当前位置:首页>文档>难点与新考法15圆中相关计算、切线、内切圆、阴影面积等问题(7大热考题型)(解析版)_2数学总复习_2025中考复习资料_2025年中考数学一轮知识梳理

难点与新考法15圆中相关计算、切线、内切圆、阴影面积等问题(7大热考题型)(解析版)_2数学总复习_2025中考复习资料_2025年中考数学一轮知识梳理

  • 2026-04-14 09:27:18 2026-02-06 04:00:01

文档预览

难点与新考法15圆中相关计算、切线、内切圆、阴影面积等问题(7大热考题型)(解析版)_2数学总复习_2025中考复习资料_2025年中考数学一轮知识梳理
难点与新考法15圆中相关计算、切线、内切圆、阴影面积等问题(7大热考题型)(解析版)_2数学总复习_2025中考复习资料_2025年中考数学一轮知识梳理
难点与新考法15圆中相关计算、切线、内切圆、阴影面积等问题(7大热考题型)(解析版)_2数学总复习_2025中考复习资料_2025年中考数学一轮知识梳理
难点与新考法15圆中相关计算、切线、内切圆、阴影面积等问题(7大热考题型)(解析版)_2数学总复习_2025中考复习资料_2025年中考数学一轮知识梳理
难点与新考法15圆中相关计算、切线、内切圆、阴影面积等问题(7大热考题型)(解析版)_2数学总复习_2025中考复习资料_2025年中考数学一轮知识梳理
难点与新考法15圆中相关计算、切线、内切圆、阴影面积等问题(7大热考题型)(解析版)_2数学总复习_2025中考复习资料_2025年中考数学一轮知识梳理
难点与新考法15圆中相关计算、切线、内切圆、阴影面积等问题(7大热考题型)(解析版)_2数学总复习_2025中考复习资料_2025年中考数学一轮知识梳理
难点与新考法15圆中相关计算、切线、内切圆、阴影面积等问题(7大热考题型)(解析版)_2数学总复习_2025中考复习资料_2025年中考数学一轮知识梳理
难点与新考法15圆中相关计算、切线、内切圆、阴影面积等问题(7大热考题型)(解析版)_2数学总复习_2025中考复习资料_2025年中考数学一轮知识梳理
难点与新考法15圆中相关计算、切线、内切圆、阴影面积等问题(7大热考题型)(解析版)_2数学总复习_2025中考复习资料_2025年中考数学一轮知识梳理
难点与新考法15圆中相关计算、切线、内切圆、阴影面积等问题(7大热考题型)(解析版)_2数学总复习_2025中考复习资料_2025年中考数学一轮知识梳理
难点与新考法15圆中相关计算、切线、内切圆、阴影面积等问题(7大热考题型)(解析版)_2数学总复习_2025中考复习资料_2025年中考数学一轮知识梳理
难点与新考法15圆中相关计算、切线、内切圆、阴影面积等问题(7大热考题型)(解析版)_2数学总复习_2025中考复习资料_2025年中考数学一轮知识梳理
难点与新考法15圆中相关计算、切线、内切圆、阴影面积等问题(7大热考题型)(解析版)_2数学总复习_2025中考复习资料_2025年中考数学一轮知识梳理
难点与新考法15圆中相关计算、切线、内切圆、阴影面积等问题(7大热考题型)(解析版)_2数学总复习_2025中考复习资料_2025年中考数学一轮知识梳理
难点与新考法15圆中相关计算、切线、内切圆、阴影面积等问题(7大热考题型)(解析版)_2数学总复习_2025中考复习资料_2025年中考数学一轮知识梳理
难点与新考法15圆中相关计算、切线、内切圆、阴影面积等问题(7大热考题型)(解析版)_2数学总复习_2025中考复习资料_2025年中考数学一轮知识梳理
难点与新考法15圆中相关计算、切线、内切圆、阴影面积等问题(7大热考题型)(解析版)_2数学总复习_2025中考复习资料_2025年中考数学一轮知识梳理
难点与新考法15圆中相关计算、切线、内切圆、阴影面积等问题(7大热考题型)(解析版)_2数学总复习_2025中考复习资料_2025年中考数学一轮知识梳理
难点与新考法15圆中相关计算、切线、内切圆、阴影面积等问题(7大热考题型)(解析版)_2数学总复习_2025中考复习资料_2025年中考数学一轮知识梳理
难点与新考法15圆中相关计算、切线、内切圆、阴影面积等问题(7大热考题型)(解析版)_2数学总复习_2025中考复习资料_2025年中考数学一轮知识梳理
难点与新考法15圆中相关计算、切线、内切圆、阴影面积等问题(7大热考题型)(解析版)_2数学总复习_2025中考复习资料_2025年中考数学一轮知识梳理
难点与新考法15圆中相关计算、切线、内切圆、阴影面积等问题(7大热考题型)(解析版)_2数学总复习_2025中考复习资料_2025年中考数学一轮知识梳理
难点与新考法15圆中相关计算、切线、内切圆、阴影面积等问题(7大热考题型)(解析版)_2数学总复习_2025中考复习资料_2025年中考数学一轮知识梳理
难点与新考法15圆中相关计算、切线、内切圆、阴影面积等问题(7大热考题型)(解析版)_2数学总复习_2025中考复习资料_2025年中考数学一轮知识梳理
难点与新考法15圆中相关计算、切线、内切圆、阴影面积等问题(7大热考题型)(解析版)_2数学总复习_2025中考复习资料_2025年中考数学一轮知识梳理
难点与新考法15圆中相关计算、切线、内切圆、阴影面积等问题(7大热考题型)(解析版)_2数学总复习_2025中考复习资料_2025年中考数学一轮知识梳理
难点与新考法15圆中相关计算、切线、内切圆、阴影面积等问题(7大热考题型)(解析版)_2数学总复习_2025中考复习资料_2025年中考数学一轮知识梳理
难点与新考法15圆中相关计算、切线、内切圆、阴影面积等问题(7大热考题型)(解析版)_2数学总复习_2025中考复习资料_2025年中考数学一轮知识梳理
难点与新考法15圆中相关计算、切线、内切圆、阴影面积等问题(7大热考题型)(解析版)_2数学总复习_2025中考复习资料_2025年中考数学一轮知识梳理
难点与新考法15圆中相关计算、切线、内切圆、阴影面积等问题(7大热考题型)(解析版)_2数学总复习_2025中考复习资料_2025年中考数学一轮知识梳理
难点与新考法15圆中相关计算、切线、内切圆、阴影面积等问题(7大热考题型)(解析版)_2数学总复习_2025中考复习资料_2025年中考数学一轮知识梳理
难点与新考法15圆中相关计算、切线、内切圆、阴影面积等问题(7大热考题型)(解析版)_2数学总复习_2025中考复习资料_2025年中考数学一轮知识梳理
难点与新考法15圆中相关计算、切线、内切圆、阴影面积等问题(7大热考题型)(解析版)_2数学总复习_2025中考复习资料_2025年中考数学一轮知识梳理
难点与新考法15圆中相关计算、切线、内切圆、阴影面积等问题(7大热考题型)(解析版)_2数学总复习_2025中考复习资料_2025年中考数学一轮知识梳理
难点与新考法15圆中相关计算、切线、内切圆、阴影面积等问题(7大热考题型)(解析版)_2数学总复习_2025中考复习资料_2025年中考数学一轮知识梳理
难点与新考法15圆中相关计算、切线、内切圆、阴影面积等问题(7大热考题型)(解析版)_2数学总复习_2025中考复习资料_2025年中考数学一轮知识梳理
难点与新考法15圆中相关计算、切线、内切圆、阴影面积等问题(7大热考题型)(解析版)_2数学总复习_2025中考复习资料_2025年中考数学一轮知识梳理
难点与新考法15圆中相关计算、切线、内切圆、阴影面积等问题(7大热考题型)(解析版)_2数学总复习_2025中考复习资料_2025年中考数学一轮知识梳理
难点与新考法15圆中相关计算、切线、内切圆、阴影面积等问题(7大热考题型)(解析版)_2数学总复习_2025中考复习资料_2025年中考数学一轮知识梳理
难点与新考法15圆中相关计算、切线、内切圆、阴影面积等问题(7大热考题型)(解析版)_2数学总复习_2025中考复习资料_2025年中考数学一轮知识梳理
难点与新考法15圆中相关计算、切线、内切圆、阴影面积等问题(7大热考题型)(解析版)_2数学总复习_2025中考复习资料_2025年中考数学一轮知识梳理
难点与新考法15圆中相关计算、切线、内切圆、阴影面积等问题(7大热考题型)(解析版)_2数学总复习_2025中考复习资料_2025年中考数学一轮知识梳理
难点与新考法15圆中相关计算、切线、内切圆、阴影面积等问题(7大热考题型)(解析版)_2数学总复习_2025中考复习资料_2025年中考数学一轮知识梳理
难点与新考法15圆中相关计算、切线、内切圆、阴影面积等问题(7大热考题型)(解析版)_2数学总复习_2025中考复习资料_2025年中考数学一轮知识梳理
难点与新考法15圆中相关计算、切线、内切圆、阴影面积等问题(7大热考题型)(解析版)_2数学总复习_2025中考复习资料_2025年中考数学一轮知识梳理
难点与新考法15圆中相关计算、切线、内切圆、阴影面积等问题(7大热考题型)(解析版)_2数学总复习_2025中考复习资料_2025年中考数学一轮知识梳理
难点与新考法15圆中相关计算、切线、内切圆、阴影面积等问题(7大热考题型)(解析版)_2数学总复习_2025中考复习资料_2025年中考数学一轮知识梳理
难点与新考法15圆中相关计算、切线、内切圆、阴影面积等问题(7大热考题型)(解析版)_2数学总复习_2025中考复习资料_2025年中考数学一轮知识梳理
难点与新考法15圆中相关计算、切线、内切圆、阴影面积等问题(7大热考题型)(解析版)_2数学总复习_2025中考复习资料_2025年中考数学一轮知识梳理
难点与新考法15圆中相关计算、切线、内切圆、阴影面积等问题(7大热考题型)(解析版)_2数学总复习_2025中考复习资料_2025年中考数学一轮知识梳理
难点与新考法15圆中相关计算、切线、内切圆、阴影面积等问题(7大热考题型)(解析版)_2数学总复习_2025中考复习资料_2025年中考数学一轮知识梳理
难点与新考法15圆中相关计算、切线、内切圆、阴影面积等问题(7大热考题型)(解析版)_2数学总复习_2025中考复习资料_2025年中考数学一轮知识梳理
难点与新考法15圆中相关计算、切线、内切圆、阴影面积等问题(7大热考题型)(解析版)_2数学总复习_2025中考复习资料_2025年中考数学一轮知识梳理
难点与新考法15圆中相关计算、切线、内切圆、阴影面积等问题(7大热考题型)(解析版)_2数学总复习_2025中考复习资料_2025年中考数学一轮知识梳理
难点与新考法15圆中相关计算、切线、内切圆、阴影面积等问题(7大热考题型)(解析版)_2数学总复习_2025中考复习资料_2025年中考数学一轮知识梳理
难点与新考法15圆中相关计算、切线、内切圆、阴影面积等问题(7大热考题型)(解析版)_2数学总复习_2025中考复习资料_2025年中考数学一轮知识梳理
