当前位置:首页>文档>专题16数列递推公式归类(解析版)_02高考数学_2025年新高考资料_一轮复习_上好课2025年高考数学一轮复习知识清单3246850_题型必备·冲高分

专题16数列递推公式归类(解析版)_02高考数学_2025年新高考资料_一轮复习_上好课2025年高考数学一轮复习知识清单3246850_题型必备·冲高分

  • 2026-04-12 20:06:32 2026-04-12 06:18:42

文档预览

专题16数列递推公式归类(解析版)_02高考数学_2025年新高考资料_一轮复习_上好课2025年高考数学一轮复习知识清单3246850_题型必备·冲高分
专题16数列递推公式归类(解析版)_02高考数学_2025年新高考资料_一轮复习_上好课2025年高考数学一轮复习知识清单3246850_题型必备·冲高分
专题16数列递推公式归类(解析版)_02高考数学_2025年新高考资料_一轮复习_上好课2025年高考数学一轮复习知识清单3246850_题型必备·冲高分
专题16数列递推公式归类(解析版)_02高考数学_2025年新高考资料_一轮复习_上好课2025年高考数学一轮复习知识清单3246850_题型必备·冲高分
专题16数列递推公式归类(解析版)_02高考数学_2025年新高考资料_一轮复习_上好课2025年高考数学一轮复习知识清单3246850_题型必备·冲高分
专题16数列递推公式归类(解析版)_02高考数学_2025年新高考资料_一轮复习_上好课2025年高考数学一轮复习知识清单3246850_题型必备·冲高分
专题16数列递推公式归类(解析版)_02高考数学_2025年新高考资料_一轮复习_上好课2025年高考数学一轮复习知识清单3246850_题型必备·冲高分
专题16数列递推公式归类(解析版)_02高考数学_2025年新高考资料_一轮复习_上好课2025年高考数学一轮复习知识清单3246850_题型必备·冲高分
专题16数列递推公式归类(解析版)_02高考数学_2025年新高考资料_一轮复习_上好课2025年高考数学一轮复习知识清单3246850_题型必备·冲高分
专题16数列递推公式归类(解析版)_02高考数学_2025年新高考资料_一轮复习_上好课2025年高考数学一轮复习知识清单3246850_题型必备·冲高分
专题16数列递推公式归类(解析版)_02高考数学_2025年新高考资料_一轮复习_上好课2025年高考数学一轮复习知识清单3246850_题型必备·冲高分
专题16数列递推公式归类(解析版)_02高考数学_2025年新高考资料_一轮复习_上好课2025年高考数学一轮复习知识清单3246850_题型必备·冲高分
专题16数列递推公式归类(解析版)_02高考数学_2025年新高考资料_一轮复习_上好课2025年高考数学一轮复习知识清单3246850_题型必备·冲高分
专题16数列递推公式归类(解析版)_02高考数学_2025年新高考资料_一轮复习_上好课2025年高考数学一轮复习知识清单3246850_题型必备·冲高分
专题16数列递推公式归类(解析版)_02高考数学_2025年新高考资料_一轮复习_上好课2025年高考数学一轮复习知识清单3246850_题型必备·冲高分
专题16数列递推公式归类(解析版)_02高考数学_2025年新高考资料_一轮复习_上好课2025年高考数学一轮复习知识清单3246850_题型必备·冲高分
专题16数列递推公式归类(解析版)_02高考数学_2025年新高考资料_一轮复习_上好课2025年高考数学一轮复习知识清单3246850_题型必备·冲高分
专题16数列递推公式归类(解析版)_02高考数学_2025年新高考资料_一轮复习_上好课2025年高考数学一轮复习知识清单3246850_题型必备·冲高分
专题16数列递推公式归类(解析版)_02高考数学_2025年新高考资料_一轮复习_上好课2025年高考数学一轮复习知识清单3246850_题型必备·冲高分
专题16数列递推公式归类(解析版)_02高考数学_2025年新高考资料_一轮复习_上好课2025年高考数学一轮复习知识清单3246850_题型必备·冲高分
专题16数列递推公式归类(解析版)_02高考数学_2025年新高考资料_一轮复习_上好课2025年高考数学一轮复习知识清单3246850_题型必备·冲高分
专题16数列递推公式归类(解析版)_02高考数学_2025年新高考资料_一轮复习_上好课2025年高考数学一轮复习知识清单3246850_题型必备·冲高分
专题16数列递推公式归类(解析版)_02高考数学_2025年新高考资料_一轮复习_上好课2025年高考数学一轮复习知识清单3246850_题型必备·冲高分
专题16数列递推公式归类(解析版)_02高考数学_2025年新高考资料_一轮复习_上好课2025年高考数学一轮复习知识清单3246850_题型必备·冲高分
专题16数列递推公式归类(解析版)_02高考数学_2025年新高考资料_一轮复习_上好课2025年高考数学一轮复习知识清单3246850_题型必备·冲高分
专题16数列递推公式归类(解析版)_02高考数学_2025年新高考资料_一轮复习_上好课2025年高考数学一轮复习知识清单3246850_题型必备·冲高分
专题16数列递推公式归类(解析版)_02高考数学_2025年新高考资料_一轮复习_上好课2025年高考数学一轮复习知识清单3246850_题型必备·冲高分
专题16数列递推公式归类(解析版)_02高考数学_2025年新高考资料_一轮复习_上好课2025年高考数学一轮复习知识清单3246850_题型必备·冲高分
专题16数列递推公式归类(解析版)_02高考数学_2025年新高考资料_一轮复习_上好课2025年高考数学一轮复习知识清单3246850_题型必备·冲高分
专题16数列递推公式归类(解析版)_02高考数学_2025年新高考资料_一轮复习_上好课2025年高考数学一轮复习知识清单3246850_题型必备·冲高分
专题16数列递推公式归类(解析版)_02高考数学_2025年新高考资料_一轮复习_上好课2025年高考数学一轮复习知识清单3246850_题型必备·冲高分
专题16数列递推公式归类(解析版)_02高考数学_2025年新高考资料_一轮复习_上好课2025年高考数学一轮复习知识清单3246850_题型必备·冲高分
专题16数列递推公式归类(解析版)_02高考数学_2025年新高考资料_一轮复习_上好课2025年高考数学一轮复习知识清单3246850_题型必备·冲高分
专题16数列递推公式归类(解析版)_02高考数学_2025年新高考资料_一轮复习_上好课2025年高考数学一轮复习知识清单3246850_题型必备·冲高分
专题16数列递推公式归类(解析版)_02高考数学_2025年新高考资料_一轮复习_上好课2025年高考数学一轮复习知识清单3246850_题型必备·冲高分
专题16数列递推公式归类(解析版)_02高考数学_2025年新高考资料_一轮复习_上好课2025年高考数学一轮复习知识清单3246850_题型必备·冲高分
