当前位置:首页>文档>第二十七章相似(4大压轴考法60题专练)教师版_初中数学_九年级数学下册(人教版)_压轴题攻略-V9_2025版

第二十七章相似(4大压轴考法60题专练)教师版_初中数学_九年级数学下册(人教版)_压轴题攻略-V9_2025版

  • 2026-04-10 04:11:08 2026-03-28 07:31:26

文档预览

第二十七章相似(4大压轴考法60题专练)教师版_初中数学_九年级数学下册(人教版)_压轴题攻略-V9_2025版
第二十七章相似(4大压轴考法60题专练)教师版_初中数学_九年级数学下册(人教版)_压轴题攻略-V9_2025版
第二十七章相似(4大压轴考法60题专练)教师版_初中数学_九年级数学下册(人教版)_压轴题攻略-V9_2025版
第二十七章相似(4大压轴考法60题专练)教师版_初中数学_九年级数学下册(人教版)_压轴题攻略-V9_2025版
第二十七章相似(4大压轴考法60题专练)教师版_初中数学_九年级数学下册(人教版)_压轴题攻略-V9_2025版
第二十七章相似(4大压轴考法60题专练)教师版_初中数学_九年级数学下册(人教版)_压轴题攻略-V9_2025版
第二十七章相似(4大压轴考法60题专练)教师版_初中数学_九年级数学下册(人教版)_压轴题攻略-V9_2025版
第二十七章相似(4大压轴考法60题专练)教师版_初中数学_九年级数学下册(人教版)_压轴题攻略-V9_2025版
第二十七章相似(4大压轴考法60题专练)教师版_初中数学_九年级数学下册(人教版)_压轴题攻略-V9_2025版
第二十七章相似(4大压轴考法60题专练)教师版_初中数学_九年级数学下册(人教版)_压轴题攻略-V9_2025版
第二十七章相似(4大压轴考法60题专练)教师版_初中数学_九年级数学下册(人教版)_压轴题攻略-V9_2025版
第二十七章相似(4大压轴考法60题专练)教师版_初中数学_九年级数学下册(人教版)_压轴题攻略-V9_2025版
第二十七章相似(4大压轴考法60题专练)教师版_初中数学_九年级数学下册(人教版)_压轴题攻略-V9_2025版
第二十七章相似(4大压轴考法60题专练)教师版_初中数学_九年级数学下册(人教版)_压轴题攻略-V9_2025版
第二十七章相似(4大压轴考法60题专练)教师版_初中数学_九年级数学下册(人教版)_压轴题攻略-V9_2025版
第二十七章相似(4大压轴考法60题专练)教师版_初中数学_九年级数学下册(人教版)_压轴题攻略-V9_2025版
第二十七章相似(4大压轴考法60题专练)教师版_初中数学_九年级数学下册(人教版)_压轴题攻略-V9_2025版
第二十七章相似(4大压轴考法60题专练)教师版_初中数学_九年级数学下册(人教版)_压轴题攻略-V9_2025版
第二十七章相似(4大压轴考法60题专练)教师版_初中数学_九年级数学下册(人教版)_压轴题攻略-V9_2025版
第二十七章相似(4大压轴考法60题专练)教师版_初中数学_九年级数学下册(人教版)_压轴题攻略-V9_2025版
第二十七章相似(4大压轴考法60题专练)教师版_初中数学_九年级数学下册(人教版)_压轴题攻略-V9_2025版
第二十七章相似(4大压轴考法60题专练)教师版_初中数学_九年级数学下册(人教版)_压轴题攻略-V9_2025版
第二十七章相似(4大压轴考法60题专练)教师版_初中数学_九年级数学下册(人教版)_压轴题攻略-V9_2025版
第二十七章相似(4大压轴考法60题专练)教师版_初中数学_九年级数学下册(人教版)_压轴题攻略-V9_2025版
第二十七章相似(4大压轴考法60题专练)教师版_初中数学_九年级数学下册(人教版)_压轴题攻略-V9_2025版
第二十七章相似(4大压轴考法60题专练)教师版_初中数学_九年级数学下册(人教版)_压轴题攻略-V9_2025版
第二十七章相似(4大压轴考法60题专练)教师版_初中数学_九年级数学下册(人教版)_压轴题攻略-V9_2025版
第二十七章相似(4大压轴考法60题专练)教师版_初中数学_九年级数学下册(人教版)_压轴题攻略-V9_2025版
第二十七章相似(4大压轴考法60题专练)教师版_初中数学_九年级数学下册(人教版)_压轴题攻略-V9_2025版
第二十七章相似(4大压轴考法60题专练)教师版_初中数学_九年级数学下册(人教版)_压轴题攻略-V9_2025版
第二十七章相似(4大压轴考法60题专练)教师版_初中数学_九年级数学下册(人教版)_压轴题攻略-V9_2025版
第二十七章相似(4大压轴考法60题专练)教师版_初中数学_九年级数学下册(人教版)_压轴题攻略-V9_2025版
第二十七章相似(4大压轴考法60题专练)教师版_初中数学_九年级数学下册(人教版)_压轴题攻略-V9_2025版
第二十七章相似(4大压轴考法60题专练)教师版_初中数学_九年级数学下册(人教版)_压轴题攻略-V9_2025版
第二十七章相似(4大压轴考法60题专练)教师版_初中数学_九年级数学下册(人教版)_压轴题攻略-V9_2025版
第二十七章相似(4大压轴考法60题专练)教师版_初中数学_九年级数学下册(人教版)_压轴题攻略-V9_2025版
第二十七章相似(4大压轴考法60题专练)教师版_初中数学_九年级数学下册(人教版)_压轴题攻略-V9_2025版
第二十七章相似(4大压轴考法60题专练)教师版_初中数学_九年级数学下册(人教版)_压轴题攻略-V9_2025版
第二十七章相似(4大压轴考法60题专练)教师版_初中数学_九年级数学下册(人教版)_压轴题攻略-V9_2025版
第二十七章相似(4大压轴考法60题专练)教师版_初中数学_九年级数学下册(人教版)_压轴题攻略-V9_2025版
第二十七章相似(4大压轴考法60题专练)教师版_初中数学_九年级数学下册(人教版)_压轴题攻略-V9_2025版
第二十七章相似(4大压轴考法60题专练)教师版_初中数学_九年级数学下册(人教版)_压轴题攻略-V9_2025版
第二十七章相似(4大压轴考法60题专练)教师版_初中数学_九年级数学下册(人教版)_压轴题攻略-V9_2025版
第二十七章相似(4大压轴考法60题专练)教师版_初中数学_九年级数学下册(人教版)_压轴题攻略-V9_2025版
第二十七章相似(4大压轴考法60题专练)教师版_初中数学_九年级数学下册(人教版)_压轴题攻略-V9_2025版
第二十七章相似(4大压轴考法60题专练)教师版_初中数学_九年级数学下册(人教版)_压轴题攻略-V9_2025版
第二十七章相似(4大压轴考法60题专练)教师版_初中数学_九年级数学下册(人教版)_压轴题攻略-V9_2025版
第二十七章相似(4大压轴考法60题专练)教师版_初中数学_九年级数学下册(人教版)_压轴题攻略-V9_2025版
第二十七章相似(4大压轴考法60题专练)教师版_初中数学_九年级数学下册(人教版)_压轴题攻略-V9_2025版
第二十七章相似(4大压轴考法60题专练)教师版_初中数学_九年级数学下册(人教版)_压轴题攻略-V9_2025版
第二十七章相似(4大压轴考法60题专练)教师版_初中数学_九年级数学下册(人教版)_压轴题攻略-V9_2025版
第二十七章相似(4大压轴考法60题专练)教师版_初中数学_九年级数学下册(人教版)_压轴题攻略-V9_2025版
第二十七章相似(4大压轴考法60题专练)教师版_初中数学_九年级数学下册(人教版)_压轴题攻略-V9_2025版
第二十七章相似(4大压轴考法60题专练)教师版_初中数学_九年级数学下册(人教版)_压轴题攻略-V9_2025版
第二十七章相似(4大压轴考法60题专练)教师版_初中数学_九年级数学下册(人教版)_压轴题攻略-V9_2025版
第二十七章相似(4大压轴考法60题专练)教师版_初中数学_九年级数学下册(人教版)_压轴题攻略-V9_2025版
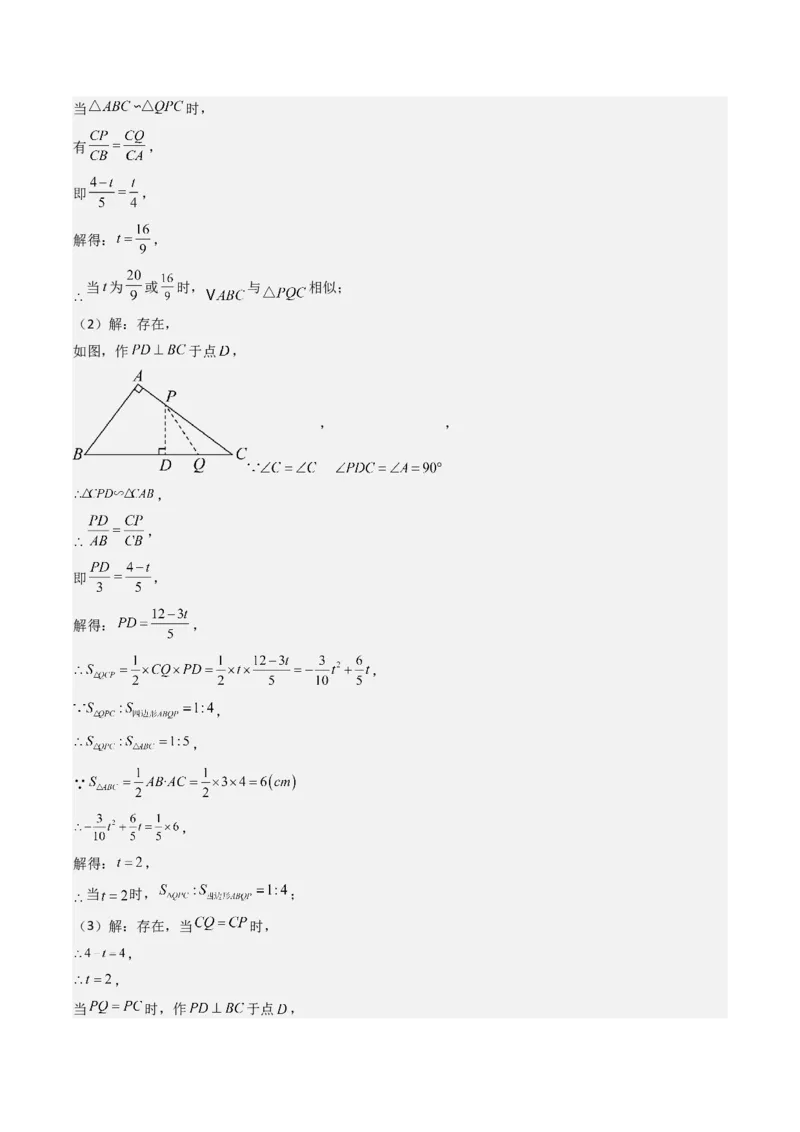
第二十七章相似(4大压轴考法60题专练)教师版_初中数学_九年级数学下册(人教版)_压轴题攻略-V9_2025版
第二十七章相似(4大压轴考法60题专练)教师版_初中数学_九年级数学下册(人教版)_压轴题攻略-V9_2025版
第二十七章相似(4大压轴考法60题专练)教师版_初中数学_九年级数学下册(人教版)_压轴题攻略-V9_2025版
第二十七章相似(4大压轴考法60题专练)教师版_初中数学_九年级数学下册(人教版)_压轴题攻略-V9_2025版
第二十七章相似(4大压轴考法60题专练)教师版_初中数学_九年级数学下册(人教版)_压轴题攻略-V9_2025版
第二十七章相似(4大压轴考法60题专练)教师版_初中数学_九年级数学下册(人教版)_压轴题攻略-V9_2025版
第二十七章相似(4大压轴考法60题专练)教师版_初中数学_九年级数学下册(人教版)_压轴题攻略-V9_2025版
第二十七章相似(4大压轴考法60题专练)教师版_初中数学_九年级数学下册(人教版)_压轴题攻略-V9_2025版
第二十七章相似(4大压轴考法60题专练)教师版_初中数学_九年级数学下册(人教版)_压轴题攻略-V9_2025版
第二十七章相似(4大压轴考法60题专练)教师版_初中数学_九年级数学下册(人教版)_压轴题攻略-V9_2025版
第二十七章相似(4大压轴考法60题专练)教师版_初中数学_九年级数学下册(人教版)_压轴题攻略-V9_2025版
第二十七章相似(4大压轴考法60题专练)教师版_初中数学_九年级数学下册(人教版)_压轴题攻略-V9_2025版
第二十七章相似(4大压轴考法60题专练)教师版_初中数学_九年级数学下册(人教版)_压轴题攻略-V9_2025版
第二十七章相似(4大压轴考法60题专练)教师版_初中数学_九年级数学下册(人教版)_压轴题攻略-V9_2025版
第二十七章相似(4大压轴考法60题专练)教师版_初中数学_九年级数学下册(人教版)_压轴题攻略-V9_2025版
第二十七章相似(4大压轴考法60题专练)教师版_初中数学_九年级数学下册(人教版)_压轴题攻略-V9_2025版
第二十七章相似(4大压轴考法60题专练)教师版_初中数学_九年级数学下册(人教版)_压轴题攻略-V9_2025版
第二十七章相似(4大压轴考法60题专练)教师版_初中数学_九年级数学下册(人教版)_压轴题攻略-V9_2025版
第二十七章相似(4大压轴考法60题专练)教师版_初中数学_九年级数学下册(人教版)_压轴题攻略-V9_2025版
第二十七章相似(4大压轴考法60题专练)教师版_初中数学_九年级数学下册(人教版)_压轴题攻略-V9_2025版
第二十七章相似(4大压轴考法60题专练)教师版_初中数学_九年级数学下册(人教版)_压轴题攻略-V9_2025版
第二十七章相似(4大压轴考法60题专练)教师版_初中数学_九年级数学下册(人教版)_压轴题攻略-V9_2025版
第二十七章相似(4大压轴考法60题专练)教师版_初中数学_九年级数学下册(人教版)_压轴题攻略-V9_2025版
第二十七章相似(4大压轴考法60题专练)教师版_初中数学_九年级数学下册(人教版)_压轴题攻略-V9_2025版
第二十七章相似(4大压轴考法60题专练)教师版_初中数学_九年级数学下册(人教版)_压轴题攻略-V9_2025版
第二十七章相似(4大压轴考法60题专练)教师版_初中数学_九年级数学下册(人教版)_压轴题攻略-V9_2025版
第二十七章相似(4大压轴考法60题专练)教师版_初中数学_九年级数学下册(人教版)_压轴题攻略-V9_2025版
第二十七章相似(4大压轴考法60题专练)教师版_初中数学_九年级数学下册(人教版)_压轴题攻略-V9_2025版
第二十七章相似(4大压轴考法60题专练)教师版_初中数学_九年级数学下册(人教版)_压轴题攻略-V9_2025版
第二十七章相似(4大压轴考法60题专练)教师版_初中数学_九年级数学下册(人教版)_压轴题攻略-V9_2025版
第二十七章相似(4大压轴考法60题专练)教师版_初中数学_九年级数学下册(人教版)_压轴题攻略-V9_2025版
第二十七章相似(4大压轴考法60题专练)教师版_初中数学_九年级数学下册(人教版)_压轴题攻略-V9_2025版
第二十七章相似(4大压轴考法60题专练)教师版_初中数学_九年级数学下册(人教版)_压轴题攻略-V9_2025版
第二十七章相似(4大压轴考法60题专练)教师版_初中数学_九年级数学下册(人教版)_压轴题攻略-V9_2025版
第二十七章相似(4大压轴考法60题专练)教师版_初中数学_九年级数学下册(人教版)_压轴题攻略-V9_2025版
第二十七章相似(4大压轴考法60题专练)教师版_初中数学_九年级数学下册(人教版)_压轴题攻略-V9_2025版
第二十七章相似(4大压轴考法60题专练)教师版_初中数学_九年级数学下册(人教版)_压轴题攻略-V9_2025版
第二十七章相似(4大压轴考法60题专练)教师版_初中数学_九年级数学下册(人教版)_压轴题攻略-V9_2025版
第二十七章相似(4大压轴考法60题专练)教师版_初中数学_九年级数学下册(人教版)_压轴题攻略-V9_2025版
第二十七章相似(4大压轴考法60题专练)教师版_初中数学_九年级数学下册(人教版)_压轴题攻略-V9_2025版
第二十七章相似(4大压轴考法60题专练)教师版_初中数学_九年级数学下册(人教版)_压轴题攻略-V9_2025版
第二十七章相似(4大压轴考法60题专练)教师版_初中数学_九年级数学下册(人教版)_压轴题攻略-V9_2025版
第二十七章相似(4大压轴考法60题专练)教师版_初中数学_九年级数学下册(人教版)_压轴题攻略-V9_2025版
第二十七章相似(4大压轴考法60题专练)教师版_初中数学_九年级数学下册(人教版)_压轴题攻略-V9_2025版
第二十七章相似(4大压轴考法60题专练)教师版_初中数学_九年级数学下册(人教版)_压轴题攻略-V9_2025版
第二十七章相似(4大压轴考法60题专练)教师版_初中数学_九年级数学下册(人教版)_压轴题攻略-V9_2025版
第二十七章相似(4大压轴考法60题专练)教师版_初中数学_九年级数学下册(人教版)_压轴题攻略-V9_2025版
第二十七章相似(4大压轴考法60题专练)教师版_初中数学_九年级数学下册(人教版)_压轴题攻略-V9_2025版
第二十七章相似(4大压轴考法60题专练)教师版_初中数学_九年级数学下册(人教版)_压轴题攻略-V9_2025版
第二十七章相似(4大压轴考法60题专练)教师版_初中数学_九年级数学下册(人教版)_压轴题攻略-V9_2025版
第二十七章相似(4大压轴考法60题专练)教师版_初中数学_九年级数学下册(人教版)_压轴题攻略-V9_2025版
第二十七章相似(4大压轴考法60题专练)教师版_初中数学_九年级数学下册(人教版)_压轴题攻略-V9_2025版
第二十七章相似(4大压轴考法60题专练)教师版_初中数学_九年级数学下册(人教版)_压轴题攻略-V9_2025版
第二十七章相似(4大压轴考法60题专练)教师版_初中数学_九年级数学下册(人教版)_压轴题攻略-V9_2025版
第二十七章相似(4大压轴考法60题专练)教师版_初中数学_九年级数学下册(人教版)_压轴题攻略-V9_2025版
第二十七章相似(4大压轴考法60题专练)教师版_初中数学_九年级数学下册(人教版)_压轴题攻略-V9_2025版