难点与新考法15圆中相关计算、切线、内切圆、阴影面积等问题(7大热考题型)(解析版)_2数学总复习_2025中考复习资料_2025年中考数学一轮知识梳理
难点与新考法15圆中相关计算、切线、内切圆、阴影面积等问题(7大热考题型)(解析版)_2数学总复习_2025中考复习资料_2025年中考数学一轮知识梳理
难点与新考法15圆中相关计算、切线、内切圆、阴影面积等问题(7大热考题型)(解析版)_2数学总复习_2025中考复习资料_2025年中考数学一轮知识梳理
难点与新考法15圆中相关计算、切线、内切圆、阴影面积等问题(7大热考题型)(解析版)_2数学总复习_2025中考复习资料_2025年中考数学一轮知识梳理
难点与新考法15圆中相关计算、切线、内切圆、阴影面积等问题(7大热考题型)(解析版)_2数学总复习_2025中考复习资料_2025年中考数学一轮知识梳理
难点与新考法15圆中相关计算、切线、内切圆、阴影面积等问题(7大热考题型)(解析版)_2数学总复习_2025中考复习资料_2025年中考数学一轮知识梳理
难点与新考法15圆中相关计算、切线、内切圆、阴影面积等问题(7大热考题型)(解析版)_2数学总复习_2025中考复习资料_2025年中考数学一轮知识梳理
难点与新考法15圆中相关计算、切线、内切圆、阴影面积等问题(7大热考题型)(解析版)_2数学总复习_2025中考复习资料_2025年中考数学一轮知识梳理
难点与新考法15圆中相关计算、切线、内切圆、阴影面积等问题(7大热考题型)(解析版)_2数学总复习_2025中考复习资料_2025年中考数学一轮知识梳理
难点与新考法15圆中相关计算、切线、内切圆、阴影面积等问题(7大热考题型)(解析版)_2数学总复习_2025中考复习资料_2025年中考数学一轮知识梳理
难点与新考法15圆中相关计算、切线、内切圆、阴影面积等问题(7大热考题型)(解析版)_2数学总复习_2025中考复习资料_2025年中考数学一轮知识梳理
难点与新考法15圆中相关计算、切线、内切圆、阴影面积等问题(7大热考题型)(解析版)_2数学总复习_2025中考复习资料_2025年中考数学一轮知识梳理
难点与新考法15圆中相关计算、切线、内切圆、阴影面积等问题(7大热考题型)(解析版)_2数学总复习_2025中考复习资料_2025年中考数学一轮知识梳理
难点与新考法15圆中相关计算、切线、内切圆、阴影面积等问题(7大热考题型)(解析版)_2数学总复习_2025中考复习资料_2025年中考数学一轮知识梳理
难点与新考法15圆中相关计算、切线、内切圆、阴影面积等问题(7大热考题型)(解析版)_2数学总复习_2025中考复习资料_2025年中考数学一轮知识梳理
难点与新考法15圆中相关计算、切线、内切圆、阴影面积等问题(7大热考题型)(解析版)_2数学总复习_2025中考复习资料_2025年中考数学一轮知识梳理
难点与新考法15圆中相关计算、切线、内切圆、阴影面积等问题(7大热考题型)(解析版)_2数学总复习_2025中考复习资料_2025年中考数学一轮知识梳理
难点与新考法15圆中相关计算、切线、内切圆、阴影面积等问题(7大热考题型)(解析版)_2数学总复习_2025中考复习资料_2025年中考数学一轮知识梳理
难点与新考法15圆中相关计算、切线、内切圆、阴影面积等问题(7大热考题型)(解析版)_2数学总复习_2025中考复习资料_2025年中考数学一轮知识梳理
难点与新考法15圆中相关计算、切线、内切圆、阴影面积等问题(7大热考题型)(解析版)_2数学总复习_2025中考复习资料_2025年中考数学一轮知识梳理
难点与新考法15圆中相关计算、切线、内切圆、阴影面积等问题(7大热考题型)(解析版)_2数学总复习_2025中考复习资料_2025年中考数学一轮知识梳理
难点与新考法15圆中相关计算、切线、内切圆、阴影面积等问题(7大热考题型)(解析版)_2数学总复习_2025中考复习资料_2025年中考数学一轮知识梳理
难点与新考法15圆中相关计算、切线、内切圆、阴影面积等问题(7大热考题型)(解析版)_2数学总复习_2025中考复习资料_2025年中考数学一轮知识梳理
难点与新考法15圆中相关计算、切线、内切圆、阴影面积等问题(7大热考题型)(解析版)_2数学总复习_2025中考复习资料_2025年中考数学一轮知识梳理
难点与新考法15圆中相关计算、切线、内切圆、阴影面积等问题(7大热考题型)(解析版)_2数学总复习_2025中考复习资料_2025年中考数学一轮知识梳理
难点与新考法15圆中相关计算、切线、内切圆、阴影面积等问题(7大热考题型)(解析版)_2数学总复习_2025中考复习资料_2025年中考数学一轮知识梳理
难点与新考法15圆中相关计算、切线、内切圆、阴影面积等问题(7大热考题型)(解析版)_2数学总复习_2025中考复习资料_2025年中考数学一轮知识梳理
难点与新考法15圆中相关计算、切线、内切圆、阴影面积等问题(7大热考题型)(解析版)_2数学总复习_2025中考复习资料_2025年中考数学一轮知识梳理
难点与新考法15圆中相关计算、切线、内切圆、阴影面积等问题(7大热考题型)(解析版)_2数学总复习_2025中考复习资料_2025年中考数学一轮知识梳理
难点与新考法15圆中相关计算、切线、内切圆、阴影面积等问题(7大热考题型)(解析版)_2数学总复习_2025中考复习资料_2025年中考数学一轮知识梳理
难点与新考法15圆中相关计算、切线、内切圆、阴影面积等问题(7大热考题型)(解析版)_2数学总复习_2025中考复习资料_2025年中考数学一轮知识梳理
难点与新考法15圆中相关计算、切线、内切圆、阴影面积等问题(7大热考题型)(解析版)_2数学总复习_2025中考复习资料_2025年中考数学一轮知识梳理
难点与新考法15圆中相关计算、切线、内切圆、阴影面积等问题(7大热考题型)(解析版)_2数学总复习_2025中考复习资料_2025年中考数学一轮知识梳理
难点与新考法15圆中相关计算、切线、内切圆、阴影面积等问题(7大热考题型)(解析版)_2数学总复习_2025中考复习资料_2025年中考数学一轮知识梳理
难点与新考法15圆中相关计算、切线、内切圆、阴影面积等问题(7大热考题型)(解析版)_2数学总复习_2025中考复习资料_2025年中考数学一轮知识梳理
难点与新考法15圆中相关计算、切线、内切圆、阴影面积等问题(7大热考题型)(解析版)_2数学总复习_2025中考复习资料_2025年中考数学一轮知识梳理
难点与新考法15圆中相关计算、切线、内切圆、阴影面积等问题(7大热考题型)(解析版)_2数学总复习_2025中考复习资料_2025年中考数学一轮知识梳理
难点与新考法15圆中相关计算、切线、内切圆、阴影面积等问题(7大热考题型)(解析版)_2数学总复习_2025中考复习资料_2025年中考数学一轮知识梳理
难点与新考法15圆中相关计算、切线、内切圆、阴影面积等问题(7大热考题型)(解析版)_2数学总复习_2025中考复习资料_2025年中考数学一轮知识梳理
难点与新考法15圆中相关计算、切线、内切圆、阴影面积等问题(7大热考题型)(解析版)_2数学总复习_2025中考复习资料_2025年中考数学一轮知识梳理
难点与新考法15圆中相关计算、切线、内切圆、阴影面积等问题(7大热考题型)(解析版)_2数学总复习_2025中考复习资料_2025年中考数学一轮知识梳理
难点与新考法15圆中相关计算、切线、内切圆、阴影面积等问题(7大热考题型)(解析版)_2数学总复习_2025中考复习资料_2025年中考数学一轮知识梳理
难点与新考法15圆中相关计算、切线、内切圆、阴影面积等问题(7大热考题型)(解析版)_2数学总复习_2025中考复习资料_2025年中考数学一轮知识梳理
难点与新考法15圆中相关计算、切线、内切圆、阴影面积等问题(7大热考题型)(解析版)_2数学总复习_2025中考复习资料_2025年中考数学一轮知识梳理
难点与新考法15圆中相关计算、切线、内切圆、阴影面积等问题(7大热考题型)(解析版)_2数学总复习_2025中考复习资料_2025年中考数学一轮知识梳理
难点与新考法15圆中相关计算、切线、内切圆、阴影面积等问题(7大热考题型)(解析版)_2数学总复习_2025中考复习资料_2025年中考数学一轮知识梳理
难点与新考法15圆中相关计算、切线、内切圆、阴影面积等问题(7大热考题型)(解析版)_2数学总复习_2025中考复习资料_2025年中考数学一轮知识梳理
难点与新考法15圆中相关计算、切线、内切圆、阴影面积等问题(7大热考题型)(解析版)_2数学总复习_2025中考复习资料_2025年中考数学一轮知识梳理
难点与新考法15圆中相关计算、切线、内切圆、阴影面积等问题(7大热考题型)(解析版)_2数学总复习_2025中考复习资料_2025年中考数学一轮知识梳理
难点与新考法15圆中相关计算、切线、内切圆、阴影面积等问题(7大热考题型)(解析版)_2数学总复习_2025中考复习资料_2025年中考数学一轮知识梳理
难点与新考法15圆中相关计算、切线、内切圆、阴影面积等问题(7大热考题型)(解析版)_2数学总复习_2025中考复习资料_2025年中考数学一轮知识梳理
难点与新考法15圆中相关计算、切线、内切圆、阴影面积等问题(7大热考题型)(解析版)_2数学总复习_2025中考复习资料_2025年中考数学一轮知识梳理
难点与新考法15圆中相关计算、切线、内切圆、阴影面积等问题(7大热考题型)(解析版)_2数学总复习_2025中考复习资料_2025年中考数学一轮知识梳理
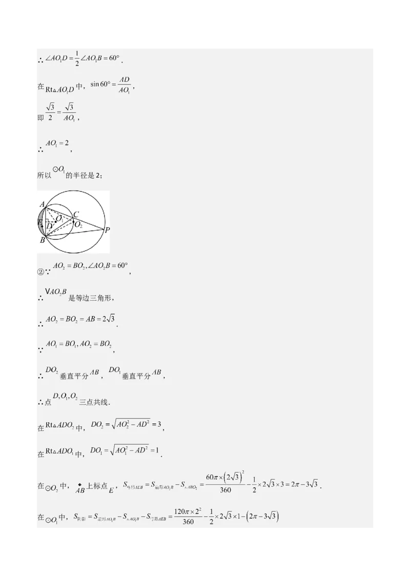
难点与新考法15圆中相关计算、切线、内切圆、阴影面积等问题(7大热考题型)(解析版)_2数学总复习_2025中考复习资料_2025年中考数学一轮知识梳理

文档信息

文档格式
docx
文档大小
8.620 MB
文档页数
107 页
上传时间
2026-02-06 04:00:01

文档内容