专题16数列递推公式归类(解析版)_02高考数学_2025年新高考资料_一轮复习_上好课2025年高考数学一轮复习知识清单3246850_题型必备·冲高分
专题16数列递推公式归类(解析版)_02高考数学_2025年新高考资料_一轮复习_上好课2025年高考数学一轮复习知识清单3246850_题型必备·冲高分
专题16数列递推公式归类(解析版)_02高考数学_2025年新高考资料_一轮复习_上好课2025年高考数学一轮复习知识清单3246850_题型必备·冲高分
专题16数列递推公式归类(解析版)_02高考数学_2025年新高考资料_一轮复习_上好课2025年高考数学一轮复习知识清单3246850_题型必备·冲高分
专题16数列递推公式归类(解析版)_02高考数学_2025年新高考资料_一轮复习_上好课2025年高考数学一轮复习知识清单3246850_题型必备·冲高分
专题16数列递推公式归类(解析版)_02高考数学_2025年新高考资料_一轮复习_上好课2025年高考数学一轮复习知识清单3246850_题型必备·冲高分
专题16数列递推公式归类(解析版)_02高考数学_2025年新高考资料_一轮复习_上好课2025年高考数学一轮复习知识清单3246850_题型必备·冲高分

文档信息

文档格式
docx
文档大小
2.945 MB
文档页数
39 页
上传时间
2026-04-12 06:18:42

文档内容

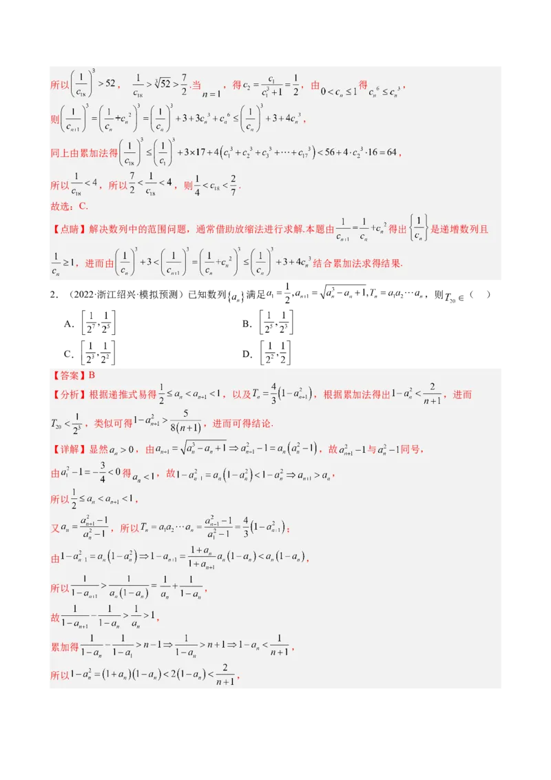
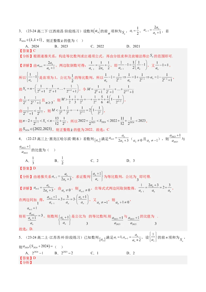
专题 16 数列递推公式归类 目录 题型一:观察归纳型求通项.................................................................................................................................................1 题型二:累加型求通项及应用.............................................................................................................................................3 题型三:累积型求通项及应用.............................................................................................................................................6 题型四:周期型求通项及应用.............................................................................................................................................8 题型五:由sn求通项..........................................................................................................................................................10 题型六:二阶等比型求通项...............................................................................................................................................13 题型七:二阶f(n)型递推...............................................................................................................................................15 题型八:三阶型递推构造等比...........................................................................................................................................16 题型九:分式型构造等差...................................................................................................................................................19 题型十:分式型构造等比...................................................................................................................................................21 题型十一:分段型求通项及应用.......................................................................................................................................23 题型十二:三阶型递推构造等差.......................................................................................................................................25 题型十三:裂项型递推.......................................................................................................................................................28 题型十四:二阶“和”为f(n)型...................................................................................................................................29 题型十五:齐次同构型.......................................................................................................................................................31 题型十六:超难构造型求通项...........................................................................................................................................34 题型一:观察归纳型求通项 先通过计算数列的前几项,再观察数列中的项与系数,根据 与项数 的关系,猜想数列的通项公式, 最后再证明. 