当前位置:首页>文档>第06讲权方和不等式(含柯西不等式的应用)(高阶拓展、竞赛适用)(教师版)_2025年新高考资料_一轮复习_备战2025年高考数学一轮复习考点帮_第二部分专项讲义

第06讲权方和不等式(含柯西不等式的应用)(高阶拓展、竞赛适用)(教师版)_2025年新高考资料_一轮复习_备战2025年高考数学一轮复习考点帮_第二部分专项讲义

  • 2026-04-17 07:19:54 2026-04-17 07:06:47

文档预览

第06讲权方和不等式(含柯西不等式的应用)(高阶拓展、竞赛适用)(教师版)_2025年新高考资料_一轮复习_备战2025年高考数学一轮复习考点帮_第二部分专项讲义
第06讲权方和不等式(含柯西不等式的应用)(高阶拓展、竞赛适用)(教师版)_2025年新高考资料_一轮复习_备战2025年高考数学一轮复习考点帮_第二部分专项讲义
第06讲权方和不等式(含柯西不等式的应用)(高阶拓展、竞赛适用)(教师版)_2025年新高考资料_一轮复习_备战2025年高考数学一轮复习考点帮_第二部分专项讲义
第06讲权方和不等式(含柯西不等式的应用)(高阶拓展、竞赛适用)(教师版)_2025年新高考资料_一轮复习_备战2025年高考数学一轮复习考点帮_第二部分专项讲义
第06讲权方和不等式(含柯西不等式的应用)(高阶拓展、竞赛适用)(教师版)_2025年新高考资料_一轮复习_备战2025年高考数学一轮复习考点帮_第二部分专项讲义
第06讲权方和不等式(含柯西不等式的应用)(高阶拓展、竞赛适用)(教师版)_2025年新高考资料_一轮复习_备战2025年高考数学一轮复习考点帮_第二部分专项讲义
第06讲权方和不等式(含柯西不等式的应用)(高阶拓展、竞赛适用)(教师版)_2025年新高考资料_一轮复习_备战2025年高考数学一轮复习考点帮_第二部分专项讲义
第06讲权方和不等式(含柯西不等式的应用)(高阶拓展、竞赛适用)(教师版)_2025年新高考资料_一轮复习_备战2025年高考数学一轮复习考点帮_第二部分专项讲义
第06讲权方和不等式(含柯西不等式的应用)(高阶拓展、竞赛适用)(教师版)_2025年新高考资料_一轮复习_备战2025年高考数学一轮复习考点帮_第二部分专项讲义
第06讲权方和不等式(含柯西不等式的应用)(高阶拓展、竞赛适用)(教师版)_2025年新高考资料_一轮复习_备战2025年高考数学一轮复习考点帮_第二部分专项讲义
第06讲权方和不等式(含柯西不等式的应用)(高阶拓展、竞赛适用)(教师版)_2025年新高考资料_一轮复习_备战2025年高考数学一轮复习考点帮_第二部分专项讲义
第06讲权方和不等式(含柯西不等式的应用)(高阶拓展、竞赛适用)(教师版)_2025年新高考资料_一轮复习_备战2025年高考数学一轮复习考点帮_第二部分专项讲义
第06讲权方和不等式(含柯西不等式的应用)(高阶拓展、竞赛适用)(教师版)_2025年新高考资料_一轮复习_备战2025年高考数学一轮复习考点帮_第二部分专项讲义
第06讲权方和不等式(含柯西不等式的应用)(高阶拓展、竞赛适用)(教师版)_2025年新高考资料_一轮复习_备战2025年高考数学一轮复习考点帮_第二部分专项讲义
第06讲权方和不等式(含柯西不等式的应用)(高阶拓展、竞赛适用)(教师版)_2025年新高考资料_一轮复习_备战2025年高考数学一轮复习考点帮_第二部分专项讲义
第06讲权方和不等式(含柯西不等式的应用)(高阶拓展、竞赛适用)(教师版)_2025年新高考资料_一轮复习_备战2025年高考数学一轮复习考点帮_第二部分专项讲义
第06讲权方和不等式(含柯西不等式的应用)(高阶拓展、竞赛适用)(教师版)_2025年新高考资料_一轮复习_备战2025年高考数学一轮复习考点帮_第二部分专项讲义
第06讲权方和不等式(含柯西不等式的应用)(高阶拓展、竞赛适用)(教师版)_2025年新高考资料_一轮复习_备战2025年高考数学一轮复习考点帮_第二部分专项讲义