难点与新考法 15 圆中相关计算、切线、内切圆、阴影面积等问题 (7 大热考题型) 题型一:与圆周角有关计算 题型二:与垂径定理有关计算 题型三:与圆内接四边形有关计算 题型四:切线的判定问题 题型五:与切线性质有关计算 题型六:三角形的内心及内切圆 题型七:阴影部分面积计算 题型一:与圆周角有关计算 圆周角定理及其推论 常 见 形 式 方 找到同弧所对的圆周角和圆心角,通过其角度的2倍关系进 根据直径所对的圆 利用同弧或等弧 法 行计算 周角是 90°进行计 所对的圆周角相 算 等进行计算 结 ∠ACB=90° ∠ACB=∠ADB 论 ∠ACB= ∠AOB 【中考母题学方法】 【典例1-1】(2024·江苏苏州·中考真题)如图, 是 的内接三角形,若 ,则 .【答案】 /62度 【分析】本题考查了圆周角定理,等腰三角形的性质,三角形内角和定理,连接 ,利用等腰三角形的 性质,三角形内角和定理求出 的度数,然后利用圆周角定理求解即可. 【详解】解:连接 , ∵ , , ∴ , ∴ , ∴ , 故答案为: . 【典例1-2】(2024·黑龙江大兴安岭地·中考真题)如图, 内接于 ,AD是直径,若 , 则 . 【答案】 【分析】本题考查了圆周角定理,直角三角形的两个锐角互余,连接 ,根据直径所对的圆周角是直角 得出 ,根据同弧所对的圆周角相等得出 ,进而根据直角三角形的两个锐角互余, 即可求解. 【详解】解:如图所示,连接 , ∵ 内接于 ,AD是直径,∴ , ∵ , , ∴ ∴ , 故答案为: . 【典例1-3】(2024·四川眉山·中考真题)如图, 内接于 ,点 在 上, 平分 交 于 ,连接 .若 , ,则 的长为 . 【答案】 【分析】本题考查了圆周角定理,角平分线的定义全等三角形的判定和性质,勾股定理,相似三角形的判 定和性质,延长 , 交于 ,由圆周角定理可得 , ,进而 可证明 ,得到 ,即得 ,利用勾股定理得 ,再证明 ,得到 ,据此即可求解,正确作出辅助线是解题的关键. 【详解】解:延长 , 交于 , 是 的直径, , , 平分 , , 又∵ , ∴ , , ,, , , , 又∵ , ∴ , , , , , , 故答案为: . 【典例1-4】(2024·陕西·中考真题)如图, 是 的弦,连接 , , 是 所对的圆周角, 则 与 的和的度数是 . 【答案】90°/90度 【分析】本题考查了圆周角定理,等腰三角形的性质,三角形内角和定理,熟练掌握圆周角定理是解题的 关键.根据圆周角定理可得 ,结合三角形内角和定理,可证明 ,再根据等腰三角形的性质可知 ,由此即得答案. 【详解】 是 所对的圆周角, 是 所对的圆心角, , , , , , , , . 故答案为: . 【典例1-5】(2024·山东泰安·中考真题)如图, 是 的直径, 是 的切线,点 为 上任意 一点,点 为 的中点,连接 交 于点 ,延长 与 相交于点 ,若 , ,则 的长为 . 【答案】 【分析】本题主要考查相似三角形的判定和性质、切线的性质、圆周角定理等知识,熟练掌握相关知识是 解题关键. 先证 可得 从而得到 ,求得 ,再运用勾股定理可 得 ,再根据圆周角定理以及角的和差可得 ,最后根据等角对等边即可解答. 【详解】解:∵ 是 的直径, ∴ , ∵ 是 的切线,∴ , ∴ , ∴ , ∴ , ∵ , ∴ , ∴ , ∵点 为 的中点, ∴ , ∴ , ∵ , ∴ ,即 , ∴ . 故答案为: . 【中考模拟即学即练】 【变式1-1】(2024·西藏·中考真题)如图, 为 的直径,点B,D在 上, , , 则 的长为( ) A.2 B. C. D.4 【答案】C 【分析】本题考查圆周角定理及勾股定理,根据同弧所对圆周角相等及直径所对圆周角是直角得到 , ,根据 得到 ,最后根据勾股定理求解即可得到答 案【详解】解:∵ 为 的直径, ∴ , ∵ , , ∴ , ∴ , ∵ , ∴ , ∴ , 故选:C. 【变式1-2】(2024·北京·中考真题)如图, 的直径 平分弦 (不是直径).若 ,则 【答案】55 【分析】本题考查了垂径定理的推论,圆周角定理,直角三角形的性质,熟练掌握知识点是解题的关键. 先由垂径定理得到 ,由 得到 ,故 . 【详解】解:∵直径 平分弦 , ∴ , ∵ , ∴ , ∴ , 故答案为: . 【变式1-3】(2024·江苏常州·中考真题)如图, 是 的直径, 是 的弦,连接 . 若 ,则 .【答案】 【分析】本题考查圆周角定理,根据同弧所对的圆周角相等,直径所对的圆周角为直角,结合三角形的内 角和定理,进行求解即可. 【详解】解:∵ 是 的直径, , , ∴ , ∴ ; 故答案为: . 【变式1-4】(2024·江苏镇江·中考真题)如图, 是 的内接正n边形的一边,点C在 上, ,则 . 【答案】10 【分析】本题考查了正多边形和圆、圆周角定理等知识,求出中心角的度数是解题的关键.由圆周角定理 得 ,再根据正 边形的边数 中心角,即可得出结论. 【详解】解: , , , 故答案为:10. 【变式1-5】(2025·广东·模拟预测)如图,点A,B,C在 上,若 ,则 的度数为( )A. B. C. D. 【答案】B 【分析】本题主要考查了圆周角定理,等腰三角形的性质,三角形内角和定理,解题的关键是熟练掌握相 关的定义,先根据等腰三角形性质得出 ,再根据三角形内角和定理求出 ,再根据圆周角定理求出结果即可. 【详解】解: , , , , . 故选:B. 【变式1-6】(2025·湖北黄石·一模)如图,四边形 内接于 , , 为对角线, 经过圆心 O.若 ,则 的度数为( ) A. B. C. D. 【答案】B 【分析】本题考查了圆周角定理,熟练掌握直径所对的圆周角是 是解题的关键.由 经过圆心O,即 是 的直径,可得 ,再根据圆周角定理可得 ,即可求出 的 度数. 【详解】解: 经过圆心O,即 是 的直径, ,又 , . 故选:B. 【变式1-7】(2025·广西·模拟预测)如图, 是 的直径,点 、 在 上.若 , ,则 的度数是 . 【答案】 【分析】本题主要考查了圆周角定理, 先连接 ,根据等弧所对的圆心角相等得 ,再根据圆周角定理得出答案. 【详解】如图所示, 连接 , ∵ , ∴ , ∴ . 故答案为: . 题型二:与垂径定理有关计算 垂径定理及其推论 1.定理:垂直于弦的直径平分这条弦,并且平分弦所对的两条弧。 2.解题思路:如图①,有直角三角形,直接利用勾股定理解题:如图②.③,无直角三角形作半径和弦心距,构造直角三角形. 知识拓展 如果一条直线满足下列 5个结论中的2个,便可推出其他3个结论(记为“知二推三”):①过圆 心;②垂直于弦:③平分弦(不是直径):④平分弦所对的优弧:⑤平分弦所对的劣弧. 【中考母题学方法】 【典例2-1】(2024·四川凉山·中考真题)数学活动课上,同学们要测一个如图所示的残缺圆形工件的半径, 小明的解决方案是:在工件圆弧上任取两点 ,连接 ,作 的垂直平分线 交 于点 ,交 于点 ,测出 ,则圆形工件的半径为( ) A. B. C. D. 【答案】C 【分析】本题考查垂径定理,勾股定理等知识.由垂径定理,可得出 的长;设圆心为O,连接 ,在 中,可用半径 表示出 的长,进而可根据勾股定理求出得出轮子的半径,即可得出轮子的 直径长. 【详解】解:∵ 是线段 的垂直平分线, ∴直线 经过圆心,设圆心为 ,连接 .中, , 根据勾股定理得: ,即: , 解得: ; 故轮子的半径为 , 故选:C. 【典例2-2】(2023·广西·中考真题)赵州桥是当今世界上建造最早,保存最完整的中国古代单孔敞肩石拱 桥.如图,主桥拱呈圆弧形,跨度约为 ,拱高约为 ,则赵州桥主桥拱半径R约为( ) A. B. C. D. 【答案】B 【分析】由题意可知, , ,主桥拱半径R,根据垂径定理,得到 ,再利用勾股 定理列方程求解,即可得到答案. 【详解】解:如图,由题意可知, , ,主桥拱半径R, , 是半径,且 , , 在 中, ,, 解得: , 故选B 【点睛】本题考查了垂径定理,勾股定理,利用直角三角形求解是解题关键. 【典例2-3】(2023·陕西·中考真题)陕西饮食文化源远流长,“老碗面”是陕西地方特色美食之一.图② 是从正面看到的一个“老碗”( 图①)的形状示意图. 是 的一部分, 是 的中点,连接 , 与弦 交于点 ,连接 , .已知 cm,碗深 ,则 的半径 为( ) A.13cm B.16cm C.17cm D.26cm 【答案】A 【分析】首先利用垂径定理的推论得出 , ,再设 的半径 为 , 则 .在 中根据勾股定理列出方程 ,求出 即可. 【详解】解: 是 的一部分, 是 的中点, , , . 设 的半径 为 ,则 . 在 中, ,, , , 即 的半径 为 . 故选:A. 【点睛】本题考查了垂径定理、勾股定理的应用,设 的半径 为 ,列出关于 的方程是解题的 关键. 【典例2-4】(2023·湖北荆州·中考真题)如图,一条公路的转弯处是一段圆弧( ),点 是这段弧所 在圆的圆心, 为 上一点, 于 .若 , ,则 的长为( ) A. B. C. D. 【答案】B 【分析】根据垂径定理求出 长度,再根据勾股定理求出半径长度,最后利用弧长公式即可求出答案. 【详解】解: ,点 是这段弧所在圆的圆心, ,, , , , . , , . 设 ,则 , 在 中, , ,. , , . 故选:B. 【点睛】本题考查了圆的垂径定理,弧长公式,解题的关键在于通过勾股定理求出半径长度,从而求出所 求弧长所对应的圆心角度数. 【典例2-5】(2023·浙江温州·中考真题)图1是 方格绘成的七巧板图案,每个小方格的边长为 , 现将它剪拼成一个“房子”造型(如图2),过左侧的三个端点作圆,并在圆内右侧部分留出矩形 作为 题字区域(点 , , , 在圆上,点 , 在 上),形成一幅装饰画,则圆的半径为 . 若点 , , 在同一直线上, , ,则题字区域的面积为 . 【答案】 5 【分析】根据不共线三点确定一个圆,根据对称性得出圆心的位置,进而垂径定理、勾股定理求得 ,连 接 ,取 的中点 ,连接 ,在 中,根据勾股定理即可求解. 【详解】解:如图所示,依题意, , ∵过左侧的三个端点 作圆, , 又 , ∴ 在 上,连接 ,则 为半径,∵ , 在 中, ∴ 解得: ; 连接 ,取 的中点 ,连接 ,交 于点 ,连接 , , ∵ , ∴ , ∴ , ∵点 , , 在同一直线上, ∴ , ∴ , 又 , ∴ ∵ , ∴ ∴ ∵ ∴ ∴ , ∵ ,设 ,则 在 中, 即 整理得 即 解得: 或 ∴题字区域的面积为 故答案为: ; . 【点睛】本题考查了垂径定理,平行线分线段成比例,勾股定理,七巧板,熟练掌握以上知识是解题的关 键. 【中考模拟即学即练】 【变式2-1】(2025·广西柳州·一模)某项目化研究小组只用一张矩形纸条和刻度尺,来测量一次性纸杯杯 底的直径.小敏同学想到了如下方法:如图,将纸条拉直并紧贴杯底,纸条的上下边沿分别与杯底相交于 、 、 、 四点,然后利用刻度尺量得该纸条的宽为 , , .请你帮忙计算 纸杯杯底的直径为( ) A. B. C. D. 【答案】B 【分析】本题考查垂径定理的应用,勾股定理.由垂径定理求出 , 的长,设 ,由勾股定理 得到 ,求出 的值,得到 的长,由勾股定理求出 长,即可求出纸杯的直径长. 【详解】解:如图, , 过圆心 ,连接 , ,, ∵ , , , , 设 , , , , , , , , , 纸杯的直径为 . 故选:B. 【变式2-2】(2024·内蒙古包头·模拟预测)如图, 是 的外接圆, 是 的直径,点 是弧 的中点, 与 相交于点 ,连接 交 于点 .若 为 的中点, ,则 的长为 ( ) A. B. C.6 D.