1.(24-25高三上·广西柳州·阶段练习)将自然数1,2,3,4,5,……,按照如图排列,我们将2,4, 7,11,16,……都称为“拐角数”,则下列哪个数不是“拐角数”.( ) A.22 B.50 C.37 D.46 【答案】B 【分析】先根据题中规律找到拐角数的通项公式,进而可得. 【详解】由题意得第1个“拐角数”为 ,第2个“拐角数”为 , 第3个“拐角数”为 ,第4个“拐角数”为 , 则第 个“拐角数”为 . 对于A:第6个“拐角数”是 ,故A不合题意;对于B、C:第7个“拐角数”是 ,第8个“拐角数”是 , 则30不是“拐角数”,故B适合题意,C不合题意; 对于D:第9个“拐角数”是 ,故D不合题意. 故选:B. 2.(23-24高二下·北京·期中)数列 的前四项依次是4,44,444,4444,则数列 的通项公式可以 是( ) A. B. C. D. 【答案】C 【分析】根据题意,分析可得数列 的前四项与 的关系,综合即可得答案. 【详解】根据题意,数列 的前四项依次是:4,44,444,4444, 则有 , , , , 则数列 的通项公式可以是 , 故选:C. 3.(2024·贵州黔南·二模) ,数列1, ,7, ,31, 的一个通项公式为( ) A. B. C. D. 【答案】D 【分析】利用排除法,取特值检验即可. 【详解】对于选项A:因为 ,故A错误; 对于选项B:因为 ,故B错误; 对于选项C:因为 ,故C错误; 对于选项D:检验可知对 均成立,故D正确; 故选:D. 4.(2024·全国·模拟预测)据中国古代数学名著《周髀算经》记截:“勾股各自乘,并而开方除之(得 弦).”意即“勾” 、“股” 与“弦” 之间的关系为 (其中 ).当 时,有 如下勾股弦数组序列: , ,则在这个序列中,第10个勾股弦数组中 的“弦”等于( ) A.145 B.181 C.221 D.265 【答案】C 【分析】由给定的勾股弦数组序列中, , ,得 ,由 ,得 . 【详解】因为 ,所以 . 在给定的勾股弦数组序列中, ,所以 . 易得勾股弦数组序列中“勾”的通项公式为 , 所以 , 故“弦”的通项公式为 . 所以第10个勾股弦数组中的“弦”等于 .故选:C. 5.(23-24高二下·辽宁大连·阶段练习)数列 的通项公式为( ) A. B. C. D. 【答案】D 【分析】通过观察,即可直接选出通项公式. 【详解】根据数列的特点,归纳可得其通项公式为: . 故选:D. 题型二:累加型求通项及应用 数列求通项,可以借助对“形形色色”的累加法研究学习,积累各类通项“变化”规律。 1.“等差”累加法: 2.“等比”累加法: 3.“裂项”累加法: 4.无理根式裂项累加法: 1.(2022·湖南长沙·二模)已知数列{ }满足 ,则 ( ) A. B. C. D. 【答案】C 【分析】先由 判断出 是递增数列且 ,再由 结合累加 法求得 ;再由 结合累加法求得 ,即可求解. 【详解】由 ,得 , ,所以 ,又 , 所以数列 是递增数列且 , ,所以 , 所以 ,所以 , .当 ,得 ,由 得 , 则 , 同上由累加法得 , 所以 ,所以 ,则 . 故选:C. 【点睛】解决数列中的范围问题,通常借助放缩法进行求解.本题由 得出 是递增数列且 ,进而由 结合累加法求得结果. 2.(2022·浙江绍兴·模拟预测)已知数列 满足 ,则 ( ) A. B. C. D. 【答案】B 【分析】根据递推式易得 ,以及 ,根据累加法得出 ,进而 ,类似可得 ,进而可得结论. 【详解】显然 ,由 ,故 与 同号, 由 得 ,故 , 所以 , 又 ,所以 ; 由 , 所以 , 故 , 累加得 , 所以 ,所以 , 所以 , 另一方面,由 ,所以 ,累加得 , 故 ,即 , 所以 ;综合得 . 故选:B. 3.(23-24高三上·重庆·阶段练习)数列 、 满足: , , ,则数列 的最大项是( ) A.第7项 B.第9项 C.第11项 D.第12项 【答案】B 【分析】利用累加法得到 ,即可得到 ,然后列不等式 求 即可. 【详解】 时, , , , ,将上式累加,得 ,解得 (对于 同样成立),故 , 令 ,即 , 解得 , ,故 ,即第九项最大. 故选:B. 4.(2023·四川绵阳·模拟预测)已知正项数列 中, ,则 ( ) A. B. C. D. 【答案】A 【分析】 解法一:由 结合累加法得出 ;解法二:由 逐项验证即可. 【详解】由 及 ,得 ,即 . 法一: , 这 个式子累加,得 2 ),即 , 又当 时, ,符合上式,所以 . 法二: 由 ,得 ,经逐一验证得 正确. 故选 :A. 5.(22-23高二下·山东青岛·开学考试)数列 满足 , , ,则 的整数部分是( ) A.3 B.2 C.1 D.0 【答案】C 【分析】由 ,得到 ,再利用累加法得到 ,再 根据 ,得到 ,从而得到 的范围求解. 【详解】解:由 ,得 ,所以 , 因为 ,所以 , 则 ,又 , , ,所以 , 所以 ,所以 ,所以m的整数部分为1,故选:C 题型三:累积型求通项及应用 累乘法: 若在已知数列中相邻两项存在: 的关系,可用“累乘法”求通项. 累积法主要有“分式型”和“指数型”。 分式型: 指数型: 1.(24-25高三上·广东深圳·开学考试)数列 中, , ,记 , ,则( )A. B. C. D. 【答案】C 【分析】根据 ,即可累加求解 由 即可累乘求解 ,即可判定AB,利 用 可得 ,即可求解CD. 【详解】由 可得 , 由于 ,所以 , 故 ,故 , 又 可得 ,因此 , 故 ,故AB错误, 又 ,又因为 ,则等号无法取到,故 , 由于 故 ,因此 ,故C正确,D错误, 故选:C 【点睛】关键点点睛:将 变形为 和 ,即可累加以及累乘求解 . 2.(2024·西藏·模拟预测)已知数列 对任意 满足 ,则 ( ) A. B. C. D. 【答案】A 【分析】由 ,得 ,从而 ,再利用累乘法求解. 【详解】解:由 ,得 , 所以 , 所以 ,即 ①. 又因为 ②, ①②两式相乘,得 . 故选:A. 3.(22-23高三上·安徽滁州·阶段练习)已知数列 满足 , ,且 , ,则 ( )A. B. C. D. 【答案】B 【分析】利用累乘法求得 ,利用裂项求和法求得 . 【详解】由 可知, ,所以 , 也符合上式,所以 .所以 , 所以 .故选:B 4.(22-23高二上·河南鹤壁·阶段练习)设数列 的前n项和为 ,且 为常数列,则 ( ) A. B. C. D. 【答案】B 【分析】由条件可得 ,然后可得 ,然后用累乘法求出答案即可. 【详解】因为数列 是常数列,所以 , 因为 ,所以 ,即 , 所以当 时 , 时也满足上式,所以 . 