当前位置:首页>文档>微专题解三角形在平面几何中的应用学案——2023届高考数学一轮《考点·题型·技巧》精讲与精练_2.2025数学总复习_赠品通用版(老高考)复习资料_一轮复习

微专题解三角形在平面几何中的应用学案——2023届高考数学一轮《考点·题型·技巧》精讲与精练_2.2025数学总复习_赠品通用版(老高考)复习资料_一轮复习

  • 2026-04-05 21:56:59 2026-03-20 07:38:31

文档预览

微专题解三角形在平面几何中的应用学案——2023届高考数学一轮《考点·题型·技巧》精讲与精练_2.2025数学总复习_赠品通用版(老高考)复习资料_一轮复习
微专题解三角形在平面几何中的应用学案——2023届高考数学一轮《考点·题型·技巧》精讲与精练_2.2025数学总复习_赠品通用版(老高考)复习资料_一轮复习
微专题解三角形在平面几何中的应用学案——2023届高考数学一轮《考点·题型·技巧》精讲与精练_2.2025数学总复习_赠品通用版(老高考)复习资料_一轮复习
微专题解三角形在平面几何中的应用学案——2023届高考数学一轮《考点·题型·技巧》精讲与精练_2.2025数学总复习_赠品通用版(老高考)复习资料_一轮复习
微专题解三角形在平面几何中的应用学案——2023届高考数学一轮《考点·题型·技巧》精讲与精练_2.2025数学总复习_赠品通用版(老高考)复习资料_一轮复习
微专题解三角形在平面几何中的应用学案——2023届高考数学一轮《考点·题型·技巧》精讲与精练_2.2025数学总复习_赠品通用版(老高考)复习资料_一轮复习
微专题解三角形在平面几何中的应用学案——2023届高考数学一轮《考点·题型·技巧》精讲与精练_2.2025数学总复习_赠品通用版(老高考)复习资料_一轮复习
微专题解三角形在平面几何中的应用学案——2023届高考数学一轮《考点·题型·技巧》精讲与精练_2.2025数学总复习_赠品通用版(老高考)复习资料_一轮复习
微专题解三角形在平面几何中的应用学案——2023届高考数学一轮《考点·题型·技巧》精讲与精练_2.2025数学总复习_赠品通用版(老高考)复习资料_一轮复习
微专题解三角形在平面几何中的应用学案——2023届高考数学一轮《考点·题型·技巧》精讲与精练_2.2025数学总复习_赠品通用版(老高考)复习资料_一轮复习
微专题解三角形在平面几何中的应用学案——2023届高考数学一轮《考点·题型·技巧》精讲与精练_2.2025数学总复习_赠品通用版(老高考)复习资料_一轮复习
微专题解三角形在平面几何中的应用学案——2023届高考数学一轮《考点·题型·技巧》精讲与精练_2.2025数学总复习_赠品通用版(老高考)复习资料_一轮复习
微专题解三角形在平面几何中的应用学案——2023届高考数学一轮《考点·题型·技巧》精讲与精练_2.2025数学总复习_赠品通用版(老高考)复习资料_一轮复习
微专题解三角形在平面几何中的应用学案——2023届高考数学一轮《考点·题型·技巧》精讲与精练_2.2025数学总复习_赠品通用版(老高考)复习资料_一轮复习
微专题解三角形在平面几何中的应用学案——2023届高考数学一轮《考点·题型·技巧》精讲与精练_2.2025数学总复习_赠品通用版(老高考)复习资料_一轮复习
微专题解三角形在平面几何中的应用学案——2023届高考数学一轮《考点·题型·技巧》精讲与精练_2.2025数学总复习_赠品通用版(老高考)复习资料_一轮复习
微专题解三角形在平面几何中的应用学案——2023届高考数学一轮《考点·题型·技巧》精讲与精练_2.2025数学总复习_赠品通用版(老高考)复习资料_一轮复习
微专题解三角形在平面几何中的应用学案——2023届高考数学一轮《考点·题型·技巧》精讲与精练_2.2025数学总复习_赠品通用版(老高考)复习资料_一轮复习
微专题解三角形在平面几何中的应用学案——2023届高考数学一轮《考点·题型·技巧》精讲与精练_2.2025数学总复习_赠品通用版(老高考)复习资料_一轮复习
微专题解三角形在平面几何中的应用学案——2023届高考数学一轮《考点·题型·技巧》精讲与精练_2.2025数学总复习_赠品通用版(老高考)复习资料_一轮复习
微专题解三角形在平面几何中的应用学案——2023届高考数学一轮《考点·题型·技巧》精讲与精练_2.2025数学总复习_赠品通用版(老高考)复习资料_一轮复习
微专题解三角形在平面几何中的应用学案——2023届高考数学一轮《考点·题型·技巧》精讲与精练_2.2025数学总复习_赠品通用版(老高考)复习资料_一轮复习
微专题解三角形在平面几何中的应用学案——2023届高考数学一轮《考点·题型·技巧》精讲与精练_2.2025数学总复习_赠品通用版(老高考)复习资料_一轮复习
微专题解三角形在平面几何中的应用学案——2023届高考数学一轮《考点·题型·技巧》精讲与精练_2.2025数学总复习_赠品通用版(老高考)复习资料_一轮复习
