当前位置:首页>文档>专题12相似三角形的性质(解析版)_北师大初中数学_9上-北师大版初中数学_06专项讲练_学霸满分2022-2023学年九年级数学上册重难点专题提优训练(北师大版)

专题12相似三角形的性质(解析版)_北师大初中数学_9上-北师大版初中数学_06专项讲练_学霸满分2022-2023学年九年级数学上册重难点专题提优训练(北师大版)

  • 2026-04-13 04:21:39 2026-04-13 02:50:10

文档预览

专题12相似三角形的性质(解析版)_北师大初中数学_9上-北师大版初中数学_06专项讲练_学霸满分2022-2023学年九年级数学上册重难点专题提优训练(北师大版)
专题12相似三角形的性质(解析版)_北师大初中数学_9上-北师大版初中数学_06专项讲练_学霸满分2022-2023学年九年级数学上册重难点专题提优训练(北师大版)
专题12相似三角形的性质(解析版)_北师大初中数学_9上-北师大版初中数学_06专项讲练_学霸满分2022-2023学年九年级数学上册重难点专题提优训练(北师大版)
专题12相似三角形的性质(解析版)_北师大初中数学_9上-北师大版初中数学_06专项讲练_学霸满分2022-2023学年九年级数学上册重难点专题提优训练(北师大版)
专题12相似三角形的性质(解析版)_北师大初中数学_9上-北师大版初中数学_06专项讲练_学霸满分2022-2023学年九年级数学上册重难点专题提优训练(北师大版)
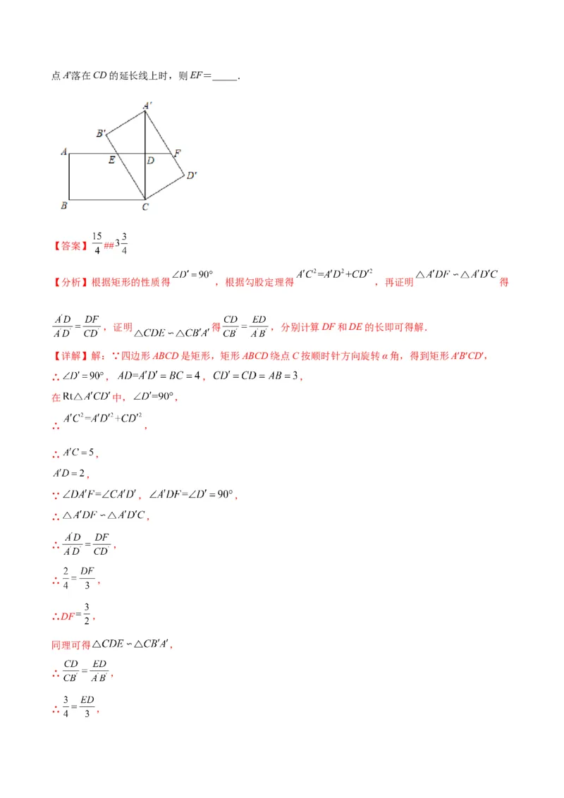
专题12相似三角形的性质(解析版)_北师大初中数学_9上-北师大版初中数学_06专项讲练_学霸满分2022-2023学年九年级数学上册重难点专题提优训练(北师大版)
专题12相似三角形的性质(解析版)_北师大初中数学_9上-北师大版初中数学_06专项讲练_学霸满分2022-2023学年九年级数学上册重难点专题提优训练(北师大版)
专题12相似三角形的性质(解析版)_北师大初中数学_9上-北师大版初中数学_06专项讲练_学霸满分2022-2023学年九年级数学上册重难点专题提优训练(北师大版)
专题12相似三角形的性质(解析版)_北师大初中数学_9上-北师大版初中数学_06专项讲练_学霸满分2022-2023学年九年级数学上册重难点专题提优训练(北师大版)
专题12相似三角形的性质(解析版)_北师大初中数学_9上-北师大版初中数学_06专项讲练_学霸满分2022-2023学年九年级数学上册重难点专题提优训练(北师大版)
专题12相似三角形的性质(解析版)_北师大初中数学_9上-北师大版初中数学_06专项讲练_学霸满分2022-2023学年九年级数学上册重难点专题提优训练(北师大版)
专题12相似三角形的性质(解析版)_北师大初中数学_9上-北师大版初中数学_06专项讲练_学霸满分2022-2023学年九年级数学上册重难点专题提优训练(北师大版)
专题12相似三角形的性质(解析版)_北师大初中数学_9上-北师大版初中数学_06专项讲练_学霸满分2022-2023学年九年级数学上册重难点专题提优训练(北师大版)
专题12相似三角形的性质(解析版)_北师大初中数学_9上-北师大版初中数学_06专项讲练_学霸满分2022-2023学年九年级数学上册重难点专题提优训练(北师大版)
专题12相似三角形的性质(解析版)_北师大初中数学_9上-北师大版初中数学_06专项讲练_学霸满分2022-2023学年九年级数学上册重难点专题提优训练(北师大版)
专题12相似三角形的性质(解析版)_北师大初中数学_9上-北师大版初中数学_06专项讲练_学霸满分2022-2023学年九年级数学上册重难点专题提优训练(北师大版)
专题12相似三角形的性质(解析版)_北师大初中数学_9上-北师大版初中数学_06专项讲练_学霸满分2022-2023学年九年级数学上册重难点专题提优训练(北师大版)
专题12相似三角形的性质(解析版)_北师大初中数学_9上-北师大版初中数学_06专项讲练_学霸满分2022-2023学年九年级数学上册重难点专题提优训练(北师大版)
专题12相似三角形的性质(解析版)_北师大初中数学_9上-北师大版初中数学_06专项讲练_学霸满分2022-2023学年九年级数学上册重难点专题提优训练(北师大版)
专题12相似三角形的性质(解析版)_北师大初中数学_9上-北师大版初中数学_06专项讲练_学霸满分2022-2023学年九年级数学上册重难点专题提优训练(北师大版)
专题12相似三角形的性质(解析版)_北师大初中数学_9上-北师大版初中数学_06专项讲练_学霸满分2022-2023学年九年级数学上册重难点专题提优训练(北师大版)
专题12相似三角形的性质(解析版)_北师大初中数学_9上-北师大版初中数学_06专项讲练_学霸满分2022-2023学年九年级数学上册重难点专题提优训练(北师大版)
专题12相似三角形的性质(解析版)_北师大初中数学_9上-北师大版初中数学_06专项讲练_学霸满分2022-2023学年九年级数学上册重难点专题提优训练(北师大版)
专题12相似三角形的性质(解析版)_北师大初中数学_9上-北师大版初中数学_06专项讲练_学霸满分2022-2023学年九年级数学上册重难点专题提优训练(北师大版)
专题12相似三角形的性质(解析版)_北师大初中数学_9上-北师大版初中数学_06专项讲练_学霸满分2022-2023学年九年级数学上册重难点专题提优训练(北师大版)
专题12相似三角形的性质(解析版)_北师大初中数学_9上-北师大版初中数学_06专项讲练_学霸满分2022-2023学年九年级数学上册重难点专题提优训练(北师大版)
专题12相似三角形的性质(解析版)_北师大初中数学_9上-北师大版初中数学_06专项讲练_学霸满分2022-2023学年九年级数学上册重难点专题提优训练(北师大版)
专题12相似三角形的性质(解析版)_北师大初中数学_9上-北师大版初中数学_06专项讲练_学霸满分2022-2023学年九年级数学上册重难点专题提优训练(北师大版)
