当前位置:首页>文档>培优03一次函数实际应用问题(6大题型)(北师大2024)(原卷版)_北师大初中数学_8上-北师大版初中数学_初中数学北师大8上-2025秋季新版_第二套推荐25_07习题试卷_专项训练_第2套

培优03一次函数实际应用问题(6大题型)(北师大2024)(原卷版)_北师大初中数学_8上-北师大版初中数学_初中数学北师大8上-2025秋季新版_第二套推荐25_07习题试卷_专项训练_第2套

  • 2026-04-14 03:01:52 2026-04-14 02:22:44

文档预览

培优03一次函数实际应用问题(6大题型)(北师大2024)(原卷版)_北师大初中数学_8上-北师大版初中数学_初中数学北师大8上-2025秋季新版_第二套推荐25_07习题试卷_专项训练_第2套
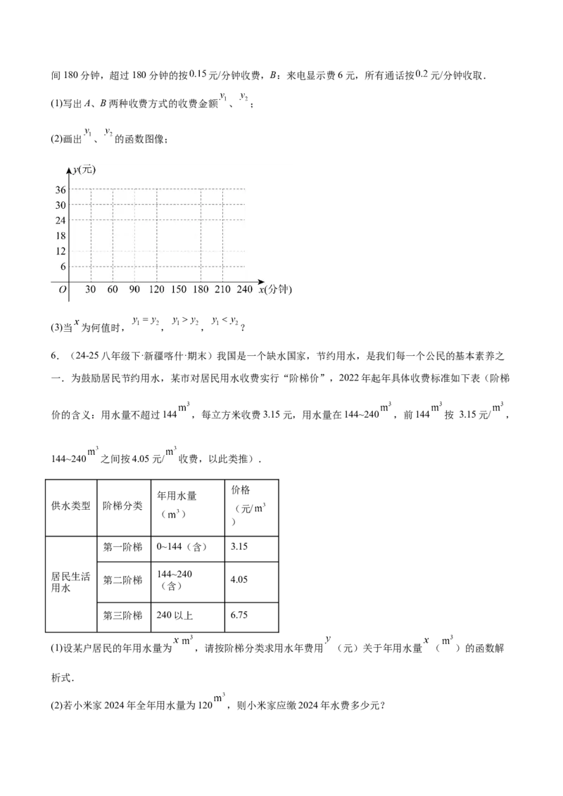
培优03一次函数实际应用问题(6大题型)(北师大2024)(原卷版)_北师大初中数学_8上-北师大版初中数学_初中数学北师大8上-2025秋季新版_第二套推荐25_07习题试卷_专项训练_第2套
培优03一次函数实际应用问题(6大题型)(北师大2024)(原卷版)_北师大初中数学_8上-北师大版初中数学_初中数学北师大8上-2025秋季新版_第二套推荐25_07习题试卷_专项训练_第2套
培优03一次函数实际应用问题(6大题型)(北师大2024)(原卷版)_北师大初中数学_8上-北师大版初中数学_初中数学北师大8上-2025秋季新版_第二套推荐25_07习题试卷_专项训练_第2套
培优03一次函数实际应用问题(6大题型)(北师大2024)(原卷版)_北师大初中数学_8上-北师大版初中数学_初中数学北师大8上-2025秋季新版_第二套推荐25_07习题试卷_专项训练_第2套
培优03一次函数实际应用问题(6大题型)(北师大2024)(原卷版)_北师大初中数学_8上-北师大版初中数学_初中数学北师大8上-2025秋季新版_第二套推荐25_07习题试卷_专项训练_第2套
培优03一次函数实际应用问题(6大题型)(北师大2024)(原卷版)_北师大初中数学_8上-北师大版初中数学_初中数学北师大8上-2025秋季新版_第二套推荐25_07习题试卷_专项训练_第2套
培优03一次函数实际应用问题(6大题型)(北师大2024)(原卷版)_北师大初中数学_8上-北师大版初中数学_初中数学北师大8上-2025秋季新版_第二套推荐25_07习题试卷_专项训练_第2套
培优03一次函数实际应用问题(6大题型)(北师大2024)(原卷版)_北师大初中数学_8上-北师大版初中数学_初中数学北师大8上-2025秋季新版_第二套推荐25_07习题试卷_专项训练_第2套
培优03一次函数实际应用问题(6大题型)(北师大2024)(原卷版)_北师大初中数学_8上-北师大版初中数学_初中数学北师大8上-2025秋季新版_第二套推荐25_07习题试卷_专项训练_第2套
培优03一次函数实际应用问题(6大题型)(北师大2024)(原卷版)_北师大初中数学_8上-北师大版初中数学_初中数学北师大8上-2025秋季新版_第二套推荐25_07习题试卷_专项训练_第2套
培优03一次函数实际应用问题(6大题型)(北师大2024)(原卷版)_北师大初中数学_8上-北师大版初中数学_初中数学北师大8上-2025秋季新版_第二套推荐25_07习题试卷_专项训练_第2套
培优03一次函数实际应用问题(6大题型)(北师大2024)(原卷版)_北师大初中数学_8上-北师大版初中数学_初中数学北师大8上-2025秋季新版_第二套推荐25_07习题试卷_专项训练_第2套
培优03一次函数实际应用问题(6大题型)(北师大2024)(原卷版)_北师大初中数学_8上-北师大版初中数学_初中数学北师大8上-2025秋季新版_第二套推荐25_07习题试卷_专项训练_第2套
培优03一次函数实际应用问题(6大题型)(北师大2024)(原卷版)_北师大初中数学_8上-北师大版初中数学_初中数学北师大8上-2025秋季新版_第二套推荐25_07习题试卷_专项训练_第2套
培优03一次函数实际应用问题(6大题型)(北师大2024)(原卷版)_北师大初中数学_8上-北师大版初中数学_初中数学北师大8上-2025秋季新版_第二套推荐25_07习题试卷_专项训练_第2套
培优03一次函数实际应用问题(6大题型)(北师大2024)(原卷版)_北师大初中数学_8上-北师大版初中数学_初中数学北师大8上-2025秋季新版_第二套推荐25_07习题试卷_专项训练_第2套
培优03一次函数实际应用问题(6大题型)(北师大2024)(原卷版)_北师大初中数学_8上-北师大版初中数学_初中数学北师大8上-2025秋季新版_第二套推荐25_07习题试卷_专项训练_第2套
培优03一次函数实际应用问题(6大题型)(北师大2024)(原卷版)_北师大初中数学_8上-北师大版初中数学_初中数学北师大8上-2025秋季新版_第二套推荐25_07习题试卷_专项训练_第2套
培优03一次函数实际应用问题(6大题型)(北师大2024)(原卷版)_北师大初中数学_8上-北师大版初中数学_初中数学北师大8上-2025秋季新版_第二套推荐25_07习题试卷_专项训练_第2套
培优03一次函数实际应用问题(6大题型)(北师大2024)(原卷版)_北师大初中数学_8上-北师大版初中数学_初中数学北师大8上-2025秋季新版_第二套推荐25_07习题试卷_专项训练_第2套
培优03一次函数实际应用问题(6大题型)(北师大2024)(原卷版)_北师大初中数学_8上-北师大版初中数学_初中数学北师大8上-2025秋季新版_第二套推荐25_07习题试卷_专项训练_第2套
培优03一次函数实际应用问题(6大题型)(北师大2024)(原卷版)_北师大初中数学_8上-北师大版初中数学_初中数学北师大8上-2025秋季新版_第二套推荐25_07习题试卷_专项训练_第2套
培优03一次函数实际应用问题(6大题型)(北师大2024)(原卷版)_北师大初中数学_8上-北师大版初中数学_初中数学北师大8上-2025秋季新版_第二套推荐25_07习题试卷_专项训练_第2套
培优03一次函数实际应用问题(6大题型)(北师大2024)(原卷版)_北师大初中数学_8上-北师大版初中数学_初中数学北师大8上-2025秋季新版_第二套推荐25_07习题试卷_专项训练_第2套
