当前位置:首页>文档>专题15导数与函数的极值、最值(十一大题型+模拟精练)(解析版)_02高考数学_2025年新高考资料_一轮复习_2025年高考数学一轮复习《重难点题型与知识梳理•高分突破》(新高考专用)

专题15导数与函数的极值、最值(十一大题型+模拟精练)(解析版)_02高考数学_2025年新高考资料_一轮复习_2025年高考数学一轮复习《重难点题型与知识梳理•高分突破》(新高考专用)

  • 2026-04-12 04:35:17 2026-04-12 04:35:17

文档预览

专题15导数与函数的极值、最值(十一大题型+模拟精练)(解析版)_02高考数学_2025年新高考资料_一轮复习_2025年高考数学一轮复习《重难点题型与知识梳理•高分突破》(新高考专用)
专题15导数与函数的极值、最值(十一大题型+模拟精练)(解析版)_02高考数学_2025年新高考资料_一轮复习_2025年高考数学一轮复习《重难点题型与知识梳理•高分突破》(新高考专用)
专题15导数与函数的极值、最值(十一大题型+模拟精练)(解析版)_02高考数学_2025年新高考资料_一轮复习_2025年高考数学一轮复习《重难点题型与知识梳理•高分突破》(新高考专用)
专题15导数与函数的极值、最值(十一大题型+模拟精练)(解析版)_02高考数学_2025年新高考资料_一轮复习_2025年高考数学一轮复习《重难点题型与知识梳理•高分突破》(新高考专用)
专题15导数与函数的极值、最值(十一大题型+模拟精练)(解析版)_02高考数学_2025年新高考资料_一轮复习_2025年高考数学一轮复习《重难点题型与知识梳理•高分突破》(新高考专用)
专题15导数与函数的极值、最值(十一大题型+模拟精练)(解析版)_02高考数学_2025年新高考资料_一轮复习_2025年高考数学一轮复习《重难点题型与知识梳理•高分突破》(新高考专用)
专题15导数与函数的极值、最值(十一大题型+模拟精练)(解析版)_02高考数学_2025年新高考资料_一轮复习_2025年高考数学一轮复习《重难点题型与知识梳理•高分突破》(新高考专用)
专题15导数与函数的极值、最值(十一大题型+模拟精练)(解析版)_02高考数学_2025年新高考资料_一轮复习_2025年高考数学一轮复习《重难点题型与知识梳理•高分突破》(新高考专用)
专题15导数与函数的极值、最值(十一大题型+模拟精练)(解析版)_02高考数学_2025年新高考资料_一轮复习_2025年高考数学一轮复习《重难点题型与知识梳理•高分突破》(新高考专用)
专题15导数与函数的极值、最值(十一大题型+模拟精练)(解析版)_02高考数学_2025年新高考资料_一轮复习_2025年高考数学一轮复习《重难点题型与知识梳理•高分突破》(新高考专用)
专题15导数与函数的极值、最值(十一大题型+模拟精练)(解析版)_02高考数学_2025年新高考资料_一轮复习_2025年高考数学一轮复习《重难点题型与知识梳理•高分突破》(新高考专用)
专题15导数与函数的极值、最值(十一大题型+模拟精练)(解析版)_02高考数学_2025年新高考资料_一轮复习_2025年高考数学一轮复习《重难点题型与知识梳理•高分突破》(新高考专用)
专题15导数与函数的极值、最值(十一大题型+模拟精练)(解析版)_02高考数学_2025年新高考资料_一轮复习_2025年高考数学一轮复习《重难点题型与知识梳理•高分突破》(新高考专用)
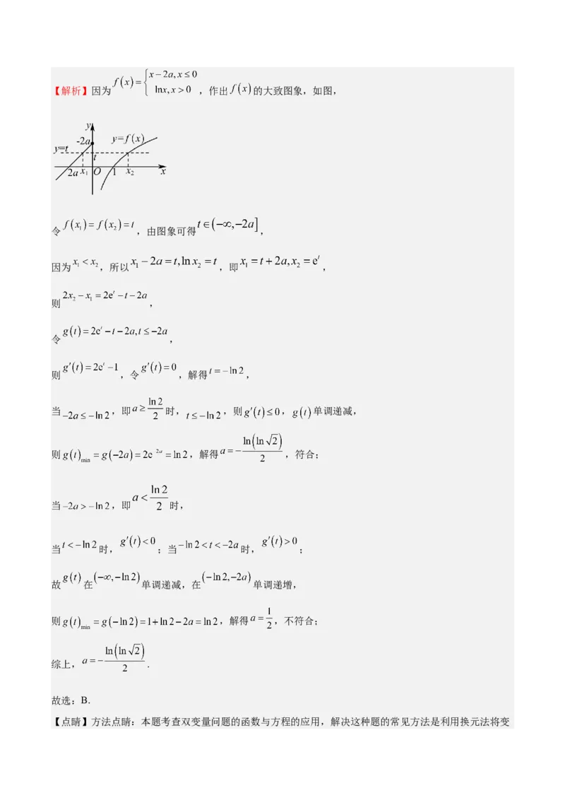
专题15导数与函数的极值、最值(十一大题型+模拟精练)(解析版)_02高考数学_2025年新高考资料_一轮复习_2025年高考数学一轮复习《重难点题型与知识梳理•高分突破》(新高考专用)
专题15导数与函数的极值、最值(十一大题型+模拟精练)(解析版)_02高考数学_2025年新高考资料_一轮复习_2025年高考数学一轮复习《重难点题型与知识梳理•高分突破》(新高考专用)
专题15导数与函数的极值、最值(十一大题型+模拟精练)(解析版)_02高考数学_2025年新高考资料_一轮复习_2025年高考数学一轮复习《重难点题型与知识梳理•高分突破》(新高考专用)
专题15导数与函数的极值、最值(十一大题型+模拟精练)(解析版)_02高考数学_2025年新高考资料_一轮复习_2025年高考数学一轮复习《重难点题型与知识梳理•高分突破》(新高考专用)
专题15导数与函数的极值、最值(十一大题型+模拟精练)(解析版)_02高考数学_2025年新高考资料_一轮复习_2025年高考数学一轮复习《重难点题型与知识梳理•高分突破》(新高考专用)
专题15导数与函数的极值、最值(十一大题型+模拟精练)(解析版)_02高考数学_2025年新高考资料_一轮复习_2025年高考数学一轮复习《重难点题型与知识梳理•高分突破》(新高考专用)
专题15导数与函数的极值、最值(十一大题型+模拟精练)(解析版)_02高考数学_2025年新高考资料_一轮复习_2025年高考数学一轮复习《重难点题型与知识梳理•高分突破》(新高考专用)
专题15导数与函数的极值、最值(十一大题型+模拟精练)(解析版)_02高考数学_2025年新高考资料_一轮复习_2025年高考数学一轮复习《重难点题型与知识梳理•高分突破》(新高考专用)
专题15导数与函数的极值、最值(十一大题型+模拟精练)(解析版)_02高考数学_2025年新高考资料_一轮复习_2025年高考数学一轮复习《重难点题型与知识梳理•高分突破》(新高考专用)
专题15导数与函数的极值、最值(十一大题型+模拟精练)(解析版)_02高考数学_2025年新高考资料_一轮复习_2025年高考数学一轮复习《重难点题型与知识梳理•高分突破》(新高考专用)
专题15导数与函数的极值、最值(十一大题型+模拟精练)(解析版)_02高考数学_2025年新高考资料_一轮复习_2025年高考数学一轮复习《重难点题型与知识梳理•高分突破》(新高考专用)
专题15导数与函数的极值、最值(十一大题型+模拟精练)(解析版)_02高考数学_2025年新高考资料_一轮复习_2025年高考数学一轮复习《重难点题型与知识梳理•高分突破》(新高考专用)
专题15导数与函数的极值、最值(十一大题型+模拟精练)(解析版)_02高考数学_2025年新高考资料_一轮复习_2025年高考数学一轮复习《重难点题型与知识梳理•高分突破》(新高考专用)