故选:B 5.(22-23高二·全国·mn)已知数列 的前n项和为 ,且 , ,则 ( ). A.2018 B.2019 C.2020 D.2021 【答案】C 【分析】利用 与 的关系和累乘法求出 即得解. 【详解】因为 , , 所以当 时, ,化为 , 从而 ,所以 .适合 . 所以 .故 .故选:C 题型四:周期型求通项及应用常见周期数列: }满足 n 若数列{a }满足 n 若数列{a }满足 n 若数列{a }满足 n 若数列{a 1.(22-23高二上·河南洛阳·期末)已知数列 满足 =1, ,且 ( ),则数列{ }的前18项和为( ) A. 54 B. 3 C. D. 【答案】D 【分析】 利用数列 的递推公式,结合累乘法,求得其通项公式,根据三角函数的计算,求得数列 的周 期,整理数列 的通项公式,利用并项求和,可得答案. 【详解】由 ,则 ,即 , 显然 ,满足公式,即 .当 时, ;当 时, ;当 时, ; 当 时, ,当 时, ;当 时, ; 则数列 是以 为周期的数列,由 ,则 , 设数列 的前 项和为 , 故选:D. 2.(23-24高二上·浙江宁波)已知无穷正整数数列 满足 ,则 的可能值有 ( )个 A.2 B.4 C.6 D.9 【答案】C 【分析】变形给定的递推公式,由 ,推导出矛盾,从而得 ,再代入 即可分析求解. 【详解】由 ,得 ,当 时, , 两式相减得 ,即 ,于是 ,依题意 , 若 ,有 ,则 ,即 是递减数 列, 由于 是无穷正整数数列,则必存在 ,使得 与 矛盾, 因此 ,即 ,于是数列 是周期为2的周期数列, 当 时,由 ,得 ,即 , 从而 ,所以 的可能值有6个.故选:C 【点睛】思路点睛:涉及给出递推公式探求数列性质的问题,认真分析递推公式并进行变形,结合已知条 件探讨项间关系而解决问题. 3.(21-22高三上·河南商丘·阶段练习)设数列 的通项公式为 ,其 前 项和为 ,则 ( ) A. B. C.180 D.240 【答案】D 【分析】分别取 , , 和 , ,可验证出 ,利用周期 性可验算得到结果. 【详解】当 , 时, , ; 当 , 时, , ; 当 , 时, , ; 当 , 时, , . , . 故选:D 4.(23-24高二上·云南昆明·阶段练习)数列 中, ,则 的值为( ) A. B. C.5 D. 【答案】A 【分析】根据题意,得到数列{a }的周期性,结合 ,即可求解. n 【详解】由数列{a }中, , n 可得 , 可得数列{a }是以 三项为周期的周期性循环出现, n 所以 . 故选:A. 5.(23-24高二下·辽宁葫芦岛)已知函数 ,数列 满足 ,,则 ( ) A.0 B.1 C.2 D.3 【答案】B 【分析】首先结合 的奇偶性和单调性,由 可得 , 又 知数列 是4项以循环的周期数列,故求出 . 【详解】由 ,则 ,可得 . 由函数的性质,知 在 上单调递增. 因为 ,所以 . 又 ,可得 , , , , . 故选:B. 题型五:由 sn 求通项 若在已知数列中存在: 的关系,可以利用项和公式 ,求数 列的通项. 1.(2024·陕西西安·模拟预测)已知数列 的前 项和为 ,则 ( ) A.190 B.210 C.380 D.420 【答案】B 【分析】根据给定的递推公式,结合 变形,再构造常数列求出通项即可得解. 【详解】数列{a }中, , ,当 时, , n 两式相减得 ,即 , 因此 ,显然数列 是常数列, 而 ,解得 ,于是 ,因此 , 所以 .故选:B 2.(23-24高二上·四川成都)若数列 满足 , ,则 的值为( ) A. B. C. D. 【答案】B 【分析】由 与 的关系求得 ,从而 为常数列, 得到 ,即可求 的值.【详解】由 及 得 , 即 ,即 ,所以 ,即 为常数列, 又 ,所以 ,即 ,所以 , 所以 .故选:B 3.(23-24高二下·浙江)已知数列 的前 项和为 ,首项 ,且满足 ,则 ( ) A. B. C. D. 【答案】C 【分析】根据递推关系可得 ,即可逐一代入求解. 【详解】由 可得 ,所以 可得 , , , , 故选:C 4.(23-24高二上·福建三明·)已知数列 , 的前n项和分别为 ,若 , , ,则 ( ) A.150 B.100 C.200 D.5050 【答案】C 【分析】利用 之间得关系,结合累乘法求出 ,再表示出 ,利用 ,再求和即可. 【详解】结合题意可得:当 时, , 因为 ,所以当 时,有 , 由 可得 ,即 ,易知 , 所以 , 又 满足 ,故 . 所以 , 易知 , 所以 . 故选:C. 5.(23-24高三上·四川绵阳·阶段练习)已知数列 的前n项和为 ,且 ,则下列说法正确的是( ) A. B. C. D. 【答案】D 【分析】首先求数列 的解析式,再结合数列的解析式,以及条件,判断数列 和 的单调性,即 可判断选项. 【详解】由条件可知, ,当 时, ,当 时, , 验证,当 时, ,所以 , 当 时, ,单调递减,此时 ,故A错误; ,单调递增,所以 ,故B错误;当 时, ,成立, 当 时, ,故C错误;当 时, , 当 时, 单调递减,当 时,数列 取得最大值, , 当 时, ,所以 ,故D正确. 故选:D 题型六:二阶等比型求通项 二阶等比构造法有两种方法: 1.形如 为常数),构造等比数列 。特殊情况下, 当q为2时, =p, 2.形如 ,变形为 ,新数列累加法即可 1.(23-24高二下·内蒙古呼和浩特)数列{a }满足 , , ,则 ( ) n A. B. C. D. 【答案】A 【分析】根据递推公式,构造等比数列得出数列的通项公式. 【详解】因为 , 所以 ,所以 , 所以 , 所以 . 故选:A. 2.(2024·山东聊城·一模)已知数列 满足 ,则“ ”是“ 是等比数列”的 ( ) A.充分不必要条件 B.必要不充分条件 C.充要条件 D.既不充分也不必要条件 【答案】C 【分析】根据充分必要条件的证明方法,结合等比数列的定义与数列递推式即可得解. 【详解】当 时,因为 ,所以 , 又 ,则 ,则 , 依次类推可知 ,故 , 则{a }是首项为 ,公比为 的等比数列,即充分性成立; n 当{a }是等比数列时,因为 ,所以 , n 当 时, ,则 是公比为 的等比数列, 所以 ,即 , 则 , , , 由 ,得 ,解得 ,不满足题意; 当 ,即 时,易知满足题意; 所以 ,即必要性成立. 故选:C. 3.(2022高三·全国·专题练习)已知数列 满足 ,则满足不等式 的 的 值为( ) A.4 B.5 C.6 D.7 【答案】C 【分析】根据数列的递推式求出数列的通项公式,判断其单调性,令 ,求出n的范围,确定数列的 项正负分界时的n的值,结合 ,即可确定k的值,即得答案. 【详解】由题意知数列 满足 , 故 ,则 , 结合 ,可知数列 为首项是 ,公比为 的等比数列, 故 ,则 , 由于 在R上单调递减,则 随n的增大而减小,令 ,即得 ,由于 随n的增大而增大,且 , 则 ,而 ,故 , , 即数列 的前5项为正,从第6项起均为负, 故满足不等式 的 的值为6,故选:C 【点睛】关键点点睛:本题解决的关键是利用构造法求得 的通项公式,从而得解. 4.