【答案】B 【分析】先由垂径定理得到 , ,再由 是直径,得到 ,结合 是 的中 点,可证明 ,得到 ,再由中位线得到 ,即可得到半径 , 最后在 中,利用勾股定理计算 即可. 【详解】解:∵点 是弧 的中点, ∴ , , ∵ 是直径, ∴ , ∴ , ∵ 是 的中点, ∴ , ∵ , ∴ , ∴ , ∵ , ∴ , ∴ , ∴ , ∴在 中, . 故选:B. 【点睛】本题考查垂径定理,勾股定理,圆周角定理,全等三角形的判定与性质,三角形的中位线. 【变式2-3】(2024·内蒙古通辽·中考真题)如图,圆形拱门最下端 在地面上, 为 的中点, 为 拱门最高点,线段 经过拱门所在圆的圆心,若 , ,则拱门所在圆的半径为( )A. B. C. D. 【答案】B 【分析】本题考查的是垂径定理的实际应用。勾股定理的应用,如图,连接 ,先证明 , ,再进一步的利用勾股定理计算即可; 【详解】解:如图,连接 , ∵ 为 的中点, 为拱门最高点,线段 经过拱门所在圆的圆心, , ∴ , , 设拱门所在圆的半径为 , ∴ ,而 , ∴ , ∴ , 解得: , ∴拱门所在圆的半径为 ; 故选B 【变式2-4】(2023·湖南永州·中考真题)如图, 是一个盛有水的容器的横截面, 的半径为 . 水的最深处到水面AB的距离为 ,则水面AB的宽度为 . 【答案】【分析】过点 作 于点 ,交 于点 ,则 ,依题意,得出 ,进而在 中,勾股定理即可求解. 【详解】解:如图所示,过点 作 于点 ,交 于点 ,则 , ∵水的最深处到水面AB的距离为 , 的半径为 . ∴ , 在 中, ∴ 故答案为: . 【点睛】本题考查了垂径定理的应用,勾股定理,熟练掌握垂径定理是解题的关键. 【变式2-5】(2023·山东东营·中考真题)《九章算术》是中国传统数学重要的著作之一,其中第九卷《勾 股》中记载了一个“圆材埋壁”的问题:“今有圆材,埋在壁中,不知大小.以锯锯之、深一寸,锯道长 一尺,问径几何?”用几何语言表达为:如图, 是 的直径,弦 于点E, 寸, 寸,则直径 长为 寸. 【答案】26 【分析】本题主要考查了垂径定理和勾股定理,设 寸,则 寸,由垂径定理得到 寸,再由勾股定理可得方程 ,解方程即可得到答案.【详解】解:设 寸,则 寸, , 是直径, 寸, 在 中,由勾股定理得 , , , 寸, 故答案为:26. 题型三:与圆内接四边形有关计算 圆内接四边形的性质 性质1:圆内接四边形的对角互补 性质2:任意一个外角等于它的内对角. 【中考母题学方法】 【典例3-1】(2024·甘肃定西·模拟预测)如图, 是半圆O的直径,C,D是半圆上两点,且满足 , ,则弧 的长为( ) A. B. C. D. 【答案】B 【分析】本题主要考查了圆内接四边形的性质,弧长公式,等边三角形的性质与判定,由圆内接四边形对 角互补得到求出 ,再证明 是等边三角形,得到 , ,再根据弧长公 式进行计算即可. 【详解】解:如图,连接, , , ∴ 是等边三角形, ∴ , , 的长为 , 故选:B. 【典例3-2】(2024·四川泸州·中考真题)如图, , 是 的切线,切点为A,D,点B,C在 上, 若 ,则 ( ) A. B. C. D. 【答案】C 【分析】本题考查了圆的内接四边形的性质,切线长定理,等腰三角形的性质等知识点,正确作辅助线是 解题关键. 根据圆的内接四边形的性质得 ,由 得 ,由切线长 定理得 ,即可求得结果. 【详解】解:如图,连接 , ∵四边形 是 的内接四边形, ∴ ,∵ , ∴ , 即 , ∴ , ∵ , 是 的切线,根据切线长定理得, ∴ , ∴ , ∴ . 故选:C. 【典例3-3】(2024·黑龙江牡丹江·中考真题)如图,四边形 是 的内接四边形, 是 的直径, 若 ,则 的度数为( ) A. B. C. D. 【答案】B 【分析】此题考查了圆周角定理、圆内接四边形的性质,连接 ,由 是 的直径得到 , 根据圆周角定理得到 ,得到 ,再由圆内接四边形对角互补 得到答案. 【详解】解:如图,连接 , ∵ 是 的直径,∴ , ∵ , ∴ ∴ ∵四边形 是 的内接四边形, ∴ , 故选:B 【典例3-4】(2024·山东济宁·中考真题)如图,分别延长圆内接四边形 的两组对边,延长线相交于 点E,F.若 , ,则 的度数为( ) A. B. C. D. 【答案】C 【分析】根据“圆的内接四边形对角互补”可得 , .根据三角形外 角定理可得 , ,由此可得 ,又由 ,可得 ,即可得解. 本题主要考查了“圆的内接四边形对角互补”和三角形外角定理,熟练掌握以上知识是解题的关键. 【详解】∵四边形 是 的内接四边形 ∴ , , , , , , , , 解得 , , . 故选:C 【典例3-5】(2024·内蒙古包头·中考真题)如图,四边形 是 的内接四边形,点 在四边形内部,过点 作 的切线交 的延长线于点 ,连接 .若 , ,则 的度数为 . 【答案】 /105度 【分析】本题考查了切线的性质,等腰三角形的性质,圆内接四边形的性质等知识,连接 ,利用等边 对等角得出 , ,利用切线的性质可求出 ,然后利 用圆内接四边形的性质求解即可. 【详解】解∶连接 , ∵ , , ∴ , , ∵ 是切线, ∴ ,即 , ∵ , ∴ , ∴ , ∵四边形 是 的内接四边形, ∴ , 故答案为: . 【中考模拟即学即练】 【变式3-1】(2024·吉林·中考真题)如图,四边形 内接于 ,过点B作 ,交 于点 E.若 ,则 的度数是( )A. B. C. D. 【答案】C 【分析】本题考查了平行线的性质,圆的内接四边形的性质,熟练掌握知识点是解题的关键. 先根据 得到 ,再由四边形 内接于 得到 ,即可求解. 【详解】解:∵ , , ∴ , ∵四边形 内接于 , ∴ , ∴ , 故选:C. 【变式3-2】(2024·湖北宜昌·模拟预测)如图,在 内,若圆周角 ,则圆心角 的度数 是( ) A. B. C. D. 【答案】B 【分析】本题考查了圆周角定理,圆内接四边形的性质,在优弧 上取一点 ,连接 ,利用圆 内接四边形的性质得到 ,然后根据圆周角定理得到 的度数,掌握知识点的应 用是解题的关键. 【详解】解:在优弧 上取一点 ,连接 ,如图,∵四边形 是 内接四边形, ∴ , ∵ , ∴ , ∴ , 故选: . 【变式3-3】(2024·湖北宜昌·二模)如图,点O是 的外心,若 ,求弦 所对的圆周 角 . 【答案】 或 【分析】本题考查了圆周角定理,内接四边形的性质,分两种情况:当 是锐角三角形时;当 是钝角三角形时,分别求解即可得解. 【详解】解:当 是锐角三角形时, ∵ , ∴ , 当 是钝角三角形时, ∵ , ∴ , 综上所述,弦 所对的圆周角为 或 , 故答案为: 或 .【变式3-4】(2024·北京·模拟预测)平面中有四个点 交 于点 使得 .三角形 的外接圆为 .表示 和 的关系 【答案】 或 【分析】本题主要考查了圆周角定理,相似三角形的性质与判定,圆内接四边形的性质,先证明 ,得到 ,则A、B、C、D四点共圆,即A、B、C、D都在 上,再分, 当A、M在直线 两侧时,当A、M在直线 同侧时,利用圆周角定理求解即可. 【详解】解:∵ , ∴ , 又∵ , ∴ , ∴ , ∴A、B、C、D四点共圆,即A、B、C、D都在 上, 如图所示,当A、M在直线 两侧时,由圆周角定理可得 如图所示,当A、M在直线 同侧时,由圆周角定理可得 , 由圆内接四边形对角互补可知 , ∴ , ∴ ; 综上所述, 或 , 故答案为: 或 .题型四:切线的判定问题 1.连半径,证垂直 连接圆心与交点,证明直线垂直半径,即“连半径,证垂直”.常见的情形如下 条件 图形 提示 已知∠C=90° 证明半径 OE//AC 已知∠ABC=90° 证明△ODC≌△OBC 已知AB是⊙0的直径,D是⊙0上 证明∠ADO=∠BDC,结合等腰三角 的点,即∠ADB=90° 形,利用等角的余角相等“倒角” 2.作垂直,证相等 过圆心作直线的垂线段,证明垂线段长等于半径,即“作垂直,证相等”证明圆心到直线的距离等于半径的常 见证明方法:①利用角平分线上的点到角两边的距离相等:②证明三角形全等. 【中考母题学方法】 【典例4-1】(2023·广东深圳·中考真题)如图,在单位长度为1的网格中,点O,A,B均在格点上, , ,以O为圆心, 为半径画圆,请按下列步骤完成作图,并回答问题:①过点A作切线 ,且 (点C在A的上方); ②连接 ,交 于点D; ③连接 ,与 交于点E. (1)求证: 为 的切线; (2)求 的长度. 【答案】(1)画图见解析,证明见解析 (2) 【分析】(1)根据题意作图,首先根据勾股定理得到 ,然后证明出 ,得到 ,即可证明出 为 的切线; (2)首先根据全等三角形的性质得到 ,然后证明出 ,利用相似三角形的性质 求解即可. 【详解】(1)如图所示, ∵ 是 的切线, ∴ , ∵ , , ∴ , ∵ , , ∴ , ∴ , 又∵ , , ∴ ,∴ , ∴ , ∵点D在 上, ∴ 为 的切线; (2)∵ , ∴ , ∵ , , ∴ , ∴ ,即 , ∴解得 . 【点睛】此题考查了格点作图,圆切线的性质和判定,全等三角形的性质和判定,相似三角形的性质和判 定等知识,解题的关键是熟练掌握以上知识点. 【典例4-2】(2024·山东东营·中考真题)如图, 内接于 , 是 的直径,点 在 上,点 是 的中点, ,垂足为点D, 的延长线交 的延长线于点F. (1)求证: 是 的切线; (2)若 , ,求线段 的长. 【答案】(1)见解析 (2)6 【分析】本题主要考查了圆与三角形综合.熟练掌握圆周角定理及推论,圆切线的判定.含30°的直角三 角形性质,是解决问题的关键. (1)连接 ,由 , ,推出 ,得到 ,由 ,得到 ,即得;(2)由直径性质可得 ,推出 ,根据含30°的直角三角形性质得到 , 根据 ,得到 . 【详解】(1)证明:∵连接 ,则 , ∴ , ∵点 是 的中点, ∴ , ∴ , ∴ , ∴ , ∵ , ∴ , ∴ 是 的切线; (2)解:∵ 是 的直径, ∴ , ∵ , ∴ , ∴ , ∵ , ∴ , ∵ , ∴ . 【典例4-3】(2024·湖北·中考真题)如图,在 中, ,点 在 上,以CE为直径的经过AB上的点 ,与 交于点 ,且 . (1)求证:AB是 的切线; (2)若 , ,求 的长. 【答案】(1)证明见解析; (2) . 【分析】( )连接 ,可得 ,得到 ,即得 ,即可求证; ( )设 的半径为 ,则 ,在 中由勾股定理得 ,可得 ,即得 ,得到 ,进而得到 ,最后利用弧长公式即可求解. 【详解】(1)证明:连接 ,则 , , , , , . 是 的半径, AB是 的切线; (2)解:设 的半径为 ,则 , ∵ ,∴ , 在 中, , , 解得 , , , , , 的长为 . 