专题15导数与函数的极值、最值(十一大题型+模拟精练)(解析版)_02高考数学_2025年新高考资料_一轮复习_2025年高考数学一轮复习《重难点题型与知识梳理•高分突破》(新高考专用)
专题15导数与函数的极值、最值(十一大题型+模拟精练)(解析版)_02高考数学_2025年新高考资料_一轮复习_2025年高考数学一轮复习《重难点题型与知识梳理•高分突破》(新高考专用)
专题15导数与函数的极值、最值(十一大题型+模拟精练)(解析版)_02高考数学_2025年新高考资料_一轮复习_2025年高考数学一轮复习《重难点题型与知识梳理•高分突破》(新高考专用)
专题15导数与函数的极值、最值(十一大题型+模拟精练)(解析版)_02高考数学_2025年新高考资料_一轮复习_2025年高考数学一轮复习《重难点题型与知识梳理•高分突破》(新高考专用)
专题15导数与函数的极值、最值(十一大题型+模拟精练)(解析版)_02高考数学_2025年新高考资料_一轮复习_2025年高考数学一轮复习《重难点题型与知识梳理•高分突破》(新高考专用)
专题15导数与函数的极值、最值(十一大题型+模拟精练)(解析版)_02高考数学_2025年新高考资料_一轮复习_2025年高考数学一轮复习《重难点题型与知识梳理•高分突破》(新高考专用)
专题15导数与函数的极值、最值(十一大题型+模拟精练)(解析版)_02高考数学_2025年新高考资料_一轮复习_2025年高考数学一轮复习《重难点题型与知识梳理•高分突破》(新高考专用)
专题15导数与函数的极值、最值(十一大题型+模拟精练)(解析版)_02高考数学_2025年新高考资料_一轮复习_2025年高考数学一轮复习《重难点题型与知识梳理•高分突破》(新高考专用)
专题15导数与函数的极值、最值(十一大题型+模拟精练)(解析版)_02高考数学_2025年新高考资料_一轮复习_2025年高考数学一轮复习《重难点题型与知识梳理•高分突破》(新高考专用)
专题15导数与函数的极值、最值(十一大题型+模拟精练)(解析版)_02高考数学_2025年新高考资料_一轮复习_2025年高考数学一轮复习《重难点题型与知识梳理•高分突破》(新高考专用)
专题15导数与函数的极值、最值(十一大题型+模拟精练)(解析版)_02高考数学_2025年新高考资料_一轮复习_2025年高考数学一轮复习《重难点题型与知识梳理•高分突破》(新高考专用)
专题15导数与函数的极值、最值(十一大题型+模拟精练)(解析版)_02高考数学_2025年新高考资料_一轮复习_2025年高考数学一轮复习《重难点题型与知识梳理•高分突破》(新高考专用)
专题15导数与函数的极值、最值(十一大题型+模拟精练)(解析版)_02高考数学_2025年新高考资料_一轮复习_2025年高考数学一轮复习《重难点题型与知识梳理•高分突破》(新高考专用)
专题15导数与函数的极值、最值(十一大题型+模拟精练)(解析版)_02高考数学_2025年新高考资料_一轮复习_2025年高考数学一轮复习《重难点题型与知识梳理•高分突破》(新高考专用)
专题15导数与函数的极值、最值(十一大题型+模拟精练)(解析版)_02高考数学_2025年新高考资料_一轮复习_2025年高考数学一轮复习《重难点题型与知识梳理•高分突破》(新高考专用)
专题15导数与函数的极值、最值(十一大题型+模拟精练)(解析版)_02高考数学_2025年新高考资料_一轮复习_2025年高考数学一轮复习《重难点题型与知识梳理•高分突破》(新高考专用)
专题15导数与函数的极值、最值(十一大题型+模拟精练)(解析版)_02高考数学_2025年新高考资料_一轮复习_2025年高考数学一轮复习《重难点题型与知识梳理•高分突破》(新高考专用)
专题15导数与函数的极值、最值(十一大题型+模拟精练)(解析版)_02高考数学_2025年新高考资料_一轮复习_2025年高考数学一轮复习《重难点题型与知识梳理•高分突破》(新高考专用)
专题15导数与函数的极值、最值(十一大题型+模拟精练)(解析版)_02高考数学_2025年新高考资料_一轮复习_2025年高考数学一轮复习《重难点题型与知识梳理•高分突破》(新高考专用)
专题15导数与函数的极值、最值(十一大题型+模拟精练)(解析版)_02高考数学_2025年新高考资料_一轮复习_2025年高考数学一轮复习《重难点题型与知识梳理•高分突破》(新高考专用)
专题15导数与函数的极值、最值(十一大题型+模拟精练)(解析版)_02高考数学_2025年新高考资料_一轮复习_2025年高考数学一轮复习《重难点题型与知识梳理•高分突破》(新高考专用)
专题15导数与函数的极值、最值(十一大题型+模拟精练)(解析版)_02高考数学_2025年新高考资料_一轮复习_2025年高考数学一轮复习《重难点题型与知识梳理•高分突破》(新高考专用)
专题15导数与函数的极值、最值(十一大题型+模拟精练)(解析版)_02高考数学_2025年新高考资料_一轮复习_2025年高考数学一轮复习《重难点题型与知识梳理•高分突破》(新高考专用)
专题15导数与函数的极值、最值(十一大题型+模拟精练)(解析版)_02高考数学_2025年新高考资料_一轮复习_2025年高考数学一轮复习《重难点题型与知识梳理•高分突破》(新高考专用)
专题15导数与函数的极值、最值(十一大题型+模拟精练)(解析版)_02高考数学_2025年新高考资料_一轮复习_2025年高考数学一轮复习《重难点题型与知识梳理•高分突破》(新高考专用)
专题15导数与函数的极值、最值(十一大题型+模拟精练)(解析版)_02高考数学_2025年新高考资料_一轮复习_2025年高考数学一轮复习《重难点题型与知识梳理•高分突破》(新高考专用)
专题15导数与函数的极值、最值(十一大题型+模拟精练)(解析版)_02高考数学_2025年新高考资料_一轮复习_2025年高考数学一轮复习《重难点题型与知识梳理•高分突破》(新高考专用)
专题15导数与函数的极值、最值(十一大题型+模拟精练)(解析版)_02高考数学_2025年新高考资料_一轮复习_2025年高考数学一轮复习《重难点题型与知识梳理•高分突破》(新高考专用)

文档信息

文档格式
docx
文档大小
2.615 MB
文档页数
54 页
上传时间
