当前位置:首页>文档>物理试卷答案及解析_2024-2026高三(6-6月题库)_2025年04月试卷_0423山东省山东名校考试联盟2025年高三4月高考模拟考试(全科)_山东省山东名校考试联盟2025年高三4月高考模拟考试物理

物理试卷答案及解析_2024-2026高三(6-6月题库)_2025年04月试卷_0423山东省山东名校考试联盟2025年高三4月高考模拟考试(全科)_山东省山东名校考试联盟2025年高三4月高考模拟考试物理

  • 2026-03-23 13:22:35 2026-02-18 12:04:26

文档预览

物理试卷答案及解析_2024-2026高三(6-6月题库)_2025年04月试卷_0423山东省山东名校考试联盟2025年高三4月高考模拟考试(全科)_山东省山东名校考试联盟2025年高三4月高考模拟考试物理
物理试卷答案及解析_2024-2026高三(6-6月题库)_2025年04月试卷_0423山东省山东名校考试联盟2025年高三4月高考模拟考试(全科)_山东省山东名校考试联盟2025年高三4月高考模拟考试物理
物理试卷答案及解析_2024-2026高三(6-6月题库)_2025年04月试卷_0423山东省山东名校考试联盟2025年高三4月高考模拟考试(全科)_山东省山东名校考试联盟2025年高三4月高考模拟考试物理
物理试卷答案及解析_2024-2026高三(6-6月题库)_2025年04月试卷_0423山东省山东名校考试联盟2025年高三4月高考模拟考试(全科)_山东省山东名校考试联盟2025年高三4月高考模拟考试物理
物理试卷答案及解析_2024-2026高三(6-6月题库)_2025年04月试卷_0423山东省山东名校考试联盟2025年高三4月高考模拟考试(全科)_山东省山东名校考试联盟2025年高三4月高考模拟考试物理
物理试卷答案及解析_2024-2026高三(6-6月题库)_2025年04月试卷_0423山东省山东名校考试联盟2025年高三4月高考模拟考试(全科)_山东省山东名校考试联盟2025年高三4月高考模拟考试物理
物理试卷答案及解析_2024-2026高三(6-6月题库)_2025年04月试卷_0423山东省山东名校考试联盟2025年高三4月高考模拟考试(全科)_山东省山东名校考试联盟2025年高三4月高考模拟考试物理
物理试卷答案及解析_2024-2026高三(6-6月题库)_2025年04月试卷_0423山东省山东名校考试联盟2025年高三4月高考模拟考试(全科)_山东省山东名校考试联盟2025年高三4月高考模拟考试物理
物理试卷答案及解析_2024-2026高三(6-6月题库)_2025年04月试卷_0423山东省山东名校考试联盟2025年高三4月高考模拟考试(全科)_山东省山东名校考试联盟2025年高三4月高考模拟考试物理
物理试卷答案及解析_2024-2026高三(6-6月题库)_2025年04月试卷_0423山东省山东名校考试联盟2025年高三4月高考模拟考试(全科)_山东省山东名校考试联盟2025年高三4月高考模拟考试物理

文档信息

文档格式
pdf
文档大小
0.890 MB
文档页数
10 页
上传时间
2026-02-18 12:04:26

文档内容

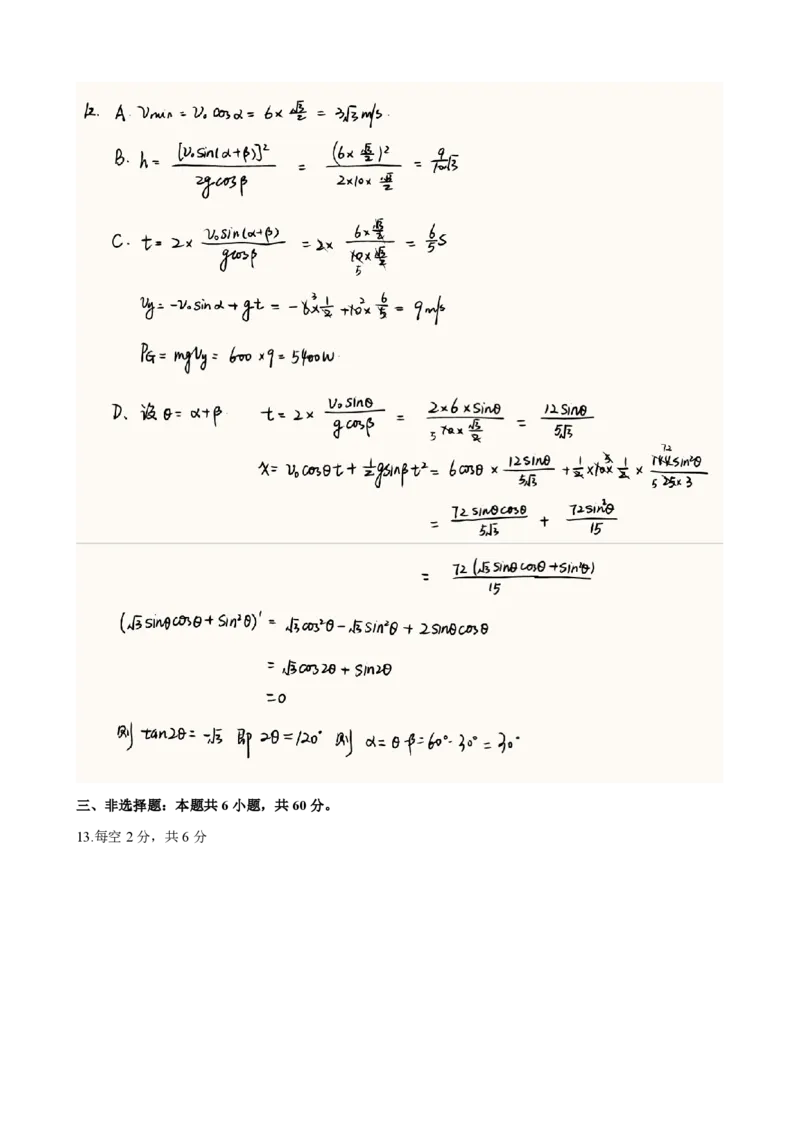
