当前位置:首页>文档>专题09化学反应速率与化学平衡-2022年高考真题和模拟题化学分专题训练(学生版)_05高考化学_2024年新高考资料_1.2024一轮复习_赠2022年高考化学真题与模拟题分类训练

专题09化学反应速率与化学平衡-2022年高考真题和模拟题化学分专题训练(学生版)_05高考化学_2024年新高考资料_1.2024一轮复习_赠2022年高考化学真题与模拟题分类训练

  • 2026-04-03 02:43:50 2026-03-27 10:15:17

文档预览

专题09化学反应速率与化学平衡-2022年高考真题和模拟题化学分专题训练(学生版)_05高考化学_2024年新高考资料_1.2024一轮复习_赠2022年高考化学真题与模拟题分类训练
专题09化学反应速率与化学平衡-2022年高考真题和模拟题化学分专题训练(学生版)_05高考化学_2024年新高考资料_1.2024一轮复习_赠2022年高考化学真题与模拟题分类训练
专题09化学反应速率与化学平衡-2022年高考真题和模拟题化学分专题训练(学生版)_05高考化学_2024年新高考资料_1.2024一轮复习_赠2022年高考化学真题与模拟题分类训练
专题09化学反应速率与化学平衡-2022年高考真题和模拟题化学分专题训练(学生版)_05高考化学_2024年新高考资料_1.2024一轮复习_赠2022年高考化学真题与模拟题分类训练
专题09化学反应速率与化学平衡-2022年高考真题和模拟题化学分专题训练(学生版)_05高考化学_2024年新高考资料_1.2024一轮复习_赠2022年高考化学真题与模拟题分类训练
专题09化学反应速率与化学平衡-2022年高考真题和模拟题化学分专题训练(学生版)_05高考化学_2024年新高考资料_1.2024一轮复习_赠2022年高考化学真题与模拟题分类训练
专题09化学反应速率与化学平衡-2022年高考真题和模拟题化学分专题训练(学生版)_05高考化学_2024年新高考资料_1.2024一轮复习_赠2022年高考化学真题与模拟题分类训练
专题09化学反应速率与化学平衡-2022年高考真题和模拟题化学分专题训练(学生版)_05高考化学_2024年新高考资料_1.2024一轮复习_赠2022年高考化学真题与模拟题分类训练
专题09化学反应速率与化学平衡-2022年高考真题和模拟题化学分专题训练(学生版)_05高考化学_2024年新高考资料_1.2024一轮复习_赠2022年高考化学真题与模拟题分类训练
专题09化学反应速率与化学平衡-2022年高考真题和模拟题化学分专题训练(学生版)_05高考化学_2024年新高考资料_1.2024一轮复习_赠2022年高考化学真题与模拟题分类训练
专题09化学反应速率与化学平衡-2022年高考真题和模拟题化学分专题训练(学生版)_05高考化学_2024年新高考资料_1.2024一轮复习_赠2022年高考化学真题与模拟题分类训练
专题09化学反应速率与化学平衡-2022年高考真题和模拟题化学分专题训练(学生版)_05高考化学_2024年新高考资料_1.2024一轮复习_赠2022年高考化学真题与模拟题分类训练
专题09化学反应速率与化学平衡-2022年高考真题和模拟题化学分专题训练(学生版)_05高考化学_2024年新高考资料_1.2024一轮复习_赠2022年高考化学真题与模拟题分类训练