2026-04-12 04:35:17

文档内容

专题 15 导数与函数的极值、最值(十一大题型+模拟精练) 目录: 01 函数极值的辨析 02求已知函数的极值 03 根据极值求参数 04 函数(导函数)图像与极值的关系 05 由导数求函数的最值 06 已知函数最值求参数 07 根据极值点求参数 08 由导数求函数的最大值(含参) 09 恒成立问题 10 零点问题 11 导数的综合应用 01 函数极值的辨析 1.(2024高三·全国·专题练习)下列函数中,存在极值的函数为( ) A. B. C. D. 【答案】D【分析】根据极值的定义进行求解即可. 【解析】A:因为函数 是实数集上的增函数,所以函数 没有极值; B:因为函数 是正实数集上的增函数,所以函数 没有极值; C:因为函数 在区间 、 上是减函数,所以函数 没有极值; D:因为 ,所以该函数在 上是增函数,在 上是减函数,因此 是函 数的极小值点,符合题意, 故选:D 2.(2024高三·全国·专题练习)下列结论中,正确的是( ) A.若 在 上有极大值,则极大值一定是 上的最大值. B.若 在 上有极小值,则极小值一定是 上的最小值. C.若 在 上有极大值,则极大值一定是在 和 处取得. D.若 在 上连续,则 在 上存在最大值和最小值. 【答案】D 【分析】根据极值和最值的定义逐一分析判断即可. 【解析】函数在 上的极值不一定是最值,最值也不一定是极值,故AB错误; 函数 在 上的极值一定不会在端点处取得,故C错误; 若 在 上连续,则 在 上存在最大值和最小值,故D正确. 故选:D. 3.(2024高三·全国·专题练习) 如图是f(x)的导函数f′(x)的图象,则f(x)的极小值点的个数为( )A.1 B.2 C.3 D.4 【答案】A 【分析】根据极值点的定义,结合导函数的图象判断即可. 【解析】由导函数f′(x)的图象知 在x=-2处f′(-2)=0,且其两侧导数符号为左正右负,x=-2是极大值; 在x=-1处f′(-1)=0,且其两侧导数符号为左负右正,x=-1是极小值; 在x=-3处f′(2)=0,且其两侧导数符号为左正右负,x=2是极大值; 所以f(x)的极小值点的个数为1, 故选:A 【点睛】本题主要考查极值点的定义以及数形结合思想的应用,属于基础题. 4.(22-23高二上·河南许昌·期末)函数 的导函数 的图象如图所示,则( ) A. 为函数 的零点 B. 是函数 的最小值 C.函数 在 上单调递减 D. 为函数 的极大值点 【答案】C【分析】根据 的图象,得到函数 的单调区间,结合函数的单调性,极值点和极值,以及零点的 概念,逐项判定,即可求解. 【解析】由 的图象,可得: 当 时, , 单调递减; 当 时, , 单调递增; 当 时, , 单调递减; 当 时, , 单调递增, A中, 是函数 的一个极大值点,不一定是函数的零点,所以A不正确; B中, 是函数 一个极小值,不一定是函数 的最小值,所以B错误; C中,函数 在 上单调递减,所以C正确; D中, 为函数 的极小值点,所以D错误. 故选:C. 02求已知函数的极值 5.(2024·黑龙江·模拟预测)已知函数 . (1)当 时,求 在点 处的切线方程; (2)讨论 的单调性,并求出 的极小值. 【答案】(1) (2) 在 单调递减,在 和 单调递增;0.【分析】(1)欲求曲线在点 处的切线方程,只需求出斜率 和 的值,利用直线的点 斜式方程求解切线的方程; (2)利用函数 的导数,求出函数的单调区间,从而求出函数的极值即可. 【解析】(1)当 时, , 则 , 所以 , 又知 , 所以 在点 处的切线方程为 . (2)因为 , 令 , 则 或 , 所以当 时, , 当 或 时, . 综上, 在 上单调递减,在 和 上单调递增; 所以 . 6.(23-24高二下·湖南·期中)已知函数 为奇函数. (1)求 的值; (2)当 时,求 的单调区间和极值.【答案】(1) (2)答案见解析 【分析】(1)由已知结合奇函数的定义即可求解; (2)先化简 的解析式,对其求导,结合导函数与单调性及极值的关系即可求解. 【解析】(1)定义域: . 由已知:函数 为奇函数,所以 , 即 ,解得 . (2)由(1)得: , 当 时,因为 ,所以 . 令 ,解得 . 变化情况如下表: 0 + 单调递减 极小值 单调递增 所以 在 上单调递减,在 上单调递增. 因此 的单调递增区间为 ,单调递减区间为 , 当 时, 有极小值,并且极小值为 ,无极大值. 03 根据极值求参数7.(22-23高二下·北京·期中)若函数 恰好有两个极值,则实数a的取值范围是 ( ) A. B. C. D. 【答案】D 【分析】求出函数的导函数,利用函数 恰好有两个极值,说明导函数有两个不同的零点,从而求出a 的取值范围. 【解析】因为 ,所以 , 由函数 恰好有两个极值,得 有两个不相等的零点, 故方程 有两个不相等的实根, 则 ,且 ,解得 或 , 所以实数a的取值范围是 . 故选:D. 8.(2023·贵州遵义·三模)已知函数 在 处取得极值0,则 ( ) A.-1 B.0 C.1 D.2 【答案】B 【分析】根据极值点的意义,列式求解. 【解析】 , 有 ,得 , 所以 . 故选:B 9.(21-22高三下·广西·阶段练习)已知函数 在其定义域的一个子区间 上有极值,则 实数a的取值范围是( )A. B. C. D. 【答案】A 【分析】求导函数,分析导函数的符号,得出原函数的单调性和极值,由已知建立不等式,求解即可. 【解析】解: ,令 ,即 ,解得 ,且 , ; , , ∴ 在 上单调递增,在 上单调递减, ∴ 有极大值 , ∴ , ∴ , 故选:A. 04 函数(导函数)图像与极值的关系 10.(23-24高二下·江西赣州·阶段练习)已知函数 的导函数 的图象如图所示,则下列说法错误 的是( ) A.函数 在 上单调递增 B.函数 至少有2个极值点 C.函数 在 上单调递减 D.函数 在 处取得极大值 【答案】D 【分析】根据 的图象判断其符号,进而可知 的单调性和极值,结合选项分析判断即可. 【解析】由 的图象可知:当 或 时, ;当 时, ;可知 在 , 上单调递增,在 上单调递减, 则函数 有且仅有两个极值点 , 结合选项可知:ABC正确;D错误; 故选:D. 11.