微专题解三角形在平面几何中的应用学案——2023届高考数学一轮《考点·题型·技巧》精讲与精练_2.2025数学总复习_赠品通用版(老高考)复习资料_一轮复习
微专题解三角形在平面几何中的应用学案——2023届高考数学一轮《考点·题型·技巧》精讲与精练_2.2025数学总复习_赠品通用版(老高考)复习资料_一轮复习
微专题解三角形在平面几何中的应用学案——2023届高考数学一轮《考点·题型·技巧》精讲与精练_2.2025数学总复习_赠品通用版(老高考)复习资料_一轮复习
微专题解三角形在平面几何中的应用学案——2023届高考数学一轮《考点·题型·技巧》精讲与精练_2.2025数学总复习_赠品通用版(老高考)复习资料_一轮复习
微专题解三角形在平面几何中的应用学案——2023届高考数学一轮《考点·题型·技巧》精讲与精练_2.2025数学总复习_赠品通用版(老高考)复习资料_一轮复习
微专题解三角形在平面几何中的应用学案——2023届高考数学一轮《考点·题型·技巧》精讲与精练_2.2025数学总复习_赠品通用版(老高考)复习资料_一轮复习
微专题解三角形在平面几何中的应用学案——2023届高考数学一轮《考点·题型·技巧》精讲与精练_2.2025数学总复习_赠品通用版(老高考)复习资料_一轮复习
微专题解三角形在平面几何中的应用学案——2023届高考数学一轮《考点·题型·技巧》精讲与精练_2.2025数学总复习_赠品通用版(老高考)复习资料_一轮复习
微专题解三角形在平面几何中的应用学案——2023届高考数学一轮《考点·题型·技巧》精讲与精练_2.2025数学总复习_赠品通用版(老高考)复习资料_一轮复习
微专题解三角形在平面几何中的应用学案——2023届高考数学一轮《考点·题型·技巧》精讲与精练_2.2025数学总复习_赠品通用版(老高考)复习资料_一轮复习
微专题解三角形在平面几何中的应用学案——2023届高考数学一轮《考点·题型·技巧》精讲与精练_2.2025数学总复习_赠品通用版(老高考)复习资料_一轮复习
微专题解三角形在平面几何中的应用学案——2023届高考数学一轮《考点·题型·技巧》精讲与精练_2.2025数学总复习_赠品通用版(老高考)复习资料_一轮复习
微专题解三角形在平面几何中的应用学案——2023届高考数学一轮《考点·题型·技巧》精讲与精练_2.2025数学总复习_赠品通用版(老高考)复习资料_一轮复习
微专题解三角形在平面几何中的应用学案——2023届高考数学一轮《考点·题型·技巧》精讲与精练_2.2025数学总复习_赠品通用版(老高考)复习资料_一轮复习
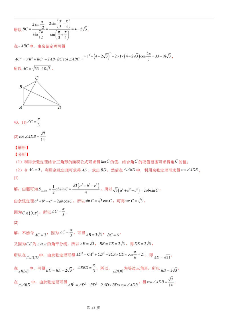
微专题解三角形在平面几何中的应用学案——2023届高考数学一轮《考点·题型·技巧》精讲与精练_2.2025数学总复习_赠品通用版(老高考)复习资料_一轮复习
微专题解三角形在平面几何中的应用学案——2023届高考数学一轮《考点·题型·技巧》精讲与精练_2.2025数学总复习_赠品通用版(老高考)复习资料_一轮复习
微专题解三角形在平面几何中的应用学案——2023届高考数学一轮《考点·题型·技巧》精讲与精练_2.2025数学总复习_赠品通用版(老高考)复习资料_一轮复习
微专题解三角形在平面几何中的应用学案——2023届高考数学一轮《考点·题型·技巧》精讲与精练_2.2025数学总复习_赠品通用版(老高考)复习资料_一轮复习
微专题解三角形在平面几何中的应用学案——2023届高考数学一轮《考点·题型·技巧》精讲与精练_2.2025数学总复习_赠品通用版(老高考)复习资料_一轮复习
微专题解三角形在平面几何中的应用学案——2023届高考数学一轮《考点·题型·技巧》精讲与精练_2.2025数学总复习_赠品通用版(老高考)复习资料_一轮复习

文档信息

文档格式
docx
文档大小
3.227 MB
文档页数
44 页
上传时间
2026-03-20 07:38:31

文档内容

微专题:解三角形在平面几何中的应用 【考点梳理】 与传统解三角形问题不同的是,新高考中强化了对分析问题能力的考查. 【典例分析】 典例1.如图,在 中, 是斜边 上的高,在图中的六条线段中,你认为只要知道几条线段的长,就 可以求其他的线段的长( ) A.1 B.2 C.3 D.4 典例2.如图,在平面四边形 中, , , , , ,则 ( ) A.1 B.3 C.2 D.4 典例3.如图, 满足 ,则 ( ) A. B. C. D. 第 1 页 学学科科网网((北北京京))股股份份有有限限公公司司【双基达标】 4.如图, 中, , , 为 外一点,且 , , 的面积为 , 则 ( ) A.6 B.7 C.8 D.9 5.托勒密是古希腊天文学家、地理学家、数学家,托勒密定理就是由其名字命名,该定理指出:圆的内接凸四边形 两对对边乘积的和等于两条对角线的乘积.已知四边形 的四个顶点在同一个圆的圆周上, 是其两条对 角线, ,且 为正三角形,则四边形 的面积为( ) A. B. C. D. 6.在 中, , .当 取最大值时, 内切圆的半径为( ) A. B. C. D.2 7.