第二十七章相似(4大压轴考法60题专练)教师版_初中数学_九年级数学下册(人教版)_压轴题攻略-V9_2025版
第二十七章相似(4大压轴考法60题专练)教师版_初中数学_九年级数学下册(人教版)_压轴题攻略-V9_2025版
第二十七章相似(4大压轴考法60题专练)教师版_初中数学_九年级数学下册(人教版)_压轴题攻略-V9_2025版
第二十七章相似(4大压轴考法60题专练)教师版_初中数学_九年级数学下册(人教版)_压轴题攻略-V9_2025版
第二十七章相似(4大压轴考法60题专练)教师版_初中数学_九年级数学下册(人教版)_压轴题攻略-V9_2025版
第二十七章相似(4大压轴考法60题专练)教师版_初中数学_九年级数学下册(人教版)_压轴题攻略-V9_2025版
第二十七章相似(4大压轴考法60题专练)教师版_初中数学_九年级数学下册(人教版)_压轴题攻略-V9_2025版
第二十七章相似(4大压轴考法60题专练)教师版_初中数学_九年级数学下册(人教版)_压轴题攻略-V9_2025版
第二十七章相似(4大压轴考法60题专练)教师版_初中数学_九年级数学下册(人教版)_压轴题攻略-V9_2025版
第二十七章相似(4大压轴考法60题专练)教师版_初中数学_九年级数学下册(人教版)_压轴题攻略-V9_2025版
第二十七章相似(4大压轴考法60题专练)教师版_初中数学_九年级数学下册(人教版)_压轴题攻略-V9_2025版
第二十七章相似(4大压轴考法60题专练)教师版_初中数学_九年级数学下册(人教版)_压轴题攻略-V9_2025版
第二十七章相似(4大压轴考法60题专练)教师版_初中数学_九年级数学下册(人教版)_压轴题攻略-V9_2025版
第二十七章相似(4大压轴考法60题专练)教师版_初中数学_九年级数学下册(人教版)_压轴题攻略-V9_2025版
第二十七章相似(4大压轴考法60题专练)教师版_初中数学_九年级数学下册(人教版)_压轴题攻略-V9_2025版
第二十七章相似(4大压轴考法60题专练)教师版_初中数学_九年级数学下册(人教版)_压轴题攻略-V9_2025版
第二十七章相似(4大压轴考法60题专练)教师版_初中数学_九年级数学下册(人教版)_压轴题攻略-V9_2025版
第二十七章相似(4大压轴考法60题专练)教师版_初中数学_九年级数学下册(人教版)_压轴题攻略-V9_2025版
第二十七章相似(4大压轴考法60题专练)教师版_初中数学_九年级数学下册(人教版)_压轴题攻略-V9_2025版
第二十七章相似(4大压轴考法60题专练)教师版_初中数学_九年级数学下册(人教版)_压轴题攻略-V9_2025版
第二十七章相似(4大压轴考法60题专练)教师版_初中数学_九年级数学下册(人教版)_压轴题攻略-V9_2025版
第二十七章相似(4大压轴考法60题专练)教师版_初中数学_九年级数学下册(人教版)_压轴题攻略-V9_2025版
第二十七章相似(4大压轴考法60题专练)教师版_初中数学_九年级数学下册(人教版)_压轴题攻略-V9_2025版
第二十七章相似(4大压轴考法60题专练)教师版_初中数学_九年级数学下册(人教版)_压轴题攻略-V9_2025版
第二十七章相似(4大压轴考法60题专练)教师版_初中数学_九年级数学下册(人教版)_压轴题攻略-V9_2025版
第二十七章相似(4大压轴考法60题专练)教师版_初中数学_九年级数学下册(人教版)_压轴题攻略-V9_2025版
第二十七章相似(4大压轴考法60题专练)教师版_初中数学_九年级数学下册(人教版)_压轴题攻略-V9_2025版
第二十七章相似(4大压轴考法60题专练)教师版_初中数学_九年级数学下册(人教版)_压轴题攻略-V9_2025版
第二十七章相似(4大压轴考法60题专练)教师版_初中数学_九年级数学下册(人教版)_压轴题攻略-V9_2025版
第二十七章相似(4大压轴考法60题专练)教师版_初中数学_九年级数学下册(人教版)_压轴题攻略-V9_2025版
第二十七章相似(4大压轴考法60题专练)教师版_初中数学_九年级数学下册(人教版)_压轴题攻略-V9_2025版
第二十七章相似(4大压轴考法60题专练)教师版_初中数学_九年级数学下册(人教版)_压轴题攻略-V9_2025版
第二十七章相似(4大压轴考法60题专练)教师版_初中数学_九年级数学下册(人教版)_压轴题攻略-V9_2025版
第二十七章相似(4大压轴考法60题专练)教师版_初中数学_九年级数学下册(人教版)_压轴题攻略-V9_2025版
第二十七章相似(4大压轴考法60题专练)教师版_初中数学_九年级数学下册(人教版)_压轴题攻略-V9_2025版
第二十七章相似(4大压轴考法60题专练)教师版_初中数学_九年级数学下册(人教版)_压轴题攻略-V9_2025版
第二十七章相似(4大压轴考法60题专练)教师版_初中数学_九年级数学下册(人教版)_压轴题攻略-V9_2025版
第二十七章相似(4大压轴考法60题专练)教师版_初中数学_九年级数学下册(人教版)_压轴题攻略-V9_2025版
第二十七章相似(4大压轴考法60题专练)教师版_初中数学_九年级数学下册(人教版)_压轴题攻略-V9_2025版
第二十七章相似(4大压轴考法60题专练)教师版_初中数学_九年级数学下册(人教版)_压轴题攻略-V9_2025版
第二十七章相似(4大压轴考法60题专练)教师版_初中数学_九年级数学下册(人教版)_压轴题攻略-V9_2025版
第二十七章相似(4大压轴考法60题专练)教师版_初中数学_九年级数学下册(人教版)_压轴题攻略-V9_2025版
第二十七章相似(4大压轴考法60题专练)教师版_初中数学_九年级数学下册(人教版)_压轴题攻略-V9_2025版
第二十七章相似(4大压轴考法60题专练)教师版_初中数学_九年级数学下册(人教版)_压轴题攻略-V9_2025版
第二十七章相似(4大压轴考法60题专练)教师版_初中数学_九年级数学下册(人教版)_压轴题攻略-V9_2025版
第二十七章相似(4大压轴考法60题专练)教师版_初中数学_九年级数学下册(人教版)_压轴题攻略-V9_2025版
第二十七章相似(4大压轴考法60题专练)教师版_初中数学_九年级数学下册(人教版)_压轴题攻略-V9_2025版
第二十七章相似(4大压轴考法60题专练)教师版_初中数学_九年级数学下册(人教版)_压轴题攻略-V9_2025版
第二十七章相似(4大压轴考法60题专练)教师版_初中数学_九年级数学下册(人教版)_压轴题攻略-V9_2025版
第二十七章相似(4大压轴考法60题专练)教师版_初中数学_九年级数学下册(人教版)_压轴题攻略-V9_2025版
第二十七章相似(4大压轴考法60题专练)教师版_初中数学_九年级数学下册(人教版)_压轴题攻略-V9_2025版
第二十七章相似(4大压轴考法60题专练)教师版_初中数学_九年级数学下册(人教版)_压轴题攻略-V9_2025版
第二十七章相似(4大压轴考法60题专练)教师版_初中数学_九年级数学下册(人教版)_压轴题攻略-V9_2025版
第二十七章相似(4大压轴考法60题专练)教师版_初中数学_九年级数学下册(人教版)_压轴题攻略-V9_2025版

文档信息

文档格式
docx
文档大小
13.088 MB
文档页数
162 页
上传时间
2026-03-28 07:31:26

文档内容

第二十七章 相似(4 大压轴考法 60 题专练) 目录 题型一:平行线分线段成比例综合题................................................................................1 题型二:相似三角形的判定............................................................................................44 题型三:相似三角形的判定与性质综合..........................................................................59 题型四:相似三角形中动点问题...................................................................................124 题型一:平行线分线段成比例综合题 1.(23-24九年级上·河北唐山·期末)白老师布置了如下题目:“如图,以 为直径的半圆上有一点 , 且 , ,M为直径 上一动点,点 与点 关于 对称, 于点 ,交 的延长线于点 .”要求同学们添加一个条件,提出问题,并给出相应问题的答案,则两位同学中正确的 是( ) 嘉嘉:当 时, 与半圆相切. 琪琪:若点 恰好落在弧 上,则 . A.只有嘉嘉 B.只有琪琪 C.两人都正确 D.两人都不正确 【答案】C 【分析】连接 , ,如图所示,证明 是等边三角形.证明 ,结合点N与 点M关于 对称,可得 ,可证明 与半圆相切. 证明 ,当点P恰 好落在弧 上时,连接 、 ,证明 , 是 的垂直平分线,可得 , ,求解 ,可得 ,从而可得答案. 【详解】解:当 时,连接 , ,如图所示, ∵ , ∴ , ∴ 是等边三角形. ∴ .∵ , , ∴ , ∴ . ∴ , ∴ , ∵点N与点M关于 对称, ∴ , ∴ , ∴ , ∵ 经过半径 的外端,且 , ∴ 与半圆相切. ∴嘉嘉正确; ∵点N与点M关于 对称, ∴ , ∴ , ∵ , ∴ , ∴ , ∴ , ∴ , ∴ , 当点P恰好落在弧 上时,连接 、 , ∵点N与点M关于 对称, ∴ , ∴ ,而 , ∴ , ∴ , ∵ , ∴ , ∴ , ∵ , ,∴ , ∴ 是 的垂直平分线, ∴ , ∴ , ∵ 是半 的直径, ∴ , ∴ , ∴ , ∴ , ∴琪琪正确, 故选:C. 【点睛】本题考查了平行线分线段成比例,圆周角定理,切线的判定与性质,轴对称的性质,直角三角形 斜边上的中线性质,锐角三角函数的应用,根据题目的已知条件并结合图形添加适当的辅助线是解题的关 键. 2.(23-24九年级上·上海静安·期末)如图, 中, , , .点 、 分 别在边 、 上, ,那么 的长为 .(用含 的代数式表示) 【答案】 【分析】本题考查了平行线分线段成比例,相似三角形的性质与判定,余弦的定义,过点 作 于 点 ,设 ,则 , , ,过点 作 交 的延长线于点 , 根据平行线分线段成比例得出 ,得出 ,证明 ,得出 ,则 ,进而求得 ,进而根据 ,即可求解. 【详解】解:如图所示,过点 作 于点 ,∵ ∴ , ∵ , ∴ ,设 ,则 , , ∵ , ∴ , 过点 作 交 的延长线于点 , ∴ , ∵ ∴ , ∴ ∵ ∴ ,即 ∴ 解得: 又∵ ∴ ∴ ∴ 解得:∴ ∵ , , , ∴ ,则 故答案为: . 3.(23-24九年级上·辽宁丹东·期末)如图, 中, .四边形 是正方形, 点D是直线 上一点,且 .P是线段 上一点,且 .过点P作直线a与 平行,分 别交线段 ,线段 于点G,H,则 的长是 . 【答案】 或 / 或 【分析】结合勾股定理逆定理判断 是直角三角形,通过证明 , ,然后 利用相似三角形的性质求解,注意对于点C的位置要进行分类讨论. 【详解】解:∵ 中, , ∴ , ∴ , ∴ 为直角三角形, ①当点D位于C点右侧时,如图: 设直线a交 于点M,∵ , ∴ , , 又∵四边形 是正方形,且 , ∴ , ∴ , 解得: , ∵ , ∴ , ∴ , ∴ , 解得: , ∴ , ∵ , ∴ , ∴ , ∵ , ∴ , ∴ , 解得: ; ②当点D位于C点左侧时,如图:与①同理,此时 , ∴ , 解得: , 综上,GH的长为 或 , 故答案为: 或 . 【点睛】本题考查勾股定理逆定理,相似三角形的判定和性质,以及正方形的性质,理解题意,证明出 ,特别注意分类思想的运用是解题关键. 4.(23-24九年级上·四川成都·期末)如图,在 中, , ,对角线 与 相交 于点O,过点O作 交 的延长线于点 E,交 于点F.若 ,则对角线 的长为 . 【答案】 【分析】 过 作 ,由平行四边形的性质推出 , , , , ,由 ,得到 ,因此 ,,得到 是 的中位线, 于 是 , 由 , 推 出 , 求 出 , , 得 到 , , 令 令 , , 由 勾 股 定 理 得 到,求出 的值,得到 ,由勾股定理求出 ,即 可得到 . 【详解】解:过 作 , ∵四边形 是平行四边形, ∴ , , , , , ∵ , ∴ , ∴ , ∴ 是 的中位线, ∴ , ∵ , , ∴ , ∴ , ∴ , ∵ , ∴ , 则 , ∴ , , ∴ , , ∵ , ∴令 , , ∴ , ∵ , , ,∴ , 解得: (舍去负值), ∴ , ∴ , ∴ . 故答案为: . 【点睛】本题考查平行四边形的性质,相似三角形的判定和性质,勾股定理,平行线分线段成比例,三角 形中位线定理等知识,关键是由以上知识点列出关于 的方程. 5.(23-24九年级上·海南海口·期末)如图,正方形 的边长为6, 为 边中点, 为 边上一 点,连接 , ,相交于点 .若 ,则 的值为 , 的长为 . ❑√5 1 【答案】 / ❑√5 / 5 5 【分析】首先根据题意可知 , , ,在 中,利用勾股定理解得 的值,然后根据 求解即可;过点 作 交 于 ,首先利用平行线分线段成 比例定理解得 的值,进而可得 的值,然后根据 ,即可求得 的长. 【详解】解:∵正方形 的边长为6, 为 边中点, ∴ , , , , ∴在 中, , ∴ ; 如下图,过点 作 交 于 , 则 , ,∵ , ∴ , ∴ , ∴ , ∴ , ∵ ,即 , ∴ . 故答案为: , . 【点睛】本题主要考查了正方形的性质、勾股定理、三角函数、平行线分线段成比例定理等知识,熟练掌 握相关知识并灵活运用是解题关键. 6.(23-24九年级上·辽宁鞍山·期末)(1)数学张老师在数学活动课上出示了一道探究题: 如图,在 和 中, , ,B,C,E三点在同一直线上,A,D两点在 同侧, 若 ,求证: . 张老师分别从问题的条件和结论出发分析这道探究题: ①如图1,从条件出发:过A作 交 于M,过D作 交 于N,依据等腰三角形的性 质“三线合一”分析 与 之间的关系,可证得结论; ②如图2,从结论出发:过D作 交 于P,依据三角形全等的判定,证明 ,可证得结论; 请你运用其中一种方法,解决上述问题. (2)小明同学经过对探究题及张老师分析方法的思考,提出以下问题:如图3,在 中, ,在 中, ,B,C,E三点在同一直线上,A,D两点在 同侧,且A,D,E三点在同一直线上,若 , , 的面积为7,求 的长. (3)在小明同学的问题得到解决后,张老师针对之前的解题思路提出了下面问题: 如图4,在四边形 中, , ,点E为 中点,连接 ,若 , , ,求 的长. 【答案】(1)见解析 (2) (3) 【分析】(1)解法1:证明四边形 为矩形,根据矩形的性质即可得出结论;解法2:证明四边形 为平行四边形,得出 , ,再证明 得出 ,即可得出结论. (2)过A作 交于M,过D作 交于N,过D作 交 于P,由等腰三角形的性 质得出 , ,从而得出 ,再证明 是等直角三角形,由勾股定理求得 ,然后证明四边形 为矩形,求得 ,设 ,则 , ,由三角形面积公式得 ,求解得出 ,即可求解. (3)延长 与 延长线交于点F,过A作 交于G,过B作 交于H,根据等腰三角 形的与性质得出 , ,再根据 ,从而可证得 , 设 ,则 ,利用平行线分线段成比例求得 , , ,然后用勾股定理求得 ,即可求解. 