(23-24高二下·四川广元·期中)函数 的导函数 的图象如图所示,则下列判断中 正确的是( ) A. 在 上单调递减 B. 在 上单调递减 C. 在 上存在极小值点 D. 在 上有最大值 【答案】B 【分析】结合导数的符号与函数单调性、极值的关系,以及题图即可得解. 【解析】 时, , 时, ,故 在 上不单调,A选项错误; 时, ,故 在 上单调递减,B选项正确; 时, ,故 在 上单调递减,无极值点,C选项不正确; 时, , 在 上单调递增,虽然确定了 的单调性,但没有 的解析式, 故无法确定 在 上是否有最大值,D选项不正确. 故选:B. 05 由导数求函数的最值 12.(23-24高二下·四川成都·期中)已知函数 , ,若 ,则的最小值为( ) A. B. C. D. 【答案】A 【分析】由题意,设 ,则 ,利用导数讨论函数 的性质求出 即可. 【解析】设 ,则 , 所以 , 令 ,则 , 令 ,函数 单调递减, 令 ,函数 单调递增, 所以 , 即 的最小值为 . 故选:A 13.(2024·江西鹰潭·二模)已知函数 , ,则下列命题不正确的是( ) A. 有且只有一个极值点 B. 在 上单调递增 C.存在实数 ,使得 D. 有最小值 【答案】C 【分析】由条件可得函数 可以看作为函数 与函数 的复合函数,然后求导判断其单调 性与极值,即可得到结果. 【解析】由 得 ,令 ,则函数 可以看作为函数 与函数 的复合函数, 因为 为增函数,所以 与 单调性、图象变换等基本一致, , 由 得 ,列表如下: - 0 + 由表知, 在 上单调递减,在 上单调递增, 在 时,取得极小值(最小值) , 所以 在 上单调递增,即B正确; 在 时,取得唯一极值(极小值,也是最小值) ,即A、D都正确,C错误. 故选:C 14.(23-24高二下·北京海淀·期中)关于函数 ,下列结论错误的是( ) A. 的解集是 B. 是极小值, 是极大值 C. 没有最小值,也没有最大值 D. 有最大值,没有最小值 【答案】C 【分析】解不等式判断A;利用导数探讨函数 的极值、最值判断BCD. 【解析】函数 的定义域为R, 对于A, ,解得 ,即 的解集是 ,A正确; 对于BCD, ,当 或 时, ,当 时, ,则函数 在 上单调递减,在 上单调递增, 因此 是极小值, 是极大值,B正确; 显然当 时, 恒成立,当 时, , , 而当 时,函数 的值域为 ,而 ,因此 有最大值 , 没有最小值,C错误,D正确. 故选:C 06 已知函数最值求参数 15.(23-24高二下·四川内江·阶段练习)已知 在区间 上有最小值,则实数 的取 值范围是( ) A. B. C. D. 【答案】D 【分析】求得 ,得出函数 的单调性,结合题意,得到 ,即可求解. 【解析】由函数 ,可得 , 当 时, , 单调递增; 当 时, , 单调递减; 当 时, , 单调递增, 要使得函数 在区间 上有最小值, 则满足 ,即 ,因为 ,可得 ,即 ,解得 , 所以 ,即实数 的取值为 . 故选:D. 16.(23-24高二下·四川遂宁·阶段练习)若函数 在区间 上存在 最值,则 的取值范围是( ) A. B. C. D. 或 【答案】C 【分析】借助导数研究函数单调性即可得其在何处取得最值,即可得解. 【解析】 , 则当 时, ,当 时, , 即 在 上单调递减,在 上单调递增, 即 在 处取得最值,则有 , 解得 . 故选:C. 17.(23-24高二下·湖北武汉·阶段练习)设函数 ,若 ,且 的最小值为 ,则 的值为( ) A. B. C. D. 【答案】B 【分析】作出 的大致图象,令 ,结合图象得到 的范围,再将所求转化为关于 的表 达式,构造函数 ,利用导数即可得解.【解析】因为 ,作出 的大致图象,如图, 令 ,由图象可得 , 因为 ,所以 ,即 , 则 , 令 , 则 ,令 ,解得 , 当 ,即 时, ,则 , 单调递减, 则 ,解得 ,符合; 当 ,即 时, 当 时, ;当 时, ; 故 在 单调递减,在 单调递增, 则 ,解得 ,不符合; 综上, . 故选:B. 【点睛】方法点睛:本题考查双变量问题的函数与方程的应用,解决这种题的常见方法是利用换元法将变量转化为只有1个变量,注意利用数形结合考虑变量的取值范围. 07 根据极值点求参数 18.(23-24高二上·江苏盐城·期末)已知函数 的导函数 ,若 是函数 的极大值点,则实数 的取值范围是( ) A. B. C. D. 【答案】B 【分析】分析得导函数必有2个零点,并且1必为小的零点,据此列不等式求解. 【解析】令 ,则 或 , 明显函数 在 上单调递增,且值域为 , 所以方程 必有根,设为 , 即 的根为 或 , 又 是函数 的极大值点, 则函数 在 上单调递增, 上单调递减, 上单调递增, 即 ,所以 ,得 . 故选:B. 19.(23-24高三上·河南南阳·期末)若函数 有两个不同的极值点,则实数a的取值范围 为( ) A. B. C. D. 【答案】C【分析】转化为 有两个变号零点,令 ,求导,分 和 两种情 况,得到其单调性,极值和最值情况,从而得到不等式 ,再构造函数 ,求导得到其单调性,极值最值情况,求出答案. 【解析】由题意得 有两个变号零点, 令 ,定义域为R, 则 , 当 时, 恒成立, 在R上单调递增,不会有两个零点,舍去, 当 时,令 得, ,令 得, , 所以 在 上单调递减,在 上单调递增, 故 在 处取得极小值,也是最小值, 则 ,即 , 令 , ,则 , 令 得 ,令 得 , 在 上单调递增,在 单调递减, 故 在 处取得极大值,也是最大值, 又 ,故 的解集为 , 此时当 趋向于负无穷时, 趋向于正无穷, 当 趋向于正无穷时, 趋向于正无穷,满足 有2个变号零点. 故选:C 【点睛】结论点睛:导函数处理零点个数问题,由于涉及多类问题特征(包括单调性,特殊位置的函数值 符号,隐零点的探索、参数的分类讨论等),需要学生对多种基本方法,基本思想,基本既能进行整合, 注意思路是通过极值的正负和函数的单调性判断函数的走势,从而判断零点个数,较为复杂和综合的函数 零点个数问题,分类讨论是必不可少的步骤,在哪种情况下进行分类讨论,分类的标准,及分类是否全面, 都是需要思考的地方 20.(22-23高三下·江西赣州·阶段练习)已知函数 存在两个极值点 ,则 以下结论正确的为( ) A. B. C.若 ,则 D. 