培优03一次函数实际应用问题(6大题型)(北师大2024)(原卷版)_北师大初中数学_8上-北师大版初中数学_初中数学北师大8上-2025秋季新版_第二套推荐25_07习题试卷_专项训练_第2套
培优03一次函数实际应用问题(6大题型)(北师大2024)(原卷版)_北师大初中数学_8上-北师大版初中数学_初中数学北师大8上-2025秋季新版_第二套推荐25_07习题试卷_专项训练_第2套
培优03一次函数实际应用问题(6大题型)(北师大2024)(原卷版)_北师大初中数学_8上-北师大版初中数学_初中数学北师大8上-2025秋季新版_第二套推荐25_07习题试卷_专项训练_第2套
培优03一次函数实际应用问题(6大题型)(北师大2024)(原卷版)_北师大初中数学_8上-北师大版初中数学_初中数学北师大8上-2025秋季新版_第二套推荐25_07习题试卷_专项训练_第2套
培优03一次函数实际应用问题(6大题型)(北师大2024)(原卷版)_北师大初中数学_8上-北师大版初中数学_初中数学北师大8上-2025秋季新版_第二套推荐25_07习题试卷_专项训练_第2套
培优03一次函数实际应用问题(6大题型)(北师大2024)(原卷版)_北师大初中数学_8上-北师大版初中数学_初中数学北师大8上-2025秋季新版_第二套推荐25_07习题试卷_专项训练_第2套
培优03一次函数实际应用问题(6大题型)(北师大2024)(原卷版)_北师大初中数学_8上-北师大版初中数学_初中数学北师大8上-2025秋季新版_第二套推荐25_07习题试卷_专项训练_第2套
培优03一次函数实际应用问题(6大题型)(北师大2024)(原卷版)_北师大初中数学_8上-北师大版初中数学_初中数学北师大8上-2025秋季新版_第二套推荐25_07习题试卷_专项训练_第2套
培优03一次函数实际应用问题(6大题型)(北师大2024)(原卷版)_北师大初中数学_8上-北师大版初中数学_初中数学北师大8上-2025秋季新版_第二套推荐25_07习题试卷_专项训练_第2套
培优03一次函数实际应用问题(6大题型)(北师大2024)(原卷版)_北师大初中数学_8上-北师大版初中数学_初中数学北师大8上-2025秋季新版_第二套推荐25_07习题试卷_专项训练_第2套
培优03一次函数实际应用问题(6大题型)(北师大2024)(原卷版)_北师大初中数学_8上-北师大版初中数学_初中数学北师大8上-2025秋季新版_第二套推荐25_07习题试卷_专项训练_第2套
培优03一次函数实际应用问题(6大题型)(北师大2024)(原卷版)_北师大初中数学_8上-北师大版初中数学_初中数学北师大8上-2025秋季新版_第二套推荐25_07习题试卷_专项训练_第2套
培优03一次函数实际应用问题(6大题型)(北师大2024)(原卷版)_北师大初中数学_8上-北师大版初中数学_初中数学北师大8上-2025秋季新版_第二套推荐25_07习题试卷_专项训练_第2套
培优03一次函数实际应用问题(6大题型)(北师大2024)(原卷版)_北师大初中数学_8上-北师大版初中数学_初中数学北师大8上-2025秋季新版_第二套推荐25_07习题试卷_专项训练_第2套

文档信息

文档格式
docx
文档大小
7.565 MB
文档页数
35 页
上传时间
2026-04-14 02:22:44

文档内容

培优 03 一次函数实际应用问题(六大题型) 题型1 一次函数应用--分段计费 关键在于识别计费转折点,分段建立函数模型;先确定各段的自变量取值范围,再分别写出 每段的一次函数解析式(通常为y=kx+b形式);最后根据给定的自变量值判断所属区间, 代入对应解析式计算。需注意段与段之间的衔接点通常包含在某一区间内. 1.(24-25八年级下·河北唐山·阶段练习)瓦房店市许屯镇拥有百余年的苹果生产历史,镇上的万亩苹果 进入了成熟季.小李想在许屯镇某果园购买一些苹果,经了解该果园苹果的定价为5元/斤,如果一次性购 买15斤以上,超过15斤部分的苹果的价格打8折.设小李在该果园购买苹果x斤,付款金额为y元,则y 与x之间的函数关系式为 . 2.(2025·陕西商洛·模拟预测)今年雨水稀少,土地干旱,对我国多个地区产生显著影响为了加强居民的 节约用水意识,某市制订了每月用水12吨以内(包括12吨)和用水12吨以上两种收费标准某用户每月应 交水费y(元)与用水量x(吨)的函数图象如图所示.(1)若该用户每月用水量都超过12吨,求该用户每月应交水费y(元)与用水量x(吨)的函数表达式; (2)若该用户5月交水费63元,则该用户5月用了多少吨水? 3.(24-25九年级下·陕西咸阳·期末)某市为了节约用水,采用分段收费标准.设居民每月应交水费为 元 ,用水量为 立方米 用水量 立方米 收费 元 不超过10立方米 每立方米2元 超过10立方米 超过的部分每立方米3元 (1)写出每月用水量不超过10立方米和超过10立方米时,水费与用水量之间的关系式; (2)若某户居民某月交水费26元,则该户居民用水多少立方米? 4.(24-25八年级下·山东青岛·期末)小明需要寄送一批包裹,现了解到A、B两个快递公司的收费标准如 下表: 首重费用 续重费用 A公司 包裹重量 ,收费12元 超过 ,每增加 加收3元(不足 按 计算) B公司 统一收费 无论重量,均按5元 计算,最低收费10元(即不足 也按10元计算) 设小明需要寄送包裹的重量为 ( ). (1)若小明寄送包裹的重量为 ,A公司的收费为_______元,B公司的收费为_______元; (2)若小明寄送包裹的重量超过 ,则他去哪个公司寄送更划算? 5.(22-23八年级下·四川广安·阶段练习)某移动公司有两种电话收费方式:A:30元套餐,包含通话时间180分钟,超过180分钟的按 元/分钟收费,B:来电显示费6元,所有通话按 元/分钟收取. (1)写出A、B两种收费方式的收费金额 、 ; (2)画出 、 的函数图像; (3)当 为何值时, , , ? 6.(24-25八年级下·新疆喀什·期末)我国是一个缺水国家,节约用水,是我们每一个公民的基本素养之 一.为鼓励居民节约用水,某市对居民用水收费实行“阶梯价”,2022年起年具体收费标准如下表(阶梯 价的含义:用水量不超过144 ,每立方米收费3.15元,用水量在144~240 ,前144 按 3.15元/ , 144~240 之间按4.05元/ 收费,以此类推). 