2025全省普通高中学业水平等级模拟考试 物理 一、单项选择题:本题共8小题,每小题3分,共24分。每小题只有一个选项符合题目要求。 1.答案:C 解析:半衰期公式为: 学科网(北京)股份有限公司 m ( t ) = m 0  ( 1 2 ) tT ,其中m(t)为未衰变的元素质量。 m 1 ' = m 1  ( 1 2 ) 3 7 4 0 1 1 0 = m 1  ( 1 2 ) 3 4 m 2 ' = m 2  ( 1 2 ) 3 7 4 0 6 8 = m 2  ( 1 2 ) 5 5 故选C。 2.答案:A (8+0)8 解析:乙车经过t =8s速度减为0,该过程中S = =32m,8s内前4s甲车做匀加速直线运动, 1 乙1 2 位移S = 甲1 1 2  2  4 2 = 1 6 m ,后4s内甲车以最大速度8m/s做匀速直线运动,位移S = 甲2 8  4 = 3 2 m ;则 8s末,两车相距 100-32-32-16=20m;再经历 2s,乙车在2s内保持静止,甲车在 2s内做匀速直线运动,S = 甲3 8  2 = 1 6 m ;故10s末,两车相距20-16=4m; 故选A。 3.答案:B 解析:力 F 的方向始终沿着圆弧切线方向,故力 F 做的功 W F 1 4 2 R m g 2 R   =   = 。在运动过程中任一 位置建立沿着切线和半径方向的坐标系,设半径与竖直方向夹角为θ,沿着切线方向有 F − m g = m a  s i n , 故沿着切线方向,物块始终做加速运动。力F的功率一直增大。重力的瞬时功率P =mgvsin,也是一 G 直增大的。 4. 答案:D 解析:A.地球自转的角速度 和同步轨道的角速度 相同,同步轨道的角速度 小于近地轨道的角速度 ,所以=< 故A错误; 3 1; B.由于轨道Ⅰ和轨道Ⅲ属于绕转,根据 v = G M r   3 可知v>v ;又由于卫星在c点加速后进入轨道Ⅲ,所以 1 3 v>v ;又由于卫星在b点加速后进入轨道Ⅱ,所以v>v ;综上,v>v>v>v ;故B错误; 3 c b 1 b 1 3 c r3 C.根据T =2 可知,轨道Ⅰ为近地圆轨道,轨道Ⅲ为同步轨道,卫星在轨道Ⅲ运行的周期约为24h, GM 3  1 大于在轨道Ⅰ运行的周期;故C错误。 D.卫星在轨道Ⅰ的b点加速变轨轨道Ⅱ,因此动能增大,又引力势能不变,故卫星在Ⅱ轨道的机械能大于Ⅰ轨 道的机械能;同理,卫星在 c 点经过加速到达Ⅲ轨道,所以Ⅲ轨道的机械能大于Ⅱ轨道的机械能;故 D 正 确。 5.答案:D 解析:由题意得 学科网(北京)股份有限公司 = = 1 0 0 V  E m n B s ,线圈与磁场平行时开始计时,故表达式应为𝑒 =100cos100𝑡(V); E 电压表的示数为有效值,即U = m =50 2V;当滑动变阻器滑片向上滑动时,原副线圈电压均不变,灯 V 2 U n 泡电流不变;当自耦变压器滑片P向上滑动时,根据 1 = 1 ,n1增大,U2减小,故灯泡变暗。 U n 2 2 6.答案:A 解析:方法一:增加薄木片并向左移动,条纹间距一定减小,故排除D;设单色光的波长为,每一片薄 木片的厚度为h,初始条纹间距为 x 0 ,去掉两片薄木片前后,根据三角形相似可得: 2x 0 = 3 h l  , 2x 1 = h l  联立可得: x 1 = 3 x 0 若使条纹间距变成原来的2倍,需把薄木片向左平移,可得 3 2x 0 = h l  , 2 2x 0 = h l '  2 联立可得:l' = l ,故移动的距离为 3 1 3 l 。 