【点睛】本题考查了全等三角形的判定和性质,切线的判定,勾股定理,三角函数及弧长公式,求出 是解题的关键. 【典例4-4】(2024·江苏镇江·中考真题)如图,将 沿过点 的直线翻折并展开,点 的对应点 落 在边 上,折痕为 ,点 在边 上, 经过点 、 .若 ,判断 与 的位置关 系,并说明理由. 【答案】 与 相切,理由见解析 【分析】连接 ,由等腰三角形的性质得 ,再由折叠的性质得 ,进而证 明 ,则 ,因此 ,然后由切线的判定即可得出结论. 【详解】解: 与 相切. 证明:连接 .∵ , ∴ . ∵图形沿过点A的直线翻折,点C的对应点 落在边 上, ∴ . ∴ . ∴ . ∴由 ,得 ,即 . ∴ 与 相切. 【点睛】本题考查直线与圆的位置关系、等腰三角形的性质、折叠的性质以及平行线的判定与性质等知识, 熟练掌握切线的判定和折叠的性质是解题的关键. 【典例4-5】(2024·黑龙江绥化·中考真题)如图1, 是正方形 对角线上一点,以 为圆心, 长为半径的 与AD相切于点 ,与 相交于点 . (1)求证:AB与 相切. (2)若正方形 的边长为 ,求 的半径. (3)如图2,在(2)的条件下,若点 是半径 上的一个动点,过点 作 交 于点 .当 时,求 的长. 【答案】(1)证明见解析(2) (3) 【分析】(1)方法一:连接 ,过点 作 于点 ,四边形 是正方形, 是正方形的对 角线,得出 ,进而可得 为 的半径,又 ,即可得证; 方法二:连接 ,过点 作 于点 ,根据正方形的性质证明 得出 , 同方法一即可得证; 方法三:过点 作 于点 ,连接 .得出四边形 为正方形,则 ,同方法一即可 得证; (2)根据 与AD相切于点 ,得出 ,由(1)可知 ,设 , 在 中,勾股定理得出 ,在 中,勾股定理求得 ,进而根据 建 立方程,解方程,即可求解. (3)方法一:连接 ,设 ,在 中,由勾股定理得: ,在 中,由勾股 定理得: ,结合题意 得出 ,即可得出 ; 方法二:连接 ,证明 得出 ,进而可得 ,同理可得 方法三:连接 ,证明 得出 ,设 ,则 ,进而可得 ,进而同方法一,即可求解. 【详解】(1)方法一:证明:连接 ,过点 作 于点 , 与AD相切于点 , . 四边形 是正方形, 是正方形的对角线, , , 为 的半径,为 的半径, , 与 相切. 方法二: 证明:连接 ,过点 作 于点 , 与AD相切于点 , , , 四边形 是正方形, , 又 , , , 为 的半径, 为 的半径, , 与 相切. 方法三: 证明:过点 作 于点 ,连接 . 与 相切, 为 半径, , , , , 又 四边形 为正方形, ,四边形 为矩形, 又 为正方形的对角线, , , 矩形 为正方形, . 又 为 的半径, 为 的半径, 又 , 与 相切. (2)解: 为正方形 的对角线, , 与AD相切于点 , , 由(1)可知 ,设 , 在 中, , , , , 又 正方形 的边长为 . 在 中, , , , . ∴ 的半径为 . (3)方法一:解:连接 ,设 , , , , . 在 中,由勾股定理得: , 在 中,由勾股定理得: , 又 , . . 方法二: 解:连接 , 为 的直径, , , , , , , , , , ,, , , . 方法三: 解:连接 , 为 的直径, , , , , , , , , , , , 设 ,则 , , .又 , , . 【点睛】本题考查了切线的性质与判定,正方形的性质,全等三角形的性质与判定,勾股定理,垂径定理, 相似三角形的性质与判定,正确的添加辅助线是解题的关键. 【中考模拟即学即练】 【变式4-1】(2024·山西运城·模拟预测)阅读与思考 直线与圆的位置关系学完后,圆的切线的特殊性引起了小王的重视,下面是他的数学笔记,请仔细阅读并 完成相应的任务. 欧几里得最早在《几何原本》中,把切线定义为和圆相交,但恰好只有一个交点的直线.切线:几何上, 切线指的是一条刚好触碰到曲线上某一点的直线.平面几何中,将和圆只有一个公共交点的直线叫做圆的 切线… 证明切线的常用方法:①定义法;②距离法(运用圆心到直线的距离等于半径);③利用切线的判定定理 来证明. 添加辅助线常见方法:见切点连圆心,没有切点作垂直. 图1是古代的“石磨”,其原理是在磨盘的边缘连接一个固定长度的“连杆”,推动“连杆”然后带动磨 盘转动,将粮食磨碎,物理学上称这种动力传输工具为“曲柄连杆机构”.图2是一个“双连杆”,两个 固定长度的“连杆” , 的连接点P在 上, ,垂足为O,当点P在 上转动时,带动 点A,B分别在射线 , 上滑动,当点B恰好落在 上时, ,请判断此时 与 的位置关系并说明理由.小王的解题思路如下: 与 相切. 理由:连接 . ∵点B恰好落在 上, .(依据1) , . , , . ,(依据2) , ∴ 与 相切. 任务: (1)依据1:_____________________________. 依据2:________________________________. (2)在图2中, 的半径为6, ,求 的长. 【答案】(1)同弧所对的圆周角等于圆心角的一半;三角形的内角和等于 (2) 【分析】(1)结合圆周角定理及三角形内角和定理求出 ,根据切线的判定定理即可得解; (2)过点 作 于点 ,根据直角三角形的性质及角的和差求出 ,根据“两角对 应相等的两个三角形相似”求出 ,根据相似三角形的性质求出 ,结合勾股定理及比例的性质求出 , , ,再根据勾股定理求解即可. 【详解】(1)解:(1)如图2,连接 . 点 恰好落在 上, (同弧所对的圆周角等于圆心角的一半), , . , , . (三角形内角和是 , , 与 相切. 故答案为:同弧所对的圆周角等于圆心角的一半;三角形内角和是 ; (2)解:如图2,过点 作 于点 , , 与 相切, , , , , , , , , ,, , , , , . 【点睛】此题考查了相似三角形的判定与性质、切线的判定与性质,勾股定理,圆周角定理,三角形的内 角和定理等,熟记相似三角形的判定与性质、切线的判定与性质是解题的关键. 【变式4-2】(2024·广东揭阳·模拟预测)如图,已知 是 边 上的一点,以 为圆心、 为半径 的 与边 相切于点 ,且 ,连接 ,交 于点 ,连接 并延长,交 于点 . (1)求证: 是 切线; (2)求证: ; (3)若 是 中点,求 的长. 【答案】(1)见解析 (2)见解析 (3) 【分析】(1)连接 ,由切线的性质可知 .证明 得出 ,即 ,说明 是圆O的切线; (2)证明 得出 ,整理得 ; (3)设 ,则 .由勾股定理求出x的值,得出 .由 ,可设 ,则 , ,即可求出 ,从而得出 ,解出y的值,即可求 出 ,即 半径为 .由直角三角形斜边中线的性质得出 ,结合等边对 等角,得出 ,进而可证 ,得出 ,代入数据,即可求出 ,最 后由 求解即可. 【详解】(1)证明:如图,连接 , 与圆 相切于点 , ,即 , , , ,即 , 是圆 的切线; (2)证明: , . , . 又 , , , ; (3)解: , ,设 ,则 . , , 解得: 舍去负值 , . , , 设 , 则 , , , 解得: , ,即 半径为 . 是 中点, , . , , , , ,即 , 解得: ,. 【点睛】本题考查切线的性质与判定,三角形全等的判定与性质,三角形相似的判定和性质,等腰三角形 的性质,直角三角形斜边中线的性质,勾股定理,解直角三角形等知识.在解圆的相关题型中,连接常用 的辅助线是解题关键. 【变式4-3】(2024·上海奉贤·三模)如图1,在边长为6的正方形 中, 是边 的动点,以 为圆 心, 为半径作圆, 与 相切于点 ,连接 并延长交 于点 ,连接 , . (1)求证: ; (2)如图2, 与 相交于点 ,连接 并延长交 于点 ,当满足 时,试判断 与 的位置关系并说明理由. 【答案】(1)见解析 (2) 是 的切线,证明见解析 【分析】(1)利用圆的切性的性质定理,正方形的性质和全等三角形的判定定理得到 ,则 ,再利用全等三角形的判定定理解答即可; (2)利用(1)的结论得到 ,利用正方形的性质和同圆的半径相等的性质得到 ,利用全 等三角形的判定与性质和直角三角形的性质得到 ,再利用圆的切线的判定定理解答即可得出 结论. 【详解】(1)证明:∵ 与 相切于点 , ∴ , ∵四边形 为正方形, ∴ , , 在 和 中, ,∴ , ∴ , ∴ , 在 和 中, , ∴ ; (2) 是 的切线,理由如下: 证明:由(1)知 , ∴ , ∵ , ∴ , ∵ , ∴ , ∴ , ∵ , , ∴ , ∴ , ∵ , ∴ , ∴ , 在 和 中, , ∴ , ∴ , ∵ , ∴ ,∴ , ∴ , ∵ 为 的半径, ∴ 是 的切线. 【点睛】本题主要考查了切线的判定与性质、正方形的性质、全等三角形的判定与性质等知识,熟练掌握 相关知识并灵活运用是解题关键. 【变式4-4】(2024·广东东莞·一模)如图1, 是 中 的平分线, ,以 为 半径的 与 相交于点 ,且 . (1)求证: 是 切线; (2)如图2,设 与 的切点为 ,连接 .当 时,求 的半径; (3)若 是线段 的中点,连 与 交于 ,在(2)的条件下,求 的值. 【答案】(1)见解析 (2) (3) 【分析】(1)过点 作 于 ,根据角平分线的性质得出 ,根据“经过半径的外端并且 垂直于这条半径的直线是圆的切线”,即可证得 是 切线; (2)连接 ,根据切线得出 ,根据“直径所对的圆周角是直角”,得出 ,推出 ,根据等边对等角,由 ,得出 ,则 ,公共角 ,证明 ,得出 ,由 ,得 ,计算求出 、 ,计算 ,最后根据,计算即可求得 的半径; (3)连接 ,过点 作 ,交 的延长线于 ,由(2)得 , , , , ,得出 , ,结合勾股定理得出 ,求出 、 ,根据 ,求出 ,根据勾股定理计算 ,根据 与 的切点为 ,得出 , ,根据勾股定理计算 ,得出 ,由 ,得出 ,求出 ,根据 是线段 的中点,求出 ,推出 ,根据“平行于三 角形一边的直线截其他两边(或其他两边的延长线)所构成的三角形和原三角形相似”,得出 , ,结合 ,计算 ,根据 计算,求出 的值,根据 的边 上的高和 的边 上的高相等,则 ,得出答案即可. 【详解】(1)证明:如图,过点 作 于 , ∵ 是 的平分线, , , 为半径, ∴ ,点 也在圆上,即 也为半径, 又∵ , ∴ 是 切线; (2)解:如图,连接 ,∵ 是 的切线, ∴ , ∵ 是直径, ∴ , ∴ , ∴ , ∵ , ∴ , ∴ , 又∵ , ∴ , ∴ , ∵ , ∴ , 又∵ , ∴ , , ∴ , ∴ , ∴ 的半径为 ; (3)解:如图,连接 ,过点 作 ,交 的延长线于 ,∵由(2)得 , , , , , ∴ , , ∵ , ∴ , , ∴ , , ∵ , ∴ , ∴ , ∴ , ∵ 与 的切点为 , ∴ , , ∴ , ∴ , 又∵ , ∴ , , ∴ , ∵ 是线段 的中点,∴ , ∵ , ∴ , ∴ , ∴ , 又∵ , ∴ , ∴ , ∴ , ∵ 的边 上的高和 的边 上的高相等, ∴ . 