专题12相似三角形的性质(解析版)_北师大初中数学_9上-北师大版初中数学_06专项讲练_学霸满分2022-2023学年九年级数学上册重难点专题提优训练(北师大版)
专题12相似三角形的性质(解析版)_北师大初中数学_9上-北师大版初中数学_06专项讲练_学霸满分2022-2023学年九年级数学上册重难点专题提优训练(北师大版)
专题12相似三角形的性质(解析版)_北师大初中数学_9上-北师大版初中数学_06专项讲练_学霸满分2022-2023学年九年级数学上册重难点专题提优训练(北师大版)
专题12相似三角形的性质(解析版)_北师大初中数学_9上-北师大版初中数学_06专项讲练_学霸满分2022-2023学年九年级数学上册重难点专题提优训练(北师大版)
专题12相似三角形的性质(解析版)_北师大初中数学_9上-北师大版初中数学_06专项讲练_学霸满分2022-2023学年九年级数学上册重难点专题提优训练(北师大版)
专题12相似三角形的性质(解析版)_北师大初中数学_9上-北师大版初中数学_06专项讲练_学霸满分2022-2023学年九年级数学上册重难点专题提优训练(北师大版)
专题12相似三角形的性质(解析版)_北师大初中数学_9上-北师大版初中数学_06专项讲练_学霸满分2022-2023学年九年级数学上册重难点专题提优训练(北师大版)
专题12相似三角形的性质(解析版)_北师大初中数学_9上-北师大版初中数学_06专项讲练_学霸满分2022-2023学年九年级数学上册重难点专题提优训练(北师大版)
专题12相似三角形的性质(解析版)_北师大初中数学_9上-北师大版初中数学_06专项讲练_学霸满分2022-2023学年九年级数学上册重难点专题提优训练(北师大版)
专题12相似三角形的性质(解析版)_北师大初中数学_9上-北师大版初中数学_06专项讲练_学霸满分2022-2023学年九年级数学上册重难点专题提优训练(北师大版)
专题12相似三角形的性质(解析版)_北师大初中数学_9上-北师大版初中数学_06专项讲练_学霸满分2022-2023学年九年级数学上册重难点专题提优训练(北师大版)
专题12相似三角形的性质(解析版)_北师大初中数学_9上-北师大版初中数学_06专项讲练_学霸满分2022-2023学年九年级数学上册重难点专题提优训练(北师大版)
专题12相似三角形的性质(解析版)_北师大初中数学_9上-北师大版初中数学_06专项讲练_学霸满分2022-2023学年九年级数学上册重难点专题提优训练(北师大版)
专题12相似三角形的性质(解析版)_北师大初中数学_9上-北师大版初中数学_06专项讲练_学霸满分2022-2023学年九年级数学上册重难点专题提优训练(北师大版)
专题12相似三角形的性质(解析版)_北师大初中数学_9上-北师大版初中数学_06专项讲练_学霸满分2022-2023学年九年级数学上册重难点专题提优训练(北师大版)
专题12相似三角形的性质(解析版)_北师大初中数学_9上-北师大版初中数学_06专项讲练_学霸满分2022-2023学年九年级数学上册重难点专题提优训练(北师大版)
专题12相似三角形的性质(解析版)_北师大初中数学_9上-北师大版初中数学_06专项讲练_学霸满分2022-2023学年九年级数学上册重难点专题提优训练(北师大版)
专题12相似三角形的性质(解析版)_北师大初中数学_9上-北师大版初中数学_06专项讲练_学霸满分2022-2023学年九年级数学上册重难点专题提优训练(北师大版)
专题12相似三角形的性质(解析版)_北师大初中数学_9上-北师大版初中数学_06专项讲练_学霸满分2022-2023学年九年级数学上册重难点专题提优训练(北师大版)
专题12相似三角形的性质(解析版)_北师大初中数学_9上-北师大版初中数学_06专项讲练_学霸满分2022-2023学年九年级数学上册重难点专题提优训练(北师大版)
专题12相似三角形的性质(解析版)_北师大初中数学_9上-北师大版初中数学_06专项讲练_学霸满分2022-2023学年九年级数学上册重难点专题提优训练(北师大版)
专题12相似三角形的性质(解析版)_北师大初中数学_9上-北师大版初中数学_06专项讲练_学霸满分2022-2023学年九年级数学上册重难点专题提优训练(北师大版)
专题12相似三角形的性质(解析版)_北师大初中数学_9上-北师大版初中数学_06专项讲练_学霸满分2022-2023学年九年级数学上册重难点专题提优训练(北师大版)

文档信息

文档格式
docx
文档大小
2.476 MB
文档页数
47 页
上传时间
2026-04-13 02:50:10

文档内容

专题 12 相似三角形的性质 考点一 利用相似三角形的性质求解 考点二 相似三角形应用举例 考点三 利用相似求坐标 考点四 在网格中画已知三角形相似的三角形 考点五 相似三角形——动点问题 考点六 相似三角形的综合问题 考点一 利用相似三角形的性质求解 例题:(2022·河北·泊头市教师发展中心九年级期中)若 ,且周长比为4:9,则其对应边 上的高的比为( ) A. B. C. D. 【答案】B 【分析】根据相似三角形的性质求解即可. 【详解】解:∵ ,周长比为4:9, ∴两个三角形的相似比为4:9, ∵对应边上的高的比等于相似比, ∴对应边上的高的比为4:9. 故选B. 【点睛】本题考查相似三角形的性质.熟记相似三角形的周长比,对应边上的三线比都等于相似比是解题 的关键. 【变式训练】 1.(2021·湖南·永州柳子中学九年级期中)已知 ABC~ DEF,若∠A=50°,∠E=70°,则∠F的度数为( ) △ △ A.30° B.60° C.70° D.80° 【答案】B 【分析】根据相似三角形的对应角相等求出∠A=∠D=50°,然后根据三角形内角和定理求解即可. 【详解】解:∵ ABC~ DEF, ∴∠A=∠D=50△°, △∴∠F=180°-∠D-∠E=180°-50°-70°=60°, 故选:B. 