方法二:设劈尖夹角为θ,设条纹间距为x ,根据几何关系可得 0  2 tan= x 0  可得:  x 0 = t a 2n 1 若使条纹间距变为原来的两倍,则tan变为原来的 ,结合选项可得A正确。 2 7.答案:B解析:P点的场强为+q和带电圆环在该点产生的场强的叠加。如图,+q在p 点产生的场强方向与x轴成45°角,因P的合场强沿着y轴负方向,所以带 电圆环在p点产生的场强水平向左,即 学科网(北京)股份有限公司 k ( 2 Q d ) 2 c o s 3 0  = k ( q 6 d )2 s i n 4 5  , 2 6 解的Q = q,带负电。故选B。 9 8. 答案:C 【解析】a b → pV 的过程中,气体的温度不变,体积增大,根据 = C可知气体的压强减小, b → c T 的过程中,气体压强不变,这两个过程中气体体积的增大量相同,但a b → 过程中气体的压强较大,故 气体对外做功较多,A 错误;c d → 过程中,温度不变,体积减小,故外界对气体做功,根据热力学第 一定律 = + U W Q  可知外界对气体做的功与气体放出的热量相等,B 错误;由题图可知状态 d 的体积 3 V = v ,且气体在c → d过程中的压强较大,体积变化量较大,所以c → d过程中外界对气体做 2 2 0 的功大于a b → 过程中气体对外界做的功,由于这两个过程中内能均不变,故a b → 过程中气体吸收 的热量大于c d → 过程中气体放出的热量,C 正确;由能量守恒定律可知,气体在 c→d→a 过程中内能 的减少量等于a→b→c过程中内能的增加量,D错误。 【方法技巧】本题还可以根据V-T图像作出p-V图像,如图所示,图像与横 轴所围图形的面积表示功,然后根据热力学第一定律即可解题。 二、多项选择题:本题共4小题,每小题4分,共16分。每小题有多个选项符合题目要求,全部选对得 4分,选对但不全得2分,有选错得得0分。 9.答案:AB10.答案:BD 解析:第一种方式:对 B 气体有 学科网(北京)股份有限公司 P 0  3 V = P 1  2 V 3 3 ,解的P = P ,P = P = P ;第二种方式,对 A 1 2 0 A1 1 2 0 气体有P 2V = P 3V ,解的 0 A2 P A 2 = 2 3 P 0 ,故末状态A中气体压强不相等。第一种方式,对A中气体有 P 0  T 2 1 V = P A 1 T  3 2 V ,解得 T 2 = 6 7 5 K 。第二种方式,对 B 中气体应用克拉伯龙方程 P 0  3 V = n 1 R T , P A 2  2 V = n 2 R T ,解得 n n 1 2 = 9 4 ,所以抽出气体与原来B中气体得比值为 5 9 。故选BD。 11. 答案:ACD 解析:A.传送带对物体做功可以根据动能定理,传送带对物理的摩擦力做的功等于物体动能的增加量,初 速度为0,末速度为2m/s,因此动能增加为为4J,所以A正确; B.货物在0-1s内做a=μg=2m/s²的匀加速直线运动,1s末速度为2m/s,向右加速;1-1.5s内继续做匀加速, 1.5s 时与传送带共速,共速速度为 3m/s,1.5-2s 内一起做 a=ug=2m/s²的匀减速直线运动,货物 2s 末和传送 带共速,共速速度为2m/s,2-3s一起匀速;因此,货物没有始终向右加速,且3s末速度为2m/s,故B错误。 