【点睛】本题是圆的综合题,考查了圆的性质、圆的切线的判定、角平分线的性质、解直角三角形、勾股 定理、相似三角形的判定与性质等知识,熟练掌握知识点、作辅助线推理是解题的关键. 【变式4-5】(2025·云南·模拟预测)如图, 是四边形 的外接圆, 是四边形 的对 角线, 恰为 的直径, ,点 在劣弧 上,过点 作 ,交 的延长线于点 , 平分 . (1)求 的度数; (2)求证: 是 的切线; (3)若 ,P是劣弧CD上的一个动点,不与C,D重合,连接AP,CP,DP,DG⊥AP于点G,求的值. 【答案】(1) (2)证明见解析 (3) ,证明见解析 【分析】(1)由圆周角定理可得 , ,再利用三角形的内角和定理可得答案; (2)如图,连接 ,证明 ,可得 ,结合 ,可得 ,从而可得 结论; (3)先证明 ,可得 ,如图,过 作 交 的延长线于 ,证明 ,可得 ,可得 , ,证明 , ,证明 ,在 中,证明 ,从而可得结论. 【详解】(1)解:∵ , ∴ , ∵ 为 的直径, ∴ , ∴ ; (2)解:如图,连接 , ∵ , ∴ , ∵ 平分 , ∴ , ∴ ,∴ , ∵ , ∴ , ∵ 为 的半径, ∴ 为 的切线; (3)解:∵ 为 的直径, ∴ , ∵ , ∴ , ∴ , 如图,过 作 交 的延长线于 , ∵ , ∴ , ∵ , ∴ , ∴ , ∴ , , ∵ , ∴四边形 为矩形, ∴ , , ∴, ∴ , 在 中, , ∴ . 【点睛】本题考查的是矩形的判定与性质,平行线的判定与性质,圆周角定理的应用,勾股定理的应用, 相似三角形的判定与性质,切线的判定,本题难度较大,是中考压轴题,作出合适的辅助线是解本题的关 键. 题型五:与切线性质有关计算 1.求角度问题的解题关键 连接圆心和切点,构造直角三角形,依据三角形内角和定理得到角度,通常还需结合等腰三角形的性质、圆周 角定理及推论和平行线性质定理进行角度转化 2.求线段长问题的解题步骤 第一步:先将题中已知条件进行转化,挖掘题中的隐含条件,如:①切线与过切点的半径垂直,可构造直角三角 形:②圆的半径长相等,可构造等腰三角形;③弦与切线平行则弦与过切点的半径垂直,可结合垂径定理; 第二步:结合已知解题方法,考虑利用勾股定理、锐角三角函数或相似三角形的性质求解; 第三步:作辅助线,构造直角三角形或相似三角形; 第四步:论证求解 利用勾股定理求解的常考图形如下: 图形 AB与 相切于点A,0B AB是 的切线,CD∥AB,交 OA 在Rt△ABC中,点O在AB 交 于点C 于点E 上, 交AB于点E,切BC 于点D 结论 ΔOAB 为直角三角形, △OED 为直角三角形 △ADE 为直角三角形 r²+AB²=(r+BC)² AE²-DE²=CD²+AC² 利用相似三角形求解的常考图形如下:图形 AB是直径,切线CD交 AB是直径.CD是 的切线,切 AB是 的直径,CD是O0的 点为 D 切线,C是切点,AD⊥CD 于点E,交 AB 延长线于 点C,AD⊥CD 结论 △COE∽△CAD △BCD∽△DCA △ABC∽△ACD. 【中考母题学方法】 【典例5-1】(2024·江苏徐州·中考真题)如图, 是 的直径,点 在 的延长线上, 与 相 切于点 ,若 ,则 °. 【答案】35 【分析】本题利用了切线的性质,三角形的外角与内角的关系,等边对等角求解.连接 ,构造直角三 角形,利用 ,从而得出 的度数. 【详解】解:连接 , 与 相切于点 , , , ; , , 故答案为:35 【典例5-2】(2024·云南昆明·模拟预测)在边长为10的正方形 中,点E是 的中点,作射线 , 在射线 上有一点 P,若以点P为圆心,半径长为4的 与正方形 的其中一边相切,则 的长为 . 【答案】 或 或 或 或 【分析】本题考查了切线的性质,相似三角形的判定和性质,勾股定理.分五种情况讨论,分别作出图形, 利用切线的性质,相似三角形的判定和性质即可求解. 【详解】解:∵正方形 的边长为10,点E是 的中点, ∴ , , , , 当 与边 相切时,点 为切点,则 ,如图, ∴ , ∴ , ∴ , ∴ , ∴ ; 当 与边 相切时,点 为切点,则 ,如图, 同理 , ∴ , ∴ , ∴ ;当 与边 相切时,点 为切点,则 ,延长 交 的延长线于点 ,如图, 此时, , 同理 , ∴ , ∴ , ∴ ; 当 与边 相切时,点 为切点,则 ,如图, 同理 , ∴ , ∴ , ∴ , ∴ ; 当 与边 相切时,点 为切点,则 ,延长 交 的延长线于点 ,如图,此时, , 同理 , ∴ , ∴ , ∴ ; 综上, 的长为 或 或 或 或 , 故答案为: 或 或 或 或 . 【典例5-3】(2024·江苏扬州·中考真题)如图,已知两条平行线 、 ,点A是 上的定点, 于点 B,点C、D分别是 、 上的动点,且满足 ,连接 交线段 于点E, 于点H,则 当 最大时, 的值为 . 【答案】 【分析】证明 ,得出 ,根据 ,得出 ,说明点H 在以 为直径的圆上运动,取线段 的中点O,以点O为圆心, 为半径画圆,则点 在 上运动,说明当 与 相切时 最大,得出 ,根据 ,利用 ,即可求出结果. 【详解】解:∵两条平行线 、 ,点A是 上的定点, 于点B, ∴点B为定点, 的长度为定值, ∵ , ∴ , , ∵ , ∴ , ∴ , ∵ , ∴ , ∴点H在以 为直径的圆上运动, 如图,取线段 的中点O,以点O为圆心, 为半径画圆, 则点 在 上运动, ∴当 与 相切时 最大, ∴ , ∵ , ∴ , ∵ , ∴ , 故答案为: .【点睛】本题主要考查了圆周角定理,全等三角形的性质和判定,平行线的性质,切线的性质,解直角三 角形等知识点,解题的关键是确定点H的运动轨迹. 【典例5-4】(2024·山东青岛·中考真题)如图, 中, ,以 为直径的半圆O分别交 于点D,E,过点E作半圆O的切线,交 于点M,交 的延长线于点N.若 , ,则半径 的长为 . 【答案】6 【分析】本题主要考查了切线的性质,解直角三角形,等边对等角,平行线的性质与判定等等,解题的关 键在于证明 ,根据等边对等角推出 ,则可证明 得到 , 再由切线的性质得到 ,则解 求出 的长即可. 【详解】解:如图所示,连接 , ∵ , ∴ , ∴ , ∴ , ∴ , ∵ 是 的切线, ∴ , ∴在 中, , ∴ ,∴半径 的长为6, 故答案为: . 【典例5-5】(2024·天津·中考真题)已知 中, 为 的弦,直线 与 相切于 点 . (1)如图①,若 ,直径 与 相交于点 ,求 和 的大小; (2)如图②,若 ,垂足为 与 相交于点 ,求线段 的长. 【答案】(1) ; (2) 【分析】本题考查等腰三角形的性质,切线的性质,解直角三角形,灵活运用相关性质定理是解答本题的 关键. (1)根据等边对等角得到 ,然后利用三角形的内角和得到 ,然 后利用平行线的性质结合圆周角定理解题即可; (2)连接 ,求出 ,再在 中运用三角函数解题即可. 【详解】(1) 为 的弦, .得 . 中, , 又 , .直线 与 相切于点 为 的直径, .即 . 又 , . 在 中, . , . (2)如图,连接 . ∵ 直线 与 相切于点 , ∴ ∵ ∴ . ,得 . 在 中,由 , 得 . . 在 中, , . 【中考模拟即学即练】 【变式5-1】(2024·福建·中考真题)如图,已知点 在 上, ,直线 与 相切,切 点为 ,且 为 的中点,则 等于( )A. B. C. D. 【答案】A 【分析】本题考查了切线的性质,三角形内角和以及等腰三角形的性质,根据C为 的中点,三角形内 角和可求出 ,再根据切线的性质即可求解. 【详解】∵ , 为 的中点, ∴ ∵ ∴ ∵直线 与 相切, ∴ , ∴ 故选:A. 【变式5-2】(2024·山西·中考真题)如图,已知 ,以 为直径的 交 于点D,与 相切于 点A,连接 .若 ,则 的度数为( ) A. B. C. D. 【答案】D 【分析】本题主要考查了圆周角定理,圆的切线定理,直角三角形两锐角互余,有圆周角定理可得出,有圆的切线定理可得出 ,由直角三角形两锐角互余即可得出答案. 【详解】解:∵ , ∴ . ∵以 为直径的 与 相切于点A, ∴ , ∴ . 故选:D. 【变式5-3】(2024·浙江·中考真题)如图,AB是 的直径, 与 相切,A为切点,连接 .已 知 ,则 的度数为 【答案】 /40度 【分析】本题考查切线的性质,掌握圆的切线垂直于过切点的半径是解题的关键. 【详解】解:∵ 与 相切, ∴ , 又∵ , ∴ , 故答案为: . 【变式5-4】(2025·贵州·模拟预测)如图, 是 的直径,点 是 上一点,过点 作 的切线 ,交 的延长线于点 ,过点 作 于点 .(1)若 ,求 的度数; (2)若 , ,求 的长. 【答案】(1) (2) 【分析】(1)由切线的性质推出半径 ,又 ,推出 ,得到 ,由 等腰三角形的性质得到 ,因此 ,得到 ,求出 . (2)求出 ,由勾股定理得到 ,由 ,判定 ,列出 比例式,即可求出 , ,得到 ,由勾股定理求出 . 【详解】(1)解: 切圆于 , 半径 , , , , , , , , . (2)解: , , , , , , , , ,, , , , . 【点睛】本题考查切线的性质,相似三角形的判定和性质,勾股定理,平行线的性质,等腰三角形的性质, 熟练掌握知识点是解题的关键. 【变式5-5】(2024·河北邢台·一模)如图1,四边形 中, , , , 为四边 形 的对角线, . (1)求点 到 的距离; (2)如图2,点 在 边上,且 .以 为圆心, 长为半径作 ,点 为 上一点,连接 交 于 . . ①当 与 相切时,求 的长; ②当 时,直接写出 的长. 【答案】(1)4 (2)① ;②5或11 【分析】(1)由勾股定理求出 的长,然后根据三角函数的定义求出 到 的距离即可; (2)①连接 ,由(1)以及 可以求出 的长,然后根据勾股定理求出 的长,再根据勾股 定理求出 的长即可; ②过 作 与 ,所以四边形 为矩形,在 中运用勾股定理即可求出 的长,从而可以求出 的长. 【详解】(1)解:过 作 于 ,如图: , , , , 在 中, , , 即点 到 的距离为4; (2)解:①连接 ,如图: 由(1)知, , , , , , , , , 是 的切线, , ; ②过 作 于 ,如图:, , 四边形 为矩形, , , 在 中, , ; 同理, , 或11. 【点睛】本题主要考查了圆的切线,矩形的判定与性质,解直角三角形,勾股定理,合理构造直角三角形 是本题解题的关键. 