当前位置:首页>文档>微专题等比数列的判定与证明学案——2023届高考数学一轮《考点·题型·技巧》精讲与精练_2.2025数学总复习_赠品通用版(老高考)复习资料_一轮复习

微专题等比数列的判定与证明学案——2023届高考数学一轮《考点·题型·技巧》精讲与精练_2.2025数学总复习_赠品通用版(老高考)复习资料_一轮复习

  • 2026-04-12 10:07:42 2026-03-20 07:22:03

文档预览

微专题等比数列的判定与证明学案——2023届高考数学一轮《考点·题型·技巧》精讲与精练_2.2025数学总复习_赠品通用版(老高考)复习资料_一轮复习
微专题等比数列的判定与证明学案——2023届高考数学一轮《考点·题型·技巧》精讲与精练_2.2025数学总复习_赠品通用版(老高考)复习资料_一轮复习
微专题等比数列的判定与证明学案——2023届高考数学一轮《考点·题型·技巧》精讲与精练_2.2025数学总复习_赠品通用版(老高考)复习资料_一轮复习
微专题等比数列的判定与证明学案——2023届高考数学一轮《考点·题型·技巧》精讲与精练_2.2025数学总复习_赠品通用版(老高考)复习资料_一轮复习
微专题等比数列的判定与证明学案——2023届高考数学一轮《考点·题型·技巧》精讲与精练_2.2025数学总复习_赠品通用版(老高考)复习资料_一轮复习
微专题等比数列的判定与证明学案——2023届高考数学一轮《考点·题型·技巧》精讲与精练_2.2025数学总复习_赠品通用版(老高考)复习资料_一轮复习
微专题等比数列的判定与证明学案——2023届高考数学一轮《考点·题型·技巧》精讲与精练_2.2025数学总复习_赠品通用版(老高考)复习资料_一轮复习
微专题等比数列的判定与证明学案——2023届高考数学一轮《考点·题型·技巧》精讲与精练_2.2025数学总复习_赠品通用版(老高考)复习资料_一轮复习
微专题等比数列的判定与证明学案——2023届高考数学一轮《考点·题型·技巧》精讲与精练_2.2025数学总复习_赠品通用版(老高考)复习资料_一轮复习
微专题等比数列的判定与证明学案——2023届高考数学一轮《考点·题型·技巧》精讲与精练_2.2025数学总复习_赠品通用版(老高考)复习资料_一轮复习
微专题等比数列的判定与证明学案——2023届高考数学一轮《考点·题型·技巧》精讲与精练_2.2025数学总复习_赠品通用版(老高考)复习资料_一轮复习
微专题等比数列的判定与证明学案——2023届高考数学一轮《考点·题型·技巧》精讲与精练_2.2025数学总复习_赠品通用版(老高考)复习资料_一轮复习
微专题等比数列的判定与证明学案——2023届高考数学一轮《考点·题型·技巧》精讲与精练_2.2025数学总复习_赠品通用版(老高考)复习资料_一轮复习
微专题等比数列的判定与证明学案——2023届高考数学一轮《考点·题型·技巧》精讲与精练_2.2025数学总复习_赠品通用版(老高考)复习资料_一轮复习
微专题等比数列的判定与证明学案——2023届高考数学一轮《考点·题型·技巧》精讲与精练_2.2025数学总复习_赠品通用版(老高考)复习资料_一轮复习
微专题等比数列的判定与证明学案——2023届高考数学一轮《考点·题型·技巧》精讲与精练_2.2025数学总复习_赠品通用版(老高考)复习资料_一轮复习
微专题等比数列的判定与证明学案——2023届高考数学一轮《考点·题型·技巧》精讲与精练_2.2025数学总复习_赠品通用版(老高考)复习资料_一轮复习
微专题等比数列的判定与证明学案——2023届高考数学一轮《考点·题型·技巧》精讲与精练_2.2025数学总复习_赠品通用版(老高考)复习资料_一轮复习
微专题等比数列的判定与证明学案——2023届高考数学一轮《考点·题型·技巧》精讲与精练_2.2025数学总复习_赠品通用版(老高考)复习资料_一轮复习
微专题等比数列的判定与证明学案——2023届高考数学一轮《考点·题型·技巧》精讲与精练_2.2025数学总复习_赠品通用版(老高考)复习资料_一轮复习

文档信息

文档格式
docx
文档大小