专题09化学反应速率与化学平衡-2022年高考真题和模拟题化学分专题训练(学生版)_05高考化学_2024年新高考资料_1.2024一轮复习_赠2022年高考化学真题与模拟题分类训练
专题09化学反应速率与化学平衡-2022年高考真题和模拟题化学分专题训练(学生版)_05高考化学_2024年新高考资料_1.2024一轮复习_赠2022年高考化学真题与模拟题分类训练

文档信息

文档格式
docx
文档大小
1.034 MB
文档页数
11 页
上传时间
2026-03-27 10:15:17

文档内容

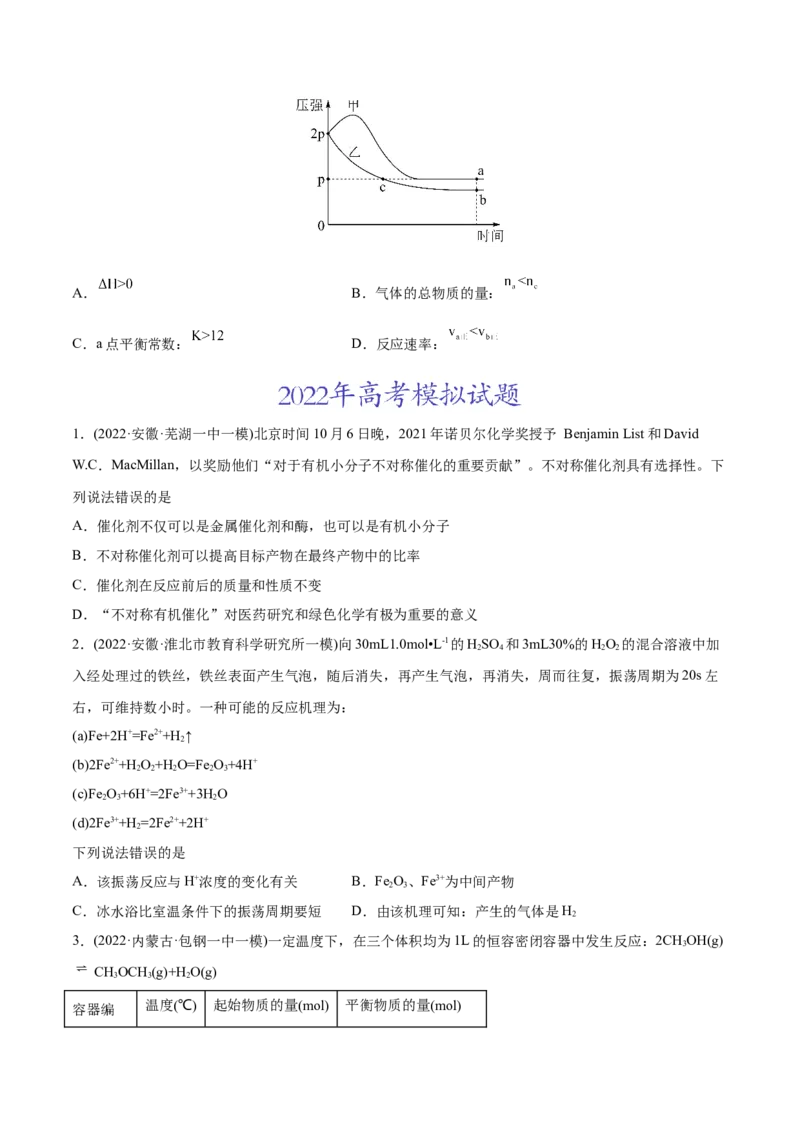
专题 09 化学反应速率与化学平衡 1.(2022·广东卷)恒容密闭容器中, 在不同温度下达平衡时,各 组分的物质的量(n)如图所示。下列说法正确的是 A.该反应的 B.a为 随温度的变化曲线 C.向平衡体系中充入惰性气体,平衡不移动 D.向平衡体系中加入 ,H 的平衡转化率增大 2 2.(2022·广东卷)在相同条件下研究催化剂I、Ⅱ对反应 的影响,各物质浓度c随反应时间t的部分 变化曲线如图,则 A.无催化剂时,反应不能进行 B.与催化剂Ⅰ相比,Ⅱ使反应活化能更低 C.a曲线表示使用催化剂Ⅱ时X的浓度随t的变化 D.使用催化剂Ⅰ时, 内, 3.(2022·浙江卷)恒温恒容的密闭容器中,在某催化剂表面上发生氨的分解反应:,测得不同起始浓度和催化剂表面积下氨浓度随时间的变化,如下表所示,下 列说法不正确的是 A.实验①, , B.实验②, 时处于平衡状态, C.相同条件下,增加氨气的浓度,反应速率增大 D.相同条件下,增加催化剂的表面积,反应速率增大 4.(2022·浙江卷)关于反应 ,达到平衡后,下列说法不 正确的是 A.升高温度,氯水中的 减小 B.氯水中加入少量醋酸钠固体,上述平衡正向移动, 增大 C.取氯水稀释, 增大 D.取两份氯水,分别滴加 溶液和淀粉KI溶液,若前者有白色沉淀,后者溶液变蓝色,可以证明 上述反应存在限度 5.(2022·湖南卷)向体积均为1L的两恒容容器中分别充入 和 发生反应: ,其中甲为绝热过程,乙为恒温过程,两反应体系的压强随时间的变化曲线如图所 示。下列说法正确的是A. B.气体的总物质的量: C.a点平衡常数: D.反应速率: 1.(2022·安徽·芜湖一中一模)北京时间10月6日晚,2021年诺贝尔化学奖授予 Benjamin List和David W.C.MacMillan,以奖励他们“对于有机小分子不对称催化的重要贡献”。不对称催化剂具有选择性。下 列说法错误的是 A.催化剂不仅可以是金属催化剂和酶,也可以是有机小分子 B.不对称催化剂可以提高目标产物在最终产物中的比率 C.催化剂在反应前后的质量和性质不变 D.“不对称有机催化”对医药研究和绿色化学有极为重要的意义 2.(2022·安徽·淮北市教育科学研究所一模)向30mL1.0mol•L-1的HSO 和3mL30%的HO 的混合溶液中加 2 4 2 2 入经处理过的铁丝,铁丝表面产生气泡,随后消失,再产生气泡,再消失,周而往复,振荡周期为20s左 右,可维持数小时。一种可能的反应机理为: (a)Fe+2H+=Fe2++H ↑ 2 (b)2Fe2++H O+H O=Fe O+4H+ 2 2 2 2 3 (c)Fe O+6H+=2Fe3++3H O 2 3 2 (d)2Fe3++H =2Fe2++2H+ 2 下列说法错误的是 A.