文档
办公文件
生活文档
学习资料
当前位置:
首页
>
文档
>5-4高数基础真题测试_考研_数学_04.武忠祥_25武忠祥《学习包》答案_01.基础班学习包_19.高数5-4反常积分的计算答案
5-4高数基础真题测试_考研_数学_04.武忠祥_25武忠祥《学习包》答案_01.基础班学习包_19.高数5-4反常积分的计算答案
2026-04-07 15:34:18
2026-03-17 05:31:34
文档预览
文档信息
文档格式
pdf
文档大小
1.452 MB
文档页数
3 页
上传时间
2026-03-17 05:31:34
下载文档
文档内容
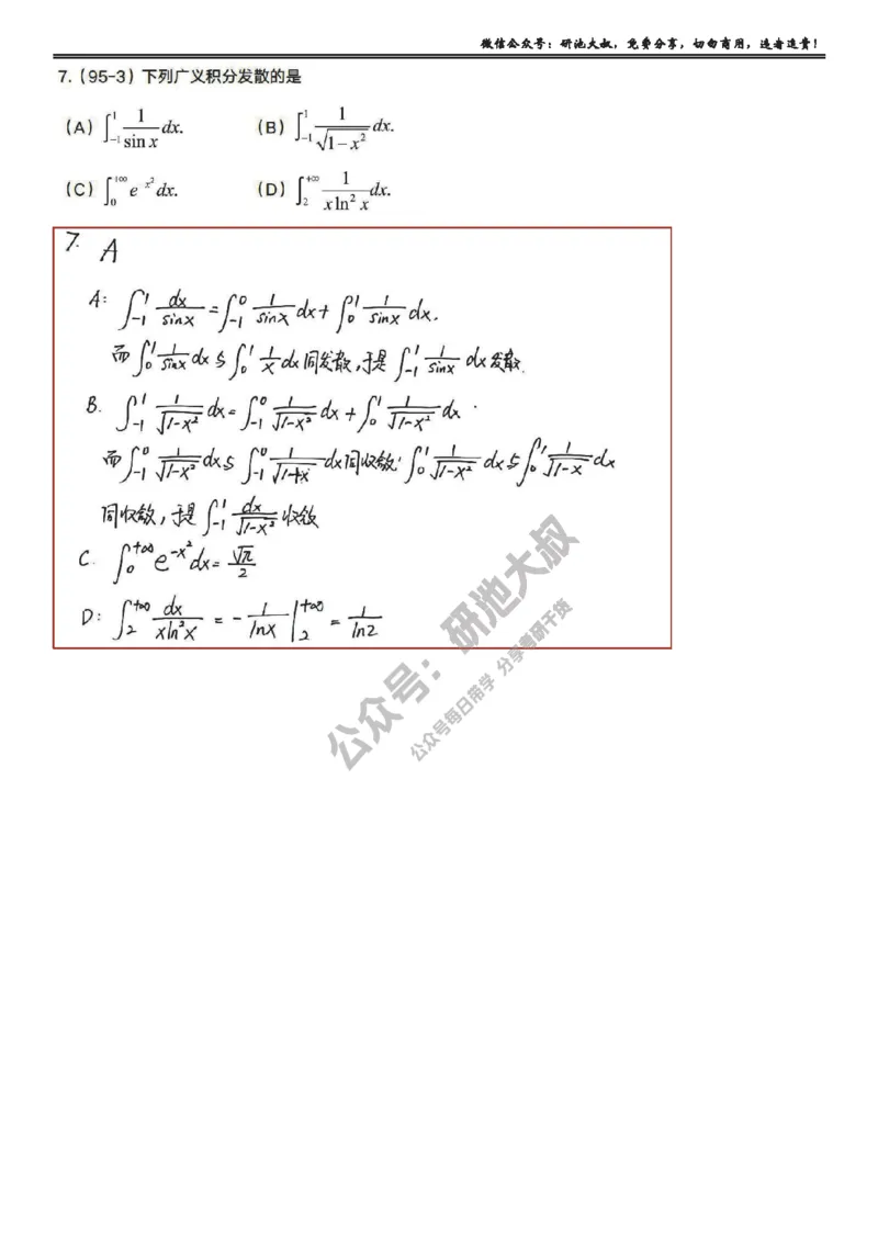
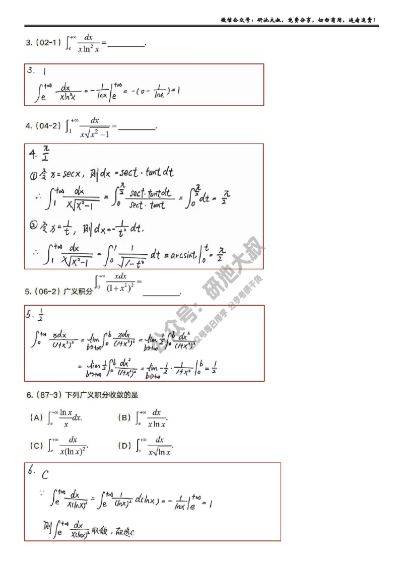
微信公众号:研池大叔,免费分享,切勿商用,违者追责! 2024 武忠祥高数学习包答案解析 5-4 高数基础真题测试 (公众号:研池大叔,结合官方答案制作,免费分享)
本文档来自网络内容,如有侵犯您的权益请联系我们删除,联系邮箱:wyl860211@qq.com。
上一篇
5-3高数基础过关_考研_数学_04.武忠祥_25武忠祥《学习包》答案_01.基础班学习包_18.高数5-3变限积分的计算答案
下一篇
5-4高数基础过关_考研_数学_04.武忠祥_25武忠祥《学习包》答案_01.基础班学习包_00.高数学习包纯题版
最新文档
2022年贵州省六盘水市中考数学试题卷(原卷版)_贵州中考_2.贵州中考数学(2008-2025)_六盘水数学11-24
专题04活动报道(解析版)_03高考英语_2025年新高考资料_二轮复习_高分·技能2025年高考英语写作常考题型全面突破334908819
专题04活动报道(解析版)_02高考数学_2025年新高考资料_二轮复习_01高考语文等多个文件_高分·技能2025年高考英语写作常考题型全面突破
专题04活动报道(原卷版)_03高考英语_2025年新高考资料_二轮复习_高分·技能2025年高考英语写作常考题型全面突破334908819
专题04活动报道(原卷版)_02高考数学_2025年新高考资料_二轮复习_01高考语文等多个文件_高分·技能2025年高考英语写作常考题型全面突破
2022年贵州省六盘水市中考历史真题(空白卷)_贵州中考_六盘水_6.六盘水中考历史(2015-2024)缺23