如图,已知在 中, ,点 在边 上,且满足 ,则 ( ) 第 2 页 学学科科网网((北北京京))股股份份有有限限公公司司A. B. C. D. 8.在 中,角 的对边分别为 ,已知 ,则 的面积为( ) A. B. C. D. 9.如图所示,在平面四边形 中,已知 , , , 记 的中垂线与 的中垂线交于一点 ,恰好 为 的角平分线,则 ( ) A. B. C. D. 10.在 中, , , 边上的中线 ,则 面积S为( ) A. B. C. D. 11.如图,一轮船从A点沿北偏东 的方向行驶10海里至海岛B,又从B沿北偏东 的方向行驶10海里至海岛 ,若此轮船从A点直接沿直线行驶至海岛 ,则此船沿__________方向行驶__________海里至海岛C( ) 第 3 页 学学科科网网((北北京京))股股份份有有限限公公司司A.北偏东 ; B.北偏东 ; C.北偏东 ; D.北偏东 ; 12.在钝角 中, 分别是 的内角 所对的边,点 是 的重心,若 ,则 的取值范围是( ) A. B. C. D. 13.如图,在三棱锥 的平面展开图中, , , , , , , 则 ( ) A. B. C. D. 14.如图矩形 ,沿 对折使得点 与 边上的点 重合,则 的长度可以用含 的式子表示, 那么 长度的最小值为( ) 第 4 页 学学科科网网((北北京京))股股份份有有限限公公司司A.4 B.8 C. D. 15.在 中, 为边 上一点, , , ,则 的值为( ) A. B. C. D. 16.已知 中,长为2的线段 为 边上的高,满足: ,且 ,则 ( ) A. B. C. D. 17.如图, 是 外一点,若 , , , , ,则 ( ) A. B.4 C. D.8 18.在 中, , 是线段 上的点, ,若 的面积为 ,则 取到最大 值时, 的长度为( ) A. B. C. D. 19.在 中, ,点 是边 的中点, 的面积为 ,则线段 的取值范围是( ) 第 5 页 学学科科网网((北北京京))股股份份有有限限公公司司A. B. C. D. 20.如图,两座相距60 m的建筑物AB,CD的高度分别为20 m,50 m,BD为水平面,则从建筑物AB的顶端A看 建筑物CD的张角为( ) A.30° B.45° C.60° D.75° 21.已知 的三边长分别为 、 、 ,有以下4个命题: (1)以 、 、 为边长的三角形一定存在; (2)以 、 、 为边长的三角形一定存在; (3)以 、 、 为边长的三角形一定存在; (4)以 、 、 为边长的三角形一定存在;其中正确命题的个数为( ) A.1个 B.2个 C.3个 D.4个 22.如图,设 的内角 所对的边分别为 , ,且 若点 是 外一点, ,则下列说法中错误的是( ) A. 的内角 B. 的内角 C.四边形 面积无最大值 D.四边形 面积的最大值为 23.若 , ,平面内一点 ,满足 , 的最大值是( ) A. B. C. D. 第 6 页 学学科科网网((北北京京))股股份份有有限限公公司司24.位于灯塔A处正西方向相距 n mile的B处有一艘甲船需要海上救援,位于灯塔A处北偏东45°相距 n mile的C处的一艘乙船前往营救,则乙船的目标方向线(由观测点看目标的视线)的方向是南偏西 ( ) A.30° B.60° C.75° D.45° 25.如图,四边形ABCD四点共圆,其中BD为直径, , , ,则 的面积为 ( ) A. B. C. D. 【高分突破】 一、单选题 26.如图所示,在四边形ABCD中,AC=AD=CD=7,∠ABC=120°,sin∠BAC= 且BD为∠ABC的平分线,则 BD=( ) A.6 B.9 C.7 D.8 27.如图是一祭祀天坛,在今西安市雁塔区陕西师范大学以南.天坛初建于隋而废弃于唐末比北京明清天坛早1000 多年,是隋唐王朝近三百年里的皇家祭天之处.某数学兴趣小组为了测得天坛的面积,在天坛外围测得AB=20米, BC=60米,CD=DA=40米,,据此可以估计天坛的面积大约为( ).(结果精确到1米2)(参考数据: , ,) 第 7 页 学学科科网网((北北京京))股股份份有有限限公公司司A.1386米2 B.1131米2 C.1286米2 D.1331米2 28.已知AB、CD是圆O的两条直径,且 ,如图1,沿AB折起,使两个半圆面所在的平面垂直,折 到点 位置,如图2.设直线 与直线OC所成的角为 ,则( ) A. 且 B. 且 C. 且 D. 且 二、多选题 29.在 中,若 ,角 的平分线 交 于 ,且 ,则下列说法正确的是( ) A.若 ,则 的面积是 B.若 ,则 的外接圆半径是 C.若 ,则 D. 的最小值是 30.已知 中, 在 上, 为 的角平分线, 为 中点,下列结论正确 的是( ) A. B. 的面积为 C. D. 在 的外接圆上,则 的最大值为 第 8 页 学学科科网网((北北京京))股股份份有有限限公公司司31.