该振荡反应与H+浓度的变化有关 B.Fe O、Fe3+为中间产物 2 3 C.冰水浴比室温条件下的振荡周期要短 D.由该机理可知:产生的气体是H 2 3.(2022·内蒙古·包钢一中一模)一定温度下,在三个体积均为1L的恒容密闭容器中发生反应:2CHOH(g) 3  CHOCH (g)+HO(g) 3 3 2 容器编 温度(℃) 起始物质的量(mol) 平衡物质的量(mol)号 CHOH(g) CHOCH (g) HO(g) 3 3 3 2 ① 387 0.20 0.080 0.080 ② 387 0.40 ③ 207 0.20 0.090 0.090 下列说法正确的是A.该反应的正反应为吸热反应 B.达到平衡时,容器①中的CHOH体积分数比容器②中的小 3 C.若容器①中反应达到平衡时增大压强,则各物质浓度保持增大 D.若起始向容器①中充入CHOH 0.10mol、CHOCH 0.10mol、HO 0.10mol,则反应将向逆反应方向进行 3 3 3 2 4.(2021·河南信阳·模拟预测)常压下羰基化法精炼镍的原理为 。 时, 该反应的平衡常数 。 已知: 的沸点为 ,固体杂质不参与反应。 第一阶段:将粗镍与 反应转化成气态 ; 第二阶段:将第一阶段反应后的气体分离出来,加热至 制得高纯镍。 下列判断正确的是 A. 是离子化合物 B.第一阶段,反应体系的温度应控制在 以上,以达到气化分离的目的 C.反应达到平衡状态以后,保持体积不变通入 ,平衡正向移动,反应的平衡常数增大 D.第二阶段,可以通过增大压强来提高 分解率 5.(2022·新疆乌鲁木齐·一模)已知: ,向一恒温恒容的密闭容器中充入 和 发生反应, 时达到平衡状态I。在 时改变某一条件, 时重新达到平衡状态II,正反应速率随 时间的变化如图所示。下列说法正确的是A. 时改变的条件可能是升温 B.平衡常数 C. 时反应向正反应方向移动 D.平衡时A的体积分数 6.(2022·江苏苏州·模拟预测)SO 、NO 是重要化工原料,可用于硫酸、硝酸的生产。工业制硫酸时,接触 2 x 室中主要反应为:2SO (g)+O(g) =2SO (g) ΔH=-196.6 kJ·mol-1,SO、NO 也是大气主要污染物,NO 可与 2 2 3 2 x x NH 混合,通过选择性催化剂高温脱除,SO 可通过碱液吸收去除。对于反应 2SO (g)+O(g) 3 2 2 2 2SO (g),下列说法正确的是 3 A.该反应ΔH<0 ΔS>0 B.2 mol SO (g)和1 mol O (g)所含键能总和比2 mol SO (g)所含键能小 2 2 3 C.反应在高温、催化剂条件下进行可提高SO 的平衡转化率 2 D.该反应中每生成22.4 L SO 转移电子的数目约等于2×6.02×1023 3 7.(2022·北京·北大附中三模)某同学设计实验方案,利用沉淀滴定法测定“Ag++Fe2+ Fe3++Ag↓”的平 衡常数K。一定温度下,先将0.0100mol·L-1Ag SO 溶液与0.0400mol·L-1FeSO 溶液(pH=1)等体积混合,待 2 4 4 反应达到平衡时,过滤,取vmL滤液用cmol·L-1KSCN标准溶液滴定Ag+,至出现稳定的浅红色时消耗 1 KSCN标准溶液vmL。 