(2023高二上·湖南岳阳)在数列 中, , ,则 为( ). A. B. C. D. 【答案】B 【分析】由题意可以得到数列 为等比数列,从而求解出数列 的通项公式. 【详解】因为 , 所以 , 又因为 ,所以 , 故 为首项为3,公比为2的等比数列, 所以 ,故 . 故选:B. 5.(21-22高二上·河南·阶段练习)设数列 满足 ,且 ,则( ) A. 为等比数列 B. 为等比数列 C. 为等比数列 D. 为等比数列 【答案】A 【分析】由 ,化简得的 ,结合等比数列的定义,即可求解. 【详解】由 ,可得 ,所以 , 又由 ,所以 , 所以 是首项为 ,公比为 的等比数列. 故选:A. 题型七:二阶 f(n)型递推 二阶f(n)型构造法有两种方法: 1.形如 为常数),构造等比数列 。 2.形如 ,变形为 ,新数列累加法即可 1.(21-22高二上·河南·阶段练习)在数列 中, , ,若 , 则n的最小值是( ) A.8 B.9 C.10 D.11 【答案】C【分析】根据数列的递推公式,构造数列,可得到 ,由此证明 是等比数列, 求出 ,结合其单调性,可求得答案. 【详解】因为 ,所以 .因为 ,所以 , 所以数列 是首项和公比都是2的等比数列,则 ,即 , 因为 ,所以数列 是递增数列,因为 , , 所以满足 的n的最小值是10,故选:C 2.(22-23高二上·全国·单元测试)已知数列 满足 = , ,则数列 的通项公式是 ( ). A. B. C. D. 【答案】A 【分析】由递推公式可得数列 是等比数列,根据等比数列的通项公式即可求解. 【详解】因为 ,所以 ,设 ,可得 ,所以 , 即 , 所以 ,所以数列 是首项为 ,公比为3的等比数列, 所以 ,所以 .故选:A. 3.(浙江省杭州市富阳中学2021-2022学年高三上学期第一次二校联考数学试题)已知数列{a }的前n项 n 和为 ,且满足 ,数列{b }的通项 ,则使得 n 恒成立的最小的k值最接近( ) A. B. C. D.1 【答案】B 【分析】由数列的递推式可得 ,求得 ,再由等差数列的求和公式 和定义,即可得到 ,再利用放缩法,结合数列的裂项相消求和和不等式的性质,即可得解. 【详解】解:因为 , ,可得 , 由 ,可得 ,即 , ,则 , 所以 , 可得 , 又 , 恒成立.故选:B.4.(2014高一·全国)等差数列 满足 为其前 项和,那么 ( ) A. B. C. D. 【答案】C 【分析】 根据 求出公差和首项,得到通项公式,得到答案. 【详解】等差数列{a }满 , n 分别令 ,2得, ①, ②, ②-①可得 ③,将③代入①可知 ,通项公式 ,经检验符合题意. 故 .故选:C 5.(2023河北沧州·一模)已知数列 满足 , , .设 ,若对于 ,都有 恒成立,则 的最大值为 A.3 B.4 C.7 D.9 【答案】A 【详解】整理数列的通项公式有: , 结合 可得数列 是首项为 ,公比为 的等比数列,则 , ,原问题即: 恒成立, 当 时, ,即 >3,综上可得: 的最大值为3.本题选择A选项. 点睛:数列的递推关系是给出数列的一种方法,根据给出的初始值和递推关系可以依次写出这个数列的各 项,由递推关系求数列的通项公式,常用的方法有:①求出数列的前几项,再归纳猜想出数列的一个通项 公式;②将已知递推关系式整理、变形,变成等差、等比数列,或用累加法、累乘法、迭代法求通项. 题型八:三阶型递推构造等比 三阶递推数列 形如 ,常凑配系数构等比数列 形如 形如 1.(22-23高三河南南阳模拟)已知数列{a },{b }满足 , , , n n ,则使 成立的最小正整数 为( ) A.5 B.7 C.9 D.11 【答案】C 【解析】令 ,由 , 可知数列 是首项为1.8,公比为 的等比数列,即 ,则 ,解不等式可得n的最小值. 【详解】令 ,则 所以数列 是首项为1.8,公比为 的等比数列,所以 由 ,即 ,整理得 由 , ,所以 ,即 故选:C. 【点睛】本题考查了等比数列及等比数列的通项公式,解题的关键是根据已知的数列递推关系式,利用等 比数列的定义,得到数列 为等比数列,考查了学生的分析问题能力能力与运算求解能力,属于中档题. 2.(22-23高三·全国模拟)已知数列 中, , , ,求 ( ) A. B. C. D. 【答案】A 【解析】由 ,设 ,利用待定系数法可得 , ,然后利用等比数列的定义求解. 【详解】设 ,则 ,∴ ,解得 或 , 当 , 时, ,∴ 是以首项为 ,公比为 的等比数列, ∴ ,∴ , . 当 , 时, ,∴ 是以首项为 ,公比为 的等比数列, ∴ ,设 ,解得 , ∴ 是首项为 ,公比为 的等比数列,∴ ,∴ 故选:A. 3.(21-22高二上·河南商丘·期中)已知数列 满足 , , ,设 , 有下列四个结论① ; ② 是等比数列; ③ 是等差数列; ④ 的通项公式为 . 其中所有结论的序号为( ) A.①②③ B.② C.②④ D.②③④ 【答案】C 【分析】根据 得到 ,进而得到 ,进一步求出 的通项公式, 然后求得各个答案. 【详解】因为 ,所以 ,即 ,所以数列 是首项为 ,公比为 的等比数列,所以 , .由题可知 ,因为 ,所以 不是等差数列.所以②④正确. 故选:C. 4.(22-23高三·全国)已知数列 满足 ,且 , ,则 ( ) A. B. C. D. 【答案】A 【分析】由 可得 ,即数列 是以 为首项,2为公比的等比数列, 再根据 的值求出 可得答案. 【详解】由 ,可得 ,若 , 则 ,与 矛盾, 故 ,所以 ,即数列 是以 为首项,2为公比的等比数列, 所以 ,又 ,所以 .故选:A. 5.(2023·河南郑州·模拟预测)在数列 中, ,则 的前 项和 的 最大值为( ) A.64 B.53 C.42 D.25 【答案】B 【分析】令 ,则由 可得 ,所以数列 是以 为首 项,2为公比的等比数列,可得到 ,然后用累加法得到 ,通过 的单调性即 可求出 的最大值 【详解】由 ,得 , 令 ,所以 ,则 , 所以数列 是以 为首项,2为公比的等比数列, 所以 ,即 ,即 , 由 , 将以上 个等式两边相加得 ,所以 , 经检验 满足上式,故 当 时, ,即 单调递增,当 时, ,即 单调递减, 因为 , 所以 的前 项和 的最大值为 , 故选:B 题型九:分式型构造等差 形如 ,可以取倒数变形为 ; 1.(23-24高二上·广东湛江·阶段练习)在数列 中, , ,则 ( ) A. B. C. D.100 【答案】C 【分析】将 两边取倒数,即可得到 ,从而求出 的通项公式,即可得解. 【详解】因为 , ,所以 ,即 , 所以 是以 为首项, 为公差的等差数列,所以 ,则 , 所以 .故选:C 2.(23-24高二下·吉林长春·期中)已知数列 中, 且 ,则 ( ) A. B. C. D. 【答案】D 【分析】采用倒数法可证得数列 为等差数列,根据等差数列通项公式可推导得到 ,得解. 【详解】由 得: , 又 , 数列 是以1为首项, 为公差的等差数列, , , , ,故选:D.3.