【答案】D 【分析】由题可得方程 有两个不相等的实数根 ,构造函数 ,利用导数研究函数 的性质画出函数的大致图象,然后结合条件逐项分析即得. 【解析】函数 的定义域为R,求导得 ,由 ,得 ,显然 , 由函数 存在两个极值点 ,得方程 ,即 两个不相等的实数 根 , 于是函数 的图象与直线 有两个交点,且横坐标分别为 , 求导得 ,由 得 ,由 得 , 因此函数 在 , 上单调递减,在 上单调递增,且当 时, ,当 时, ,对于A,要使函数 存在两个极值点为 ,则 ,A错误; 对于B,当 时,由函数 的图象知, ,B错误; 对于C,若 ,则 ,得 ,则 ,C错误; 对于D,由 ,得 ,又 ,则 , ,有 ,即 ,因此 ,D正确. 故选:D 【点睛】函数由极值、极值点求参数的取值范围的常用方法与策略: 1、分类参数法:一般命题情境为给出区间,求满足函数极值或极值点个数的参数范围,通常解法为从 中分离参数,然后利用求导的方法求出由参数构造的新函数的最值,根据题设条件构建关于参数的不 等式,再通过解不等式确定参数的取值范围; 2、分类讨论法:一般命题情境为没有固定的区间,求满足函数极值或极值点个数的参数范围,通常解法 为结合函数的单调性,先确定参数分类标准,在每个小范围内研究零点的个数是否符合题意,将满足题意 的参数的各个小范围并在一起,即可为所求参数的范围. 08 由导数求函数的最大值(含参) 21.(23-24高二下·海南省直辖县级单位·阶段练习)已知函数 ,其中 . (1)当 时,求 的单调区间; (2)当 时,函数 在区间 上的最小值 .【答案】(1)单调递增区间为 ,单调递减区间为 (2) 【分析】(1)当 时,求 ,令 , ,求解即可; (2)先求 ,令 ,在定义域 内解得 ,讨论 的取值范围,通过判断函数 在 的单调性,即可求得最小值. 【解析】(1)当 时, , , , 因为 , , 所以当 时,解得 , 当 时,解得 , 所以函数 的单调递增区间为 ,单调递减区间为 ; (2)函数 的定义域为 , , , 令 ,得 或 (舍), 当 ,即 时, 当 时, ,则 在 上单调递增,所以函数 在区间 上的最小值为 , 当 ,即 时, 当 时, ,则 在 上单调递减, 当 时, , 在 上单调递增, 所以函数 在区间 上的最小值为 , 当 ,即 时, 当 时, ,则 在 上单调递减, 所以函数 在区间 上的最小值为 , 综上 . 22.(2024·山西吕梁·二模)已知函数 . (1)当 时,求 的单调区间和极值; (2)求 在区间 上的最大值. 【答案】(1)单调递增区间是 ,单调递减区间是 ,极大值为 ,没有极小值; (2) 【分析】(1)求出函数的导函数,再解关于导函数的不等式求出函数的单调区间与极值;(2)求出函数的导函数 ,再分 、 、 、 四种情况讨论, 得到函数 在区间 上的单调性,即可求出函数 在区间 上的最大值. 【解析】(1)当 时, , 则 , 当 时, ,函数 单调递增, 当 时, ,函数 单调递减, 故函数 的单调递增区间是 ,单调递减区间是 , 函数 的极大值为 ,没有极小值. (2)由题意得 . 若 ,当 时, , 在区间 上单调递增, 此时 的最大值为 ; 若 ,当 时, , 单调递增, 当 时, , 单调递减, 此时 的最大值为 ; 若 ,则 ,当 时, , 单调递增, 当 时, , 单调递减, 此时 的最大值为 ; 若 ,则 ,当 时, , 在区间 上单调递增,此时 的最大值为 . 综上可得, . 09 恒成立问题 23.(2024·山东烟台·一模)已如曲线 在 处的切线与直线 垂直. (1)求 的值; (2)若 恒成立,求 的取值范围. 【答案】(1) (2) 【分析】(1)根据斜率关系,即可求导求解, (2)求导判断函数的单调性,即可求解函数的最值求解. 【解析】(1)由于 的斜率为 ,所以 , 又 ,故 ,解得 , (2)由(1)知 ,所以 , 故当 时, 单调递增, 当 时, 单调递减, 故当 时, 取最小值 ,要使 恒成立,故 ,解得 , 故 的取值范围为 24.(2024·湖北·模拟预测)已知函数 , 其中 为常数. (1)过原点作 图象的切线 ,求直线 的方程; (2)若 ,使 成立,求 的最小值. 【答案】(1) (2) . 【分析】(1)设切点,求导得出切线方程,代入原点,求出参数即得切线方程; (2)由题意,将其等价转化为 在 有解,即只需求 在 上的最小 值,利用导数分析推理即得 的最小值. 【解析】(1) 设切点坐标为 ,则切线方程为 , 因为切线经过原点 ,所以 ,解得 , 所以切线的斜率为 ,所以 的方程为 . (2) , ,即 成立, 则得 在 有解, 故有 时, . 令 , , ,令 得 ;令 得 , 故 在 单调递减, 单调递增, 所以 , 则 ,故 的最小值为 . 10 零点问题 25.(23-24高三下·安徽芜湖·阶段练习)已知函数 . (1)讨论函数 的单调性; (2)求函数 在 上的零点个数. 【答案】(1)答案见解析 (2)2 【分析】(1)求导得到 ,令 即可求解函数的单调区间; (2)求导得到 ,因无法轻易求得 的解,故根据导函数的性质将 的取值范围 分为 三段分别讨论,结合零点的存在性定理即可求解零点个数. 【解析】(1)∵ ,故 , 令 , 所以 在 上单调递减,在 上单调递增; (2)因为 , , 则 .①当 时,因为 , 所以 在 上单调递减.所以 . 所以 在 上无零点. ②当 时,因为 单调递增,且 , , 所以存在 ,使 . 当 时, ;当 时, . 所以 在 上单调递减,在 上单调递增,且 . 所以 .设 , , 由(1)知 在 上单调递减,在 上单调递增. 所以 . 所以 ,得 . 所以 .所以 在 上存在一个零点. 所以 在 有2个零点. ③当 时, , 所以 在 上单调递增.因为 ,所以 在 上无零点. 综上所述, 在 上的零点个数为2.【点睛】方法点睛:处理有关三角函数与导数综合问题的主要手段有: (1)分段处理:利用三角函数的有界性与各不同区间的值域分段判断导函数符号; (2)高阶导数的应用:讨论端点(特殊点)与单调性的关系,注意高阶导数的应用,能清楚判断所讨论 区间的单调性是关键; (3)关注三角函数的有界性与常用不等式放缩. 26.