如图,在直角梯形 中,满足 ∥ , ,且 为正三角形,将 沿 翻折成三棱 锥 ,记 与平面 所成的角为 , 与平面 所成的角为 , 与 所成的角为 ,则在翻 折过程中,下列结论一定成立的是( ) A. B. C. D. 32.在 中,角 所对的边分别为 , , .若点 在边 上,且 , △ 是 的外心.则下列判断正确的是( ) △ A. B. 的外接圆半径为 △ C. D. = 三、填空题 33.在 中, , , , 是斜边上一点,以 为棱折成二面角 ,其大小 为60°,则折后线段 的最小值为___________. 34.随着生活水平的不断提高,人们更加关注健康,重视锻炼.通过“小步道”,走出“大健康”,健康步道成为 引领健康生活的一道亮丽风景线.如图, 为某区的一条健康步道,其中 为线段, 三点共线, 是以 为直径的半圆, , .则该健康步道的长度为___________. 35.拿破仑定理是法国著名军事家拿破仑·波拿巴最早提出的一个几何定理:“以任意三角形的三条边为边,向外 构造三个等边三角形,则这三个等边三角形的外接圆圆心恰为另一个等边三角形(此等边三角形称为拿破仑三角 形)的顶点.”已知 内接于单位圆,以 , , 为边向外作三个等边三角形,其外接圆圆心依次记为 , 第 9 页 学学科科网网((北北京京))股股份份有有限限公公司司, .若 ,则 的面积最大值为_______. 36.如图, 的正方形纸片,剪去对角的两个 的小正方形,然后沿虚线折起,分别粘合AB与AH,ED与 EF,CB与CD,GF与GH,得到一几何体Ω,记Ω上的棱AC与EG的夹角为a,则下列说法正确的是 ___________. ①几何体Ω中,CG⊥AE; ②几何体Ω是六面体; ③几何体Ω的体积为 ; ④ . 37.如图,在四边形 中, .若 是 的角平分线,则 的 长为_____. 38.在 中, , , 是 上的点, 平分 ,若 ,则 的面积为 __________. 四、解答题 39.如图, 是直角三角形 斜边 上一点, . 第 10 页 学学科科网网((北北京京))股股份份有有限限公公司司(1)若 ,求角 的大小; (2)若 ,且 ,求 的长. 40.如图,四边形 内接于一个圆中,其中 为直径, , , . (1)求 的长; (2)求 的面积. 41.如图,有一景区的平面图是一个半圆形,其中O为圆心,直径 的长为 ,C,D两点在半圆弧上,且 ,设 ; (1)当 时,求四边形 的面积. (2)若要在景区内铺设一条由线段 , , 和 组成的观光道路,则当 为何值时,观光道路的总长l最 长,并求出l的最大值. 42.在 中,角A,B,C的对边分别为a,b,c,且 . (1)求B; 第 11 页 学学科科网网((北北京京))股股份份有有限限公公司司(2)如图,若D为 外一点,且 , , , ,求AC. 43.已知 的内角 、 、 的对边分别为 、 、 ,且 的面积为 . (1)求 ; (2)若 , 的角平分线 与边 相交于点 ,延长 至点 ,使得 ,求 . 第 12 页 学学科科网网((北北京京))股股份份有有限限公公司司参考答案 1.B 【解析】 【分析】 由直角三角形中的射影定理,结合勾股定理可得出答案. 【详解】 由射影定理知 , , 又 , 由此可以看出只要知道其中的两条就可以求出第三条线段. 故选: B 2.C 【解析】 【分析】 设 ,由正弦定理得 , ,两式相除即可求出 . 【详解】 设 ,在 中,由正弦定理可得 ①, 由 可得 ,则 , , 在 中,由正弦定理可得 ②, ①②两式相除,得 ,即 , 整理得 ,化简得 ,故 . 故选:C 【点睛】 本题主要考查正弦定理与余弦定理在解三角形中的应用,考查转化思想与运算求解能力,属于中档题. 3.A 【解析】 【分析】 先用余弦定理求出 ,进而求出 ,再使用 进行求解. 【详解】 第 13 页在三角形BCD中,由余弦定理得: , 因为 ,所以角C为锐角,所以 , 在三角形ABC中, 故选:A 4.C 【解析】 【分析】 先利用同角三角函数的关系求出 的值,再利用二倍角公式结合 可求出 的值,由 的面积为 ,求出 的值,在 中,利用余弦定理可求出 的值,在 中,利用余弦定理可求出 的值 【详解】 ∵ ,∴ .又 ,∴ , .故 的面积 ,解 得 .则在 中,由余弦定理可得 ,得 . 解法一:在 中,由余弦定理可得 ,即 , 得 . 解法二:∵ ,所以 . 故选:C 【点睛】 关键点点睛:求解平面图形中的计算问题,关键是梳理条件和所求问题的类型,然后将数据化归到三角形中,利 用正弦定理或者余弦定理建立已知和所求的关系,具体解题思路:(1)把平面图形拆分成若干个三角形,然后在 各个三角形内利用正弦定理或余弦定理求解;(2)寻找各个三角形之间的联系,使用共同条件,求出结果. 5.D 【解析】 【分析】 由托勒密定理可得 ,由 可求出. 【详解】 第 14 页由题,设 , 由托勒密定理可得 ,所以 , 又因为 , , 所以 . 故选:D. 6.A 【解析】 【分析】 先令 ,由 ,平方化简可得当 时, 有最大值,再由此求出 所有边角, 再设内切圆半径为 ,根据等面积法,求出 . 