当前位置:首页>文档>专题04子母型(原卷版)-2022-2023学年九年级数学相似三角形基本模型探究(北师大版)_北师大初中数学_9下-北师大版初中数学_06专项讲练

专题04子母型(原卷版)-2022-2023学年九年级数学相似三角形基本模型探究(北师大版)_北师大初中数学_9下-北师大版初中数学_06专项讲练

  • 2026-04-12 19:57:41 2026-04-12 19:20:11

文档预览

专题04子母型(原卷版)-2022-2023学年九年级数学相似三角形基本模型探究(北师大版)_北师大初中数学_9下-北师大版初中数学_06专项讲练
专题04子母型(原卷版)-2022-2023学年九年级数学相似三角形基本模型探究(北师大版)_北师大初中数学_9下-北师大版初中数学_06专项讲练
专题04子母型(原卷版)-2022-2023学年九年级数学相似三角形基本模型探究(北师大版)_北师大初中数学_9下-北师大版初中数学_06专项讲练
专题04子母型(原卷版)-2022-2023学年九年级数学相似三角形基本模型探究(北师大版)_北师大初中数学_9下-北师大版初中数学_06专项讲练
专题04子母型(原卷版)-2022-2023学年九年级数学相似三角形基本模型探究(北师大版)_北师大初中数学_9下-北师大版初中数学_06专项讲练
专题04子母型(原卷版)-2022-2023学年九年级数学相似三角形基本模型探究(北师大版)_北师大初中数学_9下-北师大版初中数学_06专项讲练
专题04子母型(原卷版)-2022-2023学年九年级数学相似三角形基本模型探究(北师大版)_北师大初中数学_9下-北师大版初中数学_06专项讲练
专题04子母型(原卷版)-2022-2023学年九年级数学相似三角形基本模型探究(北师大版)_北师大初中数学_9下-北师大版初中数学_06专项讲练
专题04子母型(原卷版)-2022-2023学年九年级数学相似三角形基本模型探究(北师大版)_北师大初中数学_9下-北师大版初中数学_06专项讲练
专题04子母型(原卷版)-2022-2023学年九年级数学相似三角形基本模型探究(北师大版)_北师大初中数学_9下-北师大版初中数学_06专项讲练
专题04子母型(原卷版)-2022-2023学年九年级数学相似三角形基本模型探究(北师大版)_北师大初中数学_9下-北师大版初中数学_06专项讲练
专题04子母型(原卷版)-2022-2023学年九年级数学相似三角形基本模型探究(北师大版)_北师大初中数学_9下-北师大版初中数学_06专项讲练
专题04子母型(原卷版)-2022-2023学年九年级数学相似三角形基本模型探究(北师大版)_北师大初中数学_9下-北师大版初中数学_06专项讲练
专题04子母型(原卷版)-2022-2023学年九年级数学相似三角形基本模型探究(北师大版)_北师大初中数学_9下-北师大版初中数学_06专项讲练

文档信息

文档格式
docx
文档大小
0.507 MB
文档页数
10 页
上传时间
2026-04-12 19:20:11

文档内容

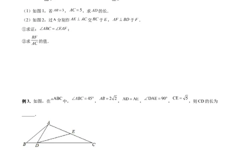
专题 04 子母型 【基本模型】 如 图 为 斜 “ A” 字 型 基 本 图 形 . 当 时 , , 则 有 . . 如图所示,当E点与C点重合时,为其常见的一个变形,即子母型. 当 时, ,则有 . 【例题精讲】 例1.如图,在 中, ,点P、D分别是 边上的点,且 . (1)求证: ; (2)若 ,当 时,求 的长.例2.在 中, , 平分 . (1)如图1,若 , ,求 的长. (2)如图2,过 分别作 交 于 , 于 . ①求证: ; ②求 的值. 例3.如图,在 中, , , , , ,则CD的长为 ______.例4.如果两个相似三角形的对应边存在2倍关系,则称这两个相似三角形互为母子三角形. (1)如果 与 互为母子三角形,则 的值可能为( ) A.2 B. C.2或 (2)已知:如图1, 中, 是 的角平分线, . 求证: 与 互为母子三角形. (3)如图2, 中, 是中线,过射线 上点 作 ,交射线 于点 ,连结 ,射线 与射线 交于点 ,若 与 互为母子三角形.求 的值. 【变式训练1】如图,在△ABC中,AB=AC,点P、D分别是BC、AC边上的点,且∠APD=∠B,(1)求 证:AC•CD=CP•BP;(2)若AB=10,BC=12,当PD∥AB时,求BP的长. 【变式训练2】如图,在 ABC中,D是BC上的点,E是AD上一点,且 ,∠BAD=∠ECA. △(1)求证:AC2=BC•CD; (2)若AD是 ABC的中线,求 的值. △ 【变式训练3】如图,在矩形 中,点 是 边上的一点,且 垂足为点 . _ . 若四边形 的面积为 ,求 的面积. 【变式训练4】在 ABC中,∠ABC=2∠ACB,BD平分∠ABC交AC于点D. △(1)如图(1),若AB=3,AC=5,求AD的长; (2)如图(2),过点A分别作AC,BD的垂线,分别交BC,BD于点E,F. ①求证:∠ABC=∠EAF; ②求 的值. 【课后训练】 AD 1 1.如图,矩形ABCD中,F是DC上一点,BF⊥AC,垂足为E, = ,△CEF的面积为S ,△AEB的面 1 AB 2 积为S ,则S 的值等于( ) 2 1 S 2 1 1 1 1 A. B. C. D. 16 5 4 25 2.如图,在 中, 平分 在 延长线上,且 ,若 , ,则 的长为_____. 3.如图, 中, 点 分别是 的中点, 与点 .(1)求证: ; (2)求 的大小; (3)若 ,求 的面积. 4.(1)如图,点 在线段 上,点 在直线 的同侧, ,求证: ; (2)如图,点 在线段 上,点 在直线 的同侧, , , , ,求 的值; (3)如图, 中,点 在 边上,且 , , ,点 在 边上,连接 , , ,求 的值.5.如图, 中, ,点 为 上一点,且 . 交 于 ,交 的延 长线于 . (1)求证: ; (2)若 , ,求 . 6.定义:如图,若点P在三角形的一条边上,且满足 ,则称点P为这个三角形的“理想点”.(1)如图①,若点D是 的边AB的中点, , ,试判断点D是不是 的“理想点”, 并说明理由; (2)如图②,在 中, , , ,若点D是 的“理想点”,求CD的长. 7.如图,已知矩形 的两条对角线相交于点O,过点 作 分别交 、 于点 、 . (1)求证: ; (2)连接 ,若 .求证: . 8.在Rt ABC中,∠ACB=90°,点D为AB上一点. (1)如图△1,若CD⊥AB,求证:AC2=AD·AB;(2)如图2,若AC=BC,EF⊥CD交CD于H,交AC于F,且 ,求 的值; (3)如图3,若AC=BC,点H在CD上,∠AHD=45°,CH=3DH,则tan∠ACH的值为________.