(22-23高二下·内蒙古呼和浩特·期中)已知函数 . (1)函数 在 处的切线与x轴平行,求a的值; (2)若函数 有两个零点,求a的取值范围. 【答案】(1) (2) 【分析】(1)求出导数代入得 即可求出 值; (2)首先排除 的情况,在 时,根据 ,解出范围,再利用零点存在性定理证明 此时有两个零点. 【解析】(1) ,则由题意得 , 解得 . (2) 定义域为 , , 令 ,解得: , 当 时, 在 上恒成立, 在 上单调递增; 则至多有一个零点,不符合题意; 当 时,若 时, ;若 时, ; 在 上单调递增,在 上单调递减;若 有两个零点,则 ,解得 . 因为 ,且 ,由零点存在定理可知, 存在 使得 , 又因为 ,设 , 因为 ,所以 在 单调递增, 故 ,即 , 因为 ,由零点存在定理可知,存在 ,使得 . 综上可得 的取值范围是 . 【点睛】关键点点睛:本题第二问的关键是利用 ,解出 的范围,再利用零点存在性定义证明 此时满足题意即可. 11 导数的综合应用 27.(2024·江苏·二模)已知函数 . (1)当 时,证明: ; (2)若 在区间 上有且只有一个极值点,求实数 的取值范围. 【答案】(1)证明见解析 (2) 【分析】(1)因为函数的定义域为 ,当 时, ,将问题转化为当 时,,构造函数 ,利用导数研究 的值域即可证明; (2)求导 ,令 ,再求导 ,利用放缩可知 ,得到 在 单调递增, ,分类讨论 和 时 的正负,从而 确定是否有极值点以及极值点的个数. 【解析】(1)因为函数的定义域为 ,当 时, . 要证 ,只需证:当 时, . 令 ,则 , 则 在 单调递增, 所以 ,即 . (2) , 令 , 则 . 所以 在 单调递增, , ① 时, , . 则 在 为增函数, 在 上无极值点,矛盾. ②当 时, .由(1)知, , ,则 ,则 使 . 当 时, , ,则 在 上单调递减; 当 时, , ,则 在 上单调递增. 因此, 在区间 上恰有一个极值点,所以 的取值范围为 . 【点睛】方法点睛:利用导数求解参数的取值范围问题的三种常用方法: 1、直接法,直接根据题设条件构建关于参数的不等式(组),再通过解不等式(组)确定参数的取值范 围 2、分离参数法,先分离参数,将问题转化成求函数值域问题加以解决; 3、数形结合法,先对解析式变形,在同一平面直角坐标系中作出函数的图象,然后数形结合求解. 28.(2024·黑龙江齐齐哈尔·三模)已知函数 为 的极值点. (1)求 的最小值; (2)若关于 的方程 有且仅有两个实数解,求 的取值范围. 【答案】(1)1 (2) 【分析】(1)求出导函数,根据极值点的定义可得 ,代入 ,构造函数,利用导函数判断单 调性,然后利用函数的单调性求出最值即可 (2)由 ,然后分离参数得 ,设 ,求出单调区间 和极值即可 【解析】(1) , 依题意, ,所以 , 所以 , 设 ,则 , 当 时, 单调递减, 当 时, 单调递增, 当 时, 取得最小值 ,所以 的最小值为1;(2)由(1)可知, , 令 ,则 , 设 ,则 , 当 时, 单调递增, 当 时, 单调递减, 且 , 所以 . 29.(2024高三·全国·专题练习)已知函数 恰有两个零点 . (1)求实数 的取值范围; (2)若函数 ,求证: 在 上单调递减; (3)证明: . 【答案】(1) (2)证明见解析 (3)证明见解析 【分析】(1)求出函数的导数,判断其单调性,根据函数 恰有两个零点列出不等式,求 得答案; (2)写出 ,利用其导数证明单调性即可; (3)采用逆推分析的方法,将证明 成立,转化为证明 成立,继而根据 在上单调递减,需证 ,结合(2)的结论,即可证明. 【解析】(1)由题意得 ,当 时, ,当 时, , 函数 在 上单调递增,在 上单调递减,则 , 当 时, , 可取到负的无穷小值, 当 时, , 也可取到负的无穷小值, 函数 恰有两个零点,则 ,即 , 实数 的取值范围为 ; (2) , , ,令 , , ,又 时有 , , 在 上单调递增, 在 上单调递增,从而 , 在 上单调递减; (3)由(1)知, ,要证 , 只需证 , 在 上单调递减,只需证 , , 只需证 ,其中 , 只需证 ,其中 , 由(2)知,当 时, , , . 一、单选题 1.(2024·陕西西安·模拟预测)函数 的极小值点为( ) A.2 B. C. D. 【答案】A 【分析】利用导数判断单调性,进而可得极小值点. 【解析】因为 , 所以 在 , 上单调递增,在 上单调递减,故极小值点为2. 故选:A 2.(2023·河南洛阳·模拟预测)已知 的一个极值点为 ,若tan ,则实数a的值 为( ) A.﹣3 B. C.3 D. 【答案】B 【分析】由正弦函数的图像和极值点列方程求出实数a的值. 【解析】函数 的图像连续,且所以若 为 的一个极值点,由正弦函数的图像可得: ,解得: . 而tan ,所以 ,所以 . 故选:B 3.(2024·陕西渭南·模拟预测)已知函数 在区间 上的最小值为1,则实数a的值为 ( ) A.-2 B.2 C.-1 D.1 【答案】D 【分析】先利用导函数研究函数的单调性及最值计算即可. 【解析】由题意可知: , 所以当 时 ,则 在 上单调递增, 所以 . 故选:D. 4.(2024·云南昆明·一模)已知函数 ,则下列说法正确的是( ) A. 为增函数 B. 有两个零点 C. 的最大值为2e D. 的图象关于 对称 【答案】D 【分析】利用导数讨论函数的单调性,结合选项依次计算,即可求解. 【解析】A: ,令 ,得 , 当 时, ,当 时, , 所以函数 在 上单调递减,在 上单调递增,故A错误;B:由选项A知,函数 在 上单调递减,在 上单调递增, 且 ,所以函数 在R上没有零点,故B错误; C:由选项A知,函数 在 上单调递减,在 上单调递增, 所以 ,即函数 的最小值为 ,故C错误; D: ,所以函数 图象关于直线 对称,故D正确. 故选:D 5.(2024·山东菏泽·模拟预测)若实数 满足 ,则下列不等式错误的是 ( ) A. B. C. D. 【答案】B 【分析】构造函数 ,利用导数探讨最值可得 ,再结合已知及不等式性质逐项判断即得. 【解析】对于A,令函数 ,求导得 ,当 时, ,当 时, , 函数 在 上递增,在 上递减, ,即 , 而 ,因此 ,A正确; 对于B,由 ,得 ,则 , 显然 ,否则 , ,于是 ,则 ,B错误; 对于C,由 ,得 ,C正确; 对于D, ,即 ,因此 ,D正确. 