1 已知:Ag++SCN- AgSCN↓(白色) K 1 Fe3++SCN- FeSCN2+(红色) K 2 下列说法正确的是 A.Ag SO 溶液和FeSO 溶液(pH=1)可替换为AgNO 溶液和Fe(NO ) 溶液(pH=1) 2 4 4 3 3 2B.K>>K ,Fe3+是滴定终点的指示剂 1 2 C.若不过滤,直接用浊液做滴定实验测定c(Ag+),则所测K值偏大 D.若改为测定滤液中c(Fe3+),选择合适的滴定方法直接滴定滤液,也能达到目的 8.(2022·河南信阳·二模)在恒温恒压下,某一体积可变的密闭容器中发生反应A(g)+B(g) 2C(g) ΔH <0,t 时达到平衡后,在t 时改变某一条件,其反应过程如图所示。下列说法正确的是 1 2 A.I、II两过程达到平衡时,A的体积分数:I>II B.t 时改变的条件是向密闭容器中加入物质C 2 C.0~t 时,v >v 2 正 逆 D.I、II两过程达到平衡时,平衡常数:K(I)<K(II) 9.(2022·陕西渭南·一模)羰基硫(COS)是以煤、石油、天然气为原料生产的化工原料气中有机硫的主要形式。    COS催化水解的反应为:COS(g)+HO(g) CO(g)+HS(g) H<0,在相同投料比、相同气流速度、 2 2 2 △ 相同时间内,测得不同温度及不同催化剂下COS水解反应的转化率如下图所示: 下列说法正确的是 A.N点为该反应达到平衡状态的点 B.正反应的平均反应速率:P>N>M C.任何温度下,γ-Al O 的催化效果都比TiO 好 2 3 2 D.150℃时,用γ-Al O 做催化剂,达到平衡时CO 的体积分数最大 2 3 2 10.(2022·重庆八中模拟预测)氢能是清洁的绿色能源。现有一种太阳能两步法甲烷、水蒸气催化重整制氢工艺,第I、II步反应原理及反应的lgK -T关系如图所示。下列有关说法正确的是 p A.CH(g)+HO(g) CO(g)+3H(g) H<0 4 2 2 B.NiFe 2 O 4 改变反⇌应历程,降低了反△应活化能,提升了反应物的平衡转化率 C.1000℃时,反应CH(g)+HO(g) CO(g)+3H(g)平衡常数K=4 4 2 2 p D.某温度下,向反应体系中通入等⇌体积的CH 4 (g)和H 2 O(g),达到平衡时CH 4 的转化率为60%、则此时混 合气体中H 的体积分数为56.25% 2 11.(2022·北京·北师大实验中学三模)在一定条件下,利用CO 合成CHOH的反应如下:CO(g) + 3H(g) 2 3 2 2 CHOH(g) + H O(g) H,研究发现,反应过程中会有副反应:CO(g) + H(g) CO(g)+ H O(g) 3 2 1 2 2 2 △ H,温度对CHOH、CO的平衡产率影响如图所示。下列说法中,不正确的是 2 3 △ A.△H<0,△H>0 1 2 B.增大压强有利于加快合成反应的速率 C.实际生产过程中,升高温度一定降低CHOH的产率 3 D.实际生产过程中,可以通过使用合适的催化剂提高CHOH的选择性 3 12.(2022·重庆一中模拟预测)已知: 的反应历程分两步: 第1步: (快)第2步: (慢) 在固定容积的容器中充入一定量NO和 发生上述反应,测得体系中部分物质的物质的量(n)随温度(T)的 变化如图所示。下列说法错误的是 A.第1步、第2步正反应活化能分别为 、 ,则 B.a点后, 迅速减小的原因是第1步平衡逆向移动,第2步速率加快 C.b点后, 增加的原因是第2步平衡逆向移动的程度比第1步的大 D.