价格 年用水量 供水类型 阶梯分类 (元/ ( ) ) 第一阶梯 0~144(含) 3.15 居民生活 144~240 第二阶梯 4.05 用水 (含) 第三阶梯 240以上 6.75 (1)设某户居民的年用水量为 ,请按阶梯分类求用水年费用 (元)关于年用水量 ( )的函数解 析式. (2)若小米家2024年全年用水量为120 ,则小米家应缴2024年水费多少元?(3)若小乐家2024年缴水费814.05元,求小乐家2024年全年用水量. 题型2 一次函数应用--行程问题 通过"s-t"图象解决:纵轴表路程(s),横轴表时间(t)。图象斜率表示速度(k=Δs/Δt);交点 表示相遇时刻。需仔细分析图象的起点、拐点、交点含义,区分相遇、追及、停留等情景, 结合函数解析式求解. 7.(24-25八年级下·浙江台州·阶段练习)某景区内有A,B,C三个景点(如图1).小明从A景点出发, 步行去C景点,共用时50分钟;同时,小丽以每分钟70米的速度从B景点出发,步行到达A景点,休息 10分钟后,小丽改成骑电动车去C景点,结果小丽比小明早5分钟到达C景点.两人行走时均为匀速运动, 设小明步行的时间为t(分),两人各自距A景点的路程s(米)与t(分)之间的函数图象如图2所示. (1)求m的值,并说出m的实际意义. (2)求小丽骑车时距A景点的路程s(米)与t(分)之间的函数解析式(写出t的取值范围). 8.(24-25八年级下·湖南长沙·期末)周末,小轩和家人们去爬张家山锻炼身体,刚开始小轩精力充沛, 爬山的速度比较快,爬了30分钟后,开始体力不支,于是减速爬到山顶.他距山脚出发地的路程s(米) 与登山时间t(分钟)之间的函数关系如图所示. (1)小轩减速前的速度为 米/分钟; (2)求小轩减速后s与t之间的函数关系式; (3)当小轩爬了40分钟时,他距离山脚出发地的路程是多少米?9.(24-25八年级下·吉林长春·期末)已知 两地之间距离600千米.甲车从 地出发匀速开往 地, 甲车出发半小时后,乙车从 地出发沿同一路线匀速追赶甲车,两车相遇后,乙车原路原速返回 地.两 车之间的距离 (千米)与甲车行驶时间 (小时)之间的函数关系如图所示,请解答下列问题: (1)甲车的速度是_____千米/时,乙车的速度是_____千米/时, _____; (2)求乙车返回过程中, 与 之间的函数关系式; (3)当甲、乙两车相距240千米时,直接写出甲车的行驶时间. 10.(24-25八年级下·吉林长春·期末)“五·一”长假,小王与小叶相约分别驾车从长春出发,沿同一路 线驶往距长春 的甲地旅游.小王由于有事临时耽搁,比小叶晚出发1.25小时.而小叶的汽车中途发 生故障,等排除故障后,立即加速赶往甲地.若从小叶出发开始计时,图中的折线 、线段 分别表示小叶、小王两人到长春的距离 、 与时间 之间的函数关系. (1)求直线 的函数解析式. (2)求小王和小叶第二次相遇的时间为 小时. (3)为了保证及时联络,小王、小叶在第一次相遇时约定此后两车之间的距离不超过 ,直接写出他们 实际的行驶过程是否符合约定. 11.(24-25八年级下·陕西安康·期末)随着人工智能的发展,智能机器人警察已经陆续出现、图1是机器人警官安安和麦克,他们从街头A处出发,准备前往相距450米的B处(A,B在同一直线上)巡逻,安安 警官比麦克警官先出发,且速度保持不变,麦克警官出发一段时间后将速度提高到原来的2倍.已知安安 警官、麦克警官行走的路程 (米), (米)与安安警官行走的时间x(秒)之间的函数关系图象如图 2所示. (1)如图2,折线①表示______警官行走的路程与时间的函数图象(填“安安”或“麦克”); (2)求麦克警官提速后的速度,并求m,n的值; (3)求折线①中线段 所在直线的函数解析式; (4)请直接写出安安警官和麦克警官之间的距离不超过120米的时长. 12.(2025·江苏宿迁·中考真题)甲、乙两人从同一地点 出发沿同一路线匀速步行前往 处参加活动. 甲比乙早出发 ,两人途中均未休息,先到达 处的人在原地休息等待,直到另一人到达 处.两人 之间的路程 与甲行走的时间 的函数图像如图所示. (1)乙步行的速度为___________ 之间的路程为___________ ; (2)当 时,求 关于 的函数表达式; (3)甲出发多长时间时,两人之间的路程为 . 13.(24-25八年级下·河北邢台·期末)随着人工智能的发展,智能机器人警察已经陆续出现.图1是机器 人警官安安和麦克,他们从街头A处出发,准备前往相距450米的B处(A,B在同一直线上)巡逻,安安警官比麦克警官先出发,且速度保持不变,麦克警官出发一段时间后将速度提高到原来的2倍、已知安安 警官、麦克警官行走的路程 (米), (米)与安安警官行走的时间 (秒)之间的函数关系图象如图 2所示. (1)如图2,折线①表示___________警官行走的路程与时间的函数图象(填“安安”或“表克”); (2)求麦克警官提速后的速度,并求m,n的值; (3)求折线①中线段 所在直线的函数解析式; (4)请直接写出安安警官和麦克警官之间的距离不超过120米的时长. 14.(24-25八年级上·江苏淮安·期末)物理实验课上,小明做“小球反弹实验”,如图①所示桌面 长 为 ,小球 与木块 (大小、厚度忽略不计)同时从 出发向 沿直线路径做匀速运动,速度较快 的小球 到达 处的挡板 后被弹回(忽略转向时间),沿原来路径和速度返回,遇到木块 后又被反弹向 挡板 ,如此反复,直到木块 到达 ,同时停止.设小球的运动时间为 ,木块 与小球之间的距离为 ,图②是 与 的部分函数关系图像,结合图像回答下列问题. (1)小球 第一次到达挡板 的时间是______s,小球 的速度为______ ,木块 的速度为______ ; (2)小球 第一次返回时,求 与 的函数关系式; (3)当小球 从出发至第一次 、 相遇时,小球 与木块 距离为 时,直接写出 的值为______ .15.(24-25八年级下·吉林·期末)江南公园,位于吉林省吉林市丰满区世纪广场西侧,是集游乐场、动物 园、植物园于一体的综合性公园.琦琦和然然在江南公园游玩,两人同时从吉林市陶瓷博物馆出发,沿相 同的路线游览到游乐场游玩,路线如图所示. 记录得到以下信息: a. 琦琦和然然从吉林市陶瓷博物馆出发行走的路程 和 (单位: )与游览时间 (单位: ) 的对应关系如下图: b. 