文档
办公文件
生活文档
学习资料
当前位置:
首页
>
文档
>8-2高数基础过关_考研_数学_04.武忠祥_25武忠祥《学习包》答案_01.基础班学习包_26.高数8-2多元函数求偏导答案
8-2高数基础过关_考研_数学_04.武忠祥_25武忠祥《学习包》答案_01.基础班学习包_26.高数8-2多元函数求偏导答案
2026-04-01 09:30:52
2026-03-17 05:42:18
文档预览
文档信息
文档格式
pdf
文档大小
3.939 MB
文档页数
7 页
上传时间
2026-03-17 05:42:18
下载文档
文档内容
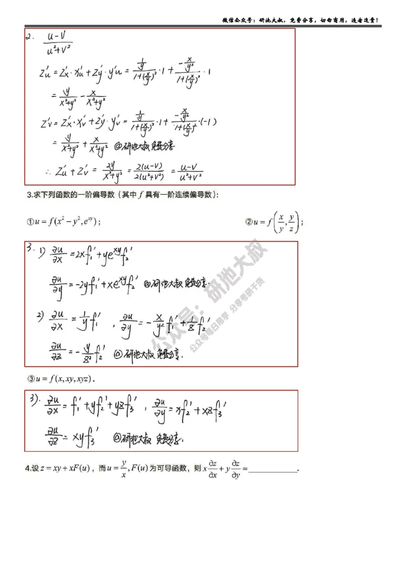
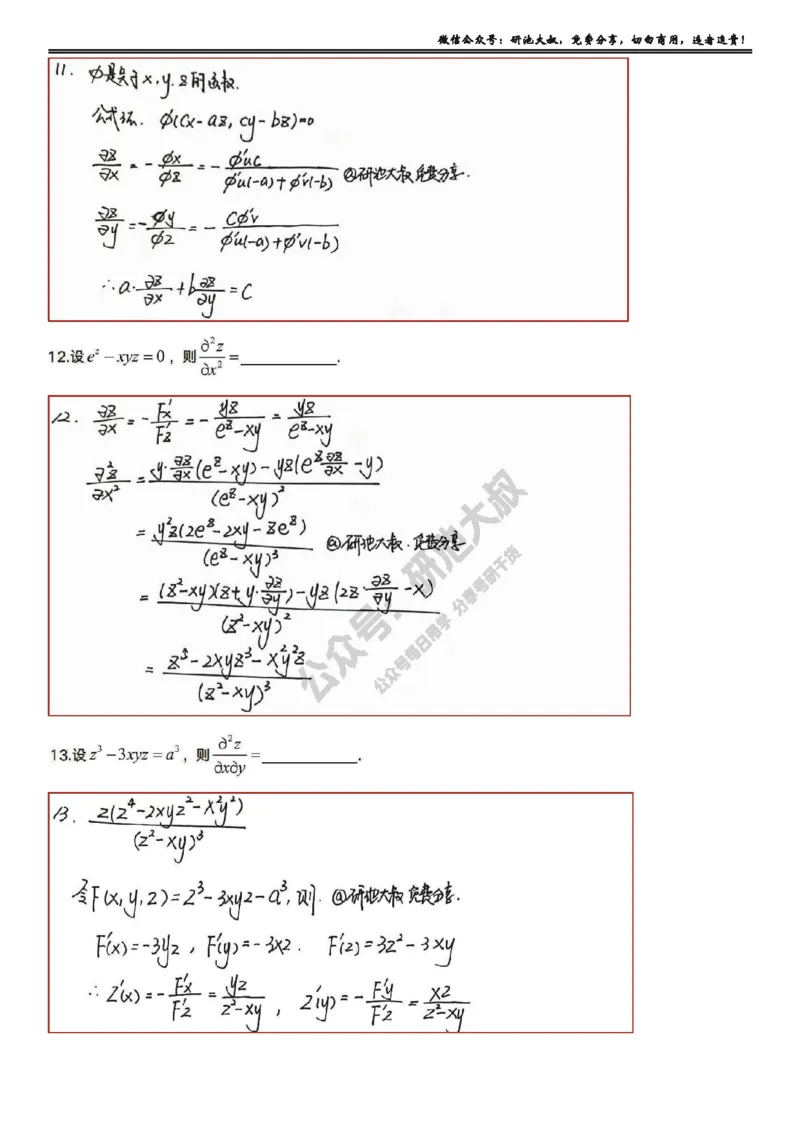
微信公众号:研池大叔,免费分享,切勿商用,违者追责! 2024 武忠祥高数学习包答案解析 8-2 高数基础过关 (公众号:研池大叔,结合官方答案制作,免费分享)
本文档来自网络内容,如有侵犯您的权益请联系我们删除,联系邮箱:wyl860211@qq.com。
上一篇
人教版5年级语文下册电子课本(1)_教资初高中_教资面试2025教资面试备考资料合集_教资面试资料合集_2025教资面试资料_25上教资面试-小学资料包_20教材:全册_小学_小学语文
下一篇
第06讲非谓语动词(讲)-2023年高考英语一轮复习讲练测(全国通用)(学案)_3.2025英语总复习_赠品通用版(老高考)复习资料_一轮复习_2023年高考英语一轮复习讲练测(全国通用)
最新文档
2017年广东省中考化学试题(word版,含答案)_初中化学_01.人教版初中化学_01.初中化学课件PPT--教案--试题_初中化学全套(课件--教案--配套)_18年初中化学9年级上_2017中考真题卷
2017年广东省中考化学试卷及解析_初中化学_01.人教版初中化学_01.初中化学课件PPT--教案--试题_初中化学18年试卷_人教版九年级化学下册2018_2018年中考化学试卷24份(有答案)
第一章单元复习检测-2020-2021学年高一化学期末复习节节高(人教版2019必修第一册)(原卷版)_高化_2025春-人教版高中化学_01新版高中化学必修一_6.期末复习_期末复习讲义
2017年广东省中考化学模拟试卷(解析版)(六)_初中化学_01.人教版初中化学_01.初中化学课件PPT--教案--试题_初中化学全套(课件--教案--配套)_18年初中化学9年级下_2017月考、模拟卷
第一章化学反应的热效应(知识清单)(解析版)(人教版2019选择性必修1)_高化_595801221724高中化学新人教版选择性必修一二三电子版教案PPT课件高中试卷_选择性必修1册(人教版)
