当前位置:首页>文档>12.2.1扇形图、条形图和折线图-第2课时折线图_初中数学人教版_7下-初中数学人教版_7下-初中数学人教版(2025春季新版)持续更新_05习题试卷_同步练习_第1套

12.2.1扇形图、条形图和折线图-第2课时折线图_初中数学人教版_7下-初中数学人教版_7下-初中数学人教版(2025春季新版)持续更新_05习题试卷_同步练习_第1套

  • 2026-04-02 23:34:46 2026-03-25 20:39:23

文档预览

12.2.1扇形图、条形图和折线图-第2课时折线图_初中数学人教版_7下-初中数学人教版_7下-初中数学人教版(2025春季新版)持续更新_05习题试卷_同步练习_第1套
12.2.1扇形图、条形图和折线图-第2课时折线图_初中数学人教版_7下-初中数学人教版_7下-初中数学人教版(2025春季新版)持续更新_05习题试卷_同步练习_第1套
12.2.1扇形图、条形图和折线图-第2课时折线图_初中数学人教版_7下-初中数学人教版_7下-初中数学人教版(2025春季新版)持续更新_05习题试卷_同步练习_第1套
12.2.1扇形图、条形图和折线图-第2课时折线图_初中数学人教版_7下-初中数学人教版_7下-初中数学人教版(2025春季新版)持续更新_05习题试卷_同步练习_第1套
12.2.1扇形图、条形图和折线图-第2课时折线图_初中数学人教版_7下-初中数学人教版_7下-初中数学人教版(2025春季新版)持续更新_05习题试卷_同步练习_第1套

文档信息

文档格式
docx
文档大小
0.291 MB
文档页数
5 页
上传时间
2026-03-25 20:39:23

文档内容

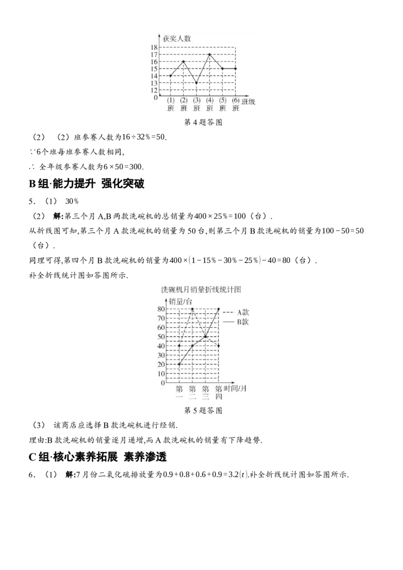
第 2 课时 折线图 A组·基础达标 逐点击破 知识点 折线图 1.[2024长沙模拟]某校在一次演讲比赛中,将所有参赛学生的成绩绘制成如图所示的折线统计图, 则下列说法错误的是( ) A.95分的人数最多 B.最高分与最低分的差是15分 C.参赛学生人数为8 D.最高分为100分 2.[2024长沙模拟]某公司的生产量在1∼7月份的增长变化情况如图所示,则下列说法正确的是( ) A.这七个月中,每月的生产量不断增加 B.1月份生产量最大 C.2∼6月生产量逐月减少 D.这七个月中,生产量有增加有减少 3.10月1日至6日,苏老师手机“微信运动”步数统计如图所示,下列说法错误的是( ) A.10月1日至3日,运动步数逐日增加 B.10月3日运动步数最多 C.10月3日至6日,运动步数逐日减少 D.10月7日运动步数比10月6日少4.[2024武威模拟]某中学组织网络安全知识竞赛活动,其中七年级6个班每班参赛人数相同,学校 对该年级的获奖人数进行统计,得到平均每班获奖15人,并制作成如图所示不完整的折线统计图. 根据以上信息,解答下列问题: (1) 请求出(3)班获奖人数,并将折线统计图补充完整; (2) 若(2)班获奖人数占班级参赛人数的32%,求全年级参赛人数是多少. B组·能力提升 强化突破 5.[2024泊头模拟]某商场试销A,B两款型号的洗碗机,四个月共售出400台.试销结束后,该商场想 从中选择一款洗碗机进行经销,请根据提供的两幅统计图完成下列问题. (1) 第四个月销量占总销量的百分比是__________; (2) 通过计算补全洗碗机月销量的折线统计图; (3) 结合折线统计图,判断该商场应选择哪款洗碗机进行经销?请说明理由. C组·核心素养拓展 素养渗透 6.[2024宁波模拟]【数据观念】项目化学习: 2021年以来某大型化工厂响应节能减排的号召,控制温室气体二氧化硫排放量,2024年暑假,某 数学小屋对该工厂近年来二氧化硫排放量进行了调查. 材料一 该工厂在2024年前7个月的二氧化硫排放情况如图①所示,该工厂7月份排放量可以看 作4个工作周的总和,排放情况如图②所示.材料二 受疫情对经济造成的影响,该工厂决定在2024年适度降低二氧化硫排放量的减少速度 来激发工业发展,并对化工生产提出2024年二氧化硫总排放量不超过42t的年度减排要求. 任务一 (1) 整理:根据材料计算7月份二氧化硫排放量并补全折线统计图. 任务二 (2) 展望:该工厂从2024年7月开始,每个月二氧化硫排放量都比前一个月的排放量减少0.1t,请通 过计算说明,该工厂是否能够完成2024年的年度减排要求. 第 2 课时 折线图 A 组·基础达标 逐点击破 知识点 折线图 1.C 2.A 3.D 4.(1) 解:6个班的总人数为15×6=90,(3)班获奖人数为90−14−16−17−15−15=13. 补全图形如答图所示:第4题答图 (2) (2)班参赛人数为16÷32%=50. ∵6个班每班参赛人数相同, ∴ 全年级参赛人数为6×50=300. B 组·能力提升 强化突破 5.(1) 30% (2) 解:第三个月A,B两款洗碗机的总销量为400×25%=100(台). 从折线图可知,第三个月A款洗碗机的销量为50台,则第三个月B款洗碗机的销量为100−50=50 (台). 同理可得,第四个月B款洗碗机的销量为400×(1−15%−30%−25%)−40=80(台). 补全折线统计图如答图所示. 第5题答图 (3) 该商店应选择B款洗碗机进行经销. 理由:B款洗碗机的销量逐月递增,而A款洗碗机的销量有下降趋势. C 组·核心素养拓展 素养渗透 6.(1) 解:7月份二氧化硫排放量为0.9+0.8+0.6+0.9=3.2(t).补全折线统计图如答图所示.第6题答图 (2) 2024年二氧化硫排放总量为 4.4+4.2+3.8+3.6+3.6+3.4+3.2+3.1+3.0+2.9+2.8+2.7=40.7(t)<42t, 故能够完成2024年的年度减排要求.