【详解】解:(1)解法1:∵ , , 又∵ , , ∴ , , ,∴ , ∵ , ∴ , ∴ , ∴四边形 为矩形, ∴ , ∴ , 解法2:∵ , , ∴四边形 为平行四边形, ∴ , , ∵ , ∴ , ∵ , , ∴ , , , ∴ , ∵ , , ∴ , ∴ , ∴ , ∴ . (2)过A作 交于M,过D作 交于N,过D作 交 于P,如图, ∵ , , 又∵ , , ∴ , , , ∴ , ∵ , ∴ , , ∴ , , ∴ , ∴ , 在 中, , ∴ , ∴ ,∵ , ∴四边形 为矩形, ∴ , ∴ , 设 ,则 , ∴ , ∵ , , ∴ , ∴ , ∴ , ∴ , ∴ , 解,得: , 不合题意,舍去, ∴ , ∴ . (3)延长 与 延长线交于点F,过A作 交于G,过B作 交于H,如图, ∵ , ∴ , ∵ , ∴ , ∴ , , ∵ , , ∴ , , ∵点E为 中点, ∴ , ∵ , ∴ , ∵ ,∴ , 设 ,则 , ∵ , ∴ , ∵ , , ∴ , ∴ , ∴ , ∴ , 在 和 中, , , ∴ , ∴ , ∴ . 【点睛】本题考查平行四边形的判定与性质,矩形的判定与性质,全等三角形的判定与性质,等腰三角形 的性质,勾股定理,平行线分线段成比例定理.此题属三角形与四边形综合题目,综合性较强,正确作出 辅助线构造特殊四边形是解题的关键. 7.(23-24九年级上·陕西西安·期末)【问题提出】 (1)如图1,在线段 的上方画出一点 ,使得 【问题探究】 (2)如图2,在矩形 中, .点 是圆心角为 的圆弧 上的一点,点 在 边上,且 .连接 ,求 的最大值. 【问题解决】 (3)如图3,四边形 是一个仓库的平面图,设计者想在 边上的点 处安装一个监测仪,以监测 门口 处人员进出情况,此时 ,在四边形 中, , 米.求此时监测仪 到大门 的水平距离.【答案】(1)见解析;(2) ;(3) 【分析】(1)分别以A和B为圆心, 的长为半径画弧,二者在 上方交于点C,点C即为所求; (2)如图所示,连接 交于O,连接 ,根据矩形的性质和勾股定理得到 ,则 ,证明 是等边三角形,推出 ,则点P在以点O为圆心, 为半 径的圆上运动,故当 三点共线,且点O在 上时, 有最大值,最大值为 ;如图所示, 过点O作 于H,求出 , ,则 ,利用勾股定得到 , 则 的最大值为 ; (3)如图所示,过点D作 于H,则四边形 是矩形,得到 ,求出 ,得到 ;如图所示,作 的外接圆,圆心设为O,连 接 ,过点O作 于M,过点E作 于F,过点O作 于N,则四边形 是矩形,则 , ,由圆周角定理得到 ,则 , ;由平行线分线段成比例定理得到 ,则 , ,在 中,由勾股定理得 ,则 ,即此时监测仪E到大门 的水平距离为 . 【详解】解:(1)分别以A和B为圆心, 的长为半径画弧,二者在 上方交于点C,点C即为所求; (2)如图所示,连接 交于O,连接 , ∵四边形 是矩形,∴ , , ∵ , ∴ , ∴ , ∴ , ∴ 是等边三角形, ∴ , ∴ ∵点 是圆心角为 的圆弧 上的一点, ∴点P在以点O为圆心, 为半径的圆上运动, ∴当 三点共线,且点O在 上时, 有最大值,最大值为 , 如图所示,过点O作 于H, ∵ , ∴ , , ∵ , ∴ , ∴ , ∴ 的最大值为 ; (3)如图所示,过点D作 于H,则四边形 是矩形, ∴ , ∵ , ∴ , ∵ , ∴ , ∴ ;如图所示,作 的外接圆,圆心设为O,连接 ,过点O作 于M,过点E作 于F,过点O作 于N,则四边形 是矩形, ∴ , , ∵ , ∴ , ∵ , ∴ , ; ∵ , ∴ , ∴ , ∴ , ∴ , 在 中,由勾股定理得 , ∴ , ∴此时监测仪E到大门 的水平距离为 . 【点睛】本题主要考查了圆与四边形综合,矩形的性质与判定,等边三角形的性质与判定,勾股定理,含 30度角的直角三角形的性质,平行线分线段成比例定理等等,正确作出辅助线利用定弦定角模型求解是解 题的关键. 8.(23-24九年级上·湖北武汉·期末)已知 为 两对角线的交点,直线 过顶点 ,且绕点 顺时 针旋转,过点 , 分别作直线 的垂线,垂足为点 , .(1)如图1,若直线 过点 ,求证: ; (2)如图2,若 , ,求 的度数; (3)如图3,若 为菱形, , , ,直接写出 的长. 【答案】(1)证明见解析 (2) (3) 的长为 【分析】(1)先根据平行四边形的性质可得 ,再证出 ,根据全等三角形的性质 即可得证; (2)连接 ,并延长交 于点 ,先证出 ,根据全等三角形的性质可得 ,再根据直角三角形斜边上的中线等于斜边的一半可得 ,然后根据等边 三角形的判定与性质即可得; (3)过点 作 于点 ,过点 作 于点 ,先根据矩形的判定与性质可得 ,设 ,则 ,再利用勾股定理可得 ,由此可求出 的值,然后判断出 是梯形 的中位线,根据 梯形中位线定理求解即可得. 【详解】(1)证明: 点 为 两对角线的交点, , ∵直线 过顶点 ,过点 分别作直线 的垂线,垂足为点 , , 在 和 中, , , . (2)解:如图,连接 ,并延长交 于点 ,, , , , , , 又 , , , 在 和 中, , , , ∴在 中, , , , , ∴在 中, , , 是等边三角形, . (3)解:如图,过点 作 于点 ,过点 作 于点 ,则四边形 是矩形, , 设 ,则 , 在 中, , , 在 中, ,即 , 解得 , , , ,即 , 是梯形 的中位线, ,即 , 解得 , 所以 的长为7. 【点睛】本题考查了平行四边形的性质、矩形的判定与性质、勾股定理、三角形全等的判定与性质、直角 三角形斜边上的中线等于斜边的一半、梯形中位线定理等知识,较难的是题(3),通过作辅助线,构造 矩形和直角三角形是解题关键. 9.(23-24九年级上·陕西咸阳·期末)【基础巩固】 (1)如图1,在 中,点D、E分别在边 上,连接 ,若 ,求证: ; 【尝试应用】 (2)如图2,在 中,在边 上取一点E,以 为一边构造平行四边形 ,使点D,F恰好落 在边 上,连接 ,若 ,求 的长; 【拓展提升】 (3)如图3,在 中,在边 上取一点E,以 为一边构造平行四边形 ,使点F恰好落在 边 上,连接 ,若 ,求 的长.(提示:延长 交于点 G) 【答案】(1)详见解析(2) (3) 【分析】本题考查了平行四边形的性质,相似三角形的性质与判定,掌握相似三角形的性质与判定是解题 的关键. (1)根据已知条件,证明 ,根据相似三角形的性质即可得证; (2)根据平行四边形的性质得出 ,证明 ,,结合(1) 的结论代入数据即可求解; (3)延长 交于点G,同(2)即可. 【详解】解:(1)证明 . ∴ , ∴ . (2)解: , ∴ ∵四边形 是平行四边形 ∴ , , , , ∴ . ∵ . ∴ . 由(1)得 . ∴ , 解得 或 (不合题意,舍去). ∴ . (3)解:延长 交于点G ∵ ,∴ ∵四边形 是平行四边形, , . ∴ ∵ , ∴ 由(1)得 . ∴ , 解得 或 (不合题意,舍去). ∴ 10.(23-24九年级上·浙江金华·期末)在7×9的网格中, 的三个顶点均在格点上. (1)在图1中,取格点 , ,连接BD, ,DE,线段DE交AB于点 . ①求证: . ②在线段 上作点 ,使得 .(仅用无刻度直尺,保留作图痕迹) (2)在图2中,已知点 , , , 是边AB的五等分点,过点 作 ,过点 作 , 与 交于点 .连接 , , .求出 的值. 【答案】(1)①见解析;②见解析 (2) 【分析】本题考查了相似三角形的性质与判定,平行线分线段成比例,平行线之间的距离相等; (1)①证明 ,即可得证; ②证明 ,即可得出 ,进而可得 ,即可求解; (2)根据平行线分线段成比例得出 , ,进而可得,即可求解. 【详解】(1)①∵ ∴ ∴ , ∴ ; ②如图所示,取格点 ,连接 交 于点 , ∵ , , ∴ , ∴ , ∴ , ∴ , ∴ ; (2)解:如图所示,连接 , ∵点 , , , 是边AB的五等分点,过点 作 ,过点 作 , ∴∴ , 又∵ , ∴ , 同理可得 ∴ ∴ 11.(23-24九年级上·山东德州·期末)如图,已知抛物线 与 轴交于点 和点 ,与 轴交于点 . (1)求抛物线的表达式; (2)如图1,对称轴上是否存在点 ,使 周长最小,求出此时点 的坐标和周长最小值; (3)如图2,点 为第二象限抛物线上一动点连接 交 于点 , ,是否存在点 ,使 取最大值,如果存在求出此时点 的坐标和最值;若不存在,请说明理由. 【答案】(1) (2) , (3) 时, 取得最大值为 【分析】(1)根据函数图像上点的坐标特征可得关于 、 的二元一次方程组,求解即可; (2)当 、 、 三点共线时, 周长最小,求出直线 与对称轴的交点,即为 ,求出 即为 周长最小值; (3)过点 作 轴交直线 于点 ,过点 作 轴交直线 于点 ,设 , 则 ,由 ,可得 ,则 ,再根据二次函数的性质即可得 解.【详解】(1)解:∵抛物线 与 轴交于点 和点 , ∴ , 解得: , ∴抛物线的表达式为 ; (2)对称轴上存在点 ,使 周长最小,理由如下: 连接 、 , 交抛物线的对称轴于点 ,连接 , ∵ , ∴抛物线的对称轴为直线 , ∴ , ∴ , ∴当 、 、 三点共线时, 周长最小, 当 时,得: , ∴ , 设直线 的解析式为 ,过点 , , ∴ , 解得: , ∴直线 的解析式为 , 当 时,得: , ∴ , ∵ , , , ∴ , , , ∴ , , ∴此时 的周长为 , ∴此时点 的坐标为 ,周长最小值为 ;(3)存在点 ,使 取得最大值,理由如下: 如图,过点 作 轴交直线 于点 ,过点 作 轴交直线 于点 ,设 , 则 , ∴ , ∵ , 当 时, , ∴ , ∴ , ∵ , ∴ , ∴ , 当 时, 取得最大值为 ,此时 . 【点睛】本题考查待定系数法确定二次函数和一次函数的解析式,轴对称求最短距离,勾股定理,平行线 分线段成比例定理,二次函数的最值等知识点,熟练掌握二次函数的图像及性质,平行线的性质,轴对称 求最短距离是解题的关键. 12.(24-25九年级上·浙江绍兴·期末)如图,已知 是 的直径, 是 上的动点(不与 重 合), 是 上一点, 是 的中点,且 .(1)求证: . (2)若 ,求 的值. 【答案】(1)见解析 (2) 【分析】(1)过 点作 ,交 的延长线于点 ,延长 交 于点 ,连结 ,先证明 ,再证明 ,得 ,即可得出结论; (2)设 ,则 ,由(1)可得, ,从而求得 .在射线 上截取 ,使 ,连接 ,证明 ,得 ,则 ,然后在直角三角形 中,得 ,则 ,即可 求解. 【详解】(1)证明:过 点作 ,交 的延长线于点 ,延长 交 于点 ,连结 , , , 同理: , 是 的中点, ∴ , ,即E是 的中点, 是 的直径, ,, , , , ,即 . , , , , , , ∵ , ∴ , , , ,即 . (2)解:设 ,则 , 由(1)可得, , , ,即 . 在射线 上截取 ,使 ,连接 ,如图, , , , , , ,, 在直角三角形 中, , ,即 . 【点睛】本题考查圆周角定理,平行线分线段成比例,全等三角形的判定与性质,相似三角形的判定与性 质,勾股定理,等腰三角形的性质,正确作出辅助线构造全等三角形与相似三角形是解题的关键. 13.(23-24九年级上·湖北武汉·期末)如图,在 中, ,E、F分别是 上的点, 的外接圆交 于点Q、D; (1)如图甲所示,若D为 的中点,求证: . (2)在第(1)题的条件下,请回答下列问题: ①如图乙所示,连接 ,交 于点H, ,若 为等腰三角形,求 的长; ②如图乙所示, 与 的面积之比是 ,且 ,求 与 的面积之比.(直接 写出答案) 【答案】(1)见解析 (2)① 或 或 ;② 【分析】(1)连接 ,根据圆周角定理及直角三角形斜边的中线等于斜边一半解决问题即可; (2)①分三种情形:如图甲所示,当 时,可证四边形 是正方形;如图乙所示, 时, ; 如图丙所示,当 时,点 与点 重合,点 与点 重合,分别求解即可解决问题; ②如图,作 于 , 于 ,连接 .证明 ,推出 , ,由 平分 , , ,推出 ,可得四边形 是正方形, 推出 ,因为 ,设 , ,则 , ,再利用三角形的面积公式计算机可解决问题.【详解】(1)证明:连接 ,如图, 在 中, ∵ , ∴ , ∵点 是 斜边的中点, ∴ , ∴ , ∵ , ∴ ; (2)解:①如图甲所示,当 时, ∵ , ∴ , ∴ , , , ∴ , ∴ , ∴四边形 是矩形, 又∵ , ∴矩形 是正方形, ∴ ,又点 是 的中点, ∴ , ∴ , ∴ 是 的中位线,∴ ; 如图乙所示, 时, , ∵ , ∴ , , 即 , ∴ , ∵ , , ∴ , ∴ , ; 如图丙所示,当 时,点 与点 重合,点 与点 重合, ; 综上所述,满足条件的 的值为0或2或 ; ②如图,作 于 , 于 ,连接 . ∵ , , , ∴ , , , ∵ , ∴ , ∴ , ; ∵ ,∴ , ∴ , ∴ , , ∵ 平分 , , , ∴ , ∴四边形 是正方形, ∴ , ∵ , 设 , ,则 , , ∴ . 【点睛】本题属于圆综合题,考查了等腰三角形的性质,圆周角定理,三角形中位线定理,直角三角形斜 边上的中线等于斜边的一半,全等三角形的判定和性质,矩形与正方形的判定与性质,平行线分线段成比 例定理等知识,解题的关键是学会添加常用辅助线,构造全等三角形解决问题,属于压轴题. 14.(23-24九年级上·重庆渝中·期末)如图, 中, ,将 边绕点A逆时针旋转 后点B 的对应点恰好落在 边上的点D处,点E在 的延长线上,且 ,延长 交 于点F. (1)求证: ; (2)如图2,点G为 的中点,连接 , ,求证: ; (3)在(2)的条件下,若 ,点M是线段 的中点,P为 边上一动点,连接 ,把 沿 翻折到 所在平面内得到 ,当 时,直接写出 的值. 【答案】(1)证明见解析 (2)证明见解析 (3)❑√3【分析】(1)先证明 ,再证明 即可; (2)如图,延长 至 ,使 ,连接 , ,而 ,证明四边形 为平行四边形, 在 上截取 ,证明 ,再证明 ,在 上截取 , 证明 ,从而可得结论; (3)如图,连接 , 证明 为等边三角形, 为等边三角形,证明 ,可得 , , ,设 ,则 , ,表示 ,过 作 于 ,则 ,可得 ,表示 ,从而可得答案. 【详解】(1)证明:由旋转可得: , , ∴ 为等边三角形, ∴ , ∴ , ∵ , ∴ , ∴ . (2)如图,延长 至 ,使 ,连接 , ,而 , ∴四边形 为平行四边形, ∴ , , , 在 上截取 , ∵ ,∴ , , ∵ , ∴ , ∴ , , ∵ , , ∴ , ∴ , ∴ , 在 上截取 , ∴ 为等边三角形, , ∴ , , , ∵ , , ∴ , ∴ , ∵ , ∴ , ∴ , ∴ , ∴ ; (3)如图,连接 ,由对折可得: , , , ∵ , ∴ , ∴ 为等边三角形, ∴ , ,∵ 为等边三角形, , , ∴ , , ∵ 为 的中点, 同理可得: 为等边三角形, ∴ , ∴ , ∴ ,即 , ∵ , ∴ , , , 设 ,则 , , 由等边三角形的性质可得: , , ∴ , ∴ , ∵ , , , ∴ , 过 作 于 ,则 , ∴ ,由中位线的性质可得: , ∴ , ∴ , ∴ 即 . 【点睛】本题考查的是全等三角形的判定与性质,等边三角形的判定与性质,平行四边形的判定与性质, 三角形的中位线的性质,平行线分线段成比例,勾股定理的应用,轴对称的性质,旋转的性质,本题难度 大,作出合适的辅助线是解本题的关键. 