【详解】 令 , ,由 ,平方相加得 ,得 ,显然, 当 时, 有最大值,则 ,又 ,得 ,则 , 设 为 的中点,如图所示,则 ,设内切圆的半径为 ,则 ,解得 . 故选:A 【点睛】 本题考查了两角差的余弦公式,考查了同角三角函数的基本关系式,考查了解三角形,考查了内切圆的特点,考 查了学分分析观察能力,属于中档题. 7.D 【解析】 【分析】 根据给定条件求出 , ,在 中由余弦定理求出 ,再在 中由正弦定理计算作答. 【详解】 在 中, , ,则 , 因 ,则 , 第 15 页在 中,由余弦定理得: ,即 , 在 中,由正弦定理 得: , 所以 . 故选:D 8.B 【解析】 【分析】 利用三角形边角关系,将 转化为关于边 的方程,解得边 ,进而由三角形的面积公式 ,直接求出面积即可. 【详解】 如图,过 作 ,交 的延长线于 ,因为 , 则 , , , 所以 又因为 所以 ,即 ,解得: 或 (舍) 所以 . 故选:B. 9.B 第 16 页【解析】 【分析】 由题意可知四边形 是以 为圆心的圆内接四边形,由 可得 , , 则 ,由 可得 ,从而得 ,再利 用 结合余弦定理可得结果 【详解】 由题意可知四边形 是以 为圆心的圆内接四边形,因为 , 所以 , , 所以 , 又由题目条件可知, , 所以 , , 所以 , 所以 . 故选:B 【点睛】 关键点点睛:此题考查余弦定理的综合应用,考查降幂公式,考查三角形的面积公式的应用,考查圆内接四边形 的性质的应用,解题的关键是由 得四边形 是以 为圆心的圆内接四边形,从而有 ,由 可得 ,再结合已知条件和余弦定理可得结果,考查数形结合的思 想和计算能力,属于中档题 10.C 【解析】 【分析】 作出辅助线,利用余弦定理求出∠ACE的余弦值,进而求出正弦值,利用面积公式求出答案. 【详解】 延长AD到点E使DE=AD,连接CE, 第 17 页则因为 边上的中线 , 所以 ABD≌△ECD 所以△ , , 面积等于 的面积 在三角形ACE中,由余弦定理得: , 则 所以 故选:C 11.C 【解析】 【分析】 先求出各角的角度,再使用余弦定理求解长度. 【详解】 由题意得: , ,故 ,所以从A到C的航向为北偏东 ,由余弦定理得: ,故 . 故选:C 12.A 【解析】 【分析】 由条件可得 ,然后根据余弦定理可得 、 ,根据三角形是 第 18 页钝角三角形求出 , , ,然后利用对勾函数的性质求出 的范围即可. 【详解】 如图所示: , 连接 ,并延长交 于 , 由 是三角形的重心,得 是 的中点, , , 由重心的性质得 ,即 , 由余弦定理得: , , , , , 则 , , , , 为锐角, 是钝角三角形, 或 为钝角, 或 , 将 代入得: , , , . 故选:A 13.D 【解析】 【分析】 根据几何关系求出AE,在△ACE中,根据余弦定理可求CE,从而可求CF,在△BCF里面利用余弦定理可求 . 【详解】 由题意知, , 在 中,由余弦定理知, , 第 19 页,而 , , ∴在 中,由余弦定理知, . 故选:D. 14.D 【解析】 【分析】 设 ,由三角比的定义可得 , ,继而求得 ,令 和 ,求导可得 的最大值为: ,继而求得 长度的最小值. 【详解】 设 , , , ,则 ,则有 和 , 代入 ,解得: , 令 和 , 导函数 ,即可得 的最大值在 时取得, 此时 ,求得此时 , 故选:D. 15.C 【解析】 【分析】 由正弦定理求得 ,继而求出 ,再根据三角形外角定理,结合两角和的正弦公式, 求得答案. 【详解】 如图示: 第 20 页在 中,由正弦定理得: , 故 ,而 ,故 只能是锐角, 故 , 所以 , 故选:C 16.D 【解析】 【分析】 分别在 、 上取点 、 ,使得 ,连接 、 、 ,转化条件得 ,由平面 向量加法的平行四边形法则可得 , ,结合平面几何的知识可得 、 分别为 、 的中点, ,再由余弦定理即可得解. 【详解】 分别在 、 上取点 、 ,使得 ,连接 、 、 ,如图所示: 线段 为 边上的高, , , , , , 由平面向量加法的平行四边形法则可得 , , 四边形 为菱形, 平分角 , , , 为 的中点, 、 分别为 、 的中点, , 又 , 点 为 的中点,即与点 重合, 在 中, , . 故选:D. 【点睛】 本题考查了平面向量数乘及加法的平行四边形法则的应用,考查了余弦定理的应用与运算求解能力,属于中档题. 17.C 第 21 页【解析】 【分析】 由 得 ,在 中结合正余弦定理求解即可. 【详解】 由 得 .在 中,由余弦定理得 , 所以 ,则 .因为 ,所以 .在 中, , 所以由正弦定理得 , 故选:C. 【点睛】 方法点睛:用正、余弦定理解决平面多边形问题时,应把多边形分割为多个三角形,通过各个三角形之间的关系 解决问题. 18.A 【解析】 【分析】 将 的面积分成两个小三角形面积和,得到关于 的方程,再利用基本不等式求最值. 【详解】 因为 , 所以 ,即 , 因为 , 所以 , 等号成立当且仅当 时等号成立,此时 . 