第06讲权方和不等式(含柯西不等式的应用)(高阶拓展、竞赛适用)(教师版)_2025年新高考资料_一轮复习_备战2025年高考数学一轮复习考点帮_第二部分专项讲义
第06讲权方和不等式(含柯西不等式的应用)(高阶拓展、竞赛适用)(教师版)_2025年新高考资料_一轮复习_备战2025年高考数学一轮复习考点帮_第二部分专项讲义
第06讲权方和不等式(含柯西不等式的应用)(高阶拓展、竞赛适用)(教师版)_2025年新高考资料_一轮复习_备战2025年高考数学一轮复习考点帮_第二部分专项讲义
第06讲权方和不等式(含柯西不等式的应用)(高阶拓展、竞赛适用)(教师版)_2025年新高考资料_一轮复习_备战2025年高考数学一轮复习考点帮_第二部分专项讲义
第06讲权方和不等式(含柯西不等式的应用)(高阶拓展、竞赛适用)(教师版)_2025年新高考资料_一轮复习_备战2025年高考数学一轮复习考点帮_第二部分专项讲义
第06讲权方和不等式(含柯西不等式的应用)(高阶拓展、竞赛适用)(教师版)_2025年新高考资料_一轮复习_备战2025年高考数学一轮复习考点帮_第二部分专项讲义

文档信息

文档格式
docx
文档大小
0.915 MB
文档页数
20 页
上传时间
2026-04-17 07:06:47

文档内容

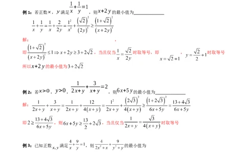
第 06 讲 权方和不等式(含柯西不等式的应用) (高阶拓展、竞赛适用) 本节内容为基本不等式的高阶拓展,熟练掌握后能快速解决基本不等式中的最值问题,常在高考及竞 赛中做到类型题的秒解! 知识讲解 一、柯西不等式 1.二维形式的柯西不等式 (a2+b2)(c2+d2)≥(ac+bd) 2 (a,b,c,d∈R, 当且仅当 ad=bc 时,等号成立.) 2.二维形式的柯西不等式的变式 (1) √a2+b2 ⋅√c2+d2≥|ac+bd|(a,b,c,d∈R, 当且仅当 ad=bc 时,等号成立.) (2) √a2+b2 ⋅√c2+d2≥|ac|+|bd|(a,b,c,d∈R, 当且仅当 ad=bc 时,等号成立.) (3) (a+b)(c+d)≥(√ac+√bd) 2 (a,b,c,d≥0, 当且仅当 ad=bc 时,等号成立.) 3.扩展: (a2+a2+a2+⋯+a2)(b2+b2+b2+⋯+b2)≥(a b +a b +a b +⋯+a b ) 2 1 2 3 n 1 2 3 n 1 1 2 2 3 3 n n 二、权方和不等式: 若 则 当且仅当 时取等. (注:熟练掌握这个足以应付高考中的这类型最值问题可以实现对一些问题的秒杀) 广义上更为一般的权方和不等式: 设 , 若 或 , 则 ; 若 , 则 ;上述两个不等式中的等号当且仅当 时取等 注意观察这个不等式的结构特征, 分子分母均为正数, 且始终要求分子的次数比分母的次数多 1, 出现定值 是解题的关键, 特别的, 高考题中以 最为常见, 此时这个不等式是大家熟悉的柯西不等式. 考点 一、权方和不等式全解析 1 1 + =1 例1:若正数x,y满足 x y ,则 x+2 y 的最小值为______________ 解: , 即 ,当且仅当 时取等号,即 , 时取等号 所以x+2 y的最小值为 1 3 + =2 例2:若 x>0 , y>0 , 2x+y x+y ,则 6x+5 y 的最小值为______________ 解: 即 ,则 ,当且仅当 时取等号 例3:已知正数 满足 ,则 的最小值为 解: 当且仅当 时取等号.由 解得: ,1 2 例4:若 , , ,则 + 的最小值为______________ a>1 b>0 a+b=2 a−1 b 解: ,当且仅当 时取等号 a2 b2 例5:若 , ,则 + 的最小值为______________ a>1 b>1 b−1 a−1 解: 当且仅当 时取等号,即 ,所以 的最小值为 x2 y2 z2 例6:已知正数 , , 满足 ,则 + + 的最小值为______________ x y z x+y+z=1 y+2z z+2x x+2 y 解: 当且仅当 时取等号 1 4 9 例7:已知正数 , , 