15.(23-24九年级上·重庆巴南·期末)在等腰直角 中,点 ,点 分别为线段 , 上的动点, 连接 . (1)如图1,当点 为 中点时,若 , ,求 的长; (2)如图2,将 绕着点 逆时针旋转 得到 .分别连接 , .延长 至点 ,交 于点 .若 , 时,求证 ; (3)如图3, , ,点 为线段 上一点,连接 ,将线段 绕点 逆时针旋转 得到 线段 ,连接 .当 的值最小时,请直接写出 的面积. 【答案】(1) (2)见详解 (3) 【分析】(1)过点 作 于点 ,根据等腰直角三角形的性质,勾股定理,求出 , ; 根据 为 的中点,则 ;再根据勾股定理,求出 ,根据,求出 ,根据 ,即可; (2)过点 作 交 于点 ,根据旋转的性质,则 , , 根据平行线的性质,则 ,求出 ,根据等角对等边,勾股定理, 则 ;同理, ,根据 ,等量代换,则 , ,再根 据全等三角形的判定和性质, ,则 ;最后根据 , , 即可;(3)过点 作 交 于点 ,在 上截取 ,连接 ,证明 得出 ,进而得出 ,作 关于 的对称点 ,连接 , ,则 ,当 三点共线时,此时 取的最小值,最小值为 的长,当 经过点 时,则 , 则 ,证明 ,证明 得出 , ,则 , 勾股定理求得 ,进而得出 ,过点 作 ,得出 是 的中点,最后根据三角形 的面积公式,即可求解. 【详解】(1)过点 作 于点 , ∵ 是等腰直角三角形, ∴ , , ∵ , ∴ , ∵ 是 的中点, ∴ , ∵ , ∴ , ∴ , ∴ , ∴ , ∵ , ∴ , ∵ , ∴ . (2)过点 作 交 于点 , ∵ 绕点 旋转 得 , ∴ , , ∵ , ∴ ,∵ , ∴ , ∵ , ∴ , ∴ , ∵ , ∴ ; ∵ , ∴ , ∴ , ∴ , ∴ , ∵ , ∴ , ∴ , ∵ , , ∴在三角形 和 中, , ∴ , ∴ , ∴ , ∵ , ∴ . (3)如图所示,过点 作 交 于点 ,在 上截取 ,连接 ,∵ , ∴ ,即 , 在 中, ∴ , ∴ , 设 ,则 , ∴ ,即 , 如图所示,作 关于 的对称点 ,连接 , ,则 ,作 关于 的对称点,则 ,则 ,则 ,四边形 是矩形,此时 , ∴ , 当 三点共线时,此时 取的最小值,最小值为 的长,此时, 经过点 ,如图所示, 则 ,则∵ 是 的中点, ∴ , 又∵ , , ∴ ∴ , ∴ 设 ,则 ∴ ∴ 中, ∴ ∴ , ∵ ∴ , ∵ ,则 ∴ 过点 作 ,如图所示∴ , ∴ . 【点睛】本题考查了全等三角形的性质与判定,勾股定理,旋转的性质,等腰直角三角形的性质与判定, 轴对称的性质求最值问题,平行线分线段成比例,熟练掌握以上知识是解题的关键. 16.(23-24九年级上·河南三门峡·期末)在四边形 中, , ,点 是边 的中点,连接 、 , . (1)如图1,若 ,连接 ,求证: ; (2)如图2,点 是边 的中点; ①若 ,求 的长; ②直接写出 的值. 【答案】(1)证明见解析 (2)① ;② 【分析】(1)利用等腰直角三角形的性质、勾股定理可求 , , , 然后利用两边对应成比例,并且夹角相等的两个三角形是相似三角形即可得证; (2)①过 作 于 ,交 于 ,连接 ,利用三线合一的性质求出 ,证明四边形 是平行四边形,得出 ,利用三角形中位线定理得出 , , 可证 ,得出 ,设 ,则 , , , 证明 ,得出 ,可求 , ,然后利用勾股定理即可求解; ②过 作 交 于 ,可证 ,求出 ,证明 ,得出 ,设 ,则 , ,利用平行线分线段成比例可求 , ,则 , ,证明 ,可求 , , ,最后代入化简即可. 【详解】(1)证明: , ,点 是边 的中点, , , , , , , , , , , , , , , ; (2)解:①过 作 于 ,交 于 ,连接 ,如图2所示: , 又 , ,又 , , 又 , 四边形 是平行四边形, , 是 中点, , , , , , 设 ,则 , , , , , ,即 , , , ; ②过 作 交 于 ,如图3所示: , , ,即 , ,, , , , , 设 ,则 , , , , , , , , , , , , , , , . 【点睛】本题属于相似形综合题,主要考查了等腰直角三角形的判定与性质,相似三角形的判定与性质, 勾股定理,平行线分线段成比例等知识,明确题意,添加合适辅助线,找出所求问题需要的条件是解题的 关键. 题型二:相似三角形的判定 17.(22-23九年级上·广东深圳·期末)如图,正方形 的对角线 相交于点O,点F是 上一 点, 交 于点E,连接 交于点P,连接 .则下列结论:① ;② ;③四边形 的面积是正方形 面积的 ;④ ;⑤若 ,则 .其中正确的结论有( )个.A.2个 B.3个 C.4个 D.5个 【答案】C 【分析】利用全等三角形的判定与性质,正方形的性质,圆周角定理,直角三角形的边角关系定理对每个 选项的结论进行判断即可得出结论. 【详解】解:在正方形 中, , , , ∴ , ∵ , ∴ , ∴ , 又∵ , ∴ ∴ , 又∵ , , ∴ , ∴ , ∵ , ∴ ,即 ,故①正确; ∵ , ∴点 四点共圆, ∴ , ∴ , 又∵ , ∴ ,故②正确; 在正方形 中, , , ∴ , ∴ ,即 , ∵ , ∴ ,∴ , 则四边形 的面积是正方形 面积的 ,故③正确; 过点 作 ,交 于点 ,如下图: ∵ , ∴ ,即 , ∴ , ∴ , ∵ , ∴ , ∵ , , ∴ , 又∵ , ∴ , ∴ ∴ ,故④正确; 由 ,设 ,则 , , , 过点 作 ,如下图:∵ , ∴ , ∴ , 在 中, ,故⑤错误; 综上,正确的个数为4, 故选:C 【点睛】本题主要考查了全等三角形的判定与性质,正方形的性质,圆周角定理,直角三角形的边角关系 定理,等腰直角三角形的判定与性质,充分利用正方形的性质构造等腰直角三角形和全等三角形是解题的 关键. 18.(23-24九年级上·福建泉州·期末)如图,在 中, 平分 ,按如下步骤作图:分别以点 B,D为圆心,以大于 的长为半径在 两侧作弧,分别交于两点M,N;作直线 分别与 , 交于点E,F,交 于点O,连按 , .根据以上作图,一定可以推得的结论是( ) A. 是 的中位线 B.点O为 的重心 C. D. 【答案】D 【分析】本题主要考查了垂直平分线的性质、角平分线的定义、相似三角形的判定、平行线分线段成比例 等知识,本题中根据作图方法判断出“ 是线段 的垂直平分线”是解题的关键. 根据作法得到 是线段 的垂直平分线,则 ,所以 ,再结合 可得 ,则 ,同理 ,所以 即 ,据此即可解答. 【详解】解:根据作法可知: 是线段 的垂直平分线, ∴ , ∴ , ∵ 平分 , ∴ ,∴ , ∴ ,同理: , ∴ , ∴ ,即D选项一定成立,符合题意; ∵ ,但点E不一定是 的中点,则 不一定是 的中位线,故A选项不符合题意; 平分 ,二重心是三角形三边中线的交点,故B选项不符合题意; 不能说明点F是 的中点,故C选项不符合题意. 故选D. 19.(22-23九年级上·广东佛山·期末)直观感知和操作确认是发现几何学习的重要方式,解决下列问题. (1)问题提出:如图1,在 中,过 上一点D作直线 交 于点E,使所得的三角形与原三角形 相似,请画出这样的直线; (2)操作确认:在(1)的条件下,将 沿着过点D的直线折叠,使点C落在射线 的点P处,折痕交 于点F.判断四边形 的形状,写出3条不同类型的性质; (3)迁移运用:如图2, ,在 的延长线上取一点M,且满足 . ①当 , 时,求a的值; ②当 时,过点M作 ,并使 ,求 的值. 【答案】(1)见解析 (2)四边形 为菱形,性质见解析 (3)① ,② 【分析】(1)过点D作 或作 ;(2)根据(1)中的图形,进行分类讨论:当 时,根据折叠的性质可得 , , ,即可证明四边形 为菱形.当 时,四边形 不是特殊的四边 形. (3)①过点A作 于点D,通过证明 得到 ,即可求解;②延长 相交于点K,过点A作 于点D,证明 得到 ,证明 得到 ,总而得到 ,即可求解. 【详解】(1)解:如图:过点D作 或作 ,交 于点E, 即为所求, 或 (2)①当 时,如图: ∵ , ∴ , 由翻折的性质可得 , , , ∴ , ∴ , ∴ , ∴四边形 为菱形. 性质:1、菱形的对角线平分对角;2、菱形的对边平行且相等;3、菱形的对角线互相垂直. 当 时,四边形 不是特殊的四边形.(3)①过点A作 于点D, ∵ , , , ∴ , , ∴ , , ∵ , ∴ , ∴ , ∵ , ∴ , ∴ , ∴ , ∴ ,即 , 解得: , (舍). 综上: . ②延长 相交于点K, ∵ , , ∴ , ∵ , ∴ ,∴ , ∴ ,即 , ∵ , , ∴ , ∴ , ∴ , 过点A作 于点D, 设 , ∵ , , ∴ , , 在 中,根据勾股定理可得: , ∵ , , ∴ ,整理得: . 解得: , (舍), ∴ , ∴ . 【点睛】本题主要考查了相似三角形的判定和性质,菱形的判定和性质,解题的关键是熟练掌握相似三角 形对应版成比例的性质. 20.(23-24九年级上·河北沧州·期末)在 中, , , .点 在线段 上运 动,过点 作 的垂线交线段 (如图1)或线段 的延长线(如图2)于点 .(1)当点 在线段 上时,求证: ; (2)当点 与点 重合时,求 的长; (3)若点 从点 以每秒2个单位长的速度向点 运动,求点 与点 的距离不大于1的时长; (4)当 为等腰三角形时,直接写出 的长. 【答案】(1)见解析 (2) ; (3) 秒; (4) 或6 【分析】本题主要考查相似三角形的判定与性质、勾股定理、等腰三角形的性质等知识点,掌握分类讨论 思想是解题的关键. (1)说明 再结合 即可证明结论; (2)先用勾股定理求得 ,再根据相似三角形的性质列比例式求解即可; (3)分点 在线段 上和延长线上两种情况,分别求得 所需的时间,然后作差即可; (4)分点 在线段 上和延长线上两种情况,分别根据等腰三角形的性质以及相似三角形的性质列比例 式求解即可. 【详解】(1)证明: , , 在 与 中, , , . (2)解:在 中, , 由(1)知 , ,即 ,解得: . (3)解:①当点 在线段 上时,若 ,则 ,∵ , ∴ , ,解得: , ∴ 运动的时长为 (秒); ②当点 在线段 的延长线上时,若 ,则 , ∵ , ∴ , , 点 运动的时长为 (秒); 综上,求点 与点 的距离不大于1的时长为 (秒). (4)解:如图1,当点 在线段 上时, 若 为等腰三角形,则 , ∵ , ∴ ,即 ,解得: , ; 如图2,当点 在线段 的延长线上时,若 为等腰三角形,则 ,, , . , , , , , . 21.(23-24九年级上·贵州铜仁·期末)在 中, , , ,将 绕点C 逆时针旋一个角度 得到 ,连接 , . (1)如图①,当 时,求证: ; (2)如图②,当 时,点 在 上, 的延长线交 于点P,请确定 与 的位置关系,并说 明理由; (3)如图③,当 时,如果 ,连接 ,求 的长. 【答案】(1)见解析 (2) ,理由见解析 (3) 【分析】(1)由旋转的性质得 , , ,得 ,再证 ,然后由相似三角形的判定即可得出结论;(2)同(1)得 ,则 ,再由对顶角 ,得 ,即可 得出结论'; (3)延长 交 于点D,过 作 于点E,则四边形 是矩形,得 , , 由勾股定理得 ,再由三角形面积得 ,则 ,然后证 ,求出 ,则 ,进而由勾股定理求出 的长即可. 【详解】(1)解:证明:由旋转的性质得: , , , ∴ , , 即 , ∴ ; (2) ,理由如下: 同(1)得: , ∴ , ∵ , ∴ , ∴ ; (3)如图③,延长 交 于点D,过 作 于点E, 则四边形 是矩形, ∴ , , ∵ , , , ∴ , ∵ , , ∴ , ∴ , ∴ , ∴ , ∴ , ∵ , , ∴ , ∴ ,即 , ∴ , ∴ , 在 中,由勾股定理得: , 即 的长为 . 【点睛】本题是相似形综合题,考查了相似三角形的判定与性质、旋转的性质、勾股定理、平行线的性质、 矩形的性质以及三角形面积. 22.(22-23九年级上·重庆渝北·期末)如图,在 中, ,把边 绕点 旋转到 . (1)如图1,连接 ,使 , ,求 到 的距离; (2)如图2,连接 交 于点 ,当 时,在 边取一个点 ,使 ,过点 作 的垂 线交 于点 ,交 于点 ,交 延长线于点 ,求证: ; (3)如图3,若 ,连接 ,点 是 内部一个动点,连接 、 使 , 连接 、 ,若 , ,当 取最小时,请直接写出 的面积. 【答案】(1) (2)见解析 3 (3) 2【分析】(1)作 于点G,先求出 的长,进而求出 的长,再求出结果; (2)延长EG至K,使 ,连接 ,可证得 是平行四边形,从而证明 ,,推 出 ,从而得到 ,进一步得到结论; (3)可推出 ,点N在以AB为直径的圆 上运动,即当点N在 与圆 的交点时, 取最 小,进而求出结果即可. 【详解】(1)解:如图,作 于点G, ∵ , ∴ , ∵ , ∴ , ∴ , ∵ ∴ , ∴ 到 的距离为 ; (2)证明:如图,延长EG至K,使 ,连接 , ∵ , ∴ , ∴ 是平行四边形, ∴ , ∵ , ∴ ,∵ , ∴ , ∵ ∴ , 又∵ , ∵ ∴ , ∴ ∴ ∴ , 同理可得 , ∴ , ∴ , 即 , ∴ ; (3)如图, ∵ , ∴ ∵ ∴ , ∴ , ∴点N在以AB为直径的圆 上运动, ∴当点N在 与圆 的交点时, 取最小, ∵ , , , ∴ ,∴ , 作 于点M, ∴ , ∴ , ∴ . 【点睛】本题考查等腰三角形的性质,全等三角形的判定和性质,相似三角形的判定和性质,确定圆的条 件,解决问题的关键是作辅助线,构造等腰三角形. 题型三:相似三角形的判定与性质综合 23.(24-25九年级上·山西长治·期末)如图,在矩形 中,点E在 边上,连接 ,过点E作 交 的外角平分线于点F,若 , , ,则 的长为( ). A. B. C. D. 【答案】C 【分析】本题主要考查了相似三角形的性质与判定,等腰三角形的判定,勾股定理,熟练掌握相似三角形 的性质与判定是解题的关键. 先证明 ,进而求得 ,再利用勾股定理即可求解. 【详解】解:过点F作 交于点G,如图, ∵ 平分 , ∴ , ∵ , ∴ ,∴ , ∴ , ∵四边形 为矩形, ∴ , ∵ , ∴ , ∴ , , ∴ , ∴ , ∴ , ∴ , 解得 , ∴ , 由勾股定理,得 , 故选:C. 24.(24-25九年级上·全国·期末)如图,四边形 是边长为2的正方形,点P为线段 上的动点,E 为 的中点,射线 交 的延长线于点Q,过点E作 的垂线交 于点H、交 的延长线于点 F,则以下结论:① ;② ;③当点F与点C重合时 ;④当 时, ;⑤当点P和点B重合时, ,成立的个数是( ) A.2 B.3 C.4 D.5 【答案】C 【分析】根据正方形的性质得到 ,则 ,再由垂线的定义和平角 的定义得到 ,则 ,再由 ,即可证明 ,故 ①正确;根据 , ,可判断②;证明 ,得到 ,再证明 ,设 ,则 ,则 , ,由勾股定理得 ,解得: ,则 ,故③正确;求出 , 得到 ,证明 是等腰直角三角形,得到 , ,则 , ,同理可得 ,利用勾股定理 ,则 ,故④正确;同理可证明 ,得到 ,则 ;证明 ,求出 , ,再证明 ,求出 ,则 ,故⑤错误; 【详解】解:∵四边形 是正方形, ∴ , ∴ , ∵ , ∴ , ∴ , ∵ , ∴ ,故①正确; ∵ , , ∴ ,故②正确; 当点F与点C重合时,如图2, ∵E是 的中点, ∴ , 在 和 中, , ∴ , ∴ , ∵ ,∴ , 设 ,则 , ∴ , , 在 中,由勾股定理得 , ∴ , 解得: , ∴ , ∴ ,故③正确; 如图3所示, ∵ ,即P是 中点, ∴ , ∴ , ∵ , ∴ , ∴ 是等腰直角三角形, ∴ , , ∴ , , 同理可得 , ∴ , ∴ ,故④正确; 当点P与点B重合时, 同理可证明 , ∴ , ∴ ; ∵ ,∴ , ∴ ,即 , ∴ , ∴ , ∵ , ∴ , ∴ , ∴ , ∴ ,故⑤错误; ∴正确的有4个, 故选:C. 