文档
办公文件
生活文档
学习资料
当前位置:
首页
>
文档
>4-1高数基础真题测试_考研_数学_04.武忠祥_25武忠祥《学习包》答案_01.基础班学习包_15.高数4-1不定积分的计算答案
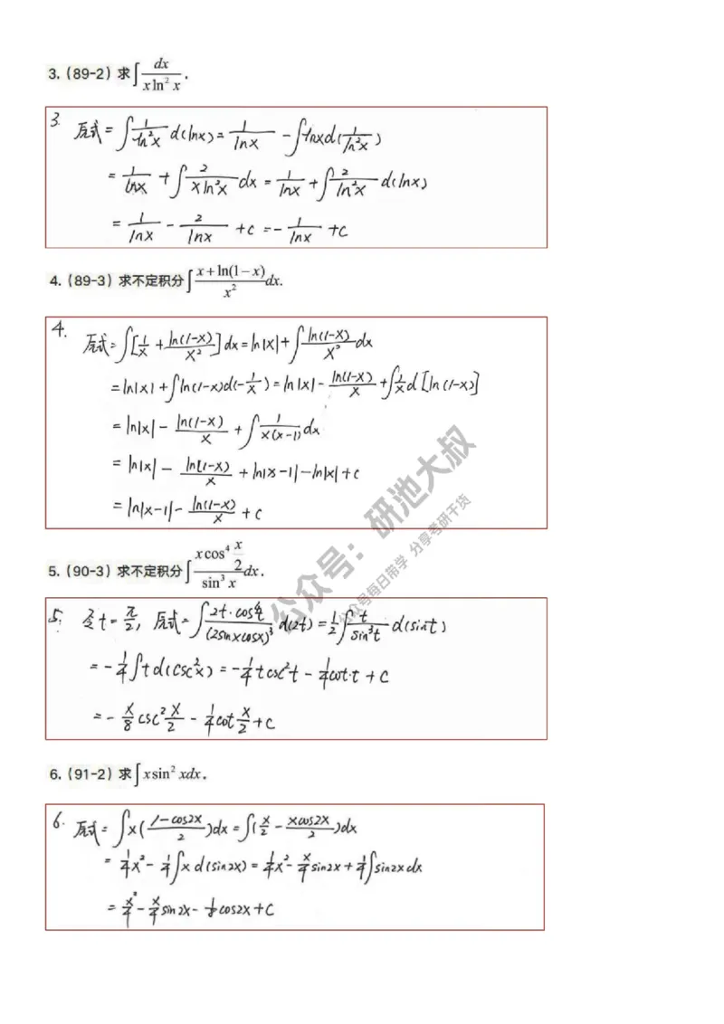
4-1高数基础真题测试_考研_数学_04.武忠祥_25武忠祥《学习包》答案_01.基础班学习包_15.高数4-1不定积分的计算答案
2026-04-12 21:42:38
2026-03-17 05:29:44
文档预览
文档信息
文档格式
pdf
文档大小
0.887 MB
文档页数
5 页
上传时间
2026-03-17 05:29:44
下载文档
本文档来自网络内容,如有侵犯您的权益请联系我们删除,联系邮箱:wyl860211@qq.com。
上一篇
4-1高数基础真题测试_考研_数学_04.武忠祥_25武忠祥《学习包》答案_01.基础班学习包_00.高数学习包纯题版
下一篇
4-1高数基础过关_考研_数学_04.武忠祥_25武忠祥《学习包》答案_01.基础班学习包_00.高数学习包纯题版
最新文档
高中英语2025届一轮复习讲义(人教版)必修第三册:UNIT2 MORALSANDVIRTUES(教师版)_03高考英语_2025年新高考资料_一轮复习_2025年高考英语一轮复习要点突破课件+学案+练习(完结)
高中英语2025届一轮复习讲义(人教版)必修第三册:UNIT1FESTIVALSANDCELEBRATIONS(学生版)_03高考英语_2025年新高考资料_一轮复习_2025年高考英语一轮复习要点突破课件+学案+练习(完结)
高中英语2025届一轮复习讲义(人教版)必修第一册:UNIT4 NATURALDISASTERS(教师版)_03高考英语_2025年新高考资料_一轮复习_2025年高考英语一轮复习要点突破课件+学案+练习(完结)
高中英语2025届一轮复习讲义(人教版)必修一第一册UNIT2 TRAVELLINGAROUND(教师版)_03高考英语_2025年新高考资料_一轮复习_2025年高考英语一轮复习要点突破课件+学案+练习(完结)
高中英语2025届一轮复习练习(人教版)选择性必修第四册:UNIT5LAUNCHINGYOURCAREER_03高考英语_2025年新高考资料_一轮复习_2025年高考英语一轮复习要点突破课件+学案+练习(完结)
高中英语2025届一轮复习练习(人教版)选择性必修第四册:UNIT1SCIENCEFICTION(含解析)_03高考英语_2025年新高考资料_一轮复习_2025年高考英语一轮复习要点突破课件+学案+练习(完结)
高中英语2025届一轮复习练习(人教版)选择性必修第二册:UNIT5FIRSTAID_03高考英语_2025年新高考资料_一轮复习_2025年高考英语一轮复习要点突破课件+学案+练习(完结)
高中英语2025届一轮复习练习(人教版)选择性必修第二册:UNIT4JOURNEYACROSSAVASTLAND(含解析)_03高考英语_2025年新高考资料_一轮复习
高中英语2025届一轮复习练习(人教版)选择性必修第三册:UNIT5POEMS_03高考英语_2025年新高考资料_一轮复习_2025年高考英语一轮复习要点突破课件+学案+练习(完结)
高中英语2025届一轮复习练习(人教版)选择性必修第三册:UNIT1ART(含解析)_03高考英语_2025年新高考资料_一轮复习_2025年高考英语一轮复习要点突破课件+学案+练习(完结)
热门文档
高中英语2025届一轮复习练习(人教版)选择性必修第一册:UNIT2LOOKINGINTOTHEFUTURE(含解析)_03高考英语_2025年新高考资料_一轮复习