满足 ,则 + + 的最小值为______________ x y z x+y+z=1 x y z 解: ,当且仅当 时取等号 1 8 + 例8:已知正数 , 满足 ,则 的最小值为______________ x y x+y=1 x2 y2 解: 当且仅当 时取等号 1 4 例9:求 + 的最小值为______________ sin2θ cos2θ 解:当且仅当 时取等号 5 8 例10:求 f(x)= + 的最小值为______________ 2sin2x+3 5cos2x+6 解 : 当且仅当 时取等号 例11:权方和不等式”是由湖南理工大学杨克昌教授于上世纪80年代初命名的.其具体内容为:设 ,则 ,当且仅当 时,等号成立.根据权方和不等式,若 ,当 取得最小值时, 的值为( ) A. B. C. D. 解:由题意得, , 则 , 当且仅当 ,即 时等号成立,所以 . 4 9 4 9 例12:已知正数 , 满足 + =1 ,则 + 的最小值为______________ x y x y 2x2 +x y2 +y 解: 当且仅当 时取等号 例13:已知x+2y+3z+4u+5v=30 ,求x2 +2 y2 +3z2 +4u2 +5v2 的最小值为______________解: 当且仅当 时取等号 例14:已知a>0,b>0,a+b=5,求√a+1+√b+3的最大值为______________ 解: 当且仅当 时取等号 例15:求f (x)= √x2 −3x+2+ √2+3x−x2 的最大值为______________ 解: 当且仅当 时取等号 例16:已知正数a,b,c满足a+b+c=1,求√3a+1+√3b+1+√3c+1的最大值为___________ 解: 当且仅当 时取等号 考点 二、柯西不等式全解析 例1:用柯西不等式求函数 的最大值为 A. B.3 C.4 D.5 【答案】C【分析】配凑目标函数,再利用柯西不等式即可求得结果. 【详解】由柯西不等式可得, 函数 当且仅当 = = 时,即 时等号成立, 故该的最大值为4. 故选:C. 例2:由柯西不等式,当 时,求 的最大值为( ) A.10 B.4 C.2 D. 【答案】D 【分析】利用柯西不等式可得 ,即求. 【详解】解:由柯西不等式,得 , 当且仅当 ,即 时,等号成立. 因为 ,所以 , 则 ,故 的最大值为 . 故选:D 例3:已知 ,若 恒成立,利用柯西不等式可求得实数 的取值范围是 . 【答案】 【详解】试题分析:由柯西不等式得 ,所以 ,即 . 考点:柯西不等式 例4:已知 ,求 的最小值.(利用柯西不等式) 【答案】 【分析】利用柯西不等式进行求解. 【详解】由柯西不等式可知:( )(4+9+36) ,,当且仅当 【点睛】本题考查的是函数最值的求法,主要通过消元和配方解决问题,也可以是利用柯西不等式进行求 解.考查学生的转化能力. 例5:已知正实数 , , , 满足 ,则 的最小值 是 . 【答案】 / 【分析】 利用配凑法及柯西不等式即可求解. 【详解】 由题意可知, ,当且仅当 时取“ ”号. 所以原式的最小值为 . 故答案为: . 例6:已知非负实数a、b、c、d满足 ,求证: 【答案】证明见解析 【分析】利用切比雪夫不等式的推论、柯西不等式及均值不等式即可求解. 【详解】不妨设 ,则 . 记 ,则 , . 依次运用切比雪夫不等式的推论1、柯西不等式、均值不等式得到, 故原不等式正确. 一、单选题 1.(2024·山西临汾·三模)若 ,则 的最小值是( ) A.1 B.4 C. D. 【答案】D 【分析】根据基本不等式及“1”的妙用计算即可. 【详解】因为 ,所以 , 则 , 当且仅当 ,即 时,等号成立,取得最小值 , 故选:D. 2.(2024·江苏扬州·模拟预测)已知 , ,且 ,则 的最小值为( ) A.4 B. C.6 D. 【答案】D 【分析】利用乘“1”法及基本不等式计算可得.【详解】因为 , ,且 , 所以 , 当且仅当 ,即 , 时取等号. 故选:D 3.