【点睛】本题主要考查了相似三角形的性质,相似三角形对应角相等,对应边成比例. 2.(2022·全国·九年级专题练习)两个相似三角形的面积之比为3:4,则这两个三角形的周长之比为 _______. 【答案】 :2 【分析】相似三角形的周长的比等于相似比;相似三角形的面积的比等于相似比的平方.直接根据相似三 角形的性质即可得出结论. 【详解】解:∵两个相似三角形的面积之比为3:4, ∴相似比是 :2, ∵相似三角形的周长比等于相似比, ∴这两个三角形的周长之比为: :2, 故答案为: :2. 【点睛】本题考查的是相似三角形的性质,熟知相似三角形的面积的比等于相似比的平方是解答此题的关 键. 3.(2021·广西·北师大平果附属学校九年级阶段练习)如图,在△ABC中,点D在AB上,点E在AC上, 且DE//BC,AD=CE,DB=1cm,AE=4cm. (1)求CE的长; (2)若△ABC的面积为 ,求△ADE的面积. 【答案】(1)CE=2cm (2) ADE的面积为 . △ 【分析】(1)设CE=xcm,根据平行线分线段成比例定理得 代入可得结论; (2)根据平行得相似,则面积比等于相似比的平方,可得结论.(1) 解:设 cm,则 cm, ∵ , ∴ , ∵ cm, cm, ∴ , ∴ , ∴ , ∴ cm, (2) 解:∵ , ∴ , ∴ , ∵ 的面积为 , ∴ 的面积为 . 【点睛】本题考查了相似三角形的性质和判定及平行线分线段成比例定理,在三角形相似的判定中常用平 行相似的判定方法;还要熟练掌握相似三角形的性质:相似三角形面积比等于相似比的平方. 考点二 相似三角形应用举例 例题:(2021·湖北·武汉二中广雅中学九年级阶段练习)如图,已知零件的外径为 ,现用个交叉卡 钳(两条尺长 和 相等, )测量零件的内孔直径 .若 ,且量得 ,则零件的厚度 ( )A.3 B.3.5 C.4 D.4.5 【答案】A 【分析】先根据题意证明△AOB∽△COD,再根据相似三角形对应边成比例求出AB,问题得解. 【详解】解:∵两条尺长AC和BD相等,OC=OD, ∴OA=OB, ∵OC:OA=1:2, ∴OD:OB=OC:OA=1:2, ∵∠COD=∠AOB, ∴△AOB∽△COD, ∴CD:AB=OC:OA=1:2, ∵CD=12mm, ∴AB=24mm, ∴零件的厚度为 mm. 故选:A. 【点睛】本题主要考查相似三角形的应用,把实际问题抽象到相似三角形中,利用相似三角形的相似比, 求出零件的内孔直径AB是解答本题的关键. 【变式训练】 1.(2022·山东青岛·九年级期末)如图,路灯A与地面的距离 米,身高1.6米小明与路灯底部的距 离 米,则小明影子长 _______米.【答案】5 【分析】根据题意可得CD AB,利用相似三角形的判定和性质求解即可. 【详解】解:根据题意得CD AB, ∴∆EDC~∆EBA, ∴ , ∴ , ∴DE=5米, 故答案为:5. 【点睛】题目主要考查相似三角形的判定和性质,理解题意,熟练掌握运用相似三角形的判定和性质是解 题关键. 2.(2022·全国·九年级专题练习)如图,为了测量一栋楼的高度,小王在他的脚下放了一面镜子,然后向 后退,直到他刚好在镜子中看到楼的顶部.如果小王身高1.55m,他的眼睛距地面1.50m,同时量得BC= 0.3m,CE=2m,则楼高DE为______m. 【答案】10 【分析】如图,根据镜面反射的性质,△ABC∽△DEC,再根据相似三角形对应边成比例列式求解即可. 【详解】解:根据题意, ∵∠ABC=∠DEC=90°,∠ACB=∠DCE(反射角等于入射角,它们的余角相等), ∴△ABC∽△DEC, ∴ = ,即 = , ∴DE=10(m) 故答案为:10. 【点睛】本题考查了相似三角形的应用.应用镜面反射的基本性质,得出三角形相似,再运用相似三角形对应边成比例即可解答. 考点三 利用相似求坐标 例题:(2022·全国·九年级课时练习)如图,在平面直角坐标系 中,点 , , ,则点 坐标为___________. 【答案】 【分析】过点B作BC⊥OA于点C,由题意易得OA=10,然后由勾股定理可得 ,进而可得 △BOC∽△AOB,设OC=x,则有BC=2x,最后利用勾股定理可求解. 【详解】解:过点B作BC⊥OA于点C,如图所示: ∵∠B=∠BCO=90°,∠BOA=∠BOA, ∴△BOC∽△AOB, ∵点 , ∴OA=10, ∵ , ∴ , ∴AB=2OB,∴BC=2OC, ∴在Rt BOC中, △ ,即 , ∴ , ∴BC=4, ∴点B的坐标为 ; 故答案为 . 【点睛】本题主要考查相似三角形的性质与判定,熟练掌握相似三角形的性质与判定是解题的关键. 【变式训练】 1.(2020·江苏·景山中学九年级阶段练习)在方格纸中,每个小格的顶点称为格点,以格点连线为边的三 角形叫格点三角形.在如图 的方格中,作格点 和 相似(相似比不为1),则点 的坐标是 _________. 【答案】 或 【分析】要求 ABC与 OAB相似,因为相似比不为1,由三边对应相等的两三角形全等,知 OAB的边 AB不能与 AB△C的边A△B对应,则AB与AC对应或者AB与BC对应并且此时AC或者BC是斜△边,分两种 情况分析即△可. 【详解】根据题意: OA=2,OB=1,AB= , ABC和 OAB相似应分两种情况讨论, △当∠BAC=△90°时,如图, ABC即为所作 ∵ ABC∽ OBA, △ △ △ AB∶OB=BC∶BA,即: ∶1=BC∶ ,解得BC=5, ∴OC=4, ∴C点坐标为(4,0), 当∠ABC=90°时,AB∶OB= ∶BA, = , =5, 此时C点坐标为(3,2), 综上所述,C点坐标为 (4,0)或(3,2), 故答案为:(4,0)或(3,2). 【点睛】本题考查了作图-相似变换:两个图形相似,其中一个图形可以看作由另一个图形放大或缩小得到; 相似图形的作图在没有明确规定的情况下,我们可以利用相似的基本图形“A”型和“X”型进行简单的相似 变换作图. 2.