(21-22高二下·广东肇庆)已知数列 满足 , ,则数列 的前10项和为( ) A. B. C. D. 【答案】D 【分析】利用构造法求得 ,利用错位相减求和法求得正确答案. 【详解】依题意, , ,则 , ,所以数列 是首项为 , 公差为 的等差数列,所以 ,所以 ,其前 项和 ①, 则 ②,两式相减得 , 所以 .故选:D 4.(23-24高二上·浙江杭州)若数列 满足递推关系式 ,且 ,则 ( ) A. B. C. D. 【答案】A 【分析】利用取倒数法可得 ,结合等差数列的定义和通项公式即可求解. 【详解】因为 ,所以 ,所以 ,又 ,所以 , 故数列 是以 为首项,以 为公差的等差数列, 则 ,得 ,所以 .故选:A 5.(23-24高二上·云南昆明)已知数列 中, 且 ,则 为( ) A. B. C. D. 【答案】A 【分析】采用倒数法可证得数列 为等差数列,根据等差数列通项公式可推导得到 ,得解. 【详解】由 得: , 又 , 数列 是以1为首项, 为公差的等差数列, , , , ,故选:A.题型十:分式型构造等比 形如 ,可以取倒数变形为 ,再构造等比 1.(23-24高二下·河北·开学考试)已知数列 满足 , ( ),则满足 的 的最小取值为( ) A.5 B.6 C.7 D.8 【答案】C 【分析】由题意可得 ,即可得数列 是以4为首项,2为公比的等比数列,即可 计算出数列 的通项公式,再解出不等式即可得解. 【详解】因为 ,所以 ,所以 , 又 ,所以数列 是以4为首项,2为公比的等比数列, 所以 ,所以 . 由 ,得 ,即 ,解得 . 因为 为正整数,所以 的最小值为7. 故选:C. 2.(23-24高二下·河北邢台·阶段练习)已知数列 满足 ,且 ,则 ( ) A.3 B. C. D. 【答案】D 【分析】由递推关系证明数列 是等比数列从而得 ,代入 即可求解. 【详解】若 ,则 ,且 , 从而由题意 ,即 , 也就是数列 是以 为首项, 为公比的等比数列, 从而 ,所以 ,解得 . 故选:D.3.(23-24高二下·江西南昌·阶段练习)设数列{a }的前 项和为 , , ,若 n ,则正整数 的值为( ) A.2024 B.2023 C.2022 D.2021 【答案】C 【分析】根据递推关系,构造等比数列求出通项公式,再由分组求和及放缩法得出 的范围即可. 【详解】由 ,两边取倒数可得: ,即 ,又 , 所以 是首项为1,公比为 的等比数列,所以 , 故 ,令 由 且 ,则 , 由 ,则 , 则 ,所以 , 故 ,则正整数 的值为2022.故选:C 4.(22-23高三上·黑龙江哈尔滨·期末)若数列 满足 ( 且 ),则 与 的比值为( ) A. B. C.2 D.3 【答案】D 【分析】由递推关系 ,求证数列 为等比数列,公比为 即可得. 【详解】 ,由 ,则 ,在等式式两边同取倒数得, , 在两边同加 得, ,又 ,则 , 则有 ,则数列 是公比为 的等比数列.则 与 的比值为 . 故选:D. 5.(23-24高二上·江苏苏州·阶段练习)已知数列 满足 ,设 的前n项和为 , 则 ( ) A. B. C.1 D.2 【答案】D 【分析】先将等式左右两边同时取倒数,然后根据所得结果构造等比数列 ,由此求解出 的通项, 再结合等比数列的前 项和公式求解出结果. 【详解】因为 ,所以 ,所以 且 , 所以 是首项为 公比为 的等比数列,所以 ,所以 , , 所以 , 所以 ,故选:D. 题型十一:分段型求通项及应用 讨论型: 1.分段数列 2.奇偶各自是等差,等比或者其他数列 1.(23-24高二下·江苏南京·阶段练习)已知数列{a }满足 ,当 时,有 n ,则 ( ) A. B. C. D. 【答案】B 【分析】由递推关系式可得 ,构造数列可得 是等比数列 ,进而可求得结果. 【详解】由题意知, , ,则 , 又因为 ,所以数列 是首项为2,公比为2 的等比数列, 所以 ,即 , 所以当 时, .故选:B. 2.(2024·河北张家口·三模)已知数列 的前n项和为 ,且满足 ,则 ( ) A. B. C. D. 【答案】A 【分析】分奇数项和偶数项求递推关系,然后记 ,利用构造法求得 ,然 后分组求和可得. 【详解】因为 ,所以 , , 且 , 所以 ,记 ,则 ,所以 ,所以 是以 为首项,2为公比的等比数列, 所以 , , 记{b }的前n项和为 ,则 . n 故选:A 【点睛】关键点点睛:本题解题关键在于先分奇数项和偶数项求递推公式,然后再并项得{b }的递推公式, n 利用构造法求通项,将问题转化为求{b }的前50项和. n 3.(2024·云南曲靖·模拟预测)数列 满足 且 ,则 ( ) A. B. C. D. 【答案】C 【分析】令 ,得到 ,构造等比数列,然后求出 通项公式,然后即可得解. 【详解】令 ,由题意可得 , 所以 , 所以 ,又 ,所以 数列 是以6为首项,2为公比的等比数列, 所以 ,即 所以 , 故选:C. 4.(23-24高三上·重庆·阶段练习)已知数列 满足 , ,记 ,则有 ( ) A. B. C. D. 【答案】D 【分析】根据已知递推公式,可求出 的值,即可判断A、B;根据递推公式可推得 ,即 ,从而得出 是以3为首项,4为公差的等差数列,求出通项公式, 判断C、D. 【详解】对于A项,由已知可得 ,故A项错误; 对于B项,由已知可得, , ,故B错误; 对于C项,由已知可得, , , 即 ,所以 .故C项错误; 对于D项,因为 , , 所以, 是以3为首项,4为公差的等差数列, 所以, .故D正确. 故选:D. 5.(2023·陕西安康·模拟预测)已知数列 的首项为 , ,则数列 的前2023项和为( )A. B. C. D. 【答案】A 【分析】先分类讨论 为奇数和偶数,求出 的通项公式,再由错位相减法求解即可. 【详解】当 为奇数时, , , , , 当 为偶数时, , , , , ∴ , ,当 , 时, , , ∴ , ,即 为奇数时,数列 是常数列, , ∴当 为奇数时, ; 又∵当 为偶数时, 为奇数, ,∴ , 综上所述,数列 的通项公式为 . ∴数列 的通项公式为 ,其前 项和 为, ,①.① ,得 ,② ① ②,得 , ∴ ,∴ , ∴ ,∴ , ∴ .故选:A. 【点睛】本题解题的关键,是通过分类讨论,分别求出 为奇数和 为偶数时的通项公式,再结合 的 通项公式进行求解. 题型十二:三阶型递推构造等差 三阶递推型,可以通过凑配系数来构造等比数列。 1.(2024·全国·模拟预测)已知数列 满足 ,其前n项和为 ,则使得 成立的n的最小值为( ) A.8 B.9 C.10 D.11 【答案】D 【分析】由数列递推式,整理构造出等差数列 ,求得通项 ,再利用错位相减法求得,最后代入不等式求解即得. 【详解】因为 ,所以 .两边同乘 得, , 又因为 ,即 ,所以 是首项为1,公差为1的等差数列, 所以 ,则 .则 , ,两式相减得, , ,所以 , 则由 可得, , 解得 ,则n的最小值为11. 故选:D. 【点睛】关键点点睛:解题关键在于,对于已知的数列递推式,发现其特征,通过等价变形,将其转化为 等差或等比数列的形式,有时从数列定义,有时是通过等差(比)中项的角度推得,对于通项具备“等差 ×等比”型的数列,考虑用错位相减法求和即得. 