(2024·江苏南通·二模)设 , , ,则 的最小值为( ) A. B. C. D.3 【答案】C 【分析】由不等式“1”的代换求解即可. 【详解】因为 ,所以 , 因为 , ,所以 . 当且仅当 ,即 时取等. 故选:C. 4.(2024·四川成都·模拟预测)若 是正实数,且 ,则 的最小值为( ) A. B. C. D. 【答案】A 【分析】观察等式分母可知 ,利用基本不等式中“1”的妙用可得结果. 【详解】因为 , 当且仅当 时取等号,所以 的最小值为 . 故选:A 5.(2024·河南·模拟预测)已知点 在以原点 为圆心,半径 的圆上,则 的最小 值为( ) A. B. C. D.1 【答案】D 【分析】由题可得点 满足的圆方程 ,进而 ,然后利用基本不等式结合条件 即得. 【详解】由题意可得点 的坐标满足 ,所以, . 因此, . 当且仅当 时,即 时取等号. 故选: D. 6.(2024·全国·模拟预测)设正实数a,b满足 ,则 的最小值为( ) A. B. C. D. 【答案】C 【分析】由已知可得 ,根据“1”的代换化简得出 .进而根据 基本不等式,即可求得答案. 【详解】因为 ,所以 , 所以 , 当且仅当 ,即 时,等号成立,所以 的最小值为 . 故选:C. 7.(2021·浙江·模拟预测)已知 , ,且 ,则 的最大值为 ( ) A. B. C. D. 【答案】C 【分析】依题意得 ,则 ,进而由柯西不等式可得最大值. 【详解】由 可得 ,即 . 由 可知 ,所以 . 由 , 可得 , 由柯西不等式得 , 所以 ,当 即 时,取等号. 所以 的最大值为 . 故选:C. 【点睛】关键点点睛:在得出 之后,关键在于根据题目特点应用柯 西不等式求最大值. 8.(高三上·浙江宁波·期中)设a,b为正实数,且 ,则 的最大值和最小值之和为 ( ) A.2 B. C. D.9 【答案】C 【分析】根据题意可得 ,再由“1”与 相乘利用基本不等式转化为 ,解不等式即可求解. 【详解】由 ,则 , 所以, 当且仅当 时,即 或 时,等号成立, 即 ,解得 所以 的最大值为 ;最小值为 ; 所以最大值和最小值之和为 . 故选:C 【点睛】本题主要考查利用基本不等式求最值,运用基本不等式求最值需验证等号成立的条件,属于中档 题. 9.(2024·辽宁·一模)已知 ,则 的最小值为( ) A. B. C. D. 【答案】A 【分析】根据题意, ,将所求式子变形,利用基本不等式求解. 【详解】由 , , , , 当且仅当 ,即 时等号成立. 故选:A. 10.(23-24高一上·甘肃兰州·期末)对任意实数 ,不等式 恒成立,则实 数 的最大值( ) A.2 B.4 C. D. 【答案】D【分析】 首先不等式变形为 恒成立,再利用两次基本不等式求 的最小值,即可求解 的取值. 【详解】不等式 恒成立,可转化为 恒成立,其中 , 令 , , , 第二次使用基本不等式,等号成立的条件是 且 , 得 且 ,此时第一次使用基本不等式 ,说明两次基本不 等式能同时取得, 所以 的最小值为 , 即 ,则 , 所以实数 的最大值为 . 故选:D 【点睛】关键点点睛:本题的关键是再求 的最值时,需变形为 ,再通过两次基本不等式求最值. 二、填空题 11.(2024·宁夏石嘴山·模拟预测)已知 , ,则 的最小值为 . 【答案】 【分析】利用乘“1”法及基本不等式计算可得. 【详解】因为 , ,所以 , 当且仅当 ,即 , 时取等号. 故答案为: 12.(2024·内蒙古呼和浩特·一模)已知实数 ,且 ,则 的最小值是 . 【答案】24 【分析】变形后,利用基本不等式“1”的妙用求出最小值 【详解】因为 ,且 , 所以 , 所以 , 当且仅当 ,即 , 时等号成立, 故答案为: 13.(2024·河南·三模)在 中,角 的对边分别为 ,若 ,则 的最小值 为 . 【答案】 【分析】 是 的边长,所以它们是正数,利用乘“1”法结合基本不等式即可求解. 【详解】因为 , 所以 , 当且仅当 ,即 时等号成立,故 的最小值为 .故答案为: . 14.(2024·广西河池·模拟预测)若实数 ,且 ,则 的最小值为 . 