第一章化学反应的热效应(知识清单)(原卷版)(人教版2019选择性必修1)_高化_595801221724高中化学新人教版选择性必修一二三电子版教案PPT课件高中试卷_选择性必修1册(人教版)
2017年广东省中考化学模拟试卷(解析版)(五)_初中化学_01.人教版初中化学_01.初中化学课件PPT--教案--试题_初中化学全套(课件--教案--配套)_18年初中化学9年级下_2017月考、模拟卷
第一章化学反应的热效应(单元检测)(解析版)(人教版2019选择性必修1)_高化_595801221724高中化学新人教版选择性必修一二三电子版教案PPT课件高中试卷_选择性必修1册(人教版)
2017年广东省中考化学模拟试卷(解析版)(一)_初中化学_01.人教版初中化学_01.初中化学课件PPT--教案--试题_初中化学全套(课件--教案--配套)_18年初中化学9年级下_2017月考、模拟卷
第一章化学反应的热效应(单元检测)(原卷版)(人教版2019选择性必修1)_高化_595801221724高中化学新人教版选择性必修一二三电子版教案PPT课件高中试卷_选择性必修1册(人教版)
热门文档
2017年广东省东莞市中考化学二模试卷(解析版)_初中化学_01.人教版初中化学_01.初中化学课件PPT--教案--试题_初中化学全套(课件--教案--配套)_18年初中化学9年级下_2017月考、模拟卷
第一章化学反应的热效应复习教案_高化_2025春-人教版高中化学_03新版高中化学选择性必修1_02教案_教案2
2017年山东省青岛市中考化学试卷及答案_初中化学_01.人教版初中化学_01.初中化学课件PPT--教案--试题_初中化学全套(课件--教案--配套)_18年初中化学9年级上_18秋九化上(RJ)--8.各地真题
第一章《原子结构与性质》(知识清单)-(人教版2019选修第二册)_高化_595801221724高中化学新人教版选择性必修一二三电子版教案PPT课件高中试卷_选择性必修2册(人教版)_知识清单
2017年山东省菏泽市中考化学试卷(解析版)_初中化学_01.人教版初中化学_01.初中化学课件PPT--教案--试题_初中化学全套(课件--教案--配套)_18年初中化学9年级上_2017中考真题卷
2017年山东省聊城市中考化学试题(精校word版,含答案)_初中化学_01.人教版初中化学_01.初中化学课件PPT--教案--试题_初中化学全套(课件--教案--配套)_18年初中化学9年级上
第一章《原子结构与性质》能力提升单元检测(教师版)-(人教2019选择性必修2)_高化_595801221724高中化学新人教版选择性必修一二三电子版教案PPT课件高中试卷_选择性必修2册(人教版)
2017年山东省枣庄市中考化学试题(精校word版,含答案)_初中化学_01.人教版初中化学_01.初中化学课件PPT--教案--试题_初中化学全套(课件--教案--配套)_18年初中化学9年级上
2017年山东省枣庄市中考化学试卷(解析版)_初中化学_01.人教版初中化学_01.初中化学课件PPT--教案--试题_初中化学全套(课件--教案--配套)_18年初中化学9年级上_2017中考真题卷
2017年山东省东营市中考化学试卷(解析版)_初中化学_01.人教版初中化学_01.初中化学课件PPT--教案--试题_初中化学全套(课件--教案--配套)_18年初中化学9年级上_2017中考真题卷
随机文档
第一章《原子结构与性质》能力提升单元检测(学生版)-(人教2019选择性必修2)_高化_595801221724高中化学新人教版选择性必修一二三电子版教案PPT课件高中试卷_选择性必修2册(人教版)
第一章《原子结构与性质》基础过关单元检测(教师版)-(人教2019选择性必修2)_高化_595801221724高中化学新人教版选择性必修一二三电子版教案PPT课件高中试卷_选择性必修2册(人教版)
2017年安徽省蚌埠市固镇校级中考化学一模试卷(解析版)_初中化学_01.人教版初中化学_01.初中化学课件PPT--教案--试题_初中化学全套(课件--教案--配套)_18年初中化学9年级下
2017年安徽省合肥市庐江县校级中考化学一模试卷(解析版)_初中化学_01.人教版初中化学_01.初中化学课件PPT--教案--试题_初中化学全套(课件--教案--配套)_18年初中化学9年级下
第一章《原子结构与性质》基础过关单元检测(学生版)-(人教2019选择性必修2)_高化_595801221724高中化学新人教版选择性必修一二三电子版教案PPT课件高中试卷_选择性必修2册(人教版)
第一章《原子结构与性质》单元测试(解析版)_高化_595801221724高中化学新人教版选择性必修一二三电子版教案PPT课件高中试卷_选择性必修2册(人教版)_单元测试
2017年安徽省中考化学试题(word版,含答案)_初中化学_01.人教版初中化学_01.初中化学课件PPT--教案--试题_初中化学全套(课件--教案--配套)_18年初中化学9年级上_18秋九化上(RJ)--8.各地真题
2017年天津市中考化学试卷(解析版)_初中化学_01.人教版初中化学_01.初中化学课件PPT--教案--试题_初中化学18年试卷_人教版九年级化学下册2018
第一章《原子结构与性质》单元测试(原卷版)_高化_595801221724高中化学新人教版选择性必修一二三电子版教案PPT课件高中试卷_选择性必修2册(人教版)_单元测试
2017年四川省雅安市中考化学试卷(解析版)_初中化学_01.人教版初中化学_01.初中化学课件PPT--教案--试题_初中化学全套(课件--教案--配套)_18年初中化学9年级上_2017中考真题卷