2.(2023·全国·模拟预测)已知数列 满足 , 且 ,若 ,数列 的前 项和为 ,则 ( ) A. B. C. D. 【答案】D 【分析】由 可得数列 是等差数列,进而可得数列 的通项公式,故 可得数列 的通项公式,进而通过裂项相消法得到数列 的前 项和 ,最后代入得到 . 【详解】 , , 数列 是等差数列, , , , , 数列 的公差 , ,既 , 故 , , ,故选:D. 3.(23-24高三上·福建·期中)设数列 满足 , , ,若 表示大于 的最 小整数,如 , ,记 ,则数列 的前2022项之和为( ) A.4044 B.4045 C.4046 D.4047【答案】B 【分析】根据题意,由递推关系结合等差数列通项公式与累加法可得数列 的通项公式,从而得到数列 的通项公式,然后结合[x)的定义,即可得到结果. 【详解】因为 ,所以 ,又 , 所以数列 是以3为首项,2为公差的等差数列, 所以 所以 , 当 时也符合上式,故 , 则数列 的通项公式 , 则数列 的前2022项之和为 . 故答案为:4045. 4.(23-24高三上·山东烟台·期中)斐波那契数列 以如下递归的方法定义: ,若斐波那契数列 对任意 ,存在常数 ,使得 成等差数列,则 的值为( ) A.1 B.3 C. D. 【答案】C 【分析】由 的任意性,取特值得到 的方程组求解,再加以验证即可. 【详解】由 得 , 若对任意 , 成等差数列,则 成等差数列,且 成等差数列, 则有 ,所以 ,解得 , 由 可知, 当 时,对任意 ,有 成等差数列,满足题意.则 ,故选:C. 5.(22-23高二下·广东佛山·阶段练习)若数列 满足 ,且对于 都有 ,则 ( ) A. B. C. D. 【答案】B 【分析】令 ,由题意可证得数列 是以 为首项,2为公差的等差数列,即可求 出数列 的通项公式,再由裂项相消法求和即可得出答案. 【详解】因为对于 都有 , ,令 ,所以,所以数列 是以 为首项,2为公差的等差数列. 所以 ,所以 ,所以 , ,……, ,将这 项累加,则 , 所以 ,则 , 所以 .故选:B. 题型十三:裂项型递推 1.(23-24高二上·甘肃白银·期中)在数列 中,若 ,则数列 的前 项中所有有理项之和为( ) A. B. C. D. 【答案】B 【分析】对递推关系式中右边的一项进行分母有理化,再进行变形后,可得到 是等差数列,从而 求出 的通项公式,根据通项公式可求得所有的有理项,求和即可. 【详解】因为 ,则 ,所以 是以 为首项, 为公差的等差 数列, 所以 ,则 ,当 时,只有 是有理项,将它们加起来得: ,故选: 2.(24-25高二上·全国·课堂例题)在数列 中, , ,则 等于( ) A. B. C. D. 【答案】B 【分析】由 ,可以采用累加法进行求解. 【详解】由 ,则 , , , ,… ,以上各式累加得 . 所以 .因为 也适合上式,所以 .故选:B. 3.(23-24高二下·安徽亳州·期中)若数列{a }满足 ( 且 ), ,则 n ( ) A. B. C. D. 【答案】C 【分析】将数列递推式整理裂项,运用累加法和裂项相消法求和,得到数列通项即得. 【详解】由 可得 , 则有, . 故 . 故选:C. 4.(22-23高二下·北京昌平·期中)已知数列 满足 ,则 =( ) A. B. C. D. 【答案】C 【分析】利用累加法以及裂项求和法求得正确答案. 【详解】依题意, , 所以 . 故选:C. 5.(22-23高二下·新疆乌鲁木齐·开学考试)在数列 中, , ,则 等于( ) A. B. C. D. 【答案】B 【分析】根据数列的递推公式可得 ,结合累加法,即可求解. 【详解】由题意可得 , 所以当 时, , , , , 上式累加可得, ,又 ,所以 , 当 时, 满足上式,所以 .故选:B.题型十四:二阶“和”为 f(n)型 满足 ,称为“和”数列,常见如下几种: 1.“和”常数型: ,则数列奇数项与偶数项各自是常数数列 2.“和”等差型: 则再写一个做差,数列奇数项与偶数项各自是等差数列 3.“和”二次型: ,则可以则再写一个做差,化归为前边”和“等差数列形式 4.“和”换元型:同构换元,化归为常见的形式 1.(2023·浙江绍兴·模拟预测)已知数列 满足 ,且 ,则下列说法中错误的是 ( ) A.若 ,则 是等差数列 B.若 ,则 是等差数列 C.若 ,则 是等比数列 D.若 ,则 是等比数列 【答案】B 【分析】根据题意给出的条件进行化简,并结合等差数列、等比数列知识进行逐项求解判断. 【详解】对于A项: ,得: , 因为: ,所以得: , 所以: 为等差数列,故A项正确; 对于B项: , ,所以: , , 不满足等差数列,故B项错误; 对于C项: , ,所以: ,故: , 数列 为等比数列,故C项正确 对于D项: ,得: , 因为: ,所以: ,即: , 所以: 为等比数列,故D项正确. 故选:B. 2.(23-24高三上·广东佛山·开学考试)已知数列 对任意 满足 ,则 ( ) A.4040 B.4043 C.4046 D.4049 【答案】B 【分析】根据数列 的递推公式可知相邻的奇数项或者偶数项成等差数列,写出 的表达式即可求出 结果. 【详解】由 可得 ;两式相减可得 ; 即相邻的奇数项或者偶数项成等差数列,且公差为4,所以可得 ,即 ; 当 时, ,因此 .故选:B 3.(24-25高二上·全国·课后作业)若公差为d的等差数列 满足 ,则下列结论错误的 为( ) A.数列 也是等差数列 B. C. D.13是数列 中的项 【答案】D 【分析】利用条件结合等差数列的定义及通项公式即可判断. 【详解】对于A,由 得 时, 所以 , 所以 是等差数列,故A正确; 对于B,由 得 , 所以 ,因为 是等差数列,所以 ,故B正确; 由 ,则 ,所以 ,故C正确 即 ,令 ,解得n不是整数,故D错误. 故选:D. 4.(2024·全国·模拟预测)若数列 满足对任意的 均有 ,则 ( ) A. B. C. D. 【答案】B 【分析】将递推关系中的 用 代换,得到新的等式,两式相减可得 是等差数列,根据等差数列的 通项公式和递推关系求解即可. 【详解】因为 ,所以 , 两式相减,得 , 所以 是首项为 、公差为 的等差数列,所以 , 由 ,当 时,可得 , 即 , 所以 , 故 , 所以 . 故选: . 5.(19-20高三上·贵州·期末)已知数列{an}的首项a=1,且满足an +an=3n(n∈N*),则a 的值等 1 +1 2020 于( ) A.2020 B.3028 C.6059 D.3029 【答案】D 【分析】作差 ,得到 ,即数列{an}的奇数项,偶数项皆为公差为3的 等差数列,由等差数列的通项公式即得解. 【详解】因为an +an=3n,且a=1所以 又 +1 1即 故数列{an}的奇数项,偶数项皆为公差为3的等差数列, 故a 2020 故选:D 【点睛】本题考查了由数列的递推公式求通项,考查了学生转化划归,数学运算的能力,属于中档题. 