENM是矩形, ∴DE∥AB,∠DMN=∠DMA=∠ENM=∠ENB=90°, ∴△CDE∽△CAB, ∵∠ACB=∠AMD=∠ENB=90°,∠A=∠A,∠B=∠B, ∴△AMD∽△ACB,△ENB∽△ACB; ∴图中与△ABC相似的三角形有△DEC,△EBN,△ADM; 【思路引导】(1)易得DE∥AB,∠DMN=∠DMA=∠ENM=∠ENB=90°,∠ACB=∠AMD=∠ENB=90°, 然后利用相似三角形的判定定理进行证明; (2)利用勾股定理求出AB,设DM=x,根据相似三角形的性质表示出AM,由勾股定理可得AD,进而表 示出CD,易证△ADM∽△DEC,然后根据相似三角形的性质可得DE,接下来根据三角形的面积公式可 得S ,最后结合二次函数的性质进行解答; 矩形DENM (3)当M、N相遇前,根据矩形的性质可得NE=MD,由题意可得AM=t,根据相似三角形的性质可得 MD、BN,然后根据AM+BM=AB求解即可;当N、M相遇后继续运动,N点到达A点时,根据正方形的 性质可得DM=MN=EN;当N、M相遇前,表示出MD、BN、AM,然后根据MN=AB-AM-BN可求出t的 值;同理可得当N、M相遇后,t的值,据此解答. 28.(10分)(2021九上·南海期末)如图1,在矩形ABCD中,AB=8,AD=4,点P是对角线BD上一 点,连接AP,AE⊥AP,且 ,连接BE.(1)(3分)当DP=2时,求BE的长. (2)(3分)四边形AEBP可能为矩形吗?如果不可能,请说明理由;如果可能,求出此时四边形 AEBP的面积. (3)(4分)如图2,作AQ⊥PE,垂足为Q,当点P从点D运动到点B时,直接写出点Q运动的距离. 【答案】(1)解:如图, ∵四边形ABCD是矩形,AB=8,AD=4, ∴∠DAB=90°, , ∴ , ∵AP⊥AE, ∴∠PAE=90°, ∴∠DAP+∠PAB=∠PAB+∠BAE, ∴∠DAP=∠BAE, ∴△ADP∽△ABE, ∴ , ∴ ; (2)解:四边形AEBP可能为矩形.如图,由(1)得△ADP∽△ABE, ∴∠ABE=∠ADB, ∴∠PBE=∠PBA+∠ABE=∠PBA+∠ADB=90°, 如图,当∠APB=90°时, ∵∠APB=∠PAB=∠PBE=90°, ∴四边形AEBP为矩形, 在Rt ABD中,AB=8,AD=4, △ 由勾股定理得: , , , ; (3)解:点Q运动的距离为8. 【完整解答】(3)解:由(1)中, ,∠DAB=∠PAE=90°, ∴△ADB∽△APE, ∴∠ADB=∠APE, 如图,当点P在点D处时,Q在Q 处,即AQ ⊥BD,作 AQ ⊥PE, 1 1 2图2 图3 ∴∠AQ D=∠AQ P=90°, 1 2 ∴△ADQ∽△APQ , 1 2 ∴ ,∠DAQ=∠PAQ, 1 2 ∵∠DAP=∠DAQ+∠PAQ=∠PAQ+∠PAQ=∠QAQ , 1 1 1 2 1 2 ∴△ADP∽△AQ Q, 1 2 ∴∠AQ Q=∠ADP, 1 2 ∴∠BQQ=90°-∠AQ Q=90°-∠ADP=∠ABD, 1 2 1 2 因此点Q在直线QQ 上运动, 1 2 故当点P从点D运动到点B时,点Q由Q 运动到如图2中的Q 位置,则点Q运动的距离为QQ 的长度. 1 2 1 2 此时,∠DAP=∠DAB=∠DAQ+∠PAQ=∠PAQ+∠PAQ=∠QAQ =90°, 1 1 1 2 1 2 又∵∠AQ D=∠AQ P=90°, 1 2 ∴四边形AQ BQ 是矩形, 1 2 ∴QQ=AB=8,即点Q运动的距离为8. 1 2 【思路引导】(1)根据矩形性质和已知条件得出 ,证明△ADP∽△ABE,即可得出结论;(2)结合(1)得△ADP∽△ABE,证明四边形AEBP为矩形,再根据勾股定理即可得出结论; (3)根据题意画出图形证明点Q在直线QQ 上运动,由(2)知:当点P从点D运动到点B时,点Q由 1 2 Q 运动到如图2中的Q 位置,则点Q运动的距离为QQ 的长度.根据矩形对角线相等即可得出点Q运动 1 2 1 2 的距离。