在琦琦和然然的这条游览路线上,依次有4个景点,从吉林市陶瓷博物馆到这4个景点的路程如下表: 园中 白鸽广 海豹 猴 景点 园 场 池 山 路程( 1 2 2.5 3 ) 根据以上信息,回答下列问题: (1)在这条游览路线上,吉林市陶瓷博物馆到游乐场的路程为___________ ; (2)琦琦和然然在游览过程中,除吉林市陶瓷博物馆和游乐场外,在___________相遇(填写景点名称), 此时距出发经过了___________ ; (3)下面有三个推断: ①然然从园中园到游乐场游览的过程中,平均速度是 ; ②然然比琦琦晚到达游乐场 ; ③ 时,琦琦比然然多走了 . 所有合理推断的序号是___________.(4)求然然离开白鸽广场到游乐场时 对应的函数解析式,标出自变量 的取值范围; (5)当琦琦和然然相距 时,直接写出游览时间 的值:___________. 题型3 一次函数应用--分配方案问题 建立目标函数(如总费用y)与决策变量x间的函数关系y=kx+b;结合限制条件确定x的取 值范围。根据k的符号判断函数的增减性:k>0时y随x增大而增大,取x最小值时y最 小;k<0时取x最大值时y最小。最终在取值范围内确定最优解. 16.(24-25八年级上·四川成都·期末)A、B两种品牌的共享电动车收费(元)与骑行时间( )的函 数关系如图所示,其中A品牌收费方式为 ,B品牌的收费方式为 . (1)分别求出 与x的函数关系式; (2)已知两种品牌共享电动车的平均行驶速度均为 .小明可骑A品牌或B品牌电动车去上班,若小 明家到单位的距离为 ,那么小明选择哪个品牌的共享电动车更省钱? 17.(24-25八年级下·河南安阳·阶段练习)“工欲善其事,必先利其器”.某校为开好劳动教育课准备购 置一批劳动工具,学校与店主商量后,店主给出了以下两种购买方案(二选一): 方案一劳动工具 元 件,运费 方案二劳动工具 元 件,免费送货上 元; 门. 若学校购买 件劳动工具,按方案一购买的付款总金额为 元,按方案二购买的付款总金额为 元. (1)请分别写出 与 之间的函数解析式; (2)请你为该学校选择合适的购买方案. 18.(24-25八年级下·河南郑州·阶段练习)随着端午节的临近, , 两家超市开展促销活动,各自推出不同购物优惠方案,如表: 超市 超市 优惠方 所有商品按七五折出售 购物金额每满100元返40元 案 (1)当购物金额为90元时,选择______超市(填“ ”或“ ”)更省钱;当购物金额为120元时,选择 ______超市(填“ ”或“ ”)更省钱; (2)当购物金额为 元时,请分别写出它们的实付金额 (元)与购物金额 (元)之间的函数 表达式,并说明促销期间如何选择这两家超市去购物更省钱? 19.(24-25八年级下·黑龙江绥化·阶段练习)为了贯彻落实市政府提出的“精准扶贫”精神,某县特制定 了一系列关于帮扶A,B两贫困村的计划.现决定从某地运送256箱鱼苗到A,B两村养殖,若用大、小 货车共18辆,则恰好能一次性运完这批鱼苗.已知这两种大、小货车的载货量分别为16箱/辆和12箱/辆, 其运往A,B两村的运费如下表: A村 (元/辆) B村 (元/辆) 大货车 600 700 小货车 400 600 (1)这18辆车中大、小货车各多少辆? (2)现安排其中9辆货车前往A村,其余前往B村,设前往A村的大货车为m辆,前往A,B两村的总费用 为 元,试求出 与m的函数解析式; (3)在(2)的条件下,若运往A村的鱼苗不少于130箱,请你写出使总费用最少的货车调配方案,并求出 最少费用. 20.(25-26八年级上·全国·随堂练习)周末,小丽和爸爸、妈妈一家三口去杨梅园游玩.已知该杨梅园内 的杨梅单价是每千克40元.为满足游客需求,该杨梅园现推出两种不同的销售方案: 甲方案:游客进园需购买30元的门票,采摘的杨梅按原价的六折收费; 乙方案:游客进园不需要购买门票,采摘的杨梅质量在10千克以内按原价收费,超过10千克后,超过部 分按原价的五折收费. 设采摘量为 千克,按甲方案所需总费用为 元,按乙方案所需总费用为 元. (1)当采摘量超过10千克时,分别求出 , 与 之间的函数关系式; (2)当采摘多少千克时,两种方案的价格相同?(3)若采摘量为30千克,选择哪种方案更划算?请说明理由. 21.(24-25九年级下·河南信阳·阶段练习)某家用电器厂生产一种电饭煲和一种电热水壶,电饭煲每个定 价200元,电热水壶每个定价60元.厂方在开展促销活动期间,向客户提供以下两种优惠方案. 方案一:每买一个电饭煲就赠送一个电热水壶; 方案二:电饭煲和电热水壶都按定价的 付款. 某厨具店计划购进80个电饭煲和 个电热水壶 .设选择方案一需付款 元,选择方案二需付款 元. (1)分别写出 , 关于 的函数解析式. (2)当 时. ①请通过计算说明该厨具店选择上面哪种方案更省钱. ②若两种优惠方案可以同时使用(使用方案一优惠过的商品不能再使用方案二优惠,使用方案二优惠过的 商品不能再使用方案一优惠),是否有更省钱的购买方案?若有,请说明理由,并计算出该方案所需费用. 22.(24-25八年级下·北京大兴·期末)某公司拟采购一批车辆,现面临传统燃油(汽油)车与氢能源车两 种选型方案.该公司对两种车型在购置及整个生命周期使用过程中的费用进行了系统性分析:若总费用只 受购车费用和行驶过程中燃料使用费用影响,其他因素忽略不计(即总费用=购车费用+行驶过程中燃料使 用费用),调研信息如下: 设车辆行驶路程为 (单位:万公里),总费用为 (单位:万元) ①下表是调研中的两组数据: 车辆类型 传统燃油车 氢能源车 行驶路程 (万公里) 10 10 总费用 23 28 ②两类车型各自的总费用 与行驶路程 的函数关系的图象如图所示,两函数图象交于点 ,且与 轴分 别交于点 ,点 .结合上述调研信息,回答问题: (1)传统燃油车购车费用是___________万元; (2)根据车辆行驶路程的变化,怎样选择车型使总费用较低. 23.(10-11七年级下·河南周口·单元测试)某市 两个蔬菜基地得知四川 两个灾民安置点分别急 需蔬菜 和 的消息后,决定调运蔬菜支援灾区,已知 蔬菜基地有蔬菜 , 蔬菜基地有蔬菜 ,现将这些蔬菜全部调运 两个灾民安置点,从 地运往 两处的费用分别为每吨 元和 元,从 地运往 两处的费用分别为每吨 元和 元.