故选:A. 19.C 【解析】 【分析】 设 , ,根据三角形的面积以及余弦定理可推得 ,设 函数 ,则方程 在 上有解,结合二次函数的性质,求得答案. 【详解】 第 22 页设 , ,所以 , 即 ①, 由余弦定理得 ,即 ②, 由①②得: ,即 , 令 ,设 ,则方程 在 上有解,因为 , 所以 , 解得 ,即 , 故选:C. 20.B 【解析】 【分析】 利用余弦定理直接求解即可 【详解】 依题意可得AD=20 ,AC=30 , 又CD=50,所以在 ACD中, △ 由余弦定理得cos∠CAD= = = = , 又0°<∠CAD<180°, 所以∠CAD=45°, 所以从顶端A看建筑物CD的张角为45°. 故选:B 21.B 【解析】 【分析】 的三边长分别为 、 、 ,不妨设 ,则 ,通过平方作差判断(1)正确,直接作差判断 (2)(3),举反例判断(4),进而可得正确答案. 【详解】 的三边长分别为 、 、 ,不妨设 ,则 , 对于(1): ,所以 ,所以以 、 、 为边长的三角形 一定存在;故(1)正确; 第 23 页对于(2): 不一定成立,因此以 、 、 为边长的三角形不一定存在;故 (2)不正确; 对于(3): ,因此以 、 、 为边长的三角形一定存在;故(3)正确; 对于(4): 取 , ,因此 、 、 ,能构成一个三角形的三边,而 ,因此以 、 、 为边长的三角形不一定存在,故(4)不正确, 所以正确的命题有 个, 故选:B 【点睛】 关键点点睛:本题关键是设不妨设 ,则 ,然后(1)中带根号,所以平方后作差满足两边之和大 于第三边,对于(2)(3)直接作差,利用两个小编之和大于第三边,即可求解. 22.C 【解析】 【分析】 根据题设条件和正弦定理化简得 ,求得 ,得到 ,可判定A、B正确;由四边形 面积等于 ,可判定D正确,C错误. 【详解】 因为 , 由正弦定理,可得 , 所以 ,即 , 因为 ,可得 ,所以 ,解得 , 又因为 ,所以 ,所以A、B正确; 由四边形 面积等于 , 所以D正确,C错误. 故选:C. 23.C 【解析】 【分析】 第 24 页由条件可得 , 是角平分线,然后由角平分线的性质可得 ,设 ,则 ,然 后 ,即可得出 的最大值. 【详解】 由 , 可得 因为 ,所以 ,即 是角平分线 所以由角平分线的性质可得 设 ,则 ,由 可得 因为 当且仅当 ,即 时等号成立,即 的最小值为 所以 的最大值是 故选:C 【点睛】 本题考查了平面向量的数量积、余弦定理和利用基本不等式求最值,考查了学生的分析转化能力,属于中档题. 24.B 【解析】 【分析】 根据已知条件作出图形,找出要求的角为 ,运用解三角形的知识进行求解. 【详解】 依题意,过点 作 的延长线交于点 ,如图, 则 , , , 在 中, , 在 中, , , 第 25 页又 , 则乙船的目标方向线(由观测点看目标的视线)的方向是南偏西60°. 故选:B. 25.C 【解析】 【分析】 先在 利用余弦定理求出边 ,再利用正弦定理求出直径 ,进而利用直角三角形求出 、 ,再利用 三角形的面积公式进行求解. 【详解】 在 中,因为 , , , 所以由余弦定理,得 , 由正弦定理,得 ; 在 和 中, , , 又 , 所以 的面积为 . 故选:C. 26.D 【解析】 【分析】 在 中,利用正弦定理即可求出 ,确定 四点共圆,可得 ,在 中,利 用余弦定理即可求解. 【详解】 由正弦定理得 , 由 ,可得 , , 所以 四点共圆, , 由余弦定理 . 故选:D. 第 26 页【点睛】 关键点睛:解决本题的关键是正弦定理、余弦定理的运用. 27.A 【解析】 【分析】 利用题中的条件以及解三角形的知识即可求解 【详解】 设 ,则 , 在 中, , 在 中, , 故 , 所以 ,进而有 , 故 (米2) 故选:A 28.C 【解析】 【分析】 根据圆的性质知 ,过D作 于 ,连接CE、AC,设圆的半径为 ,有 , 利用余弦定理、线面垂直的性质证 ,结合勾股定理判断 是否为直角;再过 作 交 于 ,则F为 中点,连接 ,即直线 与直线OC所成的角为 ,过F作 于 ,连接 ,利用勾股定理及余弦定理求 ,即可比较与60°的大小. 【详解】 图1中过D作 于 ,连接CE、AC,设圆的半径为 , 第 27 页由 ,则 且 , ∴在△ 中, ,而 , ∵图2中两个半圆面所在的平面垂直,它们交线为AB, 且 面 , ∴ 面 , 面 ,则 , ∴在Rt△ 中, ,而 ∴ ,故 , 过 作 交 于 ,则F为 中点,连接 ,即直线 与直线OC所成的角为 , , , 过F作 于 ,连接 ,且面 面 , 面 , ∴ 面 , 面 ,则 , 而在图1中, , , ,在△ 中, , 第 28 页∴图2,在Rt△ 中, ,则在△ 中, , ∴ . 故选:C 【点睛】 关键点点睛:作辅助线,结合平面图、立体图中各线段的关系,设圆的半径为 ,利用圆、面面垂直的性质确定相 关线段的长度,综合应用余弦定理、勾股定理判断角的大小. 