题型六:三角形的内心及内切圆 重要结论识记 图示 条件 点O是△ABC的内心 ⊙0是△ABC 的内切圆 结论 1.点O是ΔABC 角平分线的交点: 1.点0是ABC 的内心,⊙0分别与 AB、BC,AC相切于 点D,E,F,则OD=OE=OF; 2.∠B0C=90°+ ∠BAC, ∠AOC=90°+ ∠ABC,∠AOB=90°+ ∠ACB 【中考母题学方法】 【典例6-1】(2024·山东济宁·中考真题)如图,边长为2的正六边形 内接于 ,则它的内切圆 半径为( ) A.1 B.2 C. D. 【答案】D 【分析】本题考查了正多边形与圆,等边三角形的判定和性质,勾股定理; 连接 , ,作 于G,证明 是等边三角形,可得 ,然后利用勾股定理求 出 即可. 【详解】解:如图,连接 , ,作 于G, ∵ , , ∴ 是等边三角形, ∴ , ∵ ,∴ , ∴ , 即它的内切圆半径为 , 故选:D. 【典例6-2】(2024·湖北武汉·模拟预测)如图,在 中, , , , 为 的 内切圆,过O作 分别交 、 于D、E,则 的长为( ) A. B.4 C.5 D. 【答案】B 【分析】如图, 为 的内切圆,切点分别为 ,连接 , , ,过 作 于 ,利用内切圆的性质求解 , ,再利用相似三角形的性质解得即可. 【详解】解:如图, 为 的内切圆,切点分别为 ,连接 , , ,过 作 于 , ∴ , , ∵ , ∴ , ∴四边形 为矩形, ∴ , ∴ ,∴ , ∴ , ∵ , ∴ , ∴ , ∴ , 故选:B 【点睛】本题考查的是三角形的内切圆的性质,三角形的面积,相似三角形的判定与性质,切线的性质, 作出合适的辅助线是解本题的关键. 【典例6-3】(2024·山东德州·中考真题)有一张如图所示的四边形纸片, , , 为直角,要在该纸片中剪出一个面积最大的圆形纸片,则圆形纸片的半径为 cm. 【答案】 【分析】连接 ,作 的平分线交 于点 ,作 于 ,如图求得 ,则 , ,所以 平分 和 ,加上 平分 ,根据 角平分线性质得到点 到四边形 的各边的距离相等,则得到 是四边形 的内切圆,它是所 求的面积最大的圆形纸片,其半径为 ,接着证明 为等腰直角三角形得到 ,设 , 则 , ,然后证明 ,利用相似比可计算出 . 【详解】解:连接 ,作 的平分线,交 于点O,作 于 , 在 和 中,, ∴ , ∴ , 平分 和 , 平分 , 点 到四边形 的各边的距离相等, ∴ 是四边形 的内切圆,它是所求的面积最大的圆形纸片,其半径为 , , , ∴ 为等腰直角三角形, , 设 ,则 , , ∵ , , ∴ , , 即 , . 即 的半径为 , ∴圆形纸片的半径为 . 故答案为:【点睛】本题考查四边形的内切圆,角平分线的性质,相似三角形的判定及性质,证明该四边形的内切圆 是所求的面积最大的圆是解题的关键. 【典例6-4】(2024·浙江宁波·一模)如图,将矩形 的边 翻折到 ,使点D的对应点E在边 上,再将边 翻折到 ,且点A的对应点F为 的内心,则 . 【答案】4 【分析】设 交 于点 ,作 于点 ,作 于点 ,根据平行线的判定和性质得出 ,根据折叠得出 ,根据等腰三角形三线合一的性质得出 , ,根据三角形内心的定义得出 , ,根据 矩形的性质得出 , ,求得 , ,等量代换得出 ,结合平行线的性质得出 ,根据等腰直角三角形的定义得出 ,根据等边对等角得出 ,推得 , ,根 据两角及其一角的对边对应相等的三角形全等,全等三角形的对应边相等得出 ,结合三角 形的外角性质得出 ,根据正切的定义的得出 ,根据三角形的面积公式即可求解. 【详解】解:设 交 于点 ,作 于点 ,作 于点 ,则 ,如图: ∴ , ∴ , 根据折叠可得 , ∵ , ,∴ , , ∵点 为 的内心, ∴ , , ∵四边形 是矩形, ∴ , , ∴ , , ∵ , , , ∴ , ∴ , ∴ , ∵ , , ∴ , ∵ , ∴ , ∴ , ∴ , 又∵ , , ∴ , ∵ , , ∴ , ∴ , ∵ , ∴ , ∴ , ∴ , 在 中, ,在 中, , 在 中, , ∴ , , ∴ , ∴ . 故答案为: . 【点睛】本题考查了平行线的判定和性质,等腰三角形的判定和性质,三角形内心的定义,矩形的性质, 全等三角形的判定和性质,三角形的外角性质,正切的定义等.正确地作出辅助线,构建全等三角形是解 题的关键. 【典例6-5】(2024·山东烟台·中考真题)如图, 是 的直径, 内接于 ,点I为 的内 心,连接 并延长交O于点D,E是 上任意一点,连接 , , , . (1)若 ,求 的度数; (2)找出图中所有与 相等的线段,并证明; (3)若 , ,求 的周长. 【答案】(1) (2) ,证明见解析 (3)30 【分析】(1)利用圆周角定理得到 ,再根据三角形的内角和定理求 ,然后利用圆 内接四边形的对角互补求解即可; (2)连接 ,由三角形的内心性质得到内心, , ,然后利用圆周角定理得到 , ,利用三角形的外角性质证得 ,然后利用等角对等边 可得结论; (3)过I分别作 , , ,垂足分别为Q、F、P,根据内切圆的性质和和切线长定 理得到 , , ,利用解直角三角形求得 , ,进而可求解. 【详解】(1)解:∵ 是 的直径, ∴ ,又 , ∴ , ∵四边形 是 内接四边形, ∴ , ∴ ; (2)解: , 证明:连接 , ∵点I为 的内心, ∴ , , ∴ , ∴ , , ∵ , , ∴ , ∴ ; (3)解:过I分别作 , , ,垂足分别为Q、F、P,∵点I为 的内心,即为 的内切圆的圆心. ∴Q、F、P分别为该内切圆与 三边的切点, ∴ , , , ∵ , , , ∴ , ∵ , , , ∴ , ∴ 的周长为 . 【点睛】本题考查圆周角定理、圆内接四边形的性质、三角形的内角和定理、三角形的内心性质、三角形 的外角性质、等腰三角形的判定、切线长定理以及解直角三角形,熟练掌握相关知识的联系与运用是解答 的关键. 【中考模拟即学即练】 【变式6-1】(2024·山东聊城·一模)如图,点 为等边 的内心,连接 并延长交 的外接圆于 点 ,已知外接圆的半径为 ,则线段 的长为( )A. B. C. D. 【答案】A 【分析】本题考查等边三角形的性质,等边三角形的内心、外心,连接 ,证明 是等边三角形,即 可求解,牢记“等边三角形的内心与外接圆的圆心重合”是解题的关键. 【详解】解:如图,连接 , 是等边三角形, , 点 为等边 的内心, , , 等边三角形的内心与外接圆的圆心重合, 点 为 的外接圆的圆心, , 是等边三角形, , 故选A. 【变式6-2】(2024·四川南充·一模)如图,点 是 外接圆的圆心.点 是 的内心.连接 .若 ,则 的度数为( )A. B. C. D. 【答案】C 【分析】本题考查了三角形的内心和外心的概念、圆周角定理、等腰三角形的定义、三角形内角和定理, 熟练掌握以上知识点,添加适当的辅助线是解此题的关键. 连接 ,由点 是 的内心可得 平分 ,根据角平分线的定义可得 ,根据圆周角定理可得 ,根据等腰三角形的定义及三 角形内角和定理进行计算即可得到答案. 【详解】如图,连接 , ∵点 是 的内心, ∴ 平分 , ∵ , ∴ , ∵点 是 外接圆的圆心, ∴ , ∵ , ∴ ,故选:C. 【变式6-3】(2024·湖北武汉·模拟预测)如图,在一张 纸片中, , , , 是它的内切圆.小明用剪刀沿着 的切线DE剪下一块三角形 ,则 的周 长为( ) A.9 B.12 C.15 D.18 【答案】B 【分析】本题考查了三角形的内切圆与内心,勾股定理,切线的性质,解直角三角形.设 的内切圆 切三边于点 ,连接 ,得四边形 是正方形,由切线长定理可知 ,根 据 是 的切线,可得 , ,根据勾股定理可得 ,再求出内切圆的半径,进 而可得 的周长. 【详解】解:如图,设 的内切圆切三边于点 、 、 ,连接 、 、 , ∴四边形 是正方形, 由切线长定理可知 , ∵ 是 的切线, ∴ , , ∵ , , , ∴ , 解得 , ∴ ,∵ 是 的内切圆, 、 为切点, ∴ , , ∵ , ∴四边形 是矩形, ∵ , ∴四边形 是正方形, 设内切圆的半径为 , ∴ , ∴ , , ∴ , 解得 , ∴ , ∴ 的周长为: . 故选:B. 【变式6-4】(2024·广东深圳·模拟预测)如图,已知在 中, , , ,点 是 的内心.点 到边 的距离为 ; 【答案】2 【分析】本题考查了三角形内切圆与内心,角平分线的性质.连接 , , ,过点 分别作 , , 于点 , , ,根据 , ,可得 ,即可解决问题. 【详解】解:如图,连接 , , ,过点 分别作 , , 于点 , , ,在 中, , , , , 是 的内心, , , , , 点 到边 的距离为2; 故答案为:2. 【变式6-5】(2024·福建南平·模拟预测)如图,以 的直角边 为直径的 交斜边 于点 , 过点 作 的切线与 交于点 ,弦 与 垂直,垂足为 . (1)求证: 为 的中点; (2)若 的面积为 ,两个 和 的外接圆面积之比为3,求 的内切圆面积 和四边形 的外接圆面积 的比.【答案】(1)见解析 (2) 【分析】(1)证明 , , 为直角三角形 的中线,即可求解; (2) 和 的外接圆面积之比为3,确定 ,即 ,得 , 即可求解. 【详解】(1)证明:连接 、 , 是直径,则 , 是切线, , , ,即 是圆的切线, , , , , , , 为 的中点; (2)解: 和 的外接圆面积之比为3, , 则两个三角形的外接圆的直径分别为 、 , , ∵ , ∴ ,, ∵ ,AB是直径, ∴ , , ∴ , , , 是直角三角形的中线, , 为等边三角形, 的面积: , 则 , , , , , ∵ 是 的中位线, ∴ , ∴四边形 的外接圆面积 , ∵等边三角形 边长为2, ∴其内切圆的半径为: ,面积为 , 故 的内切圆面积 和四边形 的外接圆面积 的比为: . 【点睛】本题为圆的综合运用题,涉及到三角形的外接圆和内切圆的相关知识,本题的关键是通过 和 的外接圆面积之比为3,确定 ,进而求解. 题型七:阴影部分面积计算 方法1 公式法面积公式直接计算 观察图形,所求阴影部分为扇形、三角形或特殊四边形时,可直接用面积公式进行求解. 方法2 和差法 面积和差运算 观察图形,所求阴影部分面积可以看成扇形、三角形或特殊四边形面积的和或者差,则分别计算每部分面积, 再加减计算. 方法3 等积转化法 等积转化法的解题关键 观察图形,当所求阴影部分可转化成规则图形或阴影部分不是一个整体时,可尝试通过等积转化法计算. 1.通过平行线间三角形面积相等进行等积转化; 2.将两部分阴影部分面积合二为一进行等积转化 【中考母题学方法】 【典例7-1】(2024·河南·中考真题)如图, 是边长为 的等边三角形 的外接圆,点D是 的 中点,连接 , .以点D为圆心, 的长为半径在 内画弧,则阴影部分的面积为( )A. B. C. D. 