设从 地运往 处的蔬菜为 吨. (1)请填写下表,并求两个蔬菜基地调运蔬菜的运费相等时 的值: 总计/ 总计/ (2)设 两个蔬菜基地的总运费为 元,求出 与 之间的函数关系式,并求总运费最小的调运方案; (3)经过抢修,从 地到 处的路况得到进一步改善,缩短了运输时间,运费每吨减少 元( ),其 余线路的运费不变,试讨论总运费最小的调动方案. 24.(22-23六年级下·山东淄博·期末)甲、乙两家蓝莓采摘园的蓝莓品质相同,销售价格都是每千克30 元,“五一”假期,两家均推出了优惠方案.甲采摘园的优惠方案是:游客进园需购买60元的门票,采摘 的蓝莓六折优惠;乙采摘园的优惠方案是:游客进园不需购买门票,采摘的蓝莓超过10千克后,超过部分 五折优惠.优惠期间,设某游客的蓝莓采摘量为x (千克),在甲采摘园所需总费用为 (元),在乙采 摘园所需总费用为 (元).根据题意列出下表:采摘量:x(千克) 5 10 15 20 … 在甲采摘园所需总费用: 15 33 240 m … (元) 0 0 在乙采摘园所需总费用: 15 37 300 450 … (元) 0 5 (1)变化过程中采摘量x(千克)和在甲采摘园所需总费用 (元),这两个变量中,自变量是_____,因变 量是_____,表格中m的值为_____; (2)当蓝莓采摘量超过10千克时,求表示在乙采摘园所需总费用 和采摘量x这两个变量之间关系的表达 式; (3)如图,是小刚画出的表示在甲采摘园所需总费用 (元)和在乙采摘园所需总费用 (元)分别与采摘 量x(千克)之间关系的图象. ①图中两图象的交点A表示的意义是:______________________________; ②若要采摘50千克蓝莓,去哪家比较合算?结合图象,你认为小刚应选择去哪家蓝莓采摘园采摘比较合算. 题型4 一次函数应用--最大利润问题 利润=(售价-进价)×销量-成本。其中售价与销量通常存在一次函数关系:销量=a×售价+b (a<0)。建立总利润关于售价的一次函数表达式,求出自变量的取值范围,根据函数增减 性确定使利润最大的售价或销量. 25.(24-25八年级下·广东广州·阶段练习)汽车租赁公司共有50台客车,其中大客车20台,小客车30台, 现要将这50台客车派往A、B两学校,其中30台派往A校,20台派往B校.两校与该汽车租赁公司商定 的每天的租赁价格见表:每台大客车的租金 每台小客车的租金 A校 1800 1600 B校 1600 1200 (1)设派往A校x台小客车,租赁公司这50台客车一天获得的租金为y(元),求y与x间的函数关系式, 写出x的取值范围; (2)如果要使这50台客车每天获得的租金最高,请你为汽车租赁公司提一条合理化建议. 26.(24-25八年级上·江苏泰州·阶段练习)某厂计划生产A、B两种产品共90件,已知A产品每件可获利 600元,B产品每件可获利1000元.设生产两种产品的获利总额为y(元),生产B产品x件. (1)写出y与x之间的函数表达式; (2))若生产A产品的件数不少于B产品的件数的2倍,求获利总额的最大值,写出此时的生产方案. 27.(2025·陕西宝鸡·二模)鲜花,作为大自然的馈赠,以其独特的美丽和寓意,成为爱的使者,传递着 子女们对母亲最真挚的祝福,成为了母亲节不可或缺的礼物.母亲节前夕,某鲜花经销商计划购进 、 两种类型的鲜花共 束,设购进 种鲜花 束,销售完这 束鲜花的总利润为 元.鲜花的进价和售 价如表所示: 进价 元 束 售价 元 束 (1)求 与 之间的函数关系式; (2)该经销商计划最多投入 元用于购进这两种鲜花,购进多少束 种鲜花,该经销商售完这两种鲜花 可获得最大利润?获得的最大利润是多少元? 28.(24-25八年级下·湖北咸宁·期末)某商店销售一种产品,该产品成本价为8元/件,售价为10元/件, 销售人员对该产品一个月(30天)销售情况记录绘成图象.图中的折线 表示日销量y(件)与销售时 间x(天)之间的函数关系,若线段 表示的函数关系中,时间每增加1天,日销量减少5件. (1)第26天的日销量是______件,这天销售利润是______元;(2)求y与x之间的函数关系式,并写出x的取值范围; (3)销售期间日销售最大利润是多少元?日销售利润不低于660元的天数共有多少天? 29.(24-25八年级下·广西防城港·阶段练习)列方程组解应用题:为美化校园,某学校计划购进A,B两 种树苗共17棵,已知A种树苗每棵80元,B种树苗每棵60元. (1)若购进A,B两种树苗刚好用去1220元,求购进A,B两种树苗各多少棵? (2)若购进A种树苗a棵,所需总费用为w元. ①求w与a的函数关系式(不要求写出a的取值范围); ②若购进A种树苗的数量不低于9棵,请你给出一种费用最省的方案,并求出该方案所需的费用. 30.(24-25八年级下·内蒙古呼和浩特·期末)“中国乳都”呼和浩特,以乳业为发展引擎,凭借优质乳业 书写城市传奇、铸就辉煌.其中酸奶是深受大众喜爱的乳制饮品之一.某超市销售甲、乙两种品牌酸奶, 结合以下材料解决问题. 内容 某超市销售甲、乙两种品牌的酸奶,甲种酸奶的进价为8元/罐;乙种酸奶的进货 总金额 (单位:元)与进货量 (单位:罐)之间的关系如图所示,经过试 销,甲、乙两种品牌酸奶的销售价分别为12元/罐和15元/罐. 材 料 一 材 某日,该超市销售甲、乙两种品牌的酸奶共800罐,其中乙种品牌的销售量不低 料 于150罐,且不高于400罐. 二 任 务 (1)根据图像求出 与 的函数关系式. 一 任 (2)若购进的两种酸奶全部售完,设销售完甲、乙两种品牌的酸奶所获得的总利 务 润为 元,求出 (单位:元)与乙种品牌酸奶的进货量 (单位:罐)之间的 二 函数关系式,并为该超市设计出获得最大利润的销售方案. 31.(24-25八年级下·吉林长春·期中)某文具店准备购进A、B两种型号的文具一共100件,两种文具的 进价和售价情况如下表: 型号价格 A型号文具 B型号文具 进价(元/件) 9 15售价(元/件) 13 22 (1)求该文具店将这两种文具全部售完后,获得利润w(元)与购进A型号文具数量x(件)之间的函数关 系式.(注:利润 售价 进价) (2)若这两种文具全部售完后恰好获利580元,求购进A型号文具的数量. (3)根据市场需求,若购进的A型号文具数量不少于B型号文具数量的 ,则两种文具全部售完后,可获最 大利润为________元. 32.