故选:B6.(2023·浙江金华·模拟预测)在半径为 的实心球 中挖掉一个圆柱,再将该圆柱重新熔成一个球 , 则球 的表面积的最大值为( ) A. B. C. D. 【答案】D 【分析】由已知求出球的半径,设圆柱的底面半径为 ,则高为 ,写出圆柱的体积,利用 基本不等式求最值,即可得到满足条件的 值,结合球的体积以及表面积公式即可求解. 【解析】由球的半径为 ,如图, 设圆柱的底面半径为 ,则高为 , . 当且仅当 ,即 , 时,上式取等号,此时圆柱的体积为 , (或者令 ,当 , 所以 在 单调递增,在 单调递减,故当 取最大值4,故当 时, 取最大值4) 要使熔成一个球 的表面积最大,则半径最大,则体积最大即可, 因此熔成的球 的体积也是 ,故球 的半径为 , 所以球 的表面积为 故选:D.7.(2024·黑龙江·模拟预测)已知函数 ,若关于x的方程 的不 同实数根的个数为6,则a的取值范围为( ). A. B. C. D. 【答案】C 【分析】方程 因式分解得 ,所以 或 ,根据函数 的草图,判断 的解的个数,从而确定 解的个数,可得 的 取值范围. 【解析】当 时, ,由此可知 在 单调递减, 且当 时, ,在 上单调递增, ; 当 时, 在 单调递增,在 上单调递减, ,如图所示. 得 ,即 或 ,由 与 有两个交点,则 必有四个零点, 即 ,得 . 故选:C 8.(2024·福建莆田·二模)对于函数 和 ,及区间 ,若存在实数 ,使得 对任意 恒成立,则称 在区间 上“优于” .有以下四个结论: ① 在区间 上“优于” ; ② 在区间 上“优于” ; ③ 在区间 上“优于” ; ④若 在区间 上“优于” ,则 . 其中正确的有( ) A.1个 B.2个 C.3个 D.4个 【答案】B 【分析】对于①②:根据题意结合函数图象分析判断;对于③:构建函数 , ,利用导数判断函数单调性,可证 ;对于④:根据 结 合公切线可得 ,并检验. 【解析】对于①:若 在区间 上恒成立, 结合余弦函数的图象可知: , 若 ,此时 与 必有两个交点, 由图象可知: 不恒成立,即不存在实数 ,使得 对任意 恒成立,故①错误; 对于②:对于 , , 结合正切函数图象可知,不存在在实数 ,使得 对任意 恒成立,故②错误; 对于③:构建 , 则 , 令 ,解得 ; ,解得 ; 可知 在 内单调递减,在 内单调递增, 则 ,即 ; 构建 , 则 , 令 ,解得 ; ,解得 ; 可知 在 内单调递减,在 内单调递增,则 ,即 ; 综上所述: , 即存在实数 ,使得 对任意 恒成立, 所以 在区间 上“优于” ,故③正确; 对于④:因为 ,且 , 若 在区间 上“优于” , 可知符合条件的直线 应为 在 处的公切线, 则 ,可得 ,则切线方程为 , 构建 在即 内恒成立, 可得 ; 由③可知: ,可得 ; 综上所述: . 所以 符合题意,故④正确; 故选:B 【点睛】关键点点睛:对于③:通过构建函数证明 ; 对于④:根据 ,结合题意分析可得 ,即可得 ,注意检验. 二、多选题 9.(2024·贵州安顺·一模)设函数 ,则( ) A. 有 个极大值点B. 有 个极小值点 C. 是 的极大值点 D. 是 的极小值点 【答案】ABD 【分析】求出函数的导函数 ,即可得到函数的单调区间与极值点. 【解析】函数 的定义域为 , 且 , 所以当 或 时 , 当 或 时 , 所以 在 , 上单调递减,在 , 上单调递增, 所以 在 处取得极小值,在 处取得极大值,在 处取得极小值. 故选:ABD 10.(2024·黑龙江哈尔滨·三模)已知函数 ,则下列结论正确的是( ) A.若 ,则 在 上递增 B.若 为奇函数,则 C.若 是 的极值点,则 D.若 和 都是 的零点, 在 上具有单调性,则 的取值集合为 【答案】BCD【分析】用整体思想结合正弦函数的单调性判断A;由奇函数 即可判断B;根据已知条件计算出 即可判断C;由已知求出 范围,即可判断D. 【解析】对于A, ,当 时, , 因为 时 单调递减, 时, 单调递增,故A错误; 对于B,若 为奇函数,则 ,则 ,又 ,所以 ,故B正确; 对于C,当 时, ,则 , 又 是 的极值点,所以 ,即 ,又 ,则 ,经检验 为 的极值点, 故 ,故C正确; 对于D,由 和 都是 的零点得, , 两式相减得 , 由 在 上具有单调性且 和 都是 的零点得, , 解得 ,所以 的取值集合为 ,故D正确; 故选:BCD. 【点睛】关键点睛:对于D选项中求 的范围,一是根据 和 是 的零点得出 ,二 是结合在 具有单调性,即区间左端点为零点,得出 .11.(2024·广东广州·模拟预测)设函数 ,则( ) A.函数 的单调递增区间为 B.函数 有极小值且极小值为 C.若方程 有两个不等实根,则实数 的取值范围为 D.经过坐标原点的曲线 的切线方程为 【答案】ACD 【分析】利用导数研究函数 的单调性,结合极值、方程的根与函数图象交点个数之间的关系和导数的 几何意义,依次判断选项即可. 【解析】对A:由题意可知 的定义域为 , ,令 ,解得 , 当 时, ,当 时, , 所以函数 在 上单调递增,在 上单调递减,故A正确; 对B:当 时, 取得极大值为 ,故B错误; 对C:由上分析可作出 的图象,要使方程 有两个不等实根, 只需要 与 有两个交点,由图可知, , 所以实数 的取值范围为 ,故C正确.对D:设曲线 在 处的切线经过坐标原点, 则切线斜率 ,得 ,解得 , 所以切线斜率 ,所以切线方程为 ,故D正确. 故选:ACD 三、填空题 12.(2023·广东汕头·一模)函数 的一个极值点为1,则 的极大值是 . 【答案】4 【分析】由极值点定义得到 ,求出 ,进而得到 或 时, , 时, ,得到函数单调性和极大值. 【解析】 定义域为R, ,由题意得, ,解得 , 故 , 令 ,解得 , 令 得, 或 , 单调递增,令 得, , 单调递减, 故 在 处取得极大值,极大值为 . 故答案为:4 13.(2024·全国·模拟预测)方程 有两个不相等的实数根,则实数 的取值范围为 . 【答案】 【分析】分离参数,构造函数 ,利用导数研究其单调性与最值,作出函数大致图象,数形 结合计算即可. 【解析】由题意,得方程 有两个不相等的实数根. 