1.068 MB
文档页数
20 页
上传时间
2026-03-20 07:22:03

文档内容

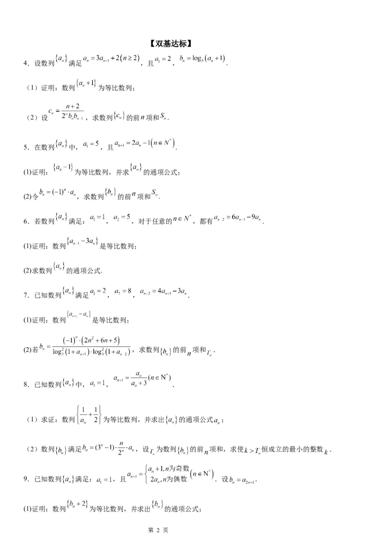
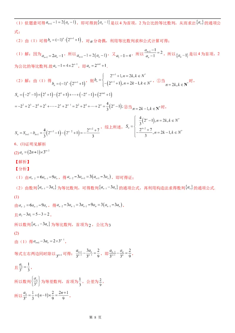
微专题:等比数列的判定与证明 【考点梳理】 等比数列的四种常用判定方法 定义法 若=q(q为非零常数,n∈N*)或=q(q为非零常数且n≥2,n∈N*),则{a}是等比数列 n 中项 若数列{a n }中,a n ≠0且a=a n ·a n+2 (n∈N*),则{a n }是等比数列 公式法 通项 若数列{a}的通项公式可写成a =c·qn-1(c,q均是不为0的常数,n∈N*),则{a}是等 n n n 公式法 比数列 前n项 若数列{a}的前n项和S=k·qn-k(k为常数且k≠0,q≠0,1),则{a}是等比数列 n n n 和公式法 【典例剖析】 典例1.在数列 中, , , . (1)证明:数列 是等比数列; (2)求数列 的通项公式. 典例2.已知各项都为正数的数列 满足 , . (1)若 ,求证: 是等比数列; (2)求数列 的前 项和 . 典例3.已知数列 的前 项和为 ,且 . (1)证明: 为等比数列. (2)若 ,求数列 的前 项和 . 第 1 页 学学科科网网((北北京京))股股份份有有限限公公司司【双基达标】 4.设数列 满足 ,且 , . (1)证明:数列 为等比数列; (2)设 ,求数列 的前 项和 . 5.在数列 中, ,且 . (1)证明: 为等比数列,并求 的通项公式; (2)令 ,求数列 的前 项和 . 6.若数列 满足: , ,对于任意的 ,都有 . (1)证明:数列 是等比数列; (2)求数列 的通项公式. 7.已知数列 满足 , , . (1)证明:数列 是等比数列; (2)若 ,求数列 的前 项和 . 8.已知数列 中, , . (1)求证:数列 为等比数列,并求出 的通项公式 ; (2)数列 满足 ,设 为数列 的前 项和,求使 恒成立的最小的整数 . 9.已知数列 满足: ,且 .设 . (1)证明:数列 为等比数列,并求出 的通项公式; 第 2 页 学学科科网网((北北京京))股股份份有有限限公公司司(2)求数列 的前2n项和. 10.已知数列{an}和{bn}满足a=1,b=0, , . 1 1 (1)证明:{an+bn}是等比数列,{an–bn}是等差数列; (2)求{an}和{bn}的通项公式. 【高分突破】 11.已知数列 的前n项和 满足 . (1)证明:数列 是等比数列; (2)设数列 的前n项和为 ,求证: . 12.已知数列 的前n项和为 ,且 . (1)证明数列 为等比数列,并求出数列 的通项公式; (2)设 ,求数列 的前n项和 . 13.已知数列 的前n项和为 ,且满 . (1)求证数列 是等比数列. (2)若数列 满足 求数列 的前n项和 . 14.设数列 满足 ,其中 . (1)证明: 是等比数列; (2)令 ,设数列 的前 项和为 ,求使 成立的最大自然数 的值. 15.已知数列 的前n项和为 , , , . 第 3 页 学学科科网网((北北京京))股股份份有有限限公公司司(1)求证:数列 是等比数列; (2)设数列 的前n项和为 ,已知 ,若不等式 对于 恒成立,求实数m的最大 值. 16.以数列的任意相邻两项为点 , 的坐标,均在一次函数 的图象上,数列 满足 , 且 . (1)求证:数列 是等比数列; (2)设数列 , 的前 项和分别为 , ,若 , ,求 的值. 17.已知数列 的首项为正数,其前 项和 满足 . (1)求实数 的值,使得 是等比数列; (2)设 ,求数列 的前 项和. 18.已知数列 满足: , . (Ⅰ)证明:数列 为等比数列,并求数列 的通项公式; (Ⅱ)记 ,求使 成立的最大正整数n的值.(其中,符号 表示不 超过x的最大整数) 19.已知数列 满足 ,且 . (1)证明:数列 为等比数列; (2)设 ,记数列 的前 项和为 ,若对任意的 , 恒成立,求 的取值范围. 20.