C.货物的总位移为:0-1s,1m;1-1.5s,1.25m;1.5-2s,1.25m;2-3s,2m,总共5.5m;根据图像可知,传 送带的位移为9m,所以相对位移为3.5m;所以C正确 D.摩擦生热为摩擦力f与相对位移Δx的乘积,f=umg=4N,Δx=3.5m,因此Q=fΔx=14J,所以D正确。 12.答案:BC三、非选择题:本题共6小题,共60分。 13.每空2分,共6分 学科网(北京)股份有限公司14.每空2分,共8分 15.(8分)答案:(1)4.8J (2)2.4m 解析:(1)m 与m 组成的系统动量守恒 1 2 mv =(m +m )v 1 0 1 2 得v=4m/s 对系统应用能量守恒 1 1 Q = mv2 − (m +m )v2 总 2 1 0 2 1 2 学科网(北京)股份有限公司得 学科网(北京)股份有限公司 Q 总 = 1 2 J 2 Q = Q a 5 总 得 Q a = 4 . 8 J (2)对b应用动量定理 B I L  t = m 2 v q= It q = B r1 L + x r 2 联立可得 x=2.4m 16. 答案:(1)不会发生全反射(2) t = 3 ( 3 − 2 c 6 ) R 【解析】(1)如图,画出光路图 可知 s s i n i n α β = n 解得sinβ = 3 3 设光线在BC界面的入射角为θ,根据α=β+θ得 sinθ =sin(α-β), 解得 3 2− 3 sin= 6 1 可得 sinθ < n 故可知光线在BC边不发生全反射。 (2)设光线从射入玻璃柱到第一次离开玻璃柱的路程为x,则xcosθ =Rcosα x 光线从射入玻璃柱到第一次离开玻璃柱的时间t = v光在玻璃柱中传播的速度 学科网(北京)股份有限公司 v = c n 解得,光线从射入玻璃柱到第一次离开玻璃柱的时间 t = 3 ( 3 − 2 c 6 ) R 17.(14分)答案:(1) E 1 = m 2 v q 20 d (2) 2 3 2 v 0 d  (3) ( 2 3 d + 2 d , 6 d ) (4) y = 3 d 解析:(1)带电粒子在电场中做类斜抛运动,可得 d =v cos45t 0 v 0 s i n 4 5  = a  t qE =ma 1 mv2 联立可得:E = 0 1 2qd (2)粒子竖直方向通过的距离设为y y = ( v 0 s i n 2 4 a 5  ) 2 d 得:y = 2 粒子以水平速度 v = 2 2 v 0 进入圆形磁场区域, q v B 1 = m 2 v r1 得 r1 = d 粒子做圆周运动的半径等于圆形磁场的半径,故粒子从圆与x轴的切点M进入下方磁场区域,由几何关系 可得,最上端发出的粒子在圆形磁场中运动的时间最长,可得 t = 1 3 T 2r T = v 2 2d 解得:t = 3v 0 (3)粒子进入x轴下方以后,方向范围在与x轴正半轴成60°到120°范围之内,可得学科网(北京)股份有限公司 q v B 2 = m v r 2 2 得r =2d 2 当速度与x轴正半轴成60°和120°时,粒子打到x轴的同一位置, 距M点的最近距离为 x 1 = 2 3 d 当速度与x轴成90°进入下方磁场时,粒子打到x轴上距M最远 