(2020·江苏泰州·九年级阶段练习)已知点A(2,0),点B(b,0)(b>2),点P是第一象限内的动点,且 点P的纵坐标为 ,若△POA和△PAB相似,则符合条件的点P坐标为_________. 【答案】 【分析】如图,分类讨论:(1) ;(2) ,根据相似三角形的相似比列式计算 出b的值,写出点P的坐标即可. 【详解】由题意可得:OA=2,OB=b,AP= , 如图:(1)当 时, , OA=AB=2, b=4,P(2, ); (2)当 时, , , 解得:b=9± , P(2,3± ); 综上:P的坐标为:(2, ),(2,3± ). 故答案为:(2, ),(2,3± ). 【点睛】本题主要考查相似三角形的性质,分类讨论,根据相似三角形的性质求出对应边的长度进而写出 点的坐标是解题关键. 考点四 在网格中画已知三角形相似的三角形 例题:(2022·四川·渠县崇德实验学校九年级期末)如图,在8×8的正方形网格中, ABC是格点三角形, 请按以下要求作图. △(1)在图1中画出格点 EDP,使得 EDP∽ ABC,且面积比为 ; △ △ △ (2)在图2中将 ABC绕着某格点逆向时针旋转90°得到格点 PFG,其中C与P对应. 【答案】(1)见△解析 △ (2)见解析 【分析】(1)直接利用位似图形的性质,结合位似中心得出答案; (2)直接利用旋转的性质得出对应点位置进而得出答案. (1) 如图,(案不唯一) (2) 如图,【点睛】此题主要考查了位似变换以及旋转变换,根据题意得出对应点位置是解题关键. 【变式训练】 1.(2022·河南洛阳·九年级期末)如图,在5×5的边长为1小的正方形的网格中,如图1 ABC和△DEF 都是格点三角形(即三角形的各顶点都在小正方形的顶点上). △ (1)判断:△ABC与△DEF是否相似?并说明理由; (2)在如图2的正方形网格中,画出与△DEF相似且面积最大的格点三角形,并直接写出其面积. 【答案】(1)相似,见解析 (2)图见解析,面积为5 【分析】(1)相似,分别求出每个三角形的三条边长,根据三边对应成比例的两个三角形相似判断即可; (2)根据勾股定理得出三角形各边长,利用边长之比相等,作出面积最大的格点三角形即可. (1) ABC∽△DEF,理由如下: △ 在△ABC中,AB=2,BC= ,AC= , 在△DEF中,DE= ,EF=2,DF= , ∴ , ∴△ABC∽△DEF; (2) 如图,△MNP即为所求, .【点睛】此题考查了作图—相似变换,三角形的面积等知识,解题的关键是掌握相似变换的性质,灵活运 用所学知识解决问题. 2.(2022·山东淄博·八年级期末)如图,在 方格纸中,点A,B,C都在格点上( ABC称为格点三 角形,即格点 ABC),用无刻度直尺作图. △ △ (1)在图1中的线段AC上找一个点D,使 ; (2)在图2中作一个格点 CEF,使 CEF与 ABC相似. 【答案】(1)见解析 △ △ △ (2)见解析 【分析】(1)根据“8字形”相似,可得CD:AD=2:3,从而得出点D的位置; (2)根据∠ACB=90°,AC=2BC,即可画出 CEF. (1) △ 解:如图1所示,点D即为所求,(2) 如图2所示, CEF即为所求, △ 【点睛】本题主要考查了相似三角形的判定与性质,熟练掌握相似三角形的判定与性质是解题的关键. 考点五 相似三角形——动点问题 例题:(2022·山东烟台·八年级期末)如图, 中, , , ,动点P从 点A出发在线段 上以每秒 的速度向O运动,动直线 从 开始以每秒 的速度向上平行移动, 分别与 交于点E,F,连接 ,设动点P与动直线 同时出发,运动时间为t秒.当t为 __________时, 与 相似. 【答案】6或 【分析】分别用t表示OP与OE的长度,根据 与 都是直角,当 与 相似时,O与O是对应点,因此分 ∽ 与 ∽ 两种情况讨论,根据相似列方程解之即可. 【详解】解:∵动点P从点A出发在线段 上以每秒 的速度向O运动, , ∴AP=2tcm,OP=(20-2t)cm, 又∵动直线 从 开始以每秒 的速度向上平行移动, ∴OE=tcm, 根据 与 都是直角,O与O是对应点,因此分 ∽ 与 ∽ 两种情况讨论, 当 ∽ ,即 时, , 解得: , 当 ∽ ,即 时, , 解得: , 综上所述:当t=6或 时, 与 相似, 故答案时:6或 . 【点睛】本题考查相似三角形的性质,根据三角形相似进行讨论分析是解题的关键. 【变式训练】 1.(2022·全国·九年级专题练习)如图,在平面直角坐标系中,已知OA=6厘米,OB=8厘米.点P从点 B开始沿BA边向终点A以1厘米/秒的速度移动;点Q从点A开始沿AO边向终点O以1厘米/秒的速度移 动,当其中一个点到达终点时,另一个点也停止运动.若P、Q同时出发,运动时间为t(s).当t为何值 时,△APQ与△AOB相似? 【答案】 【分析】利用勾股定理列式求出AB,再表示出AP、AQ,然后分∠APQ和∠AQP是直角两种情况,利用 相似三角形对应边成比例列式求解即可. 【详解】解:∵AO=6厘米,BO=8厘米,∴AB= = =10(厘米), ∵点P的速度是每秒1个单位,点Q的速度是每秒1个单位, ∴AQ=t厘米,AP=(10﹣t)厘米, ①∠APQ是直角时,△APQ∽△AOB, ∴ = , 即 = , 解得t= >6,舍去; ②∠AQP是直角时,△AQP∽△AOB, ∴ = , 即 = , 解得t= , 综上所述,t= 时,△APQ与△AOB相似. 【点睛】本题主要考查了相似三角形的判定与性质,根据对应边成比例两相似三角形的判定分类讨论是解 题的关键. 2.(2022·全国·九年级专题练习)如图,在Rt ABC中,∠B=90°,AB=6cm,BC=8cm,点P从点A出 发,以1cm/s的速度沿AB运动;同时,点Q从△点B出发,以2cm/s的速度沿BC运动.当点Q到达点C时, P、Q两点同时停止运动.设点P、Q运动时间为t(s). (1)当t为何值时,△PBQ的面积为9? (2)当△PBQ与△ABC相似时,t的值是多少? 