【答案】C 【分析】过D作 于E,利用圆内接四边形的性质,等边三角形的性质求出 ,利用弧、 弦的关系证明 ,利用三线合一性质求出 , ,在 中,利用正弦定义求出 ,最后利用扇形面积公式求解即可. 【详解】解∶过D作 于E, ∵ 是边长为 的等边三角形 的外接圆, ∴ , , , ∴ , ∵点D是 的中点, ∴ , ∴ , ∴ , , ∴ ,∴ , 故选:C. 【点睛】本题考查了圆内接四边形的性质,等边三角形的性质,等腰三角形的性质,扇形面积公式,解直 角三角形等知识,灵活应用以上知识是解题的关键. 【典例7-2】(2024·内蒙古·中考真题)如图是平行四边形纸片 , ,点M为 的中点,若以M为圆心, 为半径画弧交对角线 于点N,则 度;将扇形 纸片剪下来围成一个无底盖的圆锥(接缝处忽略不计),则 这个圆锥的底面圆半径为 . 【答案】 40 2 【分析】本题考查了平行四边形的性质、弧长公式、圆锥等知识,熟练掌握弧长公式是解题关键.先根据 平行四边形的性质可得 ,再根据三角形的内角和定理可得 ,然后根据等腰 三角形的性质可得 ,最后根据三角形的外角性质可得 的度数;先利用弧长公 式求出扇形 的弧长,再根据圆锥的底面圆的周长等于扇形 的弧长求解即可得. 【详解】解:∵四边形 是平行四边形, , ∴ , ∵ , ∴ , 由圆的性质可知, , ∴ , ∴ , ∴扇形 的弧长为 , ∴圆锥的底面圆半径为 , 故答案为:40;2. 【典例7-3】(2024·四川资阳·中考真题)如图,在矩形 中, , .以点 为圆心,长为半径作弧交 于点 ,再以 为直径作半圆,与 交于点 ,则图中阴影部分的面积为 . 【答案】 【分析】本题考查了切线的性质,等边三角形的性质和判定,扇形的面积,解题的关键是学会利用分割法 求阴影部分的面积. 设弓形 ,连接 , ,由题意知 ,即 为等边三角形, ,即可得出阴影部分面积为 ,代入数值即可求出结果. 【详解】解:∵以点 为圆心, 长为半径作弧交 于点 , , , ∴ , ∴以 为直径作半圆时,圆心为点 , 设弓形 ,连接 , ,即 ,如图: ∴ 为等边三角形, ∴ , 故阴影部分面积为 , 代入数值可得 , 故答案为 . 【典例7-4】(2024·宁夏·中考真题)如图, 是 的外接圆, 为直径,点 是 的内心, 连接 并延长交 于点 ,过点 作 的切线交 的延长线于点 .(1)求证: ; (2)连接 ,若 的半径为2, ,求阴影部分的面积(结果用含 的式子表示). 【答案】(1)见解析 (2) 【分析】本题考查了三角形的内切圆与内心,三角函数的定义,圆周角定理,三角形的外接圆与外心,扇 形面积的计算. (1)连接 ,交 于点G,根据等腰三角形的性质得到 ,由D为 的内心,得到 ,求得 ,根据圆周角定理得到∠ ,求得 ,根据切线的性 质得到 ,根据平行线的判定定理得到结论; (2)根据三角函数的定义得到 ,求得 ,求得 ,根据 扇形和三角形的面积公式即可得到结论. 【详解】(1)证明:连接 ,交 于点 , , , 又 为 的内心, , , ∴ , 又 为 的直径,, 又 为 的切线且 为 的半径, , , ∴ ; (2)解: , , , , , . 【典例7-5】(2024·四川乐山·中考真题)如图, 是 的外接圆, 为直径,过点C作 的切 线 交 延长线于点D,点E为 上一点,且 . (1)求证: ; (2)若 垂直平分 , ,求阴影部分的面积. 【答案】(1)见解析 (2) 【分析】(1)如图1,连接 .则 ,即 .由 为直径,可得,即 .则 .由 ,可得 .由 ,可得 .则 .进而可证 . (2)如图2,连接 .由 垂直平分 ,可得 .则 为等边三角形. , .由 ,可得 .由 ,可得 . .证明 为等边三角形.则 , . .则 . . . . , 再根据 ,计算求解即可. 【详解】(1)证明:如图1,连接 . 图1 ∵ 为 的切线, ∴ ,即 . 又∵ 为直径, ∴ ,即 . ∴ . ∵ , ∴ . ∵ , ∴ . ∴ . ∴ . (2)解:如图2,连接 .图2 ∵ 垂直平分 , ∴ . 又∵ , ∴ 为等边三角形. ∴ , . ∵ , ∴ . ∵ , ∴ . 又∵ , ∴ . ∵ , ∴ 为等边三角形. ∴ , . ∴ . ∴ . ∴ . ∴ . ∴ . 又∵ , ∴ , ∴阴影部分的面积为 . 【点睛】本题考查了切线的性质,直径所对的圆周角为直角,同弧或等弧所对的圆周角相等,平行线的判定与性质,等边三角形的判定与性质,垂直平分线的性质,正弦,扇形面积等知识.熟练掌握相关图形的 性质定理、正确添加辅助线是解题的关键. 【中考模拟即学即练】 【变式7-1】(2024·山东日照·中考真题)如图,在菱形 中, ,点O是对角线 的中点,以点O为圆心, 长为半径作圆心角为 的扇形 ,点D在扇形 内,则图中阴影部分 的面积为( ) A. B. C. D.无法确定 【答案】A 【分析】连接 ,将 绕点O顺时针旋转 得到 .证明 ,推出 ,利用 即可求解. 【详解】解:如图,连接 ,将 绕点O顺时针旋转 得到 . , , 在菱形 中,点O是对角线 的中点, , , , , ,, , , , . , , . 故选:A. 【点睛】本题考查了菱形的性质,三角形全等的判定与性质,解直角三角形,扇形的面积,作出辅助线, 构造三角形全等,利用 是解题的关键. 【变式7-2】(2024·山西·中考真题)如图1是小区围墙上的花窗,其形状是扇形的一部分,图 是其几何 示意图(阴影部分为花窗).通过测量得到扇形 的圆心角为90°, ,点 , 分别为 , 的中点,则花窗的面积为 . 【答案】 【分析】本题主要考查了扇形面积的计算,熟知扇形的面积公式是解题的关键.用扇形的面积减去 的面积即可解决问题. 【详解】解:由题知, ( ), ∵点 , 分别是 , 的中点, ∴ ( ),∴ ( ), ∴花窗的面积为 故答案为: . 【变式7-3】(2024·云南怒江·一模)如图, 为⊙ 的直径,点C在⊙ 上, 的平分线 交⊙ 于点D,过点D作 ,交 的延长线于点E. (1)求证: 是⊙ 的切线; (2)若 , ,求图中阴影部分的面积. 【答案】(1)见解析 (2) 【分析】(1)连接 ,由圆周角定理可证 ,进而可证 ,由平行线 的性质可证 ,可得 是⊙ 的切线; (2)求出 得 ,在 中,由勾股定理求出 ,然后根据 即可求解. 【详解】(1)解:连接 , 是 的平分线, , , , ,, , , 为 的半径, 直线 是 的切线; (2) , , , , 在 中, ,即 , 解得: , , , . 【点睛】本题考查了勾股定理、圆周角角定理、直径所对的圆周角是直角、扇形面积公式、切线的判定以 及平行线的性质,熟练掌握圆周角角定理、直径所对的圆周角是直角以及切线的判定是解题的关键. 【变式7-4】(2024·湖北宜昌·二模)如图,直线 经过 上的点C,直线 与 交于点F和点D, 与 交于点E,与 交于点G, , . (1)求证: 是 的切线; (2)若 , ,求图中阴影部分面积. 【答案】(1)见解析 (2) 【分析】本题考查了切线的判定定理、等腰三角形的判定与性质、圆周角定理、解直角三角形,熟练掌握 以上知识点并灵活运用是解此题的关键. (1)连接 ,根据等腰三角形的性质可得 ,即可得证;(2)由圆周角定理结合平行线的性质可得 ,由垂径定理可得 ,由等 腰三角形的性质结合平角的定义得出 ,解直角三角形得出 , ,最后根据 计算即可得解. 【详解】(1)证明:连接 , ∵ , , ∴ , ∵ 是 的半径, ∴ 是 的切线; (2)解:∵ 是 的直径, ∴ , ∵ , ∴ , ∴ , ∴ , ∵ , ∴ , ∵ , , ∴ , ∴ , 在 中,∵ , ,∴ , , ∴ . 【变式7-5】(2024·黑龙江齐齐哈尔·中考真题)如图, 内接于 , 为 的直径, 于点D,将 沿 所在的直线翻折,得到 ,点D的对应点为E,延长 交 的延长线于点 F. (1)求证: 是 的切线; (2)若 , ,求图中阴影部分的面积. 【答案】(1)见解析 (2) 【分析】(1)连接 ,由折叠的性质得 , ,再证明 ,推 出 ,据此即可证明 是 的切线; (2)先求得 ,在 中,求得 ,再利用扇形面积公式求解即可. 【详解】(1)证明:连接 , ∵ ,∴ , ∵ 沿直线 翻折得到 , ∴ , , ∵ 是 的半径, ∴ , ∴ , ∴ , ∴ , ∴ , ∴ 于点C, 又∵ 为 的半径, ∴ 是 的切线; (2)解:∵ , ∴ , 由(1)得 , ∴ , ∵ , ∴ , ∵ , ∴ , 在 中, , ∴ , ∴ , ∴ , ∴ . 【点睛】本题考查了切线的判定与扇形面积公式,折叠的性质,解直角三角形.充分运用圆的性质,综合 三角函数相关概念,求得线段长度是解题的关键.【变式7-6】(2024·江苏南通·中考真题)如图, 中, , , , 与 相切于点 D. (1)求图中阴影部分的面积; (2)设 上有一动点P,连接 , .当 的长最大时,求 的长. 【答案】(1) (2) 【分析】本题考查了切线的性质,勾股定理的逆定理,扇形的面积公式等知识,解题的关键是: (1)连接 ,利用勾股定理的逆定理判定得出 ,利用切线的性质得出 ,利用等面 积法求出 ,然后利用 求解即可; (2)延长CA交 于P,连接 ,则 最大,然后在 中,利用勾股定理求解即可. 【详解】(1)解∶连接 , ∵ , , , ∴ , ∴ , ∵ 与 相切于D, ∴ , ∵ ,∴ , ∴ ; (2)解∶延长CA交 于P,连接 ,此时 最大, 由(1)知: , , ∴ . 【变式7-7】(2024·山东德州·中考真题)如图,圆 与 都经过A,B两点,点 在 上,点C是 上的一点,连接 并延长交 于点P,连接 . (1)求证: (2)若 , . ①求 的半径; ②求图中阴影部分的面积. 【答案】(1)见解析 (2)①2 ②【分析】对于(1),连接 ,在 中,先根据同弧所对的圆周角相等得 ,然后 在 中,根据圆周角定理得 ,可得答案; 对于(2)①,由 结合(1),可得 ,再连接 ,作 ,可得 , ,进而得出 ,然后在 中,根据 得出答 案; 对于②,先说明 是等边三角形,即可求出其面积,在 中,求出弓形的面积,然后根据 得出答案. 【详解】(1)如图所示. 连接 , 在 中, , 在 中, , ∴ ; (2)①,∵ , ∴ . 连接 ,过点 作 ,交 于点D, ∴ , ,∴ . 在 中, , 即 , ∴ , 所以 的半径是2; ②∵ , ∴ 是等边三角形, ∴ . ∵ , ∴ 垂直平分 , 垂直平分 , ∴点 三点共线. 在 中, , 在 中, . 在 中, 上标点 , . 在 中,. 【点睛】本题主要考查了圆周角定理,垂径定理,线段垂直平分线的性质和判定,勾股定理,余弦,求扇 形的面积,等边三角形的性质和判定,构造辅助线是解题的关键.