专题04正确的人生态度和社会责任-2024年高考英语一轮复习主题词汇&阅读一遍过_03高考英语_新高考复习资料_2024年新高考资料_专项复习资料_教师版(含答案解析)
专题04正确的人生态度和社会责任-2024年高考英语一轮复习主题词汇&阅读一遍过_03高考英语_新高考复习资料_2024年新高考资料_专项复习资料
专题04构造函数的应用(4大题型)-2025年高考数学二轮热点题型归纳与变式演练(新高考通用)(解析版)_02高考数学_2025年新高考资料_二轮复习_一、题型突破_重难题型•解题技巧攻略
专题04构造函数的应用(4大题型)-2025年高考数学二轮热点题型归纳与变式演练(新高考通用)(原卷版)_02高考数学_2025年新高考资料_二轮复习_一、题型突破_重难题型•解题技巧攻略
热门文档
专题04构造函数法解决不等式问题(典型题型归类训练)(解析版)_02高考数学_新高考复习资料_2024年新高考资料_专项复习资料_一元函数的导数及其应用_教师版(含答案解析)
专题04构造函数法解决不等式问题(典型题型归类训练)(解析版)_02高考数学_2025年新高考资料_二轮复习_解题思路训练2025年高考数学复习解答题提优秘籍(新高考专用)
专题04构造函数法解决不等式问题(典型题型归类训练)(解析版)_02高考数学_2025年新高考资料_专项复习_解题思路训练2025年高考数学复习解答题提优秘籍(新高考专用)
专题04构造函数法解决不等式问题(典型题型归类训练)(原卷版)_02高考数学_新高考复习资料_2024年新高考资料_专项复习资料_一元函数的导数及其应用
专题04构造函数法解决不等式问题(典型题型归类训练)(原卷版)_02高考数学_2025年新高考资料_二轮复习_解题思路训练2025年高考数学复习解答题提优秘籍(新高考专用)
专题04构造函数法解决不等式问题(典型题型归类训练)(原卷版)_02高考数学_2025年新高考资料_专项复习_解题思路训练2025年高考数学复习解答题提优秘籍(新高考专用)
2022年贵州省六盘水市中考化学真题(解析卷)_贵州中考_六盘水_5.六盘水中考化学(2015-2025)缺18
专题04材料主旨类选择题(解析版)_07高考历史_2025年新高考资料_二轮复习_01高考语文等多个文件_2025年高考历史二轮热点题型归纳与变式演练(新高考通用)