【答案】(1)3s(2) 或 【分析】(1)经过 秒, 的面积等于9,先用含 的代数式分别表示 和 的长度,再代入三角形 面积公式,列出方程,即可将时间求出; (2)利用相似三角形对应边的比相等列出方程求解即可. (1) 解:由题意得, , ,则 . , 由题意得 , 解得 , 所以运动时间 为 ; (2) 解:若当 时, . 即 , 解得 ; 当 时, . 即 , 解得 . 综上所述,当 与 相似时, 的值是 或 . 【点睛】本题考查了一元二次方程的应用及相似三角形的判定.关键是用含时间的代数式准确表示 和 的长度,再根据三角形的面积公式列出一元二次方程,进行求解.考点六 相似三角形的综合问题 例题:(2022·全国·九年级专题练习)如图,在△ABC中,AD是角平分线,点E,点F分别在线段AB, AD上,且∠EFD=∠BDF. (1)求证:△AFE∽△ADC. (2)若 , ,且∠AFE=∠C,探索BE和DF之间的数量关系. 【答案】(1)证明见解析;(2)EB=2FD. 【分析】(1)由角平分线的性质得出∠BAD=∠DAC,再根据∠EFD=∠BDF得出∠AFE=∠ADC,进而根 据两角分别相等的三角形相似可证; (2)由(1)中的相似及∠AFE=∠C得出∠AEF=∠AFE,进而根据等角对等边得出AE=AF,再根据 及△AFE∽△ADC得出 ,再由 ,得出 ,即可得到结果. 【详解】解:(1)∵AD为∠BAC的平分线, ∴∠BAD=∠DAC, ∵∠EFD=∠BDF, ∴180°-∠EFD=180°-∠BDF, ∴∠AFE=∠ADC, 又∵∠BAD=∠DAC, ∴△AFE∽△ADC; (2)由(1)得,△AFE∽△ADC, ∴∠AEF=∠C,∵∠AFE=∠C, ∴∠AEF=∠AFE, ∴AE=AF, ∵ , ∴ , ∴ , ∵ , ∴ , ∴EB=2FD. 【点睛】本题考查相似三角形的性质及判定.第(1)问能根据角的等量代换得出角相等及熟练掌握相似 三角形的判定是解题关键;第(2)问根据相似得出比例式及根据比例式得出线段的关系是解的关键. 【变式训练】 1.(2021·安徽·九年级专题练习)如图,将矩形ABCD沿AF折叠,使点D落在BC边的点E处,过点E 作EG∥CD交AF于点G,连接DG. (1)求证:四边形EFDG是菱形; (2)求证EG2= GF•AF; (3)若AG=3,EG= ,求BE的长. 【答案】(1)证明见解析;(2)证明见解析;(3) . 【分析】(1)先依据翻折的性质和平行线的性质证明∠DGF=∠DFG,从而得到GD=DF,接下来依据翻 折的性质可证明DG=GE=DF=EF;(2)连接DE,交AF于点O.由菱形的性质可知GF⊥DE,OG=OF= GF,接下来,证明 △DOF∽△ADF,由相似三角形的性质可证明DF2=FO•AF,于是可得到GE、AF、FG的数量关系; (3)过点G作GH⊥DC,垂足为H.利用(2)的结论可求得FG=4,然后再△ADF中依据勾股定理可求 得AD的长,然后再证明△FGH∽△FAD,利用相似三角形的性质可求得GH的长,最后依据BE=AD-GH 求解即可. 【详解】(1)证明:∵GE∥DF, ∴∠EGF=∠DFG. ∵由翻折的性质可知:GD=GE,DF=EF,∠DGF=∠EGF, ∴∠DGF=∠DFG. ∴GD=DF. ∴DG=GE=DF=EF. ∴四边形EFDG为菱形. (2)证明:如图1所示:连接DE,交AF于点O. ∵四边形EFDG为菱形, ∴GF⊥DE, , ∵∠DOF=∠ADF=90°,∠OFD=∠DFA, ∴△DOF∽△ADF. ∴ ,即DF2=FO•AF. ∵ , ∴ ; (3)如图2所示:过点G作GH⊥DC,垂足为H.∵ , ∴ ,整理得:FG2+3FG-10=0. 解得:FG=2,FG=-5(舍去). ∵ ∴ ∵GH⊥DC,AD⊥DC, ∴GH∥AD. ∴△FGH∽△FAD. ∴ ,即 , ∴ . ∴ . 【点睛】本题主要考查的是四边形与三角形的综合应用,解答本题主要应用了矩形的性质、菱形的判定和 性质、相似三角形的性质和判定、勾股定理的应用,利用相似三角形的性质得到DF2=FO•AF是解题答问 题(2)的关键,依据相似三角形的性质求得GH的长是解答问题(3)的关键. 2.(2021·福建省诏安第一中学九年级期中)如图,已知正方形ABCD,点E为AB上的一点, , 交BD于点F. (1)如图1,直按写出 的值_______;(2)将△EBF绕点B顺时针旋转到如图2所示的位置,连接AE、DF,猜想DF与AE的数量关系,并证明你 的结论; (3)如图3,当BE=BA时,其他条件不变,△EBF绕点B顺时针旋转,设旋转角为 ,当 为 何值时EA=ED?请在图3或备用图中画出图形并求出 的值. 【答案】(1) (2) ,证明见解析 (3)画图见解析,α的值为30°或150°, 【分析】由 是正方形ABCD的对角线,可知∠ABD=45°,由垂直可知 , ,则可求出边相等,进而可知 ,根据边之间的等量关系可知 ,故可知 ; 由(1)知, , , ,进而可知边之间的比例关系 ,由旋转知, ,故可证明 ,根据相似比可证明边之间的等 量关系; (3)连接DE,CE根据边相等的条件,以及角相等的条件可知AE=DE,BE=CE,由四边形ABCD是正方 形,可知 ,AB=BC,进而可得△BCE是等边三角形, ,进而可证 ,即: ,同理,也可证明△BCE是等边三角形, ,即: . (1) 是正方形ABCD的对角线, ∴∠ABD=45°, , , , ,, , , , 故答案为: ; (2) , 理由:由(1)知, , , , , 由旋转知, , , , ; (3) 如图3,连接DE,CE ∵EA=ED, ∴点E在AD的中垂线上, ∴AE=DE,BE=CE, ∵四边形ABCD是正方形, ,AB=BC,, ∴△BCE是等边三角形, , ,即: , 如图4,同理,△BCE是等边三角形, ,即: , 故答案为:30°或150°. 【点睛】本题考查图形的旋转变换,相似三角形的性质与判定,正方形的性质与判定,等边三角形的性质, 能够根据题意将变换后的图像画出来并构造适合的辅助线是解决本题的关键. 