【点睛】本题主要考查了正方形的性质,相似三角形的性质与判定,全等三角形的性质与判定,勾股定理, 等腰直角三角形的性质与判定等等,根据题意画出对应的示意图是解题的关键. 25.(24-25九年级上·浙江绍兴·期末)如图,在矩形 中, ,若点E在以 为直径的 半圆上运动,则 的最小值是( ) A. B. C. D. 【答案】D【分析】取 中点记为点 ,连接 ,取 中点为 ,连接 ,连接 ,作 ,且 使得 ,则 ,则 , ,可证明 ,当且仅当点 三点共线时,取得最小值,此时 ,即点 共圆时,取得最小值,过点 作 于点 ,可证明 ,则 , 故 ,在 中,由勾股定理得 ,故 , 则 ,由对称性可知:当点 在右侧时,此时 , 则 . 【详解】解:取 中点记为点 ,连接 ,取 中点为 ,连接 ,连接 ,作 , 且使得 ,则 , ∴ , ∴ , ∴ , , ∴ , ∴ , ∴ , ∴由①+②得: , 当且仅当点 三点共线时,取得最小值, ∴此时 ,即点 共圆时,取得最小值, 过点 作 于点 ,∵四边形 是矩形, ∴ , ∴ , ∴ , ∴ , ∴ , ∵ , ∴ , ∴ , ∴ , ∴ , ∵ , ∴ , ∴ , ∴在等腰 中,由勾股定理得 , ∴ , ∴在 中,由勾股定理得 , ∵ , ∴ ∴ , ∴ , 由对称性可知:当点 在右侧时,此时 ,如图:则 , 故选:D. 【点睛】本题考查了矩形的性质,相似三角形的判定与性质,四点共圆的判定,勾股定理等知识点,难度 大,正确构造相似三角形是解题的关键. 26.(24-25九年级上·全国·期末)如图,点P是边长为2的正方形 的对角线 上的动点,过点P 分别作 于点E, 于点F,连接 并延长,交射线 于点H,交射线 于点M,连接 交 于点G,当点P在 上运动时(不包括B、D两点),以下结论:① ;② ; ③ ;④ 的最小值是 .其中正确结论的有( )个. A.1 B.2 C.3 D.4 【答案】C 【分析】本题考查了正方形的性质、相似三角形的判定与性质、矩形的判定与性质等只是点;熟练掌握正 方形的性质、相似三角形的判定与性质是解决问题的关键. ①如图:连接 交 于O,根据对称性可知 , ,再说明四边形 是矩形,根据矩形的性质可得 ,故 ,又因为 ,故 ,进而得到 ,即可判断①.②可用特殊值法 证明,当点P与 中点重合时, , ,显然 ,可判定②;③先证明 ,得到 ,即 ,再结合 即可判定③;④先说明当 时, 的值最小,此时A、P、C共线,再运用勾股定理求得 、 即可解答. 【详解】解:①如图:连接 交 于O.根据对称性可知 , ,∵ , , , ∴四边形 是矩形, ∴ , , ∴ , ∴ , ∵ , ∴ , ∴ , ∴ .即①正确; ②当点P与 中点重合时, , ,显然 ;即②错误; ③∵ , ∴ , ∵ , ∴ , ∵ , ∴ , ∴ , ∴ , ∵ , ∴ ,即③正确; ④∵四边形 是矩形, ∴ , ∴当 时, 的值最小,此时A、P、C共线, ∵ , ∴ 的最小值为 , ∴ 的最小值为 .综上,正确的有①③④,共3个. 故选C. 27.(24-25九年级上·全国·期末)如图,矩形 中, ,对角线 、BD交于点 ,CE平 分 交AD于点 , 为CE上一点, 为AD延长线上一点,连接 、 , 的延长线交 于点 , 交CD于点 ,且 ,以下结论:① ;② 是等边三 角形;③ ;④ ;⑤ .其中正确结论的序号是( ) A.①③④ B.①③⑤ C.②④⑤ D.①③④⑤ 【答案】A 【分析】由余角的性质可得 ,即 ,故①正确;由正方形的性质可得 , ,可得 ,可证 ,故④正确;先证四边形 是平行四边 形,可得 ,由“ ”可证 ,可得 ,则 ,故③正确; 通过得到 , 即可判断②,通过不妨设 ,最终算出 , ,比 较即可判断⑤. 【详解】解: 四边形 是矩形, , 为 的中点, , , , , ,故①正确; 为 的中点,根据直角三角形斜边上的中线等于斜边的一半, , , , 不是等边三角形,故②错误; 如图,延长 交 于点 ,四边形 是矩形, , , , , , , ,故④正确; , 四边形 是平行四边形, , ; , ∴ , 平分 , , 又 , , , ,故③正确; ∵ ∴ 不妨设 , , , , , , , , , , ,, , , , , , , , ,故⑤错误, 故正确的有:①③④, 故选:A. 【点睛】本题是四边形综合题,考查了矩形的性质,全等三角形的判定和性质,相似三角形的判定和性质, 勾股定理等知识,综合性较强,灵活应用知识点间的联系是解题的关键. 28.(24-25九年级上·全国·期末)如图,在正方形 中,E是边 的中点,连接 ,过点B作 于点F,延长 交 于点G,连接 ,则 的值为 . 【答案】 【分析】延长 与AD的延长线交于点 ,证 和 全等得 ,再根据点 是边 的中 点得 ,由此可证 和△HDG全等,则 ,进而得 ,设 , 再证 和 相似得,据此得 ,在 中由勾股定理得 ,则 , 由此可得 的值. 【详解】解:延长 与AD的延长线交于点 ,如图所示, 四边形 为正方形,, , , , , , 在 和 中 , , , 是边 的中点, , , , , 在 和△HDG中 , , ,即点 为 的中点, , , 设 , , , , , , 在 中, , , ∴由勾股定理得: ,, , 故答案为: . 【点睛】本题主要考查了正方形的性质,直角三角形的性质,勾股定理,全等三角形的判定和性质,相似 三角形的判定和性质等知识点,熟练掌握全等三角形的判定和性质,相似三角形的判定和性质是解决问题 的关键. 29.(24-25九年级上·辽宁大连·期末)如图,在 中, , ,以C为圆心,任 意长为半径作弧,分别交 , 边于点M,N,再分别以M,N为圆心,大于 长为半径作弧,两 弧相交于点P,射线 交 于点D,点F在线段 上,且 ,则 (用含a的代 数式表示). 【答案】 【分析】过点F作 ,交 于点 ,交 于点 .根据尺规作图,得出 平分 ,根据等 腰直角三角形性质得出 ,根据 ,得出 ,设 ,则 , 根据 平分 ,得出 ,证明 是等腰直角三角形,勾股定理得出 ,再证明 为等腰直角三角形,得出 ,证明 , ,根据相似三角形的性质 得出 ,即可求解. 【详解】解:过点F作 ,交 于点 ,交 于点 . 根据尺规作图,得出 平分 , ,为等腰直角三角形, , , , 设 ,则 , ∵ 平分 , , ∵ ,CD平分 , ∴ 是等腰直角三角形, , , , ∴ , ∴ 为等腰直角三角形, , , , , , , , , 即 , , 故答案为: . 【点睛】该题主要考查了相似三角形的性质和判定,勾股定理,等腰三角形的性质和判定,尺规作角平分 线,三角形内角和定理,平行线的性质等知识点,解题的关键是掌握以上知识点,正确做出辅助线.30.(24-25九年级上·全国·期末)如图,在菱形 中, ,E为 的中点,F是 上 一点,G为 上点,且 , 交 于点H,则 的值为 . 【答案】4 【分析】本题考查菱形的性质,等边三角形的判定和性质,相似三角形的判定和性质,先证明 为等 边三角形,进而证明 ,列出比例式求出 的面积比, 的长,进而求出 的 长,再证明 ,求出 的面积比,进而得到 的值即可. 【详解】解:∵菱形 中, , ∴ , ∴ 为等边三角形, ∴ , , , ∵ , , ∴ , ∴ , ∴ , ∵E为 的中点, ∴ , ∴ , ∴ , , ∴ , , ∵ , ∴ , ∴ , ∴ ,∴ ; 故答案为:4. 31.(24-25九年级上·全国·期末)如图,点P是菱形 的对角线 上一点,连接 并延长,分别交 的延长线于E,F. (1)图中 与哪个三角形全等?并说明理由; (2)求证: ; (3)若 ,那么 与 有何关系?请说明理由. 【答案】(1)与 全等,理由见解析 (2)见解析 (3) ,理由见解析 【分析】(1)根据菱形的性质结合“ ”即可证 ; (2)根据菱形的性质结合“ ”即可证 ,得出 ,即可证 , 结合公共角 ,即可证 ; (3)由全等三角形的性质得出 ,根据相似三角形的性质得出 ,即 , 代入数据可求出 .又易证 ,得出 ,即 ,代入数据求解即可 得出结论. 【详解】(1)解:与 全等, 理由:∵点P是菱形 的对角线 上一点, ∴ , . 又∵ , ∴ ; (2)证明:∵点P是菱形 的对角线 上一点, ∴ , , , ∴ . ∵ , , , ∴ , ∴ ,∴ . 又∵ , ∴ ; (3)解:∵ , ∴ . ∵ , ∴ ,即 , ∴ , 解得: (舍去负值). ∵ , ∴ , ∴ ,即 , ∴ ,即 . 【点睛】本题考查菱形的性质,三角形全等的判定和性质,三角形相似的判定和性质,一元二次方程的应 用等知识.熟练掌握三角形全等和相似的判定定理与性质定理是解题关键. 32.(24-25九年级上·辽宁大连·期末)如图1,在正方形 中, 是射线 上的一个动点,过点 作 交 的延长线于点 ,射线 交直线 于点 ,连接 . (1)求证∶ (2)猜想线段 之间满足的数量关系,并说明理由; (3)若正方形边长为4, . ①如图2,当点 在 的延长线上时,求 和 的长; ②如图3,当点 在线段 上时,直接写出 和 的长. 【答案】(1)见解析 (2) ,见解析 (3)① , ;②【分析】本题主要考查了全等三角形的判定和性质,正方形的性质,等腰三角形的性质,勾股定理,相似 三角形的判定和性质,综合性强,难度较大,熟练掌握全等三角形的判定和性质,正方形的性质,等腰三 角形的性质,勾股定理,相似三角形的判定和性质,作适当辅助线构造全等三角形是解题的关键. (1)根据同角的余角相等,即可得出结论; (2)过点 作 于 点,可证得 ,从而得到 ,进而得到 为 等腰直角三角形,可得到 ,进一步得出结论即可; (3)①先做辅助线,在 上截取 ,连接 ,根据已知条件证得 ,进而得 到 为等腰直角三角形,可得到 ,再求得 ,根据三角形相似性质进一步 求解即可. ②先求得 ,再根据三角形相似性质和已知条件求得 得值,根据(2)中所得 ,求解即可. 【详解】(1)证明: 四边形 是正方形, , , , , , 又 , , , . (2)解: , 理由:如图1,过点 作 于 , , ,即 , 四边形 是正方形, , 由(1)知: , ,, , , , . (3)解:①如图2,在 上截取 ,连接 , 在正方形 中, , , , , , , , , , , , , 为等腰直角三角形,根据勾股定理得, , , , , 在 中,根据勾股定理得, , , , , ,, , ; ② ,正方形的边长为4, , , , , , , , 由(2)知: , . 33.(24-25九年级上·辽宁大连·期末)问题情境在“综合与实践”课上,大家对矩形折叠中的数学问题进 行了探究,老师提出如下问题:如图1,在矩形纸片 中,点E 为边 上的一个点,连接 ,将 沿直线 折叠,使点D的对应点F恰好落在边 上,过点F作 ,交 于点H,然后 将纸片展开铺平,连接 .请判断四边形 的形状,并说明理由. 【观察思考】 (1)请解答老师提出的问题; (2)图1中,若 ,求 的长; 【类比探究】 (3)善思小组受此问题启发,将矩形 变为平行四边形进行了同样的操作探究,如图2,在 中,若 ,其他条件不变. ①求 的长; ②直接写出四边形 的面积.【答案】(1)四边形 是菱形,理由见解析;(2) ;(3)① ;②10 【分析】(1)由折叠性质得 ,根据平行线性质,得 ,得 ,可得 ,得四边形 是平行四边形,即得四边形 是菱形; (2)根据矩形性质 ,得 ,根据折叠性质,得 ,根据勾股定理得 ,得 ,设 ,则 ,在 中,根据 勾股定理解得 ,即得; (3)①过 作 于 ,延长 交于M,求出 ,得 ,根据 ,在 中,运用勾股定理求得 ,得 ,得 , 根据平行性质和和折叠性质,得 ,得 ,根据 ,得 ,得 ,即得;②连接 交 于点 ,根据 ,得 ,设 , ,得 ,根据菱形 性质得 ,根据等腰三角形性质得 ,得 ,在 中, , 中, ,得 ,得 , ,即得 . 【详解】解:(1)四边形 是菱形,理由: 将 沿直线 折叠,使点 的对应点 恰好落在边 上, , , , , , , 四边形 是平行四边形, , ∴四边形 是菱形;(2) 四边形 是矩形, , 将 沿直线 折叠,使点 的对应点 恰好落在边 上, , , , 由(1)知,四边形 是菱形, , 设 , 则 , 在 中, , , 解得 , 的长为 ; (3)①如图1,过 作 ,交AB延长线于点 , , , ∴ , , 设 , 将 沿直线 折叠,使点 的对应点 恰好落在边 上, , , , ,或 (舍去), ,, 延长 交于M, , , , , , , , , , 同理(1)可得四边形 是菱形, ; ②10.理由: 如图2,连接 交 于点 , ∵ ∴ ; , , , 设 , 则 , , 四边形 是菱形, , , , , 在 中, , , 中, ,, 解得 , , , ∴ , . 【点睛】本题主要考查了菱形.熟练掌握矩形性质,平行四边形性质,菱形的判定和性质,折叠性质,勾 股定理解直角三角形,相似三角形的判定和性质. 34.(24-25九年级上·辽宁大连·期末)二次函数 的图象与x轴交于点 ,点B, 与y轴交于点 ,连接 . (1)求二次函数的表达式; (2)如图1,求 的度数; (3)如图2,若D是此二次函数图象上第一象限内的点,设D点横坐标为m,当四边形 的面积最大时, 求m的值; (4)如图3,若P是此二次函数图象上第四象限内的点,当 时,求点 P 的坐标. 【答案】(1) (2)(3)2 (4)点 的坐标为 【分析】(1) 即可求出 值,从而解出二次函数解析式; (2)分别求出三边长,通过三边长的平方发现存在勾股关系,判断出是直角三角形; (3)令先设定点D坐标,再求出 直线解析式,再用二次函数纵坐标减去直线纵坐标,这个差取最大时, 所求面积即为最大,通过作差产生的新的二次函数求出取最大值时的横坐标; (4)在 轴上取点 ,使 ,连接 ,再利用(2)题结论证明 ,从而证明 ,再求出直线 解析式,直线 又是由 向下平移得到的,故可以通过 来设 解析式, 再把 代入即可求得 直线解析式. 【详解】(1)把 得: 解得 (2)在 中, 令 , 得 , 解得 , 在 中, , 在 中, , (3)如图1,过点 作 轴于点 ,交 于 ,. 设直线 的解析式为 , 则有 , 解得 , 直线 的解析式为 . 点 的横坐标为 轴, 点 的横坐标为 , 则 , , . , ∴当 时,取最大值, 的值为 (4)如图2,在 轴上取点 ,使 ,连接 , , 由(2)得, , , 即 , , 由 得: 直线 解析式为 , 设直线 解析式为 , 把 代入得: ,解得 , 直线 解析式为 , 联立 , 解得 或 ∴点 的坐标为 .【点睛】本题考查了待定系数法求函数解析式、等腰三角形的性质、勾股定理、相似三角形的判定和性质、 平行线的判定和性质.解决本题的关键是根据相似三角形的性质找到相等的角,再利用角之间的关系找到 边之间的关系. 