【答案】4 【分析】根据 ,将 化简可得 ,再根据基本不等式“1”的巧用求解最 值即可. 【详解】由 可得 , 因为 ,所以 ,即 ,则 , 则 , 当且仅当 ,即 时等号成立,故 的最小值为 . 故答案为: . 15.(2024·全国·模拟预测)已知 , ,且 ,则 的最小值是 . 【答案】 / . 【分析】利用 “1”的巧用及基本不等式即可求解. 【详解】由 ,得 , 因为 , , 所以 , 所以 , 当且仅当 ,即 , 时,等号成立, 所以 的最小值是 . 故答案为: . 16.(2024·全国·模拟预测)已知 , ,则 的最小值为 . 【答案】12 【分析】令 , ,从而可得 , ,再根据 ,结合 基本不等式求解即可.【详解】令 , ,则 , ,且 , , 所以 , . 又 ,所以 , 当且仅当 , ,即 , 时,等号成立. 故答案为:12 17.(21-22高三上·天津南开·期中)已知正实数a,b满足 ,则 的最小值为 . 【答案】 / 【分析】将目标式转化为 ,应用柯西不等式求 的取值范围,进而可得目标式的最小值, 注意等号成立条件. 【详解】由题设, ,则 , 又 , ∴ ,当且仅当 时等号成立, ∴ ,当且仅当 时等号成立. ∴ 的最小值为 . 故答案为: . 18.(2024·江西·一模)已知正数x,y满足 ,若不等式 恒成立,则实数a的取值范 围是 . 【答案】 【分析】 将 变形为 ,利用均值不等式求 的最 小值即可求解.【详解】因为 , 所以 , 所以 ,等号成立当且仅当 , 所以 , , 故实数a的取值范围是 . 故答案为: 【点睛】关键点点睛:解题关键是先得到 ,再进一步结合乘“1”法即可顺利 得解. 19.(22-23高三上·山东·阶段练习)已知正实数 , 满足 ,则 的最小值为 . 【答案】 【分析】由 ,结合基本不等式求解即可. 【详解】因为 , 所以 , 所以 , 因为 为正实数,所以 , 所以 ,当且仅当 时等号成立,即 时等号成立, 所以 ,当且仅当 时等号成立,所以 的最小值为 , 故答案为: . 20.(23-24高三上·上海黄浦·开学考试)已知 ,则 的最小值为 . 【答案】 / 【分析】依题意可得 ,再由基本不等式“ ”的妙用即可得解. 【详解】因为 , 所以 , , , 所以 , 当且仅当 ,即 时,等号成立, 显然此时 有解,所以 的最小值为 . 故答案为: . 21.(2024·江西宜春·三模)已知 , ,且满足 ,则 的最大值为 . 【答案】 【分析】解法1、根据题意,得到 ,结合基本不等式求得 ,进而求 得 的最大值; 解法2、根据题意,得到 ,利用权方和不等式得 ,进而求得 的 最大值. 【详解】解法1、由 ,可得 , 由基本不等式得 ,可得 , 所以 ,当且仅当 时取等号, 联立方程组 ,解得 , ,故 的最大值为2. 解法2、由 ,可得 , 因为 ,由权方和不等式得 ,即 ,所以 ,当且仅当 ,即 时取等号, 联立方程组 ,解得 , ,故 的最大值为2. 故答案为: . 22.(22-23高一上·福建福州·期中)若三个正数 满足 ,则 的最小值为 . 【答案】 / 【分析】利用基本不等式求得正确答案. 【详解】依题意 为正数, , 所以 , 当且仅当 , , 时等号成立. 故答案为: 23.(2024·上海嘉定·二模)已知 , ,则函数 的最小值为 . 【答案】 【分析】令 ,可求t的范围,利用同角的基本关系对已知函数化简计算,结合 函数的单调性即可求解. 【详解】由题意知, , 令 ,由 ,得 , 所以 ,则 .由 ,得 , 所以 ,则原函数可化为 , 又函数 在 上单调递增,所以 在 上单调递增, 故当 时, 取得最大值 ,此时 取得最小值 . 故答案为: 24.(2024·河南信阳·模拟预测)已知正数 满足 ,则 的最小值为 . 【答案】 【分析】根据分离常量法可得 ,结合权方和不等式计算可得 ,即 ,即可求解. 【详解】 , , 所以 , 当且仅当 即 时等号成立, 所以 ,得 , 所以 或 (舍去), 即 的最小值为 . 故答案为: