文档
办公文件
生活文档
学习资料
当前位置:
首页
>
文档
>6-1高数基础过关_考研_数学_04.武忠祥_25武忠祥《学习包》答案_01.基础班学习包_20.高数6-1定积分的应用1答案
6-1高数基础过关_考研_数学_04.武忠祥_25武忠祥《学习包》答案_01.基础班学习包_20.高数6-1定积分的应用1答案
2026-03-18 17:58:01
2026-03-17 05:32:49
文档预览
文档信息
文档格式
pdf
文档大小
3.416 MB
文档页数
7 页
上传时间
2026-03-17 05:32:49
下载文档
文档内容
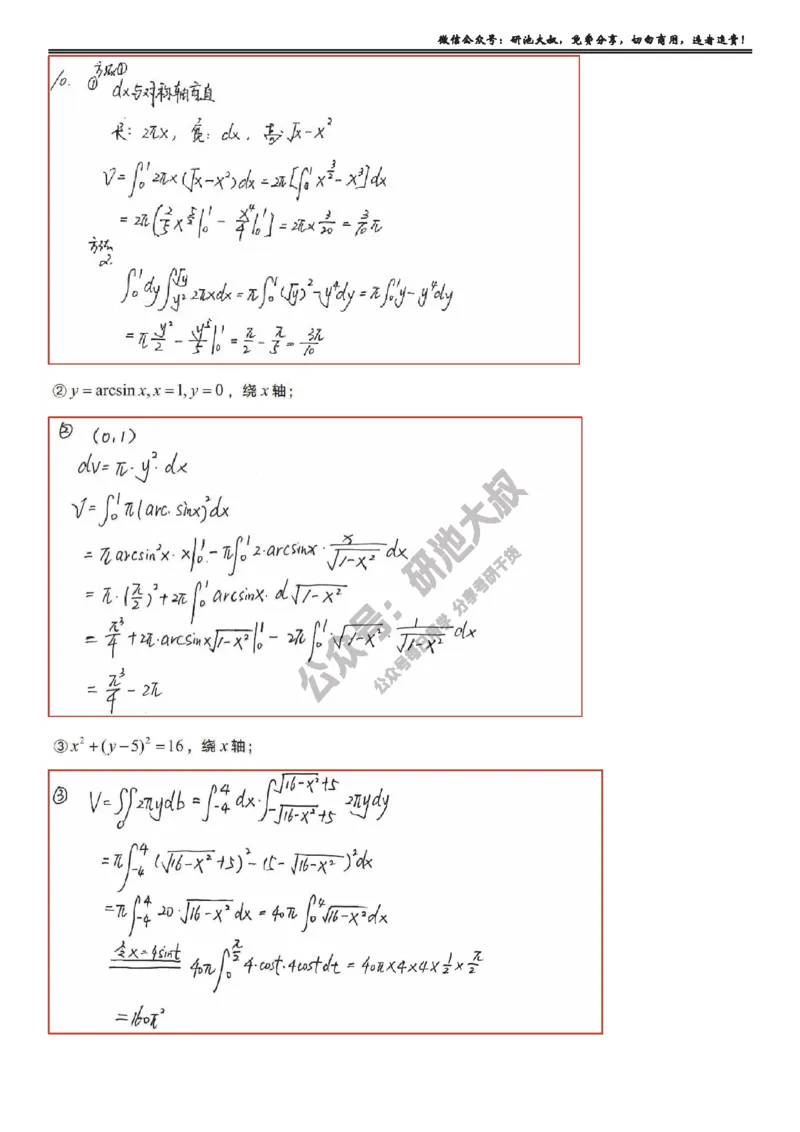
微信公众号:研池大叔,免费分享,切勿商用,违者追责! 2024 武忠祥高数学习包答案解析 6-1 高数基础过关 (公众号:研池大叔,结合官方答案制作,免费分享)
本文档来自网络内容,如有侵犯您的权益请联系我们删除,联系邮箱:wyl860211@qq.com。
上一篇
人教版-八年级下册-初中信息技术-教案(1)_教资初高中_教资面试2025教资面试备考资料合集_教资面试资料合集_2025教资面试资料_25上教资面试-小学资料包_19教案:合集_初中信息技术
下一篇
人教版4年级上册14试讲稿_教资初高中_教资面试2025教资面试备考资料合集_教资面试资料合集_2025教资面试资料_25上教资面试中学合集_教资面试逐字稿_小学美术面试逐字稿150篇_人教版
最新文档
第03讲原子结构与元素周期表(学生版)-(人教2019选择性必修2)_高化_595801221724高中化学新人教版选择性必修一二三电子版教案PPT课件高中试卷_选择性必修2册(人教版)_讲义
第02讲硫酸、粗盐提纯、含硫物质转化(教师版)-精准提分2020-2021学年高一化学必修第二册同步培优(新教材人教版)_高化_2025春-人教版高中化学_02新版高中化学必修二
第02讲硫酸、粗盐提纯、含硫物质转化(学生版)-精准提分2020-2021学年高一化学必修第二册同步培优(新教材人教版)_高化_2025春-人教版高中化学_02新版高中化学必修二
第02讲物质的转化(教师版)-(人教2019必修第一册)_高化_595801221724高中化学新人教版选择性必修一二三电子版教案PPT课件高中试卷_必修一册(人教版)_讲义
第02讲物质的转化(学生版)-(人教2019必修第一册)_高化_595801221724高中化学新人教版选择性必修一二三电子版教案PPT课件高中试卷_必修一册(人教版)_讲义
第02讲热化学方程式与燃烧热(教师版)-(人教2019选择性必修1)_高化_595801221724高中化学新人教版选择性必修一二三电子版教案PPT课件高中试卷_选择性必修1册(人教版)_讲义
第02讲热化学方程式与燃烧热(学生版)-(人教2019选择性必修1)_高化_595801221724高中化学新人教版选择性必修一二三电子版教案PPT课件高中试卷_选择性必修1册(人教版)_讲义
第02讲三氧化硫和硫酸(教师版)-(人教版2019必修第二册)_高化_595801221724高中化学新人教版选择性必修一二三电子版教案PPT课件高中试卷_必修二册(人教版)_讲义
第02讲三氧化硫和硫酸(学生版)-(人教版2019必修第二册)_高化_595801221724高中化学新人教版选择性必修一二三电子版教案PPT课件高中试卷_必修二册(人教版)_讲义
第02讲 电子云与原子轨道 泡利原理、洪特规则、能量最低原理(教师版)-(人教2019选择性必修2)_高化_595801221724高中化学新人教版选择性必修一二三电子版教案PPT课件高中试卷_讲义
热门文档
第02讲 电子云与原子轨道 泡利原理、洪特规则、能量最低原理(学生版)-(人教2019选择性必修2)_高化_595801221724高中化学新人教版选择性必修一二三电子版教案PPT课件高中试卷_讲义
第01讲能层与能级构造原理与电子排布式(教师版)-(人教2019选择性必修2)_高化_595801221724高中化学新人教版选择性必修一二三电子版教案PPT课件高中试卷_选择性必修2册(人教版)_讲义
第01讲能层与能级构造原理与电子排布式(学生版)-(人教2019选择性必修2)_高化_595801221724高中化学新人教版选择性必修一二三电子版教案PPT课件高中试卷_选择性必修2册(人教版)_讲义
第01讲硫、二氧化硫(教师版)-(人教版2019必修第二册)_高化_595801221724高中化学新人教版选择性必修一二三电子版教案PPT课件高中试卷_必修二册(人教版)_讲义
第01讲硫、二氧化硫(学生版)-(人教版2019必修第二册)_高化_595801221724高中化学新人教版选择性必修一二三电子版教案PPT课件高中试卷_必修二册(人教版)_讲义
第01讲硫、二氧化硫、三氧化硫(教师版)-精准提分2020-2021学年高一化学必修第二册同步培优(新教材人教版)_高化_2025春-人教版高中化学_02新版高中化学必修二_6.培优课件+讲义
第01讲硫、二氧化硫、三氧化硫(学生版)-精准提分2020-2021学年高一化学必修第二册同步培优(新教材人教版)_高化_2025春-人教版高中化学_02新版高中化学必修二_6.培优课件+讲义
第01讲物质的分类(教师版)-(人教2019必修第一册)_高化_595801221724高中化学新人教版选择性必修一二三电子版教案PPT课件高中试卷_必修一册(人教版)_讲义
第01讲物质的分类(学生版)-(人教2019必修第一册)_高化_595801221724高中化学新人教版选择性必修一二三电子版教案PPT课件高中试卷_必修一册(人教版)_讲义
第01讲反应热焓变(教师版)-(人教2019选择性必修1)_高化_595801221724高中化学新人教版选择性必修一二三电子版教案PPT课件高中试卷_选择性必修1册(人教版)_讲义
随机文档
第01讲反应热焓变(学生版)-(人教2019选择性必修1)_高化_595801221724高中化学新人教版选择性必修一二三电子版教案PPT课件高中试卷_选择性必修1册(人教版)_讲义
第01章物质及其变化(A卷基础强化篇)(解析版)_高化_2025春-人教版高中化学_01新版高中化学必修一_4.习题试卷_单元测试卷_第01章物质及其变化(A卷基础强化篇)
硫及其化合物教学设计第二课时_高化_2025春-人教版高中化学_02新版高中化学必修二_1.课件+教案_5.1硫及其化合物课件第二课时
盐类的水解(第二课时)-教学设计_高化_2025春-人教版高中化学_03新版高中化学选择性必修1_02教案_教案2_3.3盐类的水解教案(2课时)
盐类的水解(第一课时)-教学设计_高化_2025春-人教版高中化学_03新版高中化学选择性必修1_02教案_教案2_3.3盐类的水解教案(2课时)
电解池(第二课时)-教学设计_高化_2025春-人教版高中化学_03新版高中化学选择性必修1_02教案_教案2_4.2电解池教案(3课时)
电解池(第三课时)-教学设计_高化_2025春-人教版高中化学_03新版高中化学选择性必修1_02教案_教案2_4.2电解池教案(3课时)
电解池(第一课时)-教学设计_高化_2025春-人教版高中化学_03新版高中化学选择性必修1_02教案_教案2_4.2电解池教案(3课时)
电离平衡(第二课时)-教学设计_高化_2025春-人教版高中化学_03新版高中化学选择性必修1_02教案_教案2_3.1电离平衡教案(2课时)
电离平衡(第一课时)-教学设计_高化_2025春-人教版高中化学_03新版高中化学选择性必修1_02教案_教案2_3.1电离平衡教案(2课时)