35.(24-25九年级上·山西长治·期末)已知:如图,在 中, , , , 点P从点A出发,沿 方向匀速运动,速度为 ;同时点Q从点C出发,沿 方向匀速运动,速度 为 ,设运动时间为t秒,解答下列问题: (1)当t为何值时, 与 相似? (2)是否存在某一时刻t,使 ,若存在,求出t的值;若不存在,请说明理由. (3)是否存在某一时刻,使 为等腰三角形?若存在,请直接写出t的值;若不存在,请说明理由. 【答案】(1)当t为 或 时, 与 相似 (2)当 时, (3)当 或 或 时, 为等腰三角形. 【分析】(1)由勾股定理求出 ,再分为当 时及当 时,两种情况求 解即可; (2)作 于点 ,首先证明 ,可表示出 ,由 ,可得 ,代入面积公式即可列出方程,从而得出答案; (3)分 , , 三种情形,分别画出图形,进行计算即可解决问题. 【详解】(1)解:在 中,由勾股定理得: , 由题意得, , 当 时, 有 , 即 , 解得: ,当 时, 有 , 即 , 解得: , 当t为 或 时, 与 相似; (2)解:存在, 如图,作 于点 , , , , , 即 , 解得: , , , , ∵ , 解得: , 当 时, ; (3)解:存在,当 时, , , 当 时,作 于点 ,, , , , 即 , , ∵ , , , 解得: ; 当 时, 作 于点 , , , , 即 , , ∵ , , , , 解得: ,当 或 或 时, 为等腰三角形. 【点睛】本题主要考查了相似三角形的判定与性质,勾股定理,图形的面积,解一元二次方程等知识,运 用分类讨论思想分别画出图形是解题的关键. 36.(24-25九年级上·全国·期末)小明在学习中发现,当垂直线段出现在四边形中间时,通常有比较简明 的结论.下面是他的发现过程,请补充并完成其中的问题. (1)如图1,在正方形 中, 为 上一点,连接 ,过点 作 于点 ,交 于 ,则 与 的数量关系是: ______ (填“ ”“ ”“ ”号). (2)①如图2,在矩形 中, 为 上的点,连接 ,过点 作 于 点 ,交 于 .小明发现,过 作 于点 ,可以得到 与 的数量关系.这个数量关系 是什么?请说明理由; ②填空:由①可得,顶点分别在矩形的每一组对边(或延长线)上且互相垂直的两条线段的比,等于 ; ③应用上述结论解决问题:在 中, ,点 是 的中点,连接 , 过 作 的垂线 ,交直线 于 ,垂足是点 ,直接写出 的长度. 【答案】(1) (2)① ,理由见解析;②矩形的两邻边之比;③ 【分析】(1)证明 即可; (2)①证明 ,由相似的性质即可得到 与 的数量关系;②由①的解答即可完成;③ 延长 到N,使 ,分别连接 ,则可得四边形 是矩形,且 ,由①的结论 即可求得 长度. 【详解】(1)解:∵四边形 是正方形, ∴ , ∴ , ∵ , ∴ , ∴ , ∴ ,∴ , 故答案为: ; (2)解:①数量关系为 理由如下: ∵四边形 是矩形, ∴ , ; ∵ , ∴四边形 是矩形, ; ∵ , ∴ , ∴ , ∵ , ∴ , ∴ ; ∵ , ∴ , ∴ , 即 ; ②由①知,顶点分别在矩形的每一组对边(或延长线)上且互相垂直的两条线段的比等于矩形两邻边的比; 故答案为:矩形两邻边的比; ③如图,延长 到N,使 ,分别连接 , ∵D为 的中点, ∴ , ∵ , ∴四边形 是平行四边形, ∵ , ∴四边形 是矩形, ∴ , 由勾股定理得: ; ∵ , ∴由①的结论知: ,∴ . 【点睛】本题考查了矩形的判定与性质,正方形的性质,全等三角形的判定与性质,相似三角形的判定与 性质,勾股定理等知识,有一定的综合性. 37.(24-25九年级上·全国·期末)【初识图形】 (1)如图1,E、F分别为正方形 边和 边上的点,连接 、 ,且 .则 ______. (2)如图2,矩形 中,点 分别在边 、 上,连接 、 ,且 , , ,求 的值. 【类比探究】 (3)如图3, 中, 分别为 、 边上的点, , , 为 中点,连接 , 作 交 于点 ,交 于 .直接写出 的长为________. 【拓展迁移】 (4)在矩形 中, , ,点 分别为线段 和线段 边上的一点,以 为折 痕,将四边形 翻折,得到四边形 ,直线 和直线 分别交直线 于点 和点 ,且 , . ①请直接写出线段 的长 . ②若点 分别为线段 和线段 边上的动点,满足 .且直线 始终经过一个定点 , 求 的最大值______. 【答案】(1)1;(2) ;(3) ;(4)① 或 ;② 【分析】[初识图形](1)根据正方形的性质,垂直的定义可得 ,可证 ,则有 ,由此即可求解;(2)如图,过点 作 于点 ,可得四边形 是矩形,可证 ,求出 , 由此即可求解; [类比探究](3)如图所示,过点 作 于点 ,运用勾股定理可得 , ,设 ,可证 ,得到 , ,再证 ,求出 , 则 ,由此即可求解; [拓展迁移](4)①根据四边形 是矩形,翻折的性质可得 ,分类讨论:第一种情况,如 图所示,过点 作 于点 ,得到四边形 是矩形,求出 ,可证 ,得到 ,由 可解;第二种情况,如图所示,设 与CD交于点 , 可证 ,得到 , ,再证 ,得到 ,由 可解; ②根据 ,确定定点 ,由相似三角形可得 ,如图所示,以点 为坐标原点, 为正 方向作横轴, 方向为纵轴作平面直角坐标系,设 ,则 ,由点 在线段 上运动可得 ,即 ,根据两点之间的距离公式可得 ,令 ,可 得 随 的增大而增大,当 时, 有最大值,且最大值为 ,由此即可求解. 【详解】解:[初识图形](1)∵四边形 是正方形, , , , , 在 和 中, , , , , 故答案为:1; (2)如图,过点 作 于点 ,∵四边形 是矩形, , , ∴ , ∴四边形 是矩形, , ∴ , ∵ 于点 , , , , ,即 , ∴ , , 故答案为: ; [类比探究](3)如图所示,过点 作 于点 , ∵ 是直角三角形, , , ∴ , ∵点 是 的中点, ∴ , 在 中, , ∴ , 设 , ∵ , , ∴ , ∴ ,即 ,∴ , ∴ , ∵ ∴ , ∴ , 又∵ , ∴ , ∴ ,即 , ∴ , ∴ , 故答案为: ; [拓展迁移](4)①∵四边形 是矩形, ∴ , , ∵四边形 翻折,得到四边形 , ∴ , , , , 第一种情况,如图所示,过点 作 于点 , ∵ , ∴ , ∵ , ∴ , ∴四边形 是矩形, ∴ , ∵ , ∴ ,且 , ∴ ,∴ ,即 , ∴ , ∵ , , ∴ ; 第二种情况,如图所示,设 与CD交于点 , 同理, , , , ∴ , ∵ , ∴ , ∴ ,即 , ∴ , , ∴ , , ∵ , ∴ , ∴ ,即 , ∴ , ∵ , ∴ ; 综上所述, 的长为 或 ; ②如图所示,∵四边形 是矩形, ∴ , ∵ ,直线 始终经过一个定点 , ∴延长 交于点 , ∴ , ∴ ,且 , ∴ , 解得, , 如图所示,以点 为坐标原点, 为正方向作横轴, 方向为纵轴作平面直角坐标系, ∵ , ∴设 ,则 , ∵ , ∴ ,即 , ∴ , 令 , ∵ , ∴函数图象开口向上, 随 的增大而增大, ∴当 时, 有最大值,且最大值为 , ∴ 的最大值为 , 故答案为: . 【点睛】本题主要考查矩形的性质,勾股定理,相似三角形的判定和性质,矩形与折叠的性质,二次函数 图象的性质等知识的综合,掌握矩形的性质,构造相似三角形,数形结合分析,分类讨论思想是解题的关键. 38.(24-25九年级上·全国·期末)如图,已知二次函数 的图象与 轴交于点A(−4,0)和点 ,与 轴相交于点 . (1)求该二次函数的解析式; (2)点 在线段 上运动,过点 作 轴的垂线,与 交于点 ,与抛物线交于点 . ①连接 , ,当四边形 的面积最大时,求此时点 的坐标和四边形 面积的最大值; ②探究是否存在点 使得以点 , , 为顶点的三角形与 相似?若存在,求出点 的坐标;若不 存在,说明理由. 【答案】(1) (2)①当 时, 有最大值,最大值为16, ;②存在,点 的坐标为 或 【分析】(1)根据点A,B的坐标,利用待定系数法即可求出二次函数的表达式; (2)①先求出直线 的解析式为: ,设 ,则 ,用含t的代数式表示 的面积,进而即可求解; ②分两种情况:① ;② ,讨论即可. 【详解】(1)解:把A(−4,0)、 代入 得 解之得 该二次函数的解析式为 ; (2)解:①设直线 的解析式为 , 把A(−4,0)、 代入得 , 解得 , 直线 的解析式为 设 ,则 , ,对称轴 , ,开口向下 当 时, 有最大值,最大值为16. ; ②当 时,如图: 轴, 点 的纵坐标为4, , 解得 (舍去), , 当 时, , 过点 作 于 , ,A(−4,0), 轴, ,由①得 , , , 解得 (舍去), 综上,点 的坐标为 或 . 【点睛】本题考查了待定系数法求二次函数解析式、二次函数图象上点的坐标特征、待定系数法求一次函 数解析式、一次函数图象上点的坐标特征、解一元二次方程以及三角形的面积,解题的关键是:(1)根 据点的坐标,利用待定系数法求出二次函数解析式;(2)注意需要分类讨论. 39.(24-25九年级上·全国·期末)已知在 中, ,过点A作直线 于点D,点E是射线 上一动点,连接 ,在 右侧作 ,使得 . (1)如图,连接 交 于点G,求证: ; (2)在(1)问条件下,若 ,试判断 的形状并说明理由; (3)若 ,延长 到点P,使 ,连接 . i)当P落在 的某条边上时,求 的长. ii)连接 ,直接写出线段 的长. 【答案】(1)证明见解析 (2) 是等边三角形,理由见解析 (3)(i) 的长为 或1;(ii) 【分析】(1)根据相似三角形的性质得到 ,再证明 ,即可证明 ; (2)根据等腰直角三角形的性质得 ,进而得到 , ,则 ,由此可得 ;由相似得到 ,则 , ;再证明 ,得到 ,则 ,即可证明 ,则 是等边三角形; (3)(i)如图所示,当点P在 上时,可证明 ,设 ,则, 则 ,可得 ,求出 ,进 而证明 ,得到 ,由(2)可知 ,则 ;如图当点E与点A重合时,此时点P与点C重合,则 ; (ii)如图所示,过点F作 交直线 于M,由相似三角形的性质得到 ,证明 ,得到 ,进而推出 ,则 ,即点D为 的中 点,再由 ,可得 . 【详解】(1)证明:∵ , ∴ , ∴ ,即 , ∴ ; (2)解: 是等边三角形,理由如下: ∵ , , ∴ , ∵ , , ∴ , , ∴ , ∴ , ∴ , ∴ , ∴ ; ∵ , ∴ , ∴ , ∴ ; ∵ , ∴ ; ∵ , ∴ , ∴ , ∴ ,∴ , ∴ , ∴ 是等边三角形; (3)解:(i)如图所示,当点P在 上时, ∵ , ∴ 垂直平分 , ∴ , ∴ , 设 ,则 , ∴ , ∵ , ∴ , ∴ , ∴ , ∴ , ∴ , ∴ , 由(2)可知 , ∴ ; 如图当点E与点A重合时,此时点P与点C重合,则 ; 综上所述, 的长为 或1. (ii)如图所示,过点F作 交直线 于M, ∵ , ∴ , ∵ , ∴ ,∴ , ∴ , ∴ , 又∵ , ∴ ,即点D为 的中点, 又∵ , ∴ . 【点睛】本题主要考查了相似三角形的性质与判定,等腰直角三角形的性质与判定,勾股定理,三角形内 角和定理,平行线的性质,直角三角形斜边上的中线的性质等等,熟知相似三角形的性质与判定条件是解 题的关键. 40.(24-25九年级上·辽宁大连·期末)如图,四边形 中, , , , , ,求 的长. 【答案】 . 【分析】本题考查了相似三角形的判定与性质,勾股定理,过 作 ,作 ,证明 ,则 ,证明 ,根据性质得出 ,由勾股定理 求出 , 的长,即可求出 的长,掌握知识点的应用是解题的关键. 【详解】解:如图,过 作 ,作 ,∴ , ∴ , ∴ , ∵ , ∴ , ∴ , ∴ , ∵ , ∴ , ∴ , ∵ , , ∴ , ∴ , ∴ , ∴ . 41.(24-25九年级上·辽宁大连·期末)如图,平面直角坐标中,点 、 、 坐标分别是 、 、 ,点 从点 出发(不含点 ),沿 轴正半轴运动,点 从点 与点 同时出发,当点 运动到 原点 时, 、 停止运动,过点 作 轴交 于 ,连接 ,设运动时间为 个单位/秒, 、 运动速度均为2个单位/秒.(1)当 时,求 的值; (2)求在运动过程中, 与 的重叠部分 与运动时间 的函数关系式. 【答案】(1) (2) 【分析】本题考查了相似三角形的判定与性质的应用,函数关系式的建立,矩形的判定与性质,正确理解 题意是解题的关键. (1) ,得到 ,即 ,则 ,四边形 为矩形, 则 ,即 ,即可求解; (2)分三种情况讨论:当 时, 当 时, 当 时,利用相似三角形 示出相关边长,继而可求解函数关系式. 【详解】(1)解:如图, 轴,而 , , ∴ , ,即 , ∴ , 当 时,则 , 四边形 为矩形, 则 ,即 , 解得 ;(2)解:当 时,如图: , ∴ , , ∴ , ∴ , ∴ , 解得, , 则 ; 当 时,如图, ; 当 时,如图: , ∴ ,而 , ,解得 , 则 . 综上所述: . 42.(24-25九年级上·全国·期末)抛物线 经过点 和点 ,与y轴交于点C. (1)求该抛物线的函数表达式; (2)点P是该抛物线上的动点,且位于y轴的左侧. ①如图1,过点P作 轴于点D,作 轴于点E,当 时,求 的长; ②如图2,该抛物线上是否存在点P,使得 ?若存在,请求出所有点P的坐标;若不存在, 请说明理由. 【答案】(1) (2)①2或 ;② 或 【分析】(1)用待定系数法求解即可; (2)①设 则 ,排除当点 在 轴上的情况,然后分当点 在第三象限时;当点 在 第二象限时,分别表示出点P的坐标,然后建立方程求解即可;②过点 作 于点 ,交直线 于点 ,证明 可得 .过点 作 轴于点 ,证明 ,求出 的值,然后分点P在第三象限和点P在第二象限求解即可. 【详解】(1)解:∵抛物线 经过点 ,, 解得 , ∴抛物线的函数表达式为 ; (2)解:①设 则 . ∵点 是抛物线上的动点且位于 轴左侧, ∴当点 在 轴上时,点 与 重合,不合题意,故舍去, 如图,当点 在第三象限时,则点 坐标为 或 , ∴ ,即 , 解得 (舍去), ; 如图,当点 在第二象限时,则点 坐标为 或 , ∴ ,即 ,解得 (舍去) , , 综上所述, 的长为 或 ; 存在点 ,使得 ,理由如下: 在 中,当 时, , , , 在 中, . 过点 作 于点 ,交直线 于点 , 则 , 又∵ , ∴ , . 过点 作 轴于点 ,则 , , , , ,即 , , 如图3,当点 在第三象限时,点 的坐标为 ,由 和 得,直线 的解析式为 , 联立 ,解得 或 (舍去), 点 的坐标为 ; 如图4,当点 在第二象限时,点 的坐标为(−1,1), ∴直线 的解析式为 , 联立 ,解得 或 (舍去), 点 的坐标为 , 综上所述,点 的坐标为 或 . 【点睛】本题考查了待定系数法求函数解析式,二次函数图象上点的坐标特征,勾股定理,相似三角形的 判定与性质,以及分类讨论的数学思想,分类讨论是解答本题的关键.本题难度较大,属中考压轴题. 43.(24-25九年级上·辽宁大连·期末)(1)如图1,等边 中, ,D是 上的动点,连接 , 将 绕着点D逆时针旋转 得到 ,连接 ,当点D从A运动到C时,求点E的运动路径长.(2)如图2,等腰 中, , 于D,E是 上的一点,连接 ,将 绕着 点E逆时针旋转 ,得到 , 交 于点G,连接 ,若 ,求 的值. 