专题04材料主旨类选择题(原卷版)_07高考历史_2025年新高考资料_二轮复习_2025年高考历史二轮热点题型归纳与变式演练(新高考通用)3396109
专题04材料主旨类选择题(原卷版)_07高考历史_2025年新高考资料_二轮复习_01高考语文等多个文件_2025年高考历史二轮热点题型归纳与变式演练(新高考通用)
随机文档
专题04有提示词之非谓语动词-2024年高考英语二轮热点题型归纳与变式演练(新高考通用)(解析版)_03高考英语_新高考复习资料_2024年新高考资料_二轮复习资料_教师版(含答案解析)
专题04有提示词之非谓语动词-2024年高考英语二轮热点题型归纳与变式演练(新高考通用)(原卷版)_03高考英语_新高考复习资料_2024年新高考资料_二轮复习资料
专题04明清(鸦片战争前):中国版图的奠定与面临的挑战(分层练)(解析版)_07高考历史_新高考复习资料_2024年新高考复习资料_二轮复习资料_分层练_教师版(含答案解析)
专题04明清(鸦片战争前):中国版图的奠定与面临的挑战(分层练)(原卷版)_07高考历史_新高考复习资料_2024年新高考复习资料_二轮复习资料_分层练
专题04明清社会转型(解析版)_07高考历史_通用版(老高考)复习资料_2024年复习资料_完五年(2019-2023)高考历史真题分项汇编(全国通用)
专题04明清社会转型(原卷版)_07高考历史_通用版(老高考)复习资料_2024年复习资料_完五年(2019-2023)高考历史真题分项汇编(全国通用)
专题04明清中国版图的奠定与面临的挑战-口袋书2024年高考历史一轮复习知识清单_07高考历史_新高考复习资料_2024年新高考复习资料_一轮复习资料
专题04旧民主主义革命时期:中华文明的沉沦与转型(解析版)_07高考历史_2025年新高考资料_一轮复习_2025年高考历史一轮复习讲练测(新教材新高考)(完结)_专题训练
专题04旧民主主义革命时期:中华文明的沉沦与转型(解析版)_07高考历史_2025年新高考资料_一轮复习_2025年高考历史一轮复习讲练测(新教材新高考)
专题04旧民主主义革命时期:中华文明的沉沦与转型(原卷版)_07高考历史_2025年新高考资料_一轮复习_2025年高考历史一轮复习讲练测(新教材新高考)(完结)_专题训练