(2025·河北邯郸·二模)某车间接到一批总量为800个零件的加工任务,计划安排20名工人一天完成, 零件分为大、中、小三种型号,其中每名工人每天可以加工30个大型零件,或40个中型零件或50个小型 零件,已知每名工人只能加工同一种型号的零件,在整个过程中,每个零件的平均成本如条形统计图所示. 设加工大型零件的工人为 名,加工中型零件的工人为 名, (1)求 与 的函数关系式; (2)若加工这批零件的总成本为9050元,求加工小型零件的工人人数. 33.(2024九年级上·浙江·专题练习)根据以下素材,探索完成任务. 柚子季将至,某超市购进一批柚子进行销售 素 超市以20元 千克的批发价格购进柚子,准备在销售旺季里销售.根据食品保鲜 材 度,商家决定在整个40天的销售旺季里,前15天以32元 千克的销售单价进行销 1 售,从第16天开始每天销售单价降低0.4元 千克进行降价销售. 根据往年的销售数据,柚子在销售旺季40天内的日销数量 (千克)与时间第 (天)的关系如表. 素 时间第 (天) 1 2 3 10 材 2 日销售量 (千 30 35 40 75 克) 问题解决任 务 小明看到柚子降价销售“26元 千克”,计算这是超市卖柚子到第几天了. 1 任 利用一次函数、二次函数、反比例函数的知识,直接写出日销售量 (千克)与时 务 间 (天 的关系式. 2 任 务 请你帮助超市算一算,在销售旺季里利润最大是第几天,最大的利润是多少. 3 题型5 一次函数应用--其它应用问题 包括工程、浓度、增长率等问题。关键是识别变量间的线性关系,通过题中条件确定斜率k 和截距b。特别注意实际意义对自变量取值范围的限制(如时间不为负,人数为整数等), 最后根据要求求解. 34.(24-25八年级下·河北沧州·阶段练习)一根弹簧在它的弹性范围内挂上不同重物后弹簧长度的对应值 画出图象如图,则若挂一个1N的重物,弹簧伸长了( ) A. B. C. D.1 35.(2025·浙江杭州·三模)在测浮力的实验中,下方为盛水的烧杯,上方有弹簧测力计悬挂的圆柱体, 将圆柱体缓慢下降,直至圆柱体完全浸入水中,各种状态如图甲所示,其中,弹簧测力计在状态②和④显 示的读数分别为 和 .整个过程中,弹簧测力计读数 与圆柱体下降高度 的关系图象如图乙所示.(1)图乙中,点 对应状态______,点 对应状态______,(“状态”后填写图形序号) ______, ______; (2)求线段 对应的函数关系式. (3)已知弹簧测力计在状态③时显示的读数为 ,求圆柱体浸入水中的高度. 36.(2025·宁夏中卫·二模)如图,是一种斜挎包,其挎带由双层部分、单层部分和调节扣构成.小颖用 后发现,通过调节扣加长或缩短单层部分的长度,可以使挎带的长度(单层部分与双层部分长度的和,其 中调节扣所占的长度忽略不计)加长或缩短.设单层部分的长度为 ,双层部分的长度为 ,经测量 得到如下数据: 单层部分的长度 … 4 6 8 10 … 双层部分的长度 … 75 74 73 72 … (1)求出y关于x的函数解析式,并求当 时y的值; (2)根据小明的身高和习惯,挎带的长度为 时,背起来正合适,请求出此时单层部分的长度; (3)设挎带的长度为 ,求t的取值范围. 37.(24-25八年级下·福建厦门·阶段练习)植物学家在研究两个不同品种的鸢尾花:山鸢尾(记作: 类)与变色鸢尾(记作: 类)时,测量并记录了花朵的花萼长度 (单位: 与花萼宽度 (单位:.以 为坐标的点在平面直角坐标系中的分布如图所示,人工智能可用线性分类器,即直线 将这些点分类,分类原则为:直线 上方的为 类,直线 下方的为 类,正好落在直线 上的 也为 类.图中给出了一条分类直线 ,根据图象回答下列问题: (1)若有一朵花的花萼长度与花萼宽度对应的点的坐标为 ,根据分类原则,试判断该花朵属于 类还是 类?请说明理由. (2)若保持(1)中直线 的 不变,为保证图中所有点被正确分类, 的取值范围为 . 38.(2025·吉林长春·三模)在测浮力的实验中,下方为盛水的烧杯,上方有弹簧测力计悬挂的圆柱体, 将圆柱体缓慢下降,直至圆柱体完全浸入水中,各种状态如图甲所示,其中,弹簧测力计在状态②和④显 示的读数分别为 和 .整个过程中,弹簧测力计读数 与圆柱体下降高度 的关系图象如图 乙所示. (1)图乙中,点 对应状态为___________,点 对应状态为___________(填写图形序号), ___________, ___________;(2)已知弹簧测力计在状态③时圆柱体浸入水中的高度为 ,求此时弹簧测力计显示的读数. 39.(24-25八年级下·广西南宁·阶段练习)【问题背景】《九章算术》中记载,浮箭漏(如图)出现于汉 武帝时期,它由供水壶和箭壶组成.箭壶内装有箭尺,水匀速地从供水壶流到箭壶,箭壶中的水位逐渐上 升,箭尺匀速上浮,可通过读取箭尺读数计算时间. 【实验操作】某学校科技研究小组以此为学习项目,仿制了一套浮箭漏并进行了如下实验探究. 下表是实验记录的箭尺读数 与供水时间 的数据: 供水时间 0 1 2 3 4 … 箭尺读数 1 6 12 24 30 … 8 (1)如图,建立平面直角坐标系,横轴表示供水时间 ,纵轴表示箭尺读数 ,描出以上表中的数据 为坐标的各点; (2)【建立模型】观察上述各点的分布规律,判断它们是否在一条直线上.若在一条直线上,则请你建立适 当的函数模型,并求出函数解析式;若不在同一直线上,则请说明理由. (3)【模型应用】如果本次实验记录的开始时间是上午9:00,那么当箭尺读数是 时是几点?40.(24-25八年级上·陕西西安·期末)如图,某校研学小组在博物馆中看到了一种“公道杯”,在这种杯 子中加水超过一定量时,水会自动排尽,体现了“满招损,谦受益”的寓意.该小组模仿其原理,自制了 一个圆柱形简易“公道杯”,确保向杯中匀速注水和杯中水自动向外排出时,杯中的水位高度的变化都是 匀速的.现向此“公道杯”中匀速注入清水;当满杯时(即3秒时),边继续匀速注入清水,杯中水边自动 向外排出,6秒后停止注水,再等水匀速完全排尽.在这个过程中,对不同时间的水位高度进行了记录, 部分数值如表: 时间( 秒) 水位高度( 厘米) 根据以上信息,解决下列问题: (1)根据表中数据在平面直角坐标系中描点,并画出函数图象; (2)求3秒到6秒之间的函数表达式,并求出排水的速度; (3)利用图象估计从开始注水,到杯中水完全排尽,用时约为 秒.(保留1位小数) 41.