为了治疗某种疾病,研制了甲、乙两种新药,希望知道哪种新药更有效,为此进行动物试验.试验方案如下: 每一轮选取两只白鼠对药效进行对比试验.对于两只白鼠,随机选一只施以甲药,另一只施以乙药.一轮的治疗 第 4 页 学学科科网网((北北京京))股股份份有有限限公公司司结果得出后,再安排下一轮试验.当其中一种药治愈的白鼠比另一种药治愈的白鼠多4只时,就停止试验,并认 为治愈只数多的药更有效.为了方便描述问题,约定:对于每轮试验,若施以甲药的白鼠治愈且施以乙药的白鼠 未治愈则甲药得1分,乙药得 分;若施以乙药的白鼠治愈且施以甲药的白鼠未治愈则乙药得1分,甲药得 分; 若都治愈或都未治愈则两种药均得0分.甲、乙两种药的治愈率分别记为α和β,一轮试验中甲药的得分记为X. (1)求 的分布列; (2)若甲药、乙药在试验开始时都赋予4分, 表示“甲药的累计得分为 时,最终认为甲药比乙药 更有效”的概率,则 , , ,其中 , , .假设 , . (i)证明: 为等比数列; (ii)求 ,并根据 的值解释这种试验方案的合理性. 第 5 页 学学科科网网((北北京京))股股份份有有限限公公司司参考答案 1.(1)证明见解析 ;(2) . 【解析】 【分析】 (1)通过计算 来证得数列 是等比数列. (2)结合(1)的结论求得数列 的通项公式. 【详解】 (1)由题意,知 . 又 ,所以数列 是首项为1,公比为4的等比数列. (2)由(1),可知 , 所以数列 的通项公式为 . 2.(1)证明见解析 (2) 【解析】 【分析】 (1)根据等比数列的定义,利用 以及 ,即可得到 ,即可证明.(2)根据分组求和和 等比数列求和公式即可求解. (1)因为 所以 , 因为 所以 所以 所以 所以 是首项和公比均为 的等比数列. (2)由(1)易得: 因为 所以 所以 3.(1)证明见解析 (2) 【解析】 【分析】 (1)由 可求得 的值,令 ,由 可得 ,两式作差可推导出数列 为等比数列; (2)求出 ,利用裂项相消法可求得 . (1) 证明:因为 ,所以当 时, ,可得 ; 当 时,由 可得 , 第 6 页所以 ,所以 . 即 是首项为 ,公比为 的等比数列,所以, . (2) 解:由(1)知 , 所以 . 4.(1)证明见解析;(2) . 【解析】 【分析】 (1)由 ,变形为 ,即可证明;(2)由等比数列的通项公式可得 , 于是 ,因此 ,再利用“裂项求和”即可得出. 【详解】 解:(1)因为 , 所以 , 所以数列 是首项为3,公比为3的等比数列. (2)因为 是首项为 , 公比为3的等比数列. 所以 , 所以 , 所以 , 所以 , 所以 . 5.(1)证明见解析, (2) 【解析】 【分析】 第 7 页(1)依题意可得 ,即可得到 是以4为首项,2为公比的等比数列,从而求出 的通项公 式; (2)由(1)可得 ,对 分奇偶,利用等比数列求和公式计算可得; (1)解:因为 ,所以 ,又 ,所以 ,所以 是以4为首项,2 为公比的等比数列.故 ,即 . (2)解:由(1)得 ,则 ,①当 时, ②当 时, ,综上所述, 6.(1)证明见解析 (2) 【解析】 【分析】 (1)由 ,得 ,即可得证; (2)由数列 为等比数列,可得数列 的通项公式,再利用构造法求得数列 的通项公式. (1) 由 ,得 , 且 , 所以数列 为等比数列,首项为 ,公比为 (2) 由(1)得 , 等式左右两边同时除以 可得: ,即 , 且 , 所以数列 为等差数列,首项为 ,公差为 , 所以 , 第 8 页所以 . 7.(1)证明见解析 (2) 【解析】 【分析】 (1)由递推关系式可得 ,由等比数列定义可得结论; (2)利用等比数列通项公式和累加法可求得 ,由此可得 ,分别在 为偶数和 为 奇数的情况下,利用裂项相消法和 求得结果,综合两种情况可得 . (1) 由 得: ,又 , 数列 是以 为首项, 为公比的等比数列. (2) 由(1)得: , 则 , , ,…, , 各式作和得: , 又 , , , 当 为偶数时, ; 当 为奇数时, ; 综上所述: . 8.(1)证明见解析, ;(2) . 