29.ACD 【解析】 【分析】 A、B、C选项由已知结合正弦定理和差角公式及同角的基本关系进行变形即可判断,D选项用角 表示出 结合三角恒等变换以及均值不等式即可判断. 【详解】 因为 ,角 的平分线 交 于 ,所以 , ,所以 , , 由正弦定理得 , 所以 , 所以 ,故A正确; 因为 ,所以 ,设 的外接圆半径是 ,由正弦定理, ,所以 ,故B错 误; 因为 ,由正弦定理 ,因为 和 互补,所以 ,所以 ,故C正确; 第 29 页设 ,则 , 因为 , 所以 若 ,则 , 若 ,则 ,令 , , ,当且仅当 ,即 或 时,则 或 ,故 或 (舍去), 综上:当 为等边三角形时, 的最小值是 ,故D正确. 故选:ACD. 【点睛】 解三角形的基本策略:一是利用正弦定理实现“边化角”,二是利用余弦定理实现“角化边”;求三角形面积的 最大值也是一种常见类型,主要方法有两类,一是找到边之间的关系,利用基本不等式求最值,二是利用正弦定 理,转化为关于某个角的函数,利用函数思想求最值. 30.ABD 【解析】 【分析】 利用余弦定理计算 ,利用余弦定理计算 ,判断A;根据面积公式计算三角形 的面积,判断 B;利用正弦定理计算 ,判断C;设 ,用 表示出 , ,得出 关于 的三角函数,从 而得到 的最大值,判断D. 【详解】 在三角形 中,由余弦定理 , 第 30 页,故 ,故 正确; 在 中,由余弦定理得: , ,故 正确; 由余弦定理可知: , , 平分 , , , 在三角形 中,由正弦定理可得: , 故 ,故 不正确; , , , , , 为 的外接圆的直径,故 的外接圆的半径为1, 显然当 取得最大值时, 在优弧 上. 故 ,设 ,则 , , , , , ,其中 , , 当 时, 取得最大值 ,故 正确. 故选: . 31.BD 【解析】 【分析】 利用等体积法表达三棱锥 的体积,可得 ;根据线面夹角为线与平面内任意一条直线的夹角的最小值 第 31 页可判断 即可 【详解】 由线面角线线角的范围有 . 当翻折成三棱锥 时, ,即 ,即 ,故 ,由正弦定理可得 ,故 ,故 .故A错 误,B正确; 又 平面 ,且线面夹角为线与平面内任意一条直线的夹角的最小值,故 ,故C错误,D正确; 故选:BD 32.BC 【解析】 【分析】 对A,先利用正弦定理求出 ,判定出选项A错误; 对B,再利用 ,求出外接圆半径,选项B正确; 对C,画出图象,在 中,计算出 ,选项C正确; 对D,根据 的位置无法确定得出选项D错误. 【详解】 对A,在 中, , , ,又 , ,故选项A错误; 对B,又 , 所以 , 故 ,选项B正确. 对C,取 的中点 ,如图所示: 第 32 页在 中, , 在 中, , 故选项C正确; 对D,由题意,点 的位置不确定,故 长度不确定,选项D错误. 故选:BC. 33. 【解析】 【分析】 过 , 作 的垂线,垂足分别为 , ,从而得到 ,然后将 用 表示,求出 的表达式,再设 ,利用边角关系求出所需向量的模,同时利用二面角的大小得到向量 与 的 夹角,利用同角三角函数关系和二倍角公式化简 的表达式,再利用正弦函数的有界性分析求解即可. 【详解】 解:如图①,过 , 作 的垂线,垂足分别为 , , 故 , , 所以 , 以 为棱折叠后,则有 , 故 第 33 页, , 因为以 为棱折成 二面角 , 所以 与 的夹角为 , 令 ,则 , 在 中, , , 在 中, , , 故 , 所以 , 故当 时, 有最小值28, 故线段 最小值为 . 故答案为: . 【点睛】 本题考查了翻折问题,涉及了空间向量基本定理的应用、数量积的应用、模的求解、同角三角函数关系以及二倍 角公式的应用,解题的关键是将 表示出来. 34. 【解析】 【分析】 连接 ,利用三角函数求出 ,由余弦定理和三角恒等变换求出 ,从而求出周 长,得到答案. 【详解】 连接 ,因为 ,所以 , 在 中, ,所以 , 由直角三角形三角函数的定义知, , 第 34 页所以 , 所以半圆 的弧长为 . 在Rt 中, , 所以 , 在 中,设 , 由余弦定理可得, , 即 , 因为 ,所以 , 所以 ,解得: , 所以健康步道的长度为 . 故答案为: 35. 【解析】 【分析】 设 ,求出 ,从而可得 ,在 中,设 ,由正弦定理用 表示出 ,这样 就表示为 的函数,然后由降幂公式,两角差的正弦公式化函数为一个角的一个三角函数 形式,结合正弦函数性质可得最大值,从而得面积最大值. 【详解】 解:设 ,由题意以 边向外作等边三角形 ,其外接圆圆心分别为 , 连接 并延长分别交 于 , 则 ,同理 , 都是等边三角形,则 ,又 ,则 ,所以 第 35 页, 是正三角形,所以其面积为 , 内接于单位圆,即其外接圆半径为 ,则 ,同理 ,设 ,则 , , , , 所以当 时, 取得最大值 , 所以 的面积最大值为 . 故答案为: . 【点睛】 关键点点睛:本题考查三角函数在几何中的应用,解题关键是设设 ,用 表示出 (说明 即可得),等边 面积就可能用 表示,然后用正弦定理把 用角表示,利用三角函数的恒 等变换及正弦函数性质求得最大值. 