(2025·吉林·中考真题)【知识链接】实验目的:探究浮力的大小与哪些因素有关 实验过程:如图①,在两个完全相同的溢水杯中,分别盛满甲、乙两种不同密度的液体,将完全相同的两 个质地均匀的圆柱体小铝块分别悬挂在弹簧测力计A,B的下方,从离桌面20cm的高度,分别缓慢浸入到 甲、乙两种液体中,通过观察弹簧测力计示数的变化,探究浮力大小的变化.(溢水杯的杯底厚度忽略不计) 实验结论:物体在液体中所受浮力的大小,跟它浸在液体中的体积有关、跟液体的 密度有关.物体浸在液体中的体积越大、液体的密度越大,浮力就越大. 总结公式:当小铝块位于液面上方时, ; 当小铝块浸入液面后, . 【建立模型】在实验探究的过程中,实验小组发现:弹簧测力计A,B各自的示数 与小铝块各自下 降的高度 之间的关系如图②所示. 【解决问题】 (1)当小铝块下降10cm时,直接写出弹簧测力计A和弹簧测力计B的示数. (2)当 时,求弹簧测力计A的示数 关于x的函数解析式. (3)当弹簧测力计A悬挂的小铝块下降8cm时,甲液体中的小铝块受到的浮力为 ,若使乙液体中的小 铝块所受的浮力也为 ,则乙液体中小铝块浸入的深度为 ,直接写出m,n的值. 题型6 一次函数应用--几何问题 将几何量(长度、面积)表示为一次函数。常用方法:①利用全等三角形得线段比例关系; ②用坐标表示点,再用距离公式;③用面积公式建立函数关系。分析函数性质(增减性、最 值)解决几何问题,注意自变量取值范围受几何图形限制. 42.(24-25八年级下·河北唐山·阶段练习)如图是某个动画程序的数学模型.以 、 、为顶点的 代表黑区(包括三角形的边及内部),信号光束沿直线 扫描坐标平面, 当信号光束触到黑区时,黑区则全部消失,能够使黑区全部消失的取值范围是( ) A. B. 或 C. D. 或 43.(24-25八年级下·河北邢台·期末)如图,一次函数 的图象 分别与x轴、y轴交于A,B两 点,正比例函数的图象 与 交于点 .一次函数 的图象为 ,且 , , 可以围成三角 形,那么k的取值范围是 . 44.(24-25八年级上·江苏扬州·阶段练习)如图,直线l与x轴、y轴分别交于点 、点 ,以 线段 为直角边在第一象限内作等腰直角三角形 , ,点 为y轴上一个动点. (1)求点C坐标; (2)求直线 的函数表达式;(3)当 与 面积相等时,求实数a的值. 45.(24-25八年级上·江苏扬州·期末)如图,直线 与x轴交于点 ,与y轴交于点B,并与 直线 相交于点 . (1) ______, ______; (2)点D是线段 上一动点,过点D作y轴的平行线,交直线 于点E,交直线 于点F. ①若 ,求点D的坐标; ②若点D坐标是 ,M是直线 上一点,当 是等腰三角形,请直接写出点M的坐标. 46.(24-25八年级上·四川成都·阶段练习)如图1,已知直线 : 交 轴于 ,交 轴于 . (1)求直线 的表达式; (2)如图2,直线 的表达式为 ,点 为线段 的中点,在直线 上找一点 ,使得 最小,并求出最小值; (3)如图3,已知点 ,点 为直线 右侧一点,且满足 ,求 的值.47.(24-25八年级下·四川成都·期末)一次函数 ( 为常数,且 )分别与 轴, 轴交 于 两点,点 是一次函数图象上一动点,设点 的横坐标为 . (1)若点 的纵坐标为2,求 的值; (2)在(1)的条件下,如图1,将一次函数 的图象向下平移,交 轴于点 ,交 轴于点 , 连接 交x轴于点 ,过 作 轴于点 ,当 时,问 是否为定值,若是,求 出该定值;若不是,请说明理由; (3)如图2,过点 作 轴于点 ,连接 ,将线段 绕点 逆时针旋转 得到线段 ,连接 ,交y轴于点 ,记 的面积为 , 的面积为 ,点 在运动过程中,当 是 的中点 且 时,求点 的坐标. 48.(24-25八年级下·湖北鄂州·期末)如图1,已知函数 与x轴交于点C,与y轴交于点B, 点C与点A关于y轴对称. (1)求直线 的函数解析式; (2)设点M是x轴上的一个动点,过点M作y轴的平行线,交直线 于点P,交直线 于点Q.①若 的面积为 ,求点M的坐标; ②连接 ,如图2,若 ,求点P的坐标. 49.(24-25八年级下·辽宁大连·期中)如图,在平面直角坐标系中,直线 与 轴、 轴分 别交于点 、 ,点 在 轴的正半轴上,若将 沿直线 折叠,点 恰好落在 轴正半轴上的点 处. (1)如图1,求点 、 两点的坐标; (2)如图2,求直线 的表达式; (3)点 是 轴上一动点,若 ,求点 的坐标; (4)连接 ,在第一象限内是否存在点 ,使 为等腰直角三角形,若存在,直接写出点 的坐标; 若不存在,请说明理由. 50.(24-25八年级下·山东日照·期末)【问题呈现】在平面直角坐标系中,点P的坐标为 (a 为实数),当a变化时,探究点P的位置随a的变化规律. 【初步探究】 (1)某同学将a取了部分特殊值来确定点P的坐标以便观察其变化规律.列表如下: a 0 1 2 点P的坐标 请直接写出点 的坐标,并在已建立的平面直角坐标系中描出点 ;【问题解决】 (2)小组的同学通过观察,实验,归纳,大致猜想出点P的位置随a的变化规律后,有以下两种验证猜想 的方法: 方法1:用待定系数法,选择其中的点 , ,求出y关于x的解析式,再将点 , 的坐标代入验证. 方法2:设点P的坐标为 ,令 , ,消掉字母a,求出y关于x的解 析式. 请分别用以上两种方法求出y关于x的解析式; 【拓展应用】 (3)如图2,点A是y轴正半轴上的一点, ,求 周长的最小值; (4)当 时,点P都在直线 的上方,请直接写出m的取值范围. 七、培优综合练 51.(24-25八年级下·福建莆田·期末)在一条沿山而建的游览路线上依次有 三处观景台,小方从 处徒步前往 处,同时小圆从 处骑车前往 处,到达 处后休息1分钟,然后立即折返(折返时间忽略 不计)按原路原速前往 处,结果小圆比小方早2分钟到达 处,两人均匀速运动,如图是两人距 处路 程 (米)与时间 (分钟)之间的函数图象.根据上述信息,下列说法错误的是( )A.小方的速度为 米/分钟 B.小圆的速度为300米/分钟 C.线段 所在直线函数解析式为 D.出发 分钟或 分钟后,两人之间路程相距200米 52.(24-25八年级下·福建厦门·期末)在平面直角坐标系 中,已知矩形 ,其中点A , B ,C .给出如下定义:若点P关于直线 的对称点 在矩形 的内部或边上,则称点 P为矩形 关于直线l的“关联点”. 例如,图1中的点D,点E都是矩形 关于直线 的“关联点”.