若其他条件不变,仅将容器变为恒压状态,则体系建立平衡的时间不变 13.(2022·江苏苏州·模拟预测)CO 催化加氢合成二甲醚是一种CO 转化方法,其过程中主要发生下列反应: 2 2 反应I:CO(g)+H(g) =CO(g)+H O(g) ΔH=+41.2 kJ·mol−1 2 2 2 反应II:2CO(g)+6H(g) =CH OCH (g)+3HO(g) ΔH=—122.5 kJ·mol−1 2 2 3 3 2 在恒压、CO 和H 的起始量一定的条件下,CO 平衡转化率和平衡时CHOCH 的选择性随温度的变化如图 2 2 2 3 3 所示。 (CHOCH 的选择性= ×100%) 3 3 下列说法不正确的是 A.CO的选择性随温度的升高逐渐增大B.反应2CO(g)+4H(g)=CH OCH (g)+HO(g) ΔH=—204.9 kJ·mol−1 2 3 3 2 C.在240~320℃范围内,温度升高,平衡时CHOCH 的物质的量先增大后减小 3 3 D.反应一段时间后,测得CHOCH 的选择性为48%(图中A点),增大压强可能将CHOCH 的选择性提升 3 3 3 3 到B点 14.(2022·江苏·扬州中学三模)液氨是一种很好的溶剂,液氨可以微弱的电离产生NH 和NH 。NH 中的 3 一个H原子若被-NH 取代可形成NH(联氨),若被-OH取代可形成NH OH(羟胺)。在有NH 存在时, 2 2 4 2 Cu(OH) 能溶于氨水形成[Cu(NH )]2+。NH 经过一定的转化可以形成N、NO、NO 、NO(无色)、HNO 等。 2 3 4 3 2 2 2 4 3 对于反应2NO (g) NO(g),下列说法正确的是 2 2 4 A.该反应的H >0 B.该反应的平衡常数表达式为K= C.升高温度,该反应的正反应速率减小,逆反应速率增大 D.将反应器容积压缩为原来的一半,气体颜色比压缩前深 15.(2022·重庆市育才中学模拟预测)25℃时,恒容密闭容器中只含有X,发生反应: , X的起始压强为 ,X分解的速率方程为: ,其中k定温下为常数。生成的Y可快速建立平 衡: ,平衡常数 。下列说法正确的是 A.当X分解的速率 时,W的压强为 B.若升高温度,Z和W的物质的量之比为 ,则 C.相同时间内,X的平均速率是Y的平均速率的2倍 D.若缩小体积,则单位时间内X的转化率减小 16.(2022·上海上海·二模)有研究认为,强碱性环境下反应:I-+ClO- IO-+Cl-可能分如下三步进行: 第一步:ClO-+H O HClO+OH- K=3.3×10-10 2 1 第二步:…… K=…… 2第三步:HIO+OH- IO-+H O K=2.3×103 2 3 下列说法正确的是 A.第二步反应的平衡常数表达式为K= 2 B.由K值大小可以判断第三步反应比第一步快 C.升高温度会使K 变小、K 变大 1 3 D.OH-是该反应的催化剂 17.(2022·湖南·长郡中学模拟预测)在体积为2L的恒温密闭容器中充入 和 ,发生下 述反应: ,10min后达到平衡, 为0.4mol。下列说法正确的是 A.0~10min内,用 表示的平均反应速率为 B.当混合气体的密度不再改变时,可以表示反应达到平衡状态 C.若升高温度 ,反应的平衡常数减小,则平衡时 的物质的量变化 D.平衡后,如果此时移走 和 ,在相同温度下达到平衡时 的物质的量小于 0.2mol