一、选择题 1.(2020·北京市第五十六中学九年级期中)如图,在△ABC中,点D,E分别在AB,AC上,且 ,AD=1,BD=2,DE=2那么BC的值为 ( ) A.2 B.4 C.6 D.8【答案】C 【分析】证明 利用对应边对应成比例即可求出. 【详解】解:∵ ∴ ∴ ∴ ∴ 故选C. 【点睛】本题考查三角形的相似和性质综合,证明三角形相似并找准对应边是解题的关键. 2.(2021·甘肃·武威第三中学九年级期中)已知 ,若△ABC与△DEF的对应边之比为 3∶4,则△ABC与△DEF的面积之比为 ( ) A.4∶3 B.3∶4 C.16∶9 D.9∶16 【答案】D 【分析】利用相似三角形的面积比是相似比的平方直接解题即可. 【详解】解:∵ ,△ABC与△DEF的对应边之比为3:4, ∴ ABC与 DEF的相似比为3:4,即△ABC与△DEF的面积之比为:9:16. 故△选:D.△ 【点睛】本题考查相似三角形的性质,熟练掌握基本性质是解题关键. 3.(2022·全国·九年级专题练习)如图平行四边形ABCD,F为BC中点,延长AD至E,使DE:AD=1: 3,连接EF交DC于点G,若 DEG的面积是1,则五边形DABFG的面积是( ) △ A.11 B.12 C. D. 【答案】D 【分析】连接BG,先由平行四边形的性质得AD BC,AD=BC及∠E=∠CFG;再由F为BC中点及DE: AD=1:3得DE:CF的比值;然后由∠E=∠CFG,∠DGE=∠CGF证得 DGE∽CGF,最后由相似三角形 的面积比等于相似比的平方及 CFG和 BGC之间的关系,可得答案.△ 【详解】解:如图,连接BG,△ △∵四边形ABCD是平行四边形, ∴AD BC,AD=BC, ∴∠E=∠CFG, ∵F为BC中点, ∴FC= BC= AD, ∵DE:AD=1:3, ∴DE:BC=1:3, ∴DE:CF=2:3, ∵∠E=∠CFG,∠DGE=∠CGF, ∴△DGE∽CGF, ∴DG:CG=DE:CF=2:3, ∴ , ∴ , 取AD的中点Q,连接FQ, ∴FQ DG, ∴△EDG∽△EQF, ∴DE:EQ=1:2.5=2:5, ∴ , ∴ , ∴ ,∴ , ∴ . 故选:D. 【点睛】本题考查了相似三角形的判定与性质、平行四边形的性质及等高三角形的面积关系等知识点,熟 练掌握相关性质及定理是解题的关键. 4.(2021·湖南·李达中学九年级阶段练习)如图,D、E分别是△ABC的边AB、BC上的点, , 若 =1:3,则 的值为( ) A. B. C. D. 【答案】C 【分析】证明 ,得出 ;证明 , ,得到 , 由相似三角形的性质即可解决问题. 【详解】解: , ; ; , , , ∴ ∴ ,∴ . 故选:C. 【点睛】本题主要考查了相似三角形的判定及其性质的应用问题,解题的关键是灵活运用相似三角形的判 定及其性质来分析、判断、推理或解答. 5.(2022·河北·大名县束馆镇束馆中学三模)一种燕尾夹如图1所示,图2是在闭合状态时的示意图,图 3是在打开状态时的示意图(数据如图,单位:mm),则从闭合到打开B,D之间的距离减少了( ) A.25 mm B.20mm C.15 mm D.8mm 【答案】A 【分析】连接图2、图3中的BD,图2中证明△AEF∽△ABD,利用相似三角形的性质求得BD,在图3中 证明四边形EFDB是矩形,求得BD,进而作差即可求解. 【详解】解:如图2,连接BD, ∵AE=CF=28,BE=DF=35 , ∴ ,又∠EAF=∠BAD, ∴△AEF∽△ABD, ∴ ,又EF=20, ∴ ,解得:BD=45, 如图3,连接BD,∵BE DF,BE=DF, ∴四边形EFDB是平行四边形, ∵∠BEF=90°, ∴四边形EFDB是矩形,则BD=EF=20, ∴从闭合到打开B,D之间的距离减少了45-20=25(mm), 故选:A. 【点睛】本题考查相似三角形的应用、平行四边形的判定、矩形的判定与性质,理解题意,会利用相似三 角形的判定与性质解决实际问题是解答的关键. 二、填空题 6.(2022·吉林吉林·九年级期末)如图,在△ABC中,点D在AB上,点E在AC上,∠ADE=∠C,四边 形DBCE的面积是△ADE面积的3倍.若DE=3,则BC的长为_______. 【答案】6 【分析】证明△ADE∽△ACB,可得 ,即可求解. 【详解】解:∵∠A=∠A,∠ADE=∠C, ∴△ADE∽△ACB, ∴ , ∵四边形DBCE的面积是△ADE面积的3倍. ∴ , ∴ , ∵DE=3, ∴BC=6. 故答案为:6【点睛】本题主要考查了相似三角形的判定和性质,熟练掌握相似三角形的面积比等于相似比的平方是解 题的关键. 7.(2022·全国·九年级专题练习)如图,光源P在水平横杆AB的上方,照射横杆AB得到它在平地上的影 子为CD(点P、A、C在一条直线上,点P、B、D在一条直线上),不难发现AB//CD.已知AB=1.5m, CD=4.5m,点P到横杆AB的距离是1m,则点P到地面的距离等于______m. 【答案】3 【分析】作PF⊥CD于点F ,利用AB∥CD,推导△PAB∽△PCD,再利用相似三角形对应高之比是相似 比求解即可. 【详解】解:如图,过点P作PF⊥CD于点F,交AB于点E, ∵AB∥CD, ∴△PAB∽△PCD,PE⊥AB, ∵△PAB∽△PCD, ∴ ,(相似三角形对应高之比是相似比) 即: , 解得PF=3. 故答案为:3. 【点睛】本题考查相似三角形的判定与性质,掌握相似三角形对应高之比是相似比是解题的关键. 8.(2022·湖南·衡阳市第十七中学九年级期中)如图,在△ABC中,BC=10,D、E分别为AB、AC的中 点,连接BE、CD交于点O,OD=3,OE=4,则△ABC的面积为 _____.【答案】 【分析】根据相似三角形的判定证明△DOE与△BOC相似,再利用勾股定理的逆定理得出△BOC是直角 三角形,进而得出面积即可. 