【解析】 【分析】 (1)将已知条件两边同时取倒数可得 ,利用构造法令 求出 的值,由等比数列的 第 9 页定义即可求证;求出 即可得 ; (2)求出 的通项公式,由乘公比错位相减求出 ,使得 即可. 【详解】 (1)由 ,得 , 令 ,所以 ,解得 , 所以 , 由等比数列的定义可知: 数列 是以 为公比,以 为首项的等比数列, 所以 ,即 , (2)由题意得 , , , 两式相减得: , 所以 , 所以 , 所以使 恒成立的最小的整数 为 . 9.(1) (2)数列 的前2n项和为 【解析】 【分析】 (1)根据数列的递推公式可得 ,由此构造数列,进而证明结论; (2)根据数列的递推公式可得数列的偶数项与奇数项之间的关系,由(1)可得数列的奇数项的通项公式,利用 等比数列的求和公式,进而求得答案. (1) 由题意可知: , , 第 10 页故 ,即 , 故 是以 为首项,以 为公比的等比数列, 且 , 故 (2) 由(1)知, ,即 , 由题意知: ,故 , 故数列 的前2n项和 . 10.(1)见解析;(2) , . 【解析】 【分析】 (1)可通过题意中的 以及 对两式进行相加和相减即可推导出数列 是等比 数列以及数列 是等差数列; (2)可通过(1)中的结果推导出数列 以及数列 的通项公式,然后利用数列 以及数列 的通项公式即可得出结果. 【详解】 (1)由题意可知 , , , , 所以 ,即 , 所以数列 是首项为 、公比为 的等比数列, , 因为 , 所以 ,数列 是首项 、公差为 的等差数列, . (2)由(1)可知, , , 所以 , . 【点睛】 本题考查了数列的相关性质,主要考查了等差数列以及等比数列的相关证明,证明数列是等差数列或者等比数列 一定要结合等差数列或者等比数列的定义,考查推理能力,考查化归与转化思想,是中档题. 11.(1)证明见解析 (2)证明见解析 第 11 页【解析】 【分析】 (1)分 ,与 两种情况分析,当 是,构造 证明即可; (2)由(1)可得 ,再利用裂项求和求解 ,进而证明即可 (1)证明:当 时, ∴ 当 时, , ∴ ∴数列 是以2为公比,首项 的等比数列 (2)由(1)知 , ,代入 得 ∴ 由 , , ,所以 ∴ 综上所述 12.(1)证明见解析, (2) 【解析】 【分析】 (1)根据 求得 ,由由已知 ,可得 ,两式相减可得 ,即可证明结 论,继而求得通项公式; (2)利用(1)的结论,求出 ,利用错位相减法求得答案. (1)当 时,由 可得 ,由已知 ,有 ,两式相减得 , 即 , 因为 ,所以 ,所以 ,所以数列 是以3为首项,3为公比的等比数列,所以 ; (2)由(1)可得 ,所以 , ,则 ,所以 ,所以 . 13.(1)答案见解析;’ (2) . 【解析】 【分析】 (1)证明见解析; (2)先求出 ,利用裂项相消法求和. 第 12 页(1) 对于 , 当n=1时,由 . 当 ,有 ,此时 , 所以数列 是首项为 ,公比为 的等比数列. (2) 由(1)知, ,所以 . 所以当n=1时, ; 当 ,有 , 经检验, 对n=1也成立. 所以 . 所以 . 所以 . 14.(1)证明见解析;(2)最大自然数 . 【解析】 【分析】 (1)根据题中条件,可得 的表达式,根据等比数列的定义,即可得证; (2)由(1)可得 ,则可得 ,根据错位相减求和法,可求得 的表达式,根据 的单调性, 代入数值,分析即可得答案. 【详解】 解:(1)∵ , ∴ 第 13 页即 , ∴ 是首项为 ,公比为2的等比数列. (2)由(1)知, , 即 , ∴ , ,① ,② ①减②得 . ∴ . ∴ , ∴ .单调递增. ∵ , . 故使 成立的最大自然数 . 【点睛】 解题的关键是根据所给形式,进行配凑和整理,根据等比数列定义,即可得证,求和常用的方法有:①公式法, ②倒序相加法,③裂项相消法,④错位相减法等,需熟练掌握. 15.(1)证明见解析;(2) . 【解析】 (1)利用 可得数列 的递推关系, ,然后可证明 是等比数列; (2)由(1)求出 ,即得 ,利用错位相减法求得 ,不等式 对于 恒成立,转化为 恒成立,求出 的最小值即可得结论. 