(1)如图2, 在点 中, 是矩形 关于直线 的“关联 点”的为 ; (2)如图2,点 是矩形 关于直线 的“关联点”,求a的取值范围; (3)如图3,若在直线 上存在点Q,使得点Q是矩形 关于直线 的“关联点”,请直 接写出b的取值范围 .(不写过程) 53.(24-25八年级下·湖南长沙·期末)在平面直角坐标系中,有 , 两点,若存在点C使得 ,且 ,则称点 为m的“等垂点”.例如:在 , , 三点中,因 为 ,且 ,所以点C为1的“等垂点”. (1)①点 , ,则 2的“等垂点”(填“是”或“不是”). ②如图1,若点 , ,则点C是4的“等垂点”,则点C的坐标为 . (2)如图2,若一次函数 上存在5的“等垂点”,求5的“等垂点”C的坐标.(3)若在直线 上存在无数个5的“等垂点”,且直线 与x轴交于点E,与y 轴交于点F,点M在线段 上,点 在 内, , ,连接 ,设 ,直接写出 面积 关于a的表达式. 54.(24-25八年级下·福建莆田·期末)已知直线 经过线段 的一个端点,直线 经过线段 的另一个端点.若直线 与 交于点 ,且点 不在线段 上,则称点 为线段 的“相伴 点”. (1)线段 的两个端点分别为 和 ,则在点 中,选择一个是线段 的“相伴点”,并说明理由; (2) 是直线 上的两个动点. ①点 是线段 的“相伴点”,且点 的纵坐标为6,求点 的横坐标; ②正方形 的四个顶点的坐标分别为 ,其中 .当点 在直 线上运动时,生成线段 的“相伴点”.若所有线段 的“相伴点”中,有且只有1个点在正方形 上,求 的值. 55.(2025·天津南开·三模)某县在实施“村村通”工程中,决定在 , 两村之间修筑一条公路,甲、 乙两个工程队分别从 , 两村同时相向开始修筑,施工期间,乙队因另有任务提前离开,余下的任务由 甲队单独完成,直到道路修通.下图是甲、乙两个工程队各自修筑道路的长度 (单位: )与修筑时间 (单位:天)之间的函数图象.请根据相关信息,回答下列问题. (1)填表: 甲工程队修筑道路的时间 (单位: 2 4 8 天) 甲工程队修筑道路的长度 (单位: 36 ) 0 (2)填空:①乙工程队提前离开了______(天); ②乙工程队修筑道路的速度为______(m/天); ③乙工程队一共修筑道路的长度为______(m); ④该公路的总长度为______(m); (3)当 时,请直接写出甲工程队修筑道路的长度 关于时间 的函数解析式; (4)甲、乙工程队都施工期间 ,他们修筑道路的长度相差 时,修筑道路的时间 的值为多少? (直接写出结果) 甲工程队修筑道路的时间 (单位: 2 4 8 天) 甲工程队修筑道路的长度 (单位: 36 180 560 ) 0 56.(24-25八年级下·北京·期中)我校八年级学生在数学的综合与实践活动中,研究了一元一次不等式、 一元一次方程和一次函数的关系这一课题.在研究过程中,他们将函数 确定为研究对象,通 过作图,观察图象,归纳性质等探究过程,进一步理解了一元一次不等式与函数的关系.请你根据以下探 究过程,回答问题. (1)作出函数 的图象. ①列表:x … 0 1 2 … y … 0 m 2 1 0 … 其中,表格中m的值为______; ②描点:根据表格的数据,请在直角坐标系中描出对应值为坐标的点; ③连线:画出该函数的图象. (2)观察函数 的图象,探索函数性质: ①当 ______时,函数 有最大值,最大值为______; ②写出该函数的其它性质(写一条即可)______; (3)结合该函数图象,利用该函数的性质,解决问题: 若点 与 都在函数 的图象上,总有 ,则m的取值范围为______. 57.(24-25八年级上·广东深圳·期末)定义:平面直角坐标系中,对于 两点,称 为 两点的“曼哈顿距离”,记为 . 【探究应用】 平面直角坐标系中, . (1)如图1, 轴, 轴, ______. (2)如图2,一次函数 的图象与 轴交于点 ,与 轴交于点 ,在线段 上任取一点 是否为定值?如果是,请求出定值,如果不是,请说明理由.(3)使 的所有点 围成的图形面积为______. (4)若点 是函数 的图象上一动点,则使 的所有点 构成的线段长度为______. 【拓展延伸】 对于平面直角坐标系中的 两点,定义 .如图3的网格坐标系中, 给定点 ,请类比“曼哈顿距离”的探究,在网格范围内画出使 的所有点 构成的图形, 并直接写出 的最大值. 58.(23-24八年级下·福建厦门·期末)小南同学在跨学科项目式学习活动中得知,心率 (单位:次/分 钟)与运动类型、性别、运动时间等因素有关.为了解跑步时的心率变化情况,他在班级展开实践活动. 跑步之前,测量了班级40名同学的心率,并绘制出如图所示的频数分布直方图,并通过查阅资料得知,跑 步时心率与速度之间大致符合一次函数关系.在实验过程中,通过同学们佩戴的电子手环测得不同跑步速 度 (单位: )所对应的心率,当速度为 时,通过计算得到这40名同学心率的平均值为162 次/分钟.小南查看数据时发现,从起跑至最大速度时,自己的心率随着时间 (单位:秒)的变化呈现均 匀增大的规律,部分数据如表所示. (单位:秒) 0 5 10 15 20 (单位:次/分钟) 8 90 10 110 1200 0 (1)根据上表数据,请求出小南起跑至最大速度时心率 (单位:次/每分钟)与跑步时间 (单位:秒)之 间的函数关系式;(不要求写出自变量的取值范围) (2)已知小南在起跑45秒后速度达到最大, ①请估计小南跑步的最大速度; ②达到最大速度之后,小南坚持以此最大速度跑了一段时间,又经过1分钟将速度降至最大速度的四分之 一时停下运动.休息15分钟后,小南的心率匀速降低至跑步前的状态.若此次实践活动中,小南的心率在 100次/分钟以上的时间不低于15分钟,则他以最大速度跑步的时间至少是多少分钟? 59.(24-25八年级下·吉林长春·期末)在平面直角坐标系中,对于点 和点 若满足 ,则称点 为点 的友谊点.例如点 的友谊点为 . (1)点 的友谊点坐标是_____;若点 的友谊点为 ,则点 的坐标是_____. (2)若点 的友谊点在直线 上,则 的值为_____. (3)点 在直线 上,其横坐标为 ,点 为点 的友谊点.若点 到 轴的距离等于它到 轴的距 离的2倍,求 的值. (4)正方形 各顶点的坐标分别为 , .点 在直线 上,点为点 的友谊点,连接 ,当线段 与正方形 的边有且只有一个公共点时,直接写出 的取值范 围.