【详解】解:∵D、E分别为AB、AC的中点, ∴DE BC, ∴△DOE∽△BOC, ∴ ∵OD=3,OE=4, ∴OB=8,OC=6, ∵BC=10, ∴ ∴△BOC是直角三角形, ∴△BOC的面积是 24, ∵ , ∴△BEC的面积是36, ∵ 为 的中点. ∴△ABC的面积是72, 故答案为:72. 【点睛】本题考查了三角形的中位线定理的应用,以及相似三角形的判定和性质、三角形中线性质、勾股 定理的逆定理,熟练掌握相关知识的联系与运算,证明出△BOC是直角三角形是解题关键. 9.(2021·湖北襄阳·模拟预测)如图,在矩形ABCD中,AB=3,BC=4,将矩形ABCD绕点C按顺时针 方向旋转α角,得到矩形A′B′CD′,B′C与AD交于点E,AD的延长线与A′D′交于点F.当矩形A'B'CD'的顶点A'落在CD的延长线上时,则EF=_____. 【答案】 ## 【分析】根据矩形的性质得 ,根据勾股定理得 ,再证明 得 ,证明 得 ,分别计算DF和DE的长即可得解. 【详解】解:∵四边形ABCD是矩形,矩形ABCD绕点C按顺时针方向旋转α角,得到矩形A′B′CD′, ∴ , , , 在 中, , ∴ , ∴ , , ∵ , , ∴ , ∴ , ∴ , ∴DF , 同理可得 , ∴ , ∴ ,∴ED , ∴EF=ED+DF , 故答案为: . 【点睛】本题考查了矩形的性质,相似三角形的判定与性质,解题的关键是掌握这些知识点. 10.(2022·黑龙江哈尔滨·模拟预测)在 ABC中,∠ACB=90°,CA=CB,点D为AB边上一点,AD= △ 3BD,CD=2 ,点E在直线AC上,∠CDE=45°,则AE=______. 【答案】3或18##18或3 【分析】分点E在AC上和在AC的延长线上两种情况求解. 【详解】当点E在线段AC上时, 因为∠ACB=90°,CA=CB, 所以∠EAD=∠CBA=45°, 因为∠CDE=45°,∠CDA=∠EDC+∠ADE=∠B+∠BCD, 所以∠ADE=∠BCD, 所以 ADE∽ BCD, △ △ 所以 , 因为AD=3BD, 所以AD= ,BD= , 所以 ,解得AE= . 因为∠CDE=45°=∠A,∠ECD=∠CDA, 所以 CED∽ CDA, △ △ 所以 , 因为CD=2 , 所以AC×CE=40, 所以 即 , 因为AE+CE=AC= , 所以 所以 , 解得AE=3或AE=-3(舍去). 当点E在线段AC的延长线上时, 设DE与BC的交点为M, 因为∠CDE=45°,∠DCM=∠BCD, 所以 CDM∽ CBD, △ △ 所以 , 因为CD=2 ,AC=BC, 所以BC×CM=40即 ,因为∠A=∠CDE=45°,∠EDB=∠A+∠E, ∠DCA=∠E+∠CDE, 所以∠EDB=∠DCA, 因为∠A=∠B=45°, 所以 BDM∽ ACD, △ △ 所以 , 因为AD=3BD,AC=BC,AB= , 所以AD= ,BD= , 所以 , 解得BM= . 因为BM+CM=AC, 所以 所以 , 解得AC=8或AC=-8(舍去). 作 ,交AC于点N, 所以 , 所以 所以CN=2, 因为 =5, 所以 , 所以 , 解得CE=10,所以AE=CE+AC=18. 综上所述AE的长为3或18和18或3. 【点睛】本题考查了等腰直角三角形的性质,三角形相似的判定和性质,分类思想,熟练掌握三角形相似 的判定和性质是解题的关键. 三、解答题 11.(2021·黑龙江·肇东市第七中学校九年级阶段练习)小红用下面的方法来测量学校教学大楼AB的高度: 如图,在水平地面点E处放一面平面镜,镜子与教学大楼的距离AE=20m.当她与镜子的距离CE=2.5m 时,她刚好能从镜子中看到教学大楼的顶端B.已知她的眼睛距地面高度DC=1.5m,请你帮助小红计算大 楼的高度. 【答案】大楼AB的高为12m 【分析】根据反射定律和垂直定义得到∠BAE=∠DCE,所以可得△BAE∽△DCE,再根据相似三角形的性 质解答. 【详解】解:如图, ∵根据反射定律知:∠FEB=∠FED, ∴∠BEA=∠DEC ∵∠BAE=∠DCE=90° ∴△BAE∽△DCE ∴ , ∵CE=2.5m,DC=1.5m,∴ , ∴AB=12 ∴大楼AB的高为12m. 【点睛】本题考查相似三角形性质的应用.解题时关键是找出相似的三角形,然后根据对应边成比例列出 方程,建立适当的数学模型来解决问题. 12.(2021·黑龙江·肇东市第七中学校九年级阶段练习)如图,在△ABC中,AB=8cm,BC=16cm,点P 从点A开始沿AB向点B以2m/s的速度运动,点Q从点B开始沿BC边向点C以4cm/s的速度运动,如果 P、Q分别从A、B同时出发,4秒后停止运动.则在开始运动后第几秒,△BPQ与△BAC相似? 【答案】当x=0.8秒或2秒时,△BPQ与△BAC相似. 【分析】设在开始运动后第x秒,△BPQ与△BAC相似,由题意表示出AP,PB,BQ,分两种情况考虑: 当∠BPQ=∠C,∠B=∠B时,△PBQ∽△CBA;当∠BPQ=∠A,∠B=∠B时,△BPQ∽△BAC,分别由相 似得比例,列出关于x的方程,求出方程的解得到x的值,即可得到结果. 【详解】解:设在开始运动后第x秒,△BPQ与△BAC相似, 由题意得:AP=2xcm,PB=(8-2x)cm,BQ=4x, 分两种情况考虑: 当∠BPQ=∠C,∠B=∠B时,△PBQ∽△CBA, ∴ ,即 , 解得:x=0.8, 当x=0.8秒时,△BPQ与△BAC相似; 当∠BPQ=∠A,∠B=∠B时,△BPQ∽△BAC, ∴ ,即 , 解得:x=2, 当x=2秒时,△BPQ与△BAC相似. 综上,当x=0.8秒或2秒时,△BPQ与△BAC相似. 【点睛】此题考查了相似三角形的性质与判定,熟练掌握相似三角形的判定方法是解本题的关键.13.(2022·安徽·合肥市庐阳中学二模)已知 , 平分 交 于 ,交 于 . (1)求证: ∽ ; (2)连接 ,若 , , ,求 的长度. 