题型十五:齐次同构型 通过齐次型同除,或者因式分解等,构造结构相同的递推数列求解 1.(23-24高二上·江苏淮安·阶段练习)已知数列 满足 ,且 ,则数列 的前101项中能被 整除的项数为( ) A.42 B.41 C.40 D.39 【答案】B 【分析】由题目条件变形得到 ,进而得到数列 是等差数列,求出通项公式,求 出 ,推出每5项中有2项能被 整除,且第 项能被5整除,从而求出答案. 【详解】由 得, , 所以数列 是以 为首项, 为公差的等差数列, 则 ,所以 , 当 时, ,能被5整除,能被5整除, 当 时, ,能被5整除, 当 时, ,不能被5整除, 当 时, ,不能被5整除, 当 时, ,不能被5整除, 故从1开始,每5项中有2项能被 整除,又 ,故第 项能被5整除, 所以数列{a }的前 项中能被 整除的项数为 . n 故选:B 2.(20-21高二上·河南·阶段练习)已知数列{a }的首项 ,且满足 ,则 n {a }中最小的一项是( ) n A. B. C. D. 【答案】B 【分析】根据等差数列的定义和通项公式进行求解即可. 【详解】由 , 所以数列 是以 为首项,1为公差的等差数列,即 , 所以有 ,显然当 时, , 因此{a }中最小的一项是 , n 故选:B 3.(23-24高二下·河南·阶段练习)在数列 中, ,则“ ”是“ 是递增数列”的( ) A.充分不必要条件 B.必要不充分条件 C.充要条件 D.既不充分也不必要条件 【答案】A 【分析】先利用构造法求出数列 的通项公式;再结合二次函数的单调性及 列出不等式得出 ;最后根据充分条件和必要条件的定义即可判断. 【详解】因为 ,所以 ,又因为 ,所以 是首项为 ,公差为3 的等差数列, 所以 ,则 .若 是递增数列, , 则 ,解得 .所以“ ”是“ 是递增数列”的充分不必要条件.故选:A. 4.(19-20高三上·浙江·阶段练习)设无穷数列{a }满足 , , n ,若{a }为周期数列,则pq的值为( ) n A. B.1 C.2 D.4 【答案】C 【解析】先构造等比数列并根据等比数列通项公式得 ,再根据周期数列得 即得结果. 【详解】 , 因为数列是周期数列,所以存在 故 的值为 .故选:C 【点睛】本题考查等比数列定义及通项公式、利用数列周期性质求解,考查综合分析求解能力,属中档题. 5.(2022高三·全国·专题练习)数列 满足 , ,若 ,且数 列 的前 项和为 ,则 ( ) A.64 B.80 C. D. 【答案】C 【分析】由已知可得 ,即数列 是等差数列,由此求出 ,分别令 可求出 .【详解】数列 满足 , ,则 , 可得数列 是首项为1、公差为1的等差数列,即有 ,即为 , 则 ,则 .故选:C. 题型十六:超难构造型求通项 1.(23-24高二上·湖南岳阳·阶段练习)已知数列 满足 ,且 ,数列 的各项均不为0,且 .若 ,则 . 【答案】 【分析】先求得 ,然后求得 ,然后构造等差数列来求得 ,进而求得 . 【详解】 , , 设 ,即 ,所以 ,解得 或 , 将 代入得 , 即 ①,同理可得 ②, 由①②得 ,所以 . 所以.所以 . 由 两边除以 并整理得 , 所以数列 是公差为 的等差数列,所以 , 所以 .故答案为: 【点睛】本题主要考查数列求通项公式,关键是斐波那契数列的通项公式,以及构造法求数列的通项公式. 等差数列的定义中, ( 为常数)是基本的形式.形如 ( 为常数)的数列 , 也是等差数列. 2.(22-23高三上·黑龙江哈尔滨·阶段练习)如图,在 中, 是 边上一点,且 , 为直线 上一点列,满足: ,且 ,则 , 设数列 ,则 的通项公式为 . 【答案】 【分析】根据平面向量线性运算得到 ,结合题干条件得到 ,整理后 得到 ,从而根据 求出 ,得到 ,构造法得到 为等 比数列,求出 的通项公式. 【详解】因为 是 边上一点,且 , 故 , 为直线 上一点列,则 , 因为 , 则 ,故 , 整理得: ,即 ,若 ,则 ,解得: ,此时 ,解得: , 故 为常数为1的数列,但 ,不合要求,故 , 故 , 令 得: , 因为 ,所以 ,解得: 令 ,则 , 即 ,因此 , 所以 为等比数列,公比为 ,首项为 , 故 ,故 故答案为: , 【点睛】由递推公式求解通项公式,根据递推公式的特点选择合适的方法, (1)若 ,采用累加法; (2)若 ,采用累乘法; (3)若 ,可利用构造 进行求解; 3.(22-23高二上·河南开封·阶段练习)已知数列 中, , , , 设 ,则数列 的前40项的和为( ) A.860 B.820 C. D. 【答案】A 【分析】本题先对数列 的递推公式进行转化可发现数列 是以1为首项, 为公比的等比数 列,通过计算出数列 的通项公式可得 的表达式,进一步可得数列 的通项公式,最后在求 和时进行转化并应用平方差公式和等差数列的求和公式即可得到前40项的和. 【详解】由题意,可知当 时, ,两边同时减去 ,可得 , , 数列 是以1为首项, 为公比的等比数列, , , ,故 , 令数列 的前 项和为 ,则 .故选: . 【点睛】本题主要考查数列由递推公式推导出通项公式,以及数列求和问题.考查了转化与化归思想,整体思想,定义法,平方差公式,以及逻辑推理能力和数学运算能力.本题属中档题. 4.(2021·全国·模拟预测)在数列 中, , ,若 ,则实数 的不同 取值的个数为( ) A. B. C. D. 【答案】A 【分析】分析可知,在数列 中,当第 项有 个不同取值时,第 项的不同 取值的个数 ,构造出数列 为等比数列,确定该数列的首项和公比,由此可求得 的值,即为所求. 【详解】设函数 ,由 ,可得 或 . 当 时, ,当 时,由 可得 , 方程 必有两个不同的解. 设 ,则 或 ,设 的不同取值的个数为 ; 当 时, 或 ,当 时, , 的不同取值的个数设为 ; 当 时, 或 ,当 时, ,当 时, 有两个不同的值, , 可知在数列 中,当第 项 有 个不同取值时, 第 项的不同取值的个数 ,所以 , 所以,数列 为等比数列,且首项为 ,公比为 , 则 ,所以, , 所以当 时, 的不同取值的个数 ,当 时, . 故选:A 【点睛】方法点睛:已知数列的递推关系求通项公式的典型方法: (1)当出现 时,构造等差数列; (2)当出现 时,构造等比数列; (3)当出现 时,用累加法求解; (4)当出现 时,用累乘法求解. 5.(22-23高一上海浦东新·)已知数列 满足: ,若 对任意 恒成立,则实数a的取值范围是( ) A. B. C. D. 【答案】D 【分析】利用 的特征方程,求得两解,构造等比数列 , 求得 ,结合 ,得到 对任意 恒成立,结合 其单调性,求得答案. 【详解】解 的特征方程 , 即 ,可得 ,故 , 两式相除得: , 即 为首项是 ,公比为3的等比数列, 故 ,则 , 由于 对任意 恒成立, 故 对任意 恒成立, 即 对任意 恒成立, 而 随n的增大而减小,当 时, 取到最大值1,故 , 故选:D 【点睛】本题考查了根据数列的递推公式求参数的取值范围,综合性较强,解答的关键是要明确利用递推 式的特征方程构造等比数列,求得数列通项公式,进而分离参数,解决恒成立问题.