高中英语2025届一轮复习练习(人教版)必修第二册:UNIT4HISTORYANDTRADITIONS(含解析)_03高考英语_2025年新高考资料_一轮复习_2025年高考英语一轮复习要点突破课件+学案+练习(完结)
高中英语2025届一轮复习练习(人教版)必修第二册:UNIT3THEINTERNET(含解析)_03高考英语_2025年新高考资料_一轮复习_2025年高考英语一轮复习要点突破课件+学案+练习(完结)
高中英语2025届一轮复习练习(人教版)必修第三册:UNIT3DIVERSECULTURES(含解析)_03高考英语_2025年新高考资料_一轮复习_2025年高考英语一轮复习要点突破课件+学案+练习(完结)
高中英语2025届一轮复习练习(人教版)必修第一册:UNIT3SPORTSANDFITNESS(含解析)_03高考英语_2025年新高考资料_一轮复习_2025年高考英语一轮复习要点突破课件+学案+练习(完结)
高中历史《选择性必修3》综合复习知识清单_07高考历史_2025年新高考资料_一轮复习_2025高考历史一轮综合复习知识清单(完结)
高中历史《选择性必修2》综合复习知识清单_07高考历史_2025年新高考资料_一轮复习_2025高考历史一轮综合复习知识清单(完结)
高中历史《选择性必修1》综合复习知识清单_07高考历史_2025年新高考资料_一轮复习_2025高考历史一轮综合复习知识清单(完结)
高中历史《中外历史纲要(下)》综合复习知识清单_07高考历史_2025年新高考资料_一轮复习_2025高考历史一轮综合复习知识清单(完结)
高中历史《中外历史纲要(上)》综合复习知识清单_07高考历史_2025年新高考资料_一轮复习_2025高考历史一轮综合复习知识清单(完结)
随机文档
高三阶段检测答题卡(历史)_07高考历史_历史高考模拟题_新高考_2023年_江苏省无锡市江阴市普通高中2022-2023学年高三上学期阶段测试(期末)历史试卷
高三阶段检测答题卡(历史)_07高考历史_历史高考模拟题_新高考_2023年_2023江苏省无锡市江阴市普通高中高三上学期阶段测试历史_2023江苏省无锡市江阴市普通高中高三上学期阶段测试历史
高三阶段检测参考答案(历史)_07高考历史_历史高考模拟题_新高考_2023年_江苏省无锡市江阴市普通高中2022-2023学年高三上学期阶段测试(期末)历史试卷
高三英语二轮语法回顾与训练---特殊结构(含答案)_03高考英语_新高考复习资料_2023年新高考资料_二轮复习_2023年高考二轮英语语法专项回顾与训练(含答案)
高三英语二轮语法回顾与训练---句子的种类学案(含答案)_03高考英语_新高考复习资料_2023年新高考资料_二轮复习_2023年高考二轮英语语法专项回顾与训练(含答案)
高三英语二轮语法回顾与训练---It的用法和therebe结构学案(含答案)_03高考英语_新高考复习资料_2023年新高考资料_二轮复习_2023年高考二轮英语语法专项回顾与训练(含答案)
高三期考历史试题_07高考历史_历史高考模拟题_新高考_2023年_湖南省怀化市2022-2023学年高三上学期期末考历史_湖南省怀化市2022-2023学年高三上学期期末考历史
高三文综-地理答案_07高考历史_历史高考模拟题_旧高考_2023年_山西省运城市2022-2023学年高三上学期期末调研测试文综_山西省运城市2022-2023学年高三上学期期末调研测试文综
高三文综-历史答案_07高考历史_历史高考模拟题_旧高考_2023年_山西省运城市2022-2023学年高三上学期期末调研测试文综_山西省运城市2022-2023学年高三上学期期末调研测试文综
高三数学开学摸底考试卷(测试范围:新高考数学全部内容)(解析版)_02高考数学_新高考复习资料_2024年新高考资料_专项复习资料_2024年高三数学开学摸底考试卷_高三开学摸底考试卷-02