【详解】 (1)由 , 第 14 页得 ( ), 两式相减得 ,所以 ( ), 因为 ,所以 , , . 所以 是以1为首项,2为公比的等比数列. (2)由 ,又由(1)可知 ,得 , ∴ ,则 , 两式相减得 , 所以 . 由 恒成立,即 恒成立, 又 , 故当 时, 单调递减;当 时, ; 当 时, 单调递增;当 时, ; 则 的最小值为 ,所以实数m的最大值是 . 【点睛】 本题考查由 求 ,考查等比数列的证明,等比数列的通项公式,考查错位相减法求和以及数列不等式恒成立问 题.考查了学生的运算求解能力,逻辑推理能力,属于中档题. 16.(1)证明见解析;(2)8. 【解析】 【分析】 (1)可根据题目条件得到 ,易知 为等比数列,即可证得 为等比数列; (2)分别写出 与 的前 项和表达式,列出方程组,即可求解出 的值. 【详解】 (1)证明:依题意可知 , 整理可得 ; ; 有 ,即数列 是首项为 ,公比为2的等比数列. (2)数列 的前 项和 ; 第 15 页数列 的前 项和 ; , ; 可列方程组 ,解得 ; . 17.(1) (2) 【解析】 【分析】 由题可知,数列的代数表达式是很复杂的,需要进行恒等变换; (1)当 和 同时出现在代数表达式中的时候,往往需要利用 ,把 转换成 ,但是本题是要证明 为等比数列,所以要把 转换成 ,再利用等比数列的定义即可证明; (2)依题意很显然应该是裂项相消求和. (1)当 时, , ,解得 ;当 时,把 代入题设条件得: ,即 ,很显然 是首项为8+1=9,公比为9的等比数列,∴ ; (2)由(1)知 是首项为 ,公比 的等比数列,所以 , .故数列 的前 项和为: . 18.(Ⅰ)证明见解析, ;(Ⅱ)45. 【解析】 【分析】 (1)等式两边同时除以 即可; (2)需要对 的整数部分与小数部分进行分析. 【详解】 ∵ ,显然 ∴ , 是以 为首项,3为公比的等比数列 即 ,所以 . 第 16 页(2) . 因为n≥2时, , . 所以n≥2时, . 又n=1时, , 所以 ; 时, ,所以 时, . 由 ,及 ,得 . 所以使 成立的最大正整数n的值为45. 【点睛】 本题说明n≥2时, 是解决问题的关键. 19.(1)证明见详解;(2) . 【解析】 【分析】 (1)由题意得 ,化简整理,结合定义即可得证. (2)由(1)可得 ,代入可得 ,分别讨论 为奇数和偶数时 的表达式, 结合单调性,即可求出 的取值范围. 【详解】 (1)证明:因为 ,所以 即 ,则 从而数列 是以6为首项,2为公比的等比数列 (2)解:由(1)知 ,即 所以 第 17 页, 当 为偶数时, 当 为奇数时, 当 为偶数时, 是递减的,此时当 时, 取最大值 ,则 ; 当 为奇数时, 是递增的,此时 ,则 . 综上, 的取值范围是 . 【点睛】 本题考查了数列构造法,等比数列的定义以及裂项相消求和,还涉及了分类讨论的思想,属于难题 20.(1)见解析;(2)(i)见解析;(ii) . 【解析】 【分析】 (1)首先确定 所有可能的取值,再来计算出每个取值对应的概率,从而可得分布列;(2)(i)求解出 的取值,可得 ,从而整理出符合等比数列定义的形式,问题得证;(ii)列 出证得的等比数列的通项公式,采用累加的方式,结合 和 的值可求得 ;再次利用累加法可求出 . 【详解】 (1)由题意可知 所有可能的取值为: , , ; ; 则 的分布列如下: (2) , , , (i) 第 18 页即 整理可得: 是以 为首项, 为公比的等比数列 (ii)由(i)知: , ,……, 作和可得: 表示最终认为甲药更有效的.由计算结果可以看出,在甲药治愈率为0.5,乙药治愈率为0.8时,认为甲药更有效 的概率为 ,此时得出错误结论的概率非常小,说明这种实验方案合理. 【点睛】 本题考查离散型随机变量分布列的求解、利用递推关系式证明等比数列、累加法求解数列通项公式和数列中的项 的问题.本题综合性较强,要求学生能够熟练掌握数列通项求解、概率求解的相关知识,对学生分析和解决问题能 力要求较高. 第 19 页第 20 页