【答案】(1)见解析 (2)11 【分析】(1)根据相似三角形的判定定理即可证明; (2)由(1)的结果和平行线的性质证明 ∽ ,进而可得 为等腰三角形,最后证明 ∽ 并结合相应的计算即可解答. (1) 证明: 平分 , , 又 , ∽ ; (2) 解: ∽ , , , , , ∽ , , 平分 , ∴∠DAG=∠CAG, , ∴ 为等腰三角形,, ,即 , 解得: , , , , ∽ , , , . 【点睛】本题考查了相似三角形的判定和性质、角平分线的性质、平行线的性质、等腰三角形的判定和性 质,解决本题的关键是掌握以上的定理并熟练的运用. 14.(2022·全国·九年级专题练习)如图,在 ABC中,点D,F,E分别在AB,BC,AC边上,DF AC,EF AB. △ (1)求证: BDF∽△FEC. △ (2)设 . ①若BC=15,求线段BF的长; ②若 FEC的面积是16,求 ABC的面积. 【答△案】(1)证明见详解 △(2)①BF=5;②S ABC=16× =36 △ 【分析】(1)由平行线的性质得出∠BFD=∠C,∠B=∠EFC,即可得出结论; (2)①由平行线的性质得出 ,即可得出结果; ②先求出 易证△EFC∽ ABC,由相似三角形的面积比等于相似比的平方即可得出结果. △ (1) 证明:∵DF AC, ∴∠BFD=∠C, ∵EF AB, ∴∠B=∠EFC, ∵∠BFD=∠C,∠B=∠EFC, ∴△BDF∽△FEC; (2) 解:①∵EF AB, ∴ , ∴ ∵BC=15, ∴ , ∴BF=5; ②∵ , ∴ ∴ , ∵EF AB, ∴∠CEF=∠B, ∵∠C=∠C.∠CEF=∠B ∴△EFC∽△ABC,∴ , ∵S EFC=16, △ ∴S ABC= ×16=36. △ 【点睛】本题考查了相似三角形的判定与性质、平行线的性质等知识;熟练掌握相似三角形的判定与性质 是解题的关键. 15.(2021·河南·鹤壁市淇滨中学九年级阶段练习)已知在Rt ABC中,∠BAC=90°,AB=2,AC=6,D 为BC边上的一点.过点D作射线DE⊥DF,分别交边AB,AC△于点E,F. (1)当D为BC的中点,且DE⊥AB,DF⊥AC时,如图①, ______. (2)①若D为BC的中点,将∠EDF绕点D旋转到图②位置时, ______. ②若改变点D的位置,且 时,求 的值,请就图③的情形写出解答过程. (3)如图③连接EF,当BD=______时,△DEF与△ABC相似. 【答案】(1) (2)① ;② ,解答过程见解析 (3) 或 【分析】(1)证 、 是 的中位线,得 , ,即可得出答案; (2)①过点 作 于点 , 于点 ,先证 ,得出 ,再根据 (1)所得结论即可得出答案; ②过点 作 于点 , 于点 ,证 , ,推出 ,,同①得 ,则 ,即可得出结论; (3)分 和 两种情况分别求解可得. (1) 解: , , , , , 点 是 的中点, 、 是 的中位线, , , , 故答案为:3; (2) ①过点 作 于点 , 于点 ,如图2所示: 则 , 四边形 是矩形, ,即 , , ,即 , , , , 同(1)得: , , 故答案为:3;②过点 作 于点 , 于点 ,如图3所示: , 四边形 是矩形, , , , , , , , , , , , , , , , 与①同理得: , ; (3) 如图 所示: 在 中,由勾股定理得: ,, 与 相似分两种情况: ① ,则 ,即 ,整理得: , , ; ② ,则 ,即 ,整理得: , , ; 综上所述,当 或 时, 与 相似; 故答案为: 或 . 【点睛】本题是相似综合题,考查相似三角形的判定与性质、勾股定理、三角形中位线定理、旋转的性质、 矩形的判定与性质以及分类讨论等知识,本题综合性强,证明三角形相似是解题的关键. 16.(2022·山东·东营市垦利区郝家镇中学八年级期中)如图 ,在 中, , , ,点 、 分别是边 、 的中点,连接 ,将 绕点 逆时针方向旋转,记旋转角为 . (1)问题发现 ①当 时, ______;②当 时, ______. (2)拓展探究 试判断:当 时, 的大小有无变化?请仅就图 的情形给出证明. (3)问题解决 绕点 逆时针旋转至 、 、 三点在同一条直线上时,如图3-1,图3-2,求线段 的长.(3)①如图3-1中,当点E在AB的延长线上时, ②如图3-2中,当点E在线段AB上时, 【答案】(1)① ,② (2)没有变化,证明见解析 (3) 或 【分析】(1)①当 时,在Rt ABC中,由勾股定理,求出AC的值;然后根据点D、E分别是边 △ BC、AC的中点,求出AE、BD的大小,即可求出的 值.② 时,可得AB DE,然后根据 = ,即可求出 的值. (2)首先判断出∠ECA=∠DCB,再根据 = = ,判断出△ECA∽△DCB,然后由相似三角形 的对应边成比例,求得答案. (3)分两种情形:①如图3﹣1中,当点E在AB的延长线上时,②如图3﹣2中,当点E在线段AB上时, 利用勾股定理及上一问结论,分别求解即可. (1) 解:①当 时, ∵Rt ABC中,∠B=90°, △ ∴AC= = =2 , ∵点D、E分别是边BC、AC的中点, ∴AE= AC= ,BD= BC=1, ∴ = . ②如图1中,当 时, 可得AB DE, ∵ = , ∴ = = . 故答案为:① ,② . (2) 解:如图2, 当 时, 的大小没有变化.理由如下: ∵∠ECD=∠ACB, ∴∠ECA=∠DCB, 又∵ = = , ∴△ECA∽△DCB, ∴ = = ,即当 时, 的大小没有变化. (3) 解:①如图3﹣1中,当点E在AB的延长线上时,在Rt BCE中,CE= ,BC=2, △ ∴BE= = =1, ∴AE=AB+BE=5, ∵ = , ∴BD= = . ②如图3﹣2中,当点E在线段AB上时, ∵BE= = =1, ∴AE=AB-BE =4﹣1=3, ∵ = , ∴BD= , 综上所述,满足条件的BD的长为 或 . 【点睛】本题属于几何变换综合题,考查了旋转变换,相似三角形的判定和性质,平行线的性质,勾股定 理等知识,解题的关键是正确寻找相似三角形解决问题,学会用分类讨论的思想思考问题.