令 ,则 , 所以当 时, , 单调递增; 当 时, , 单调递减.所以当 时, 取最大值 . 作出函数 的大致图象,如图. 由图可知,当 时,直线 与函数 的图像有两个交点, 即方程 有两个不相等的实数根,所以实数 的取值范围为 . 故答案为: .14.(2024·重庆·模拟预测)若函数 的图象与函数 的图象有三个不同的公共点, 则实数 的取值范围为 . 【答案】 【分析】依题意关于 的方程 恰有三个不等实数根,令 ,利用导数说明函数的单 调性,求出函数的最大值,令 ,则 ( 且 ),令 ( 且 ),依题意可得 与 有两个交点,且其中一个交点的横坐标小于 ,另一个交 点的横坐标位于 之间,即可求出参数的取值范围. 【解析】令 ,则 ,即 , 依题意关于 的方程 恰有三个不等实数根, 令 ,则 ,所以当 时 ,当 时 , 所以 在 上单调递增,在 上单调递减, 又 ,当 时 ,当 时 , 所以 , 令 ,则 ( 且 ), 则 ( 且 ),令 ( 且 ), 因为 在定义域 上单调递增, 在 , 上单调递增, 所以 在 , 上单调递增, 又 , , 要使关于 的方程 恰有三个不等实数根, 则 与 有两个交点,且其中一个交点的横坐标小于 ,另一个交点的横坐标位于 之间, 则 ,解得 , 综上可得实数 的取值范围为 . 故答案为: 【点睛】关键点点睛:本题解答的关键是将函数的公共点问题转化为方程的解,从而转化为常数函数的定 函数的交点问题. 四、解答题 15.(2024·湖南衡阳·二模)已知函数 ,当 时, 取得极值 . (1)求 的解析式; (2)求 在区间 上的最值. 【答案】(1) (2) 的最小值为 ,最大值为 .【分析】(1)利用极值定义可求得 ,可得解析式; (2)利用导函数判断出函数 在区间 上的单调性,比较端点处的值可得结论. 【解析】(1)依题意可得 , 又当 时, 取得极值 ,所以 ,即 ; 解得 ; 所以 ; (2)由(1)可知 , 令 ,可得 或 , 当 变化时, 的变化情况如下表所示: 单调递 单调递增 单调递增 减 因此,在区间 上, 的最小值为 ,最大值为 . 16.(2024·河南·三模)已知函数 ,且 在 处的切线方程是 . (1)求实数 , 的值; (2)求函数 的单调区间和极值. 【答案】(1) ,(2)单调递减区间为 ,单调递增区间为 ,极小值为 ,无极大值 【分析】(1)求出函数的导函数,根据导数的几何意义得到方程组,解得即可; (2)由(1)可得 ,利用导数求出函数的单调区间,从而求出极值. 【解析】(1)因为 ,所以 , 又 在 处的切线方程为 , 所以 , , 解得 , . (2)由(1)可得 定义域为 ,则 , 当 时, ,此时函数 单调递减, 当 时, ,此时函数 单调递增, 则 在 处取得极小值, 所以 的单调递减区间为 ,单调递增区间为 , 因此极小值为 ,无极大值. 17.(2024·江苏南京·二模)已知函数 ,其中 . (1)当 时,求曲线 在 处的切线方程; (2)当 时,若 在区间 上的最小值为 ,求a的值. 【答案】(1) (2) 【分析】(1)由 ,分别求出 及 ,即可写出切线方程;(2)计算出 ,令 ,解得 或 ,分类讨论 的范围,得出 的单调性,由 在区 间 上的最小值为 ,列出方程求解即可. 【解析】(1)当 时, ,则 , ,所以 , 所以曲线 在 处的切线方程为: ,即 . (2) ,令 ,解得 或 , 当 时, 时, ,则 在 上单调递减, 所以 ,考虑 , , 当 时, , 单调递增,当 时, , 单调递减, 所以 的极大值为 ,所以由 得 ; 当 时, 时, ,则 在 上单调递减, 时, ,则 在 上单调递增, 所以 ,则 ,不合题意; 当 时, 时, ,则 在 上单调递减, 所以 ,不合题意; 综上, . 18.(2024·宁夏石嘴山·三模)已知函数 ,( 为自然对数的底数). (1)求曲线 在 处的切线方程; (2)若不等式 对任意 恒成立,求实数 的最大值.【答案】(1) (2) 【分析】(1)分别求出 ,即可写出切线方程; (2)首先求出 ,再由辅助角公式及 得出 ,即可得出 的值域,根据值域分析即 可求解. 【解析】(1)函数 , ,则 , , , 所以曲线 在 处的切点坐标为 ,切线斜率为0, 故切线方程为 . (2) , 因为 ,所以 , 则 ,所以 , 所以函数 在 上单调递减. , , 所以函数 的值域为 . 若不等式 对任意 恒成立,则实数 的最小值为 , 所以实数 的最大值为 . 19.(2024·山东·模拟预测)法国数学家弗朗索瓦·韦达发现了一元二次方程的根与系数之间的关系,将其 推广到高次方程,并在其著作《论方程的识别与订正》中正式发表,后来人们把这个关系称为韦达定理, 即如果 是关于x的实系数一元n次方程 在复数集 C内的n个根,则 试运用韦达定理解决下列问题: (1)已知 , , ,求 的最小值; (2)已知 ,关于x的方程 有三个实数根,其中至少有一个实效根在区 间 内,求 的最大值. 【答案】(1) (2)4 【分析】(1)构造函数 求导 ,根据函数的单调性求解极值,即可得 ,进而可求解,(2)根据韦达定理可得 ,即可表达出 ,进而化简可得 ,即 可根据 ,利用不等式求解. 【解析】(1)根据韦达定理可设 是 的三个实数根, 令 , 当 时, ,此时 单调递增, 当 时, ,此时 单调递减, 故 的极大值为 极小值为 由于 不可能相等,否则 ,与 矛盾, 故 有两个或者三个零点,则 且 ,故 , 由 ,结合 , , 所以 由 , 所以 , 则 , 故 的最小值为 , (2)设方程的三个实数根分别为 ,其中 ,由韦达定理可得 , 由 和 ,得 ,当且仅当 时等号成立, 又 ,故 , ,即 , 由 ,得 , 因此 ,当且仅当 时等号成立, 由 和 可得 , 结合 可得 , 由于 以及 , 故 , 当 时,且 时等号成立,此时 ,符合 , 综上可知 的最大值为4, 【点睛】方法点睛:处理多变量函数最值问题的方法有: (1)消元法:把多变量问题转化单变量问题,消元时可以用等量消元,也可以用不等量消元. (2)基本不等式:即给出的条件是和为定值或积为定值等,此时可以利用基本不等式来处理,用这个方 法时要关注代数式和积关系的转化. (3)线性规划:如果题设给出的是二元一次不等式组,而目标函数也是二次一次的,那么我们可以用线 性规划来处理.