x 2 = 4 d (2 3d +2d,6d) 故x的坐标范围为 (4)0点射出的粒子在M点射出时与x轴正方向的夹角为60°,将粒子速度v分解出一个沿着x轴正方向 的速度v ,使得 x q v x B 2 = q E 2 可得 v x = 2 2 v 0 则另一分速度与x轴负方向的夹角为60°,大小为 v 圆 ,可得 v 圆 = 2 2 v 0 以此速度做圆周运动的半径 r 3 = m q v B 圆 2 = 2 d 离x轴的距离的表达式 y = r 3 + r 3 c o s 6 0  = 3 d 18.(16 分)答案:(1) 1m/s2, 0 (2) 0.75s (3)0 (4) 3次 解析:(1)放上小物块前对A由牛顿第二定律可得 m gsinθ−μm gcosθ=m a …………………………1分 1 1 1 1 放上小物块后对A由牛顿第二定律可得 m gsinθ −μ(m + m )gcosθ=m a ………1分 1 1 2 1 2 解得a =1m/s2,a =0 ………………1 分 1 2 (2) 放上小物块时A的速度v = a t …………………………1分 A1 10 小物块在木板上运动时的加速度a =gsinθ ………………1分 3放上小物块至小物块与木板发生第一次碰撞, 学科网(北京)股份有限公司 L 0 + v A 1 t 1 = 1 2 a 3 t 21 …………………………1分 解得t =0.75s …………………………1分 1 (3)放上小物块后A以v =1m/s的速度做匀速直线运动,碰前B的速度 A1 v = a t ………………1分 B1 31 第一次碰撞过程 m 1 v A 1 + m 2 v B 1 = m 1 ‘v A 1 + m 2 v ’B 1 …………………………1分 1 1 1 1 mv2 + m v2 = mv‘ 2 + m v’2 ………………1分 2 1 A1 2 2 B1 2 1 A1 2 2 B1 解得 v ’B 1 = 0 …………………………1分 (4)放上小物块至小物块与木板发生第一次碰撞,木板的位移L =v t 1 A11 由上一问可求得小物块与木板挡板第一次碰撞后木板A的速度 v ’A 1 = 2 m/s A、B 发生第二次碰撞前 B 的速度设为 v ,碰后 A 的速度 B2 v ’A 2 、B 的速度 v ’B 2 ,第一次碰撞和第二次碰撞 之间,时间设为t ,A、B的位移设为L 2 2 L = 2 v ’A 1 t 2 L = 2 ‘v B 1 t 2 + 1 2 a 3 t 22 v = B2 v ’B 1 +a t ………………1分 32 第二次碰撞过程 m 1 ‘v A 1 + m 2 v B 2 = m 1 ‘v A 2 + m 2 v ’B 2 …………………………1分 1 1 1 1 mv‘ 2 + m v2 = mv‘ 2 + m v’2 ………………1分 2 1 A1 2 2 B2 2 1 A2 2 2 B2 此后重复前面的过程,相邻两次碰撞之间的时间间隔相等,均为 t = t = t =1s …………1 分 2 3 4 求得L =0.75m,L =2m,L =3m,L =4m, 1 2 3 4 L + L + L < L, L + L + L +L > L 1 2 3 1 2 3 4 故A、B发生了3次碰撞 ……………………1分