36.①③④. 【解析】 【分析】 利用线面垂直的判定定理可得CG⊥平面ANE,进而判定①正确;证得AB⊥平面CBG,同理BE⊥平面CBG,从而判定该 几何体为四面体,故②错误;看成以CBG为底面的两个棱锥的和,计算体积可判定③正确;利用中位线找到异面 直线所成的角,利用余弦定理计算,可判定④正确. 【详解】 如图所示,取AG,CG,CE,EG的中点M,N,O,P,连接AN,EN,MN,ON,OB,MP,OP,OM. 第 36 页由已知可得CE=CA=EG=AG= , ∴AN⊥CG,NE⊥CG, 又∵AN∩NE=N, ∴CG⊥平面ANE, ∴CG⊥AE,故①正确; ∵AB⊥BC,AB⊥BG,∴AB⊥平面CBG,同理BE⊥平面CBG, ∴面ACB与面CBE共面,面AGB与面GBE共面,AB与BE共线, ∴该几何体为四面体,故②错误; ∵BC=BG=1,CG= , ∴△CBG为直角三角形,∠CBG=90°, ∴ , 又∵AE⊥平面CBG,AE=2AB=2BE=4, ∴该几何体的体积为 ,故③正确; MP=2,OP= , 又∵MP∥AE,OP∥CG,CG⊥AE, ∴MP⊥OP, ∴MO= , ON=NM= , ∴ , 又∵AC∥MN,EG∥NO,∴∠ONM为异面直线AC,EG所成的角或其补角, ∴ .故④正确. 第 37 页故答案为:①③④. 【点睛】 本题综合考查线面垂直,几何体的体积,异面直线所成的角,属中高档题,关键是要结合原式图形找到对应的几 何体的各棱的长度,综合线面垂直的判定定理进行证明相关的垂直关系. 37.5. 【解析】 【分析】 在△ABC中根据余弦定理求得BC,正弦定理求得角B,然后根据题目条件中的角的关系,△ACD中利用正弦定理 求得DC. 【详解】 解: 中, , 由余弦定理得 , 所以 , 又 , 由正弦定理得 ,所以 , 又 , 中, , 由正弦定理得 , 所以 , 即 的长为5. 故答案为:5. 第 38 页【点睛】 关键点点睛:利用正弦定理,余弦定理解得三角形的未知边和角. 38. 【解析】 【分析】 由正弦定理可得 、 ,即有 ,而 ,可得 ,结合余弦定理求 ,再应用三角形面积公式求 的面积即可. 【详解】 ∴由正弦定理, , ,即 , ,而 , ∴ , ∵ ,即 , , ∴ ,即 , 又由余弦定理知: , ∴ ,即 ,令 , ∴ ,即 ( 舍去), ∴ . 故答案为: . 【点睛】 关键点点睛:应用正余弦定理,列方程求 ,根据三角形面积公式求面积. 39.(1) (2) 【解析】 【分析】 第 39 页(1)先由正弦定理求出 ,结合得到 ,从而得到 ;(2)求出 ,进而得到角C的余弦值,再使用余弦定理求出 的长. (1) 在 中,由正弦定理得 , 所以, 又 所以, . (2) 由 ,且 知: 所以,直角三角形 中, 在 中,由余弦定理得 所以, . 40.(1) ; (2) . 【解析】 【分析】 (1)利用余弦定理可求得 ,利用正弦定理可求得结果; (2)利用勾股定理可求得 ,利用三角形面积公式可得结果. (1) 在 中,由余弦定理得: ,解得: , 设 为 外接圆半径,由正弦定理得: , 即 . (2) 为直径, , 第 40 页, ,又 , . 41.(1) ;(2)5 【解析】 【分析】 (1)把四边形 分解为三个等腰三角形: ,利用三角形的面积公式即得解; (2)利用 表示(1)中三个等腰三角形的顶角,利用正弦定理分别表示 , 和 ,令 ,转化为二 次函数的最值问题,即得解. 【详解】 (1)连结 ,则 四边形 的面积为 (2)由题意,在 中, ,由正弦定理 同理在 中, ,由正弦定理 令 时,即 , 的最大值为5 【点睛】 本题考查了三角函数和解三角形综合实际应用问题,考查了学生综合分析,数学建模,转化划归,数学运算能力, 第 41 页属于较难题 42.(1) (2) 【解析】 【分析】 (1)利用诱导公式、二倍角的余弦公式和正弦定理可得 ,进而得 ,从而得到 ; (2)连接BD,由已知得 , ,可得 ,利用正弦定理可得 ,最后利用 余弦定理求得 . (1) 由 , 得 , 即 , 由正弦定理,得 , 整理,得 , ∴ , 又 ,∴ ,∴ , 又 ,∴ ; (2) 连接BD,因为 , , , 所以 , , 所以 ,所以 . 又 ,所以 , 在 中,由正弦定理可得 ,即 , 第 42 页所以 . 在 中,由余弦定理可得 , 所以 . 43.(1) (2) 【解析】 【分析】 (1)利用余弦定理结合三角形的面积公式可求得 的值,结合角 的取值范围可求得角 的值; (2)令 ,利用余弦定理可求得 ,求出 ,然后在 中,利用余弦定理可求得 . (1) 解:由题可知 ,所以 , 由余弦定理 ,所以 ,可得 , 因为 ,所以 . (2) 解:不妨令 ,因为 ,可得 , , 又因为 为 的角平分线,所以 , ,得 , 所以在 中,由余弦定理可得 ,即 , 在 中,可得 , ,所以, 为等边三角形,所以 , 在 中,由余弦定理可得 ,得 . 第 43 页第 44 页