【答案】(1)3;(2) 【分析】(1)由旋转的性质可得 , ,由“ ”可证 ,可得 ,即可求解; (2)通过证明 ,可得 ,再由 ,得到 ,推出 , , 即可求解. 【详解】解:(1)连接 , 将 绕着点 逆时针旋转 得到 , , , ∴ 是等边三角形, , ,∵ 是等边三角形, , , , ∴ , , , 即点 的运动轨迹在过点 ,且与 夹角为 角的直线 上, 当点D从A运动到C时,点 的运动路径长为 ; (2)如图,连接 ,过点 作 于点 , 将 绕着点 逆时针旋转 , , , , , 等腰 中, , , , , , , 又 , ∴ , , , , , , , , , , , ∴ , ∴ , ,∵ , , , , , , . 【点睛】本题是相似形综合题,考查了相似三角形的判定和性质,全等三角形的判定和性质,旋转的性质, 等腰直角三角形的性质,等边三角形的性质等知识,添加恰当辅助线构造全等三角形或相似三角形是解题 的关键. 44.(24-25九年级上·全国·期末)如图1, 为 的外接圆,点B为 的中点,点F为劣弧 上除弧中点外一动点,连接 , ,连接 交 于D点,过F点作 的切线交直线 于 E点. (1)连接 ,则 _______ ,若 ,则 的面积 _______; (2)判断 的形状,并进行证明; (3)已知 的半径为r,如图2,取 延长线上一点G,连接 ,且 平分 . ①求 ;(结果用r表示) ② 是否为定值,若是请求出定值,若不是请说明理由.(结果用r表示) 【答案】(1)120; (2) 是等腰三角形,理由见解析 (3)① ;② 为定值,理由见解析 【分析】(1)根据圆周角定理易证 为等边三角形,即可求出 ,根据等腰三角形三线合一的 性质及解直角三角形即可求解; (2)连接 ,延长 交 于点N,连接 ,根据等腰三角形的性质及切线的性质得到,从而得到 ,即可得出结论; (3)①连接 ,由等边三角形的性质及切线的性质易证 ,利用相似三角形的性质即可 求解;②设 , , ,则 , ,根据 ,即可求解. 【详解】(1)解:如图,过点O作 , ∵点B为 的中点, ∴ , ∴ , ∵ , ∴ ,故 为等边三角形, ∴ , ∴ 是 的等腰三角形, , , , ∴ , 的面积 ; (2)解: 是等腰三角形. 理由如下:连接 ,延长 交 于点N,连接 ,∵ , , ∴ 是线段 的垂直平分线, ∴ , ∵ 是 的切线, ∴ , ∵ , ∴ , ∴ , ∴ , ∴ 是等腰三角形; (3)解:①连接 , 由(2)得 , , , ∵ , ∴ , ∴ , ∴ , ∵ 平分 , ∴ , ∴ , ∵四边形 是 的内接四边形, ∴ , ∵ ,且 , ∴ , ∵ , ∴ ,∴ , ∴ ; ② 为定值,理由如下: 设 , , , ∴ , , ∵ 平分 , ∴点C到 , 的距离相等,设距离为h, ∴ , ∵ , ∴ ,即 ,整理得 ,即 , ∴ . 【点睛】本题是圆的综合题,考查了圆周角定理,等边三角形的判定与性质,切线定理,相似三角形的判 定和性质,熟练掌握圆的性质是解题的关键. 45.(24-25九年级上·吉林长春·期末)如图,在 中, , , ,动点P 从点A出发,沿边 向终点B匀速运动,点P出发后,过点P作 交射线 于点Q,当点Q不 与点C重合时,作点Q关于 的对称点D,连结 .设 . (1) ___________.(2)用含x的代数式表示 的长. (3)设 与边 的交点为E,当 是锐角三角形时,求x的取值范围. (4)当 时,直接写出x的值. 【答案】(1)8 (2) 或 (3) (4) 或 【分析】(1)根据正弦的定义和勾股定理即可解答; (2)先根据勾股定理计算 ,分两种情况:①当点Q在边 上时,②当点Q在 的延长线上时, 根据线段的差和对称性即可解答; (3)先确定当 是直角三角形时x的值,分三种情况:当 或 或 时,过点P作 于点H,列方程可解答; (4)分两种情况:①当点Q在边AC上时,②当点Q在AC的延长线上时,根据 ,利用正切 的定义列式即可解答. 【详解】(1)解:∵∠ACB=90°, , ∴ , ∵ , ∴ ; 由勾股定理得: , 故答案为:8. (2)∵点Q关于 的对称点为点D, ∴ , ∵ , ∴ , ∵ , ∴ , ∴ , 分两种情况: ①如图1,当点Q在边 上时,∴ ; ②如图2,当点Q在 的延长线上时, ∴ ; 综上所述, 的长 或 . (3)解: 时,如图3,过点P作 交于点H,连接 , ∵ , ∴ , ∵ , ∴ , ∵ , , ∴ , ∴ , ∵点D,Q关于 对称, ∴ , ∴ ,∴ , ∵ , ∴ , ∵ ,即 , ∴ , 当 时, 是锐角三角形; 当 时, 与 重合,则不存在; 当 时,如图4, ∵ , , , ∴ , ∴ , ∴ , ∴ , 由对称得: , ∵ , ∴ 是等腰直角三角形, ∴ , ∴ 是等腰直角三角形, ∴ , ∴ , ∴ ,当 时, 是锐角三角形; 综上,当 是锐角三角形时, . (4)解: ①当点Q在线段 上时,如图5,过点D作 交 延长线于G, ∵ , ∴ , ∴ , ∴ , ∴ , ∴ , ∴ , , ∴ , ∵ , ∴ , ∴ , ∴ , ∴ ; ②当点Q在 的延长线上时,如图6,∵ , , ∴ , ∴ , ∴ , ∴ , ∴ , ∵ , ∴ , ∴ , ∴ , ∴ , 综上所述,x的值是 或 . 【点睛】本题考查几何变换的综合应用,涉及直角三角形的性质、勾股定理、轴对称的性质、等腰三角形 的性质与判定、相似三角形的性质与判定,锐角三角函数的应用,熟练掌握锐角三角函数的应用以及分类 讨论、数形结合的思想是解题的关键. 46.(24-25九年级上·全国·期末)在 中, ,点D是边AB上不与点B重合的一动点,将 绕点D旋转得到 ,点B的对应点E落在直线 上, 与 相交于点G,连接 . (1)如图1,当点D与点A重合时,①求证: ; ②判断 与 的位置关系是 ; (2)如图2,当点D不与点A重合,点E在边 上时,判断 与 的位置关系,并写出证明过程; (3)如图3,当点D是AB的中点,点E在边 上时,延长 ,CF相交于点P.若 ,求 的 长. 【答案】(1)①证明见解析 ② (2) ,证明见解析 (3) 【分析】(1)①由旋转的性质可知 ,于是可得 ,进 而推出 ,由 可得 ,由三角形的内角和定理可推出 ,于是 结论得证;②由①可得 ,于是可得结论; (2)由旋转的性质可知 ,于是可得 ,进而推出 ,由 可得 ,由三角形的内角和定理可推出 ,进而可得 , ,于是可证得 ,则 ,于是可得结论; (3)由(2)可知 ,进而可推出 ,于是可得 ,进而可 得 , ,然后可证得 ,于是可得 ,由(2)可知 ,进而可得 ,于是可得 ,进而求得 ,再利用勾股定理求出 ,于是即可求出 的长. 【详解】(1)①证明:由旋转的性质可知: , ∴ , , , ∴ , ∵ , ∴ , 在 中, , 在 中, , ∴ , ∴ , ∴ ; ②解: 与 的位置关系是 ,理由如下: 由①可得: ,∴ , 故答案为: ; (2)解: 与 的位置关系是 ,理由如下: 由旋转的性质可知: , ∴ , , , ∴ , ∵ , ∴ , ∴ , ∵ , ∴ , ∴ , ∴ , 即: , ∴ , ∵ , ∴ , ∴ , ∴ ; (3)解:∵ ,点D是AB的中点, ∴ , , , ∴ , 由(2)可知: , ∴ , ∴ , ∴ , ∴ , ∵ , ∴ , 即: , 由旋转的性质可得: ,, ∴ , ∴ , 由(2)可知: , ∴ , ∴ , ∴ , 解得: , ∵ , ∴ . 【点睛】本题主要考查了旋转的性质,全等三角形的判定与性质,相似三角形的判定与性质,勾股定理等 知识点,综合性较强,熟记相关定理内容是解题的关键. 题型四:相似三角形中动点问题 47.(23-24九年级上·江西·期末)如图, , .若在直线 上有一点 .使点 组成的三角形与 相似,且相似比不为1.则这样的点 有( ) A.2个 B.3个 C.4个 D.5个 【答案】C 【分析】本题考查相似三角形的性质与判定,根据已知可分两种情况讨论,① ,② ,在这两种情况下,设 ,需注意分以下情况讨论,当 在线段 上,当 在线段 延长线上,当 在线段 延长线上,再根据相似三角形,对应线段成比例,建立等式,即可解题. 【详解】解: , , , 下面分两种情况讨论: ① , , , , ,设 , 下面分三类讨论, 当 在线段 上,则 , ,解得 , 当 在线段 延长线上,则 , ,解得 , 当 在线段 延长线上,则 , ,解得 (舍去), ② , , 设 , 下面分三类讨论, 当 在线段 上,则 , ,解得 , ,当 时,相似比为1,不符合题意,舍去, 当 在线段 延长线上,则 , ,解得 , (舍去), 当 在线段 延长线上,则 , ,解得 , (舍去), 综上所述,这样的点 有4个, 故选:C. 48.(24-25九年级上·河南·阶段练习)如图,在 中, , , ,点 , 分 别为 , 上一个动点,沿 折叠 得到 、点 的对应点为 ,若点 落在 上,且 与 相似,则 的长为 . 【答案】 或【分析】分 和 两种情况,分别画出图形,利用相似三角形的性质解答即 可求解. 【详解】解:当 时,如图 ,有 ,连接CF, 由折叠可得 , ∴ , ∴ , ∵ , ∴ , ∴ , ∴ , ∵ , , ∴ , ∴ , ∴ , 即 , ∵ , , , ∴ , ∴ ; 当 时,如图 ,有 , ∴ , 由折叠可得 , ∴ , ∵ , ∴ , ∴ , ∵ , ∴ , ∴ ,即 , ∴ , ∴ , ∴ , ∴ ; 综上, 的长为 或 , 故答案为: 或 . 【点睛】本题考查了相似三角形的性质,等腰三角形的性质,余角性质,折叠的性质,勾股定理,运用分 类讨论思想解答是解题的关键. 49.(23-24九年级上·浙江·期末)已知 的直角顶点 与原点 重合,点 , 都落在抛物线 上,则 与 轴的交点为 ;若 于点 ,则点 到点 的最大距离为 . 【答案】 【分析】设点 坐标 ,点 坐标 ,由 求出 的值,将 、 代入直线解析 式,当 时,即可求解,根据直角三角形斜边中线等于斜边一半,可得出点 运动轨迹,即可求出点 到点(1,0)的最大距离,本题考查了待定系数法求一次函数解析式,利用相似求坐标,直角三角形斜边中 线等于斜边一半,解题的关键是:熟练掌握 字型相似,隐圆模型. 【详解】解:设直线 解析式: ,点 坐标: ,点 坐标: , 过点 作 轴于点 ,过点 作 轴于点 ,如图,则 , , , , , , , , ,即: , , 设直线 解析式 ,将 、 坐标代入, ,解得: , 则直线 解析式: , 当 时, ,将 代入,得: , 与 轴的交点为 , 设 与 轴的交点为点 , 中点为 ,点(1,0)为点 , , , 为 中点, 在 中, ,在 中, , 点轨迹为,以 为圆心, 长为半径的圆, 的最大值为: , 故答案为: , . 50.(23-24九年级上·上海静安·期末)在平面直角坐标系 中(如图),已知点A(−2,0)、 、 、 在同一个二次函数的图像上. (1)请从中选择适当的点坐标,求二次函数解析式; (2)如果射线 平分 ,交 轴于点 , ①现将抛物线沿对称轴向下平移,顶点落在线段 的点 处,求此时抛物线顶点 的坐标; ②如果点 在射线 上,当 与 相似时,请求点 的坐标. 【答案】(1) (2)① ② , 【分析】(1)把解析式设为交点式,再把 代入解析式中求解即可; (2)①过点E作 于H,由角平分线的性质得到 .利用勾股定理求出 ,进而利 用等面积法求出 ,则 ,求出直线 解析式为 ,再求出对称轴为直线 ,由此 即可求出 ;②先求出 ,设 ,则 , ,分当 时, 当 时,两种情况根据相似三角形的性质建 立方程求解即可. 【详解】(1)解:设二次函数解析式为 , 把 代入 中得: ,解得 , ∴二次函数解析式为 ; (2)解:①过点E作 于H, ∵射线 平分 , , ∴ , ∵ 、 , ∴ , ∴ , ∵ , ∴ , ∴ , ∴ , ∴ , 设直线 解析式为 , ∴ , ∴ , ∴直线 解析式为 , ∵二次函数解析式为 , ∴对称轴为直线 , 在 中,当 时, , ∴ ;②∵ , ∴ , 设 , ∴ , , 当 时,则 , ∴ , ∴ , ∴ , 解得 或 (舍去), ∴ ; 当 时,则 , ∴ , ∴ , 解得 或 (舍去), ; 综上所述, 或 . 【点睛】本题主要考查了二次函数综合,相似三角形的性质,勾股定理,角平分线的性质,一次函数与几 何综合等等,利用分类讨论的思想求解是解题的关键. 51.(23-24九年级上·上海崇明·期末)已知在直角坐标平面 中,抛物线 经过点 三点.备 用图 (1)求该抛物线的表达式; (2)点D是点C关于抛物线对称轴对称的点,连接 ,将抛物线向下平移 个单位后,点D 落在点E处,过B、E两点的直线与线段 交于点F. ①如果 ,求 的值; ②如果 与 相似,求m的值. 【答案】(1) (2)① ;② 或 【分析】(1)利用待定系数法求解即可; (2)①先求出抛物线对称轴为直线 ,则 ,进而得到 ;求出直线 的解析式为 ,同理可得直线 的解析式为 ,进而求出 ;利用勾股定理求出 , , ,进而利用勾股定理的逆定理证明 是直角三角形,且 ,则 ;② 时,则此时点F与点A重合,则 与 重合,可得 ;当 时,则 ,如图所示,设直线 交x轴于G,则 ,推 出 ,得到 ,如图所示,取点 ,则 , , ,证明 是等腰直角三角形,得到 ,则点F在直线 上,同理可得直线 的解析式为 ,在 中,当 时, ,则 ,即可得到 ;综 上所述, 或 . 【详解】(1)解:把 代入 中,得: , ∴ , ∴抛物线解析式为 ; (2)解:①∵抛物线解析式为 , ∴抛物线对称轴为直线 , ∵点D是点C关于抛物线对称轴对称的点, ∴ , ∵将抛物线向下平移 个单位后,点D落在点E处,且 , ∴ ; 设直线 的解析式为 , ∴ , ∴ , ∴直线 的解析式为 , 同理可得直线 的解析式为 , 联立 , 解得 , ∴ ; ∴ , , , ∴ , ∴ 是直角三角形,且 , ∴ ;②当 时,则此时点F与点A重合,则 与 重合, ∴ ; 当 时,则 , 如图所示,设直线 交x轴于G,则 , ∴ , ∴ , ∴ , 如图所示,取点 ,则 , , , ∴ , ∴ 是等腰直角三角形, ∴ , ∴点F在直线 上, 同理可得直线 的解析式为 , 在 中,当 时, , ∴ , ∴ ; 综上所述, 或 .【点睛】本题主要考查了二次函数综合,相似三角形的性质,求角的正切值,勾股定理和勾股定理的逆定 理,一次函数与几何综合,坐标与图形变化—平移,等腰直角三角形的性质与判定等等,通过利用勾股定 理和勾股定理的逆定理证明直角三角形是解题的关键. 52.(23-24九年级上·山东青岛·期末)已知:如图,在矩形 中, ,点E为 边 的中点,连接 , 交 于点F.点P从点B出发,沿 方向匀速运动,速度为2cm/s; 同时,点Q从点A出发,沿 方问匀速运动,速度为3cm/s,当一个点停止运动时,另一个点也停止运 动.设运动时间为 .解答下列问题: (1)当t为何值时,点P在线段 的垂直平分线上? (2)连接 ,设五边形 的面积为 ,求y与t的函数关系式; (3)在运动过程中,是否存在某一时刻 ,使点Q在 的平分线上?若存在,求出t的值;若不存在, 请说明理由. 【答案】(1) (2) (3)存在,t的值是 . 【分析】(1)在 中,根据勾股定理,得 ,过P作 于 ,证明 , 根据相似三角形的性质即可求解; (2)根据相似三角形的性质求出 、 的长,由面积的和差即可得出S与t的关系式; (3)过Q作 于 ,若点 在 的平分线上,则 ,分别延长 、 相交于点 ,根据相似三角形的性质求出 ,从而得到 ,解 【详解】(1)解:∵ , ,点 为边CD的中点, ∴ , 在Rt△ECB中,根据勾股定理,得 , 过 作 于 , 若点 在线段 的垂直平分线上, 则 , , ∵ , ∵ , ∴ , ∴ , ∴ ,即 , ∴ , ∴当 时,点P在线段BQ的垂直平分线上; (2)解:∵四边形 是矩形, , ,点 为边CD的中点, ∴ , , , ∵ , ∴ , ∴ , ∴ , ∴ ,即 , ∴ , 由(1)知, , ∴ ,即 ,∴ , ∴五边形 的面积 ;, ∴y与t的函数式为: ; (3)过 作 于 若点Q在 的平分线上,则 ,分别延长 、 相交于点 , ∵四边形 是矩形, ∴ , ∴ , ∴ , ∴ , ∴ , ∵ , , ∴ , ∴ ,即 , ∴ , ∴ , 解得: . 答:存在,t的值是 . 【点睛】本题考查了矩形的性质、相似三角形的判定与性质、面积的计算等知识;解题关键是用速度时间表示线段长,根据题意列出方程或比例式. 53.(23-24九年级上·湖南常德·期末)综合与实践 如图,在 中, ,点P以每秒2个单位长度的速度从点A出发,沿 方向向终点B匀速运动,同时点Q以每秒1个单位长度的速度从点C出发,沿 方向向终点A匀速运动, 连接 .设运动的时间为t秒. (1)求 的长(用含t的代数式表示). (2)当 秒时,求 的面积. (3)如图2,连接 ,当 为直角三角形时,求所有满足条件t的值. 【答案】(1) (2)9 (3) 或 【分析】本题考查了勾股定理解直角三角形,相似三角形的性质与判定等知识,熟知相关知识并根据题意 添加适当辅助线构造直角三角形运用勾股定理或相似三角形是解题关键,第(3)步要注意分类讨论. (1)根据勾股定理求出 ,根据题意即可表示出 ; (2)作 ,根据题意得到 , ,证明 ,求出 ,根据三角形面 积公式即可求出 ; (3)先表示出 , , , ,分 和 两种情况, 分别根据勾股定理和相似三角形的判定和性质即可求解. 【详解】(1)解:在 中,由勾股定理可得 , 由题意可得: ,则 ; (2)解:如图,作 , 由题意可得: , , ∵ ,∴ , ∵ , ∴ , ∴ , 即 , 解得 , ; (3)解:由题意可得: , , , , ①如图2,当 时,根据勾股定理得 , , ∴ , ∴ 解得: ,符合题意; ②如图3,当 时,作 垂足为E, 由(1)得 , ∴ , 即 , ∴ , , ∴ . ∵ , ∴ , ∴ , ∴ , ,, 即 , 解得 , (不合题意,舍去). ∴ 或 . 54.(23-24九年级上·山东青岛·期末)在 中, ,动点 以 的速度从点 向点 运动;同时,动点 从点 出发,以 的速度向点 运动,动点 从点 出发,以 的速度向点 运动,当其中一个点运动停止时,其他点的运动也停止,运动时间为 .连接 . (1) 为何值时, ? (2)当 时,求 值; (3)如图1,沿 折叠 得到 ,是否存在某一时刻 ,使四边形 为菱形?若存在求出 值; 若不存在,请说明理由. 【答案】(1) 为 时, ; (2)当 或 时, ; (3) 的值 . 【分析】( )利用勾股定理求得 ,用 的代数式表示出线段 , , 的长度,利用平行线的判 定与性质得出比例式解答即可;( )过点 作 于点 , 得到 利用相似三角形的判定与性质求得 ,再利用三角形的面积公式得到关于 的方程,解方程即可得出结论; ( )过点 作 于点 ,过点 作 于点 ,利用菱形的性质和等腰三角形的性质得到 ,利用相似三角形的判定与性质得到关于 的比例式,解方程即可得出结论; 本题主要考查了等腰三角形的性质,直角三角形的性质,勾股定理,菱形的性质,相似三角形的判定与性 质,添加三角形的高线构造相似三角形是解题的关键. 【详解】(1)由题意得 , , , ∵ , , , ∴ , ∴ , ∴ , , , 当 , , ∴ , 解得: , ∴ 为 时, ; (2)由题意得: , , ∴ , 当 时, 则 , 过点 作 于点 ,如图, ∵ , , ∴ , ∴ , ∴ ,∴ , ∴ , ∴ , ∴ , 解得: 或 , ∴当 或 时, ; (3)沿 折叠, 得到 ,存在某一时刻 ,使四边形 为菱形, 值为 理由: 过点 作 于点 ,过点 作 于点 ,如图, 由题意得: , , ∴ , ∵沿 折叠 得到 , ∴ , 若四边形 为菱形,只需 , ∵ , , ∴ , ∵ ∴ , ∴ , ∴ , ∵ , , ∴ , ∴ ,∴ , ∴ , ∴ , ∴沿 折叠 得到 ,四边形 为菱形时 的值 . 55.(23-24九年级上·山东青岛·期末)如图,在 中, ,点 从点 出发,沿折线 以 速度向点 运动,同时点 从点 出发,沿 方向以 的速度向 点 运动,点 到达点 时,点 同时停止运动,当点 不与 重合时,作点 关于直线 的对 称点 ,连接 交 于点 ,连接 .设运动时间为 . 备用图 (1)当 为何值时, ? (2)设 的面积为 ,求 与 的函数关系式并写出 的取值范围; (3)当 为何值时, 为直角三角形? 【答案】(1) (2) (3) 或 【分析】(1)当 时,得 ,则 ,代入计算即可; (2)根据点 ,点 关于直线 的对称,得到 ,证明 ,由三角形相似得到 的长,再求出 的代数式,根据 代入化简即可; (3)分点M在 上或点M在 上,由轴对称性知, 是等腰三角形,从而点D为直角顶点,利 用三角函数表示出 和 的长,进而解决问题.【详解】(1)解:在 中,由勾股定理得, , 当 时, ∴ , ∴ , ∴ , 解得 , ∴ 时, ; (2)解: 点 ,点 关于直线 的对称, , , , , , , ∴ , , , , , , ; (3)解:∵点N是点M关于直线 的对称点, ∴ , ∴ 为等腰三角形, ∴当 为直角三角形时, ,∴ , ∵ , ∴此时 为等腰直角三角形, 即 , ①如图,当M在 上运动时,此时 , ∵ , ∴ , , ∴ , , , ∵ , ∴ , ∴ ,符合题意, ②如图,当M在 上运动时,此时 ,∵ , ∴ , ∴ , ∴ , ∴ , , ∴ , ∵ , ∴ , ∴ ,符合题意, 综上所述,当 或 时, 为直角三角形. 【点睛】本题是相似形综合题,主要考查了相似三角形的判定与性质,轴对称的性质,熟练利用相似三角 形的性质表示线段的长是解题的关键. 56.(24-25九年级上·广东广州·期末)如图,在矩形 中, , ,点 、 、 分别从点 、 、 三点同时出发,沿矩形的边按逆时针方向移动,点 、 的速度均为 ,点 的 速度为 ,当点 追上点 (即点 与点 重合)时,三个点随之停止移动.设移动开始后第 秒时, 的面积为(1)当 秒时, 的值是多少? (2)写出 和 之间的函数解析式,并指出自变量 的取值范围; (3)若点 在矩形的边 上移动,当 为何值时,以点 、 、 为顶点的三角形与以点 、 、 为顶 点的三角形相似?请说明理由. 【答案】(1)24 (2) (3) 为 或 ,理由见解析 【分析】本题考查相似三角形综合应用,矩形的性质,函数关系式; (1)当 秒时, , , ,根据 , ,可得 , , , ,即可得 ; (2)分两种情况:①当 在 上,即 时, ;②当 在 上时, 由 解得 ,故此时 , ; (3)由 ,知以点 、 、 为顶点的三角形与以点 、 、 为顶点的三角形相似,只需 或 ,当 时, ,得 ,当 时, ,得 . 【详解】(1)解:当 秒时, , , , 矩形 中, , , , , , , , , , , 的值是24; (2)解:①当 在 上,即 时,如图:, , , , , , ; ②当 在 上时,由 解得 , 追上 所用时间是 , 此时 , 如图: , , , , 综上所述, ; (3)解:如图: , 以点 、 、 为顶点的三角形与以点 、 、 为顶点的三角形相似,只需 或 , 当 时, ,解得 , 当 时, , 解得 , 综上所述,当 为 或 时,以点 、 、 为顶点的三角形与以点 、 、 为顶点的三角形相似. 57.(24-25九年级上·辽宁大连·期末) , 于 , , , ,点 沿 射线 方向一直运动,将点 绕点 逆时针旋转90°得到点 ( 在射线 上),点 与点 关于点 成中心对称(点 在射线DB上),连接 、 、 得到 . (1)求 的长; (2)在点 的运动过程中,设 , 与 的重叠部分面积为 ,求 与 的函数关系式. 【答案】(1) (2) 【分析】本题考查解直角三角形及二次函数与图形动点问题,相似三角形的性质与判定. (1)解直角三角形求出 , 即可解决问题; (2)分三种情形:①如图1中,当 时,重叠部分是 ;②如图2中,当 时,重叠部 分是四边形 ;③当 时,重叠部分是 ;分别求解即可解决问题. 【详解】(1)解: , , , , , , , ; (2)∵将点 绕点 逆时针旋转90°得到点 ( 在射线 上),点 与点 关于点 成中心对称(点 在射线 上), ∴ ∴ 是等腰直角三角形,则 是等腰直角三角形,①如图1中,当 时,重叠部分是 , ; ②如图2中,当 时,重叠部分是四边形 ; 作 交 的延长线于 ,作 于 , ∴ ,则 , ∵ , , ∴ ∴ , , ∴ , , , , , , ∴ , , , ; ③当 时,重叠部分是 , ,综上所述, . 58.(23-24九年级上·北京海淀·期末)在平面直角坐标系 中,将中心为 的正方形记作正方形 ,对 于正方形 和点 (不与 重合)给出如下定义:若正方形 的边上存在点 ,使得直线 与以 为半 径的 相切于点 ,则称点 为正方形 的“伴随切点”. (1)如图、正方形 的顶点分别为点 , ,B(4,0), . ①在点 , , 中,正方形 的“伴随切点”是 ; ②若直线 上存在正方形 的“伴随切点”,求 的取值范围; (2)已知点 ,正方形 的边长为 .若存在正方形 的两个“伴随切点” , ,使得 为等 边三角形,直接写出 的取值范围. 【答案】(1)① ;② 或 (2) 或 【分析】(1)①根据新定义,即可求解; ②分 , 时,分别讨论,设直线 与坐标轴分别交于点 ,作 交 轴于点 , 过点 作 于点 ,则 ,根据 ,即可得出 的范围; (2)依题意, ,进而得出 ,即 ,解一元二次方程,结合图形, 即可求解. 【详解】(1)解:①正方形 的顶点分别为点 , ,B(4,0), ∴ , 则正方形 的边长为 ,对角线长为∴ , ∵ ,即 到 的距离为 , 而 到 的距离小于 , ∴在点 , , 中,正方形 的“伴随切点”是 , 故答案为: . ②解:由①可得 , 如图所示,当 时 设直线 与坐标轴分别交于点 ,作 交 轴于点 ,过点 作 于点 ∴ , , ∵ , ∴ ∴ 当 时, ∴ 解得: 或 (舍去) 当 时,则 ,解得: , ∵ ∴ 当 时,如图所示,过点 作 于点 ,∵ , ∴ ∴ 当 时, ∴ 解得: 当 时,则 ,解得: , ∴ ; 综上所述, 或 ; (2)解:∵点 ,正方形 的边长为 . ∴ ` ∴ ,当点 在 上时取得等于号, ∵ 为等边三角形, 为正方形的中心,则 ∴ ∴ ,则 ∴ ∵ ,即 ∴当 ,解得: 或当 ,解得: 或 ∴ 的解集为: 或 . ∴ 或 . 【点睛】本题考查了新定义,相似三角形的性质与判定,切线的性质,正方形的性质,勾股定理,解一元 二次方程,理解新定义是解题的关键. 59.(23-24九年级上·山东青岛·期末)如图①,已知在 中, cm, cm,以 为边 作正方形 ,点P从点B出发,沿 方向匀速运动,速度为1cm/s;同时,点Q从点A出发,沿 方向匀速运动,速度为2cm/s,点M从点A出发,沿 方向匀速运动,速度为1cm/s;当一个点停止运动, 另外两个点也停止运动.分别连接 , .设运动时间为t(s)( ),解答下列问题: (1)是否存在某一时刻t,使点P在 的垂直平分线上?若存在,求出t的值;若不存在,说明理由. (2)当t为何值时, 为等腰三角形? (3)如图②,连接MQ,设四边形 的面积为y(cm2),求y与t之间的函数关系式. (4)当 时,求t的值. 【答案】(1)不存在,见解析 (2) 或 (3) (4)【分析】(1)根据线段垂直平分线性质,列方程求解即可; (2)如图1,根据等腰三角形性质,分别当B点、P点、Q点为顶点时,列方程求解; (3)如图2,过点Q作 于点G,先 ,再 ,最 后 ,得到y与t之间的函数关系; (4)根据图1, ,求得 , ,再 ,解得t值. 【详解】(1)解:假设存在点P在 的垂直平分线上,连接 , ∵点P在 的垂直平分线上, , , 又 解得: , , 故 都不符合题意,舍去; 答:不存在. (2) , 当 时, 解得: ; 当 时, 如图1,过点Q作 于点F, , , , 又 , , 解得: ; 当 时,如图1,过点P作 于点H,, , , , ; , 解得: ; 答:t的值为 或 时, 为等腰三角形. 图1 (3)如图2,过点Q作 于点G, , ; 又即 . 图2 (4)如图1, , , , , , 同理, ; , , 解得: . 【点睛】本题是一道有关相似的综合题,涉及到段垂直平分线性质、相似三角形的判定与性质、等腰三角 形、勾股定理不规则图形面积的求法等知识;根据题意作出辅助线,构造直角三角形是解题的关键. 60.(23-24九年级上·吉林·期末)如图①,在 中, , , ,直线 于点 ,分别交 , 于点 , .点 从点 出发,沿 以每秒 个单位长度的速度向终点 运 动.同时直线 从点A出发,沿 以每秒1个单位长度的速度向终点 运动.以 为边向下作正方形 ,连接 ,点 的运动时间为 秒. (1) 的长为______个单位长度.(2)当点 落在直线 上时,求 的值. (3)设正方形 与四边形 重叠部分图形的面积为 ,求 与 之间的函数关系式. (4)如图②,连接 , ,设 的面积与正方形 的面积比为 .当 时,直接写出 的 取值范围. 【答案】(1)5 (2) (3) (4) 或 【分析】(1)根据 中, , , ,运用勾股定理求出 的长; (2)当点 落在直线 上时,证明四边形 是矩形,求出 ,根据 ,运用 建立方程,解方程即得; (3)当 时,设 交 于点H,证明四边形 是平行四边形,得到 ,证 明 ,求出 ,运用 即得;当 时,设 交 于点Q,根据 , , 的长求出 , ,运用 即得; (4)设 交射线 于点R,过点P作 延长线于点K,得到四边形 是矩形,当 在 上面时,求出 ,得到 ,根据 ,得到 , 求出 ;当 在 下面时,求出 ,推出 ,得到 , 推出 . 【详解】(1)∵在 中, , , , ∴ , ∴ ; 故答案为:5; (2)当点 落在直线 上时,∵四边形 是正方形, , , ∴ , ∴四边形 是矩形, ∴ , ∵ , ∴ , ∴ , ∵ , , ∴ , ∴ , ∵ , ∴ , ∴ , ∴ , ∵ , , ∴ , 解得, ; (3)当 时,设 交 于点H, 由(2)知, , , ∴四边形 是平行四边形, ∴ , ∵ ,∴ , ∴ , ∴ , ∴ , ∴ ; 当 时, 设 交 于点Q, ∵ , ∴ , ∵ , ∴ ; 故 ; (4)设 交射线 于点R,过点P作 ,交 延长线于点K, 则 , ∴四边形 是矩形, ∴ , 当 在 上方时, , ∴ ,∵ , ∴ , ∵ , ∴ , 解得, ; 当 在 下方时, ∵ , ∴ , ∴ , ∴ , 解得, . 故 或 . 【点睛】本题主要考查了三角形,四边形,相似三角形,二次函数与动态几何.熟练掌握勾股定理解直角 三角形,正方形性质,相似三角形的判定和性质,平行四边形的判定和性质,矩形的判定和性质,三角形 面积公式和梯形面积公式,二次函数与几何结合,分类讨论,是解决问题的关键.