当前位置:首页>文档>第二章二次函数(选拔卷)-单元测试九年级数学下册尖子生选拔卷(北师大版)(解析版)_北师大初中数学_9下-北师大版初中数学_05习题试卷_2单元试卷_单元测试(第1套)

第二章二次函数(选拔卷)-单元测试九年级数学下册尖子生选拔卷(北师大版)(解析版)_北师大初中数学_9下-北师大版初中数学_05习题试卷_2单元试卷_单元测试(第1套)

  • 2026-04-14 21:13:25 2026-04-14 21:13:25

文档预览

第二章二次函数(选拔卷)-单元测试九年级数学下册尖子生选拔卷(北师大版)(解析版)_北师大初中数学_9下-北师大版初中数学_05习题试卷_2单元试卷_单元测试(第1套)
第二章二次函数(选拔卷)-单元测试九年级数学下册尖子生选拔卷(北师大版)(解析版)_北师大初中数学_9下-北师大版初中数学_05习题试卷_2单元试卷_单元测试(第1套)
第二章二次函数(选拔卷)-单元测试九年级数学下册尖子生选拔卷(北师大版)(解析版)_北师大初中数学_9下-北师大版初中数学_05习题试卷_2单元试卷_单元测试(第1套)
第二章二次函数(选拔卷)-单元测试九年级数学下册尖子生选拔卷(北师大版)(解析版)_北师大初中数学_9下-北师大版初中数学_05习题试卷_2单元试卷_单元测试(第1套)
第二章二次函数(选拔卷)-单元测试九年级数学下册尖子生选拔卷(北师大版)(解析版)_北师大初中数学_9下-北师大版初中数学_05习题试卷_2单元试卷_单元测试(第1套)
第二章二次函数(选拔卷)-单元测试九年级数学下册尖子生选拔卷(北师大版)(解析版)_北师大初中数学_9下-北师大版初中数学_05习题试卷_2单元试卷_单元测试(第1套)
第二章二次函数(选拔卷)-单元测试九年级数学下册尖子生选拔卷(北师大版)(解析版)_北师大初中数学_9下-北师大版初中数学_05习题试卷_2单元试卷_单元测试(第1套)
第二章二次函数(选拔卷)-单元测试九年级数学下册尖子生选拔卷(北师大版)(解析版)_北师大初中数学_9下-北师大版初中数学_05习题试卷_2单元试卷_单元测试(第1套)
第二章二次函数(选拔卷)-单元测试九年级数学下册尖子生选拔卷(北师大版)(解析版)_北师大初中数学_9下-北师大版初中数学_05习题试卷_2单元试卷_单元测试(第1套)
第二章二次函数(选拔卷)-单元测试九年级数学下册尖子生选拔卷(北师大版)(解析版)_北师大初中数学_9下-北师大版初中数学_05习题试卷_2单元试卷_单元测试(第1套)
第二章二次函数(选拔卷)-单元测试九年级数学下册尖子生选拔卷(北师大版)(解析版)_北师大初中数学_9下-北师大版初中数学_05习题试卷_2单元试卷_单元测试(第1套)
第二章二次函数(选拔卷)-单元测试九年级数学下册尖子生选拔卷(北师大版)(解析版)_北师大初中数学_9下-北师大版初中数学_05习题试卷_2单元试卷_单元测试(第1套)
第二章二次函数(选拔卷)-单元测试九年级数学下册尖子生选拔卷(北师大版)(解析版)_北师大初中数学_9下-北师大版初中数学_05习题试卷_2单元试卷_单元测试(第1套)
第二章二次函数(选拔卷)-单元测试九年级数学下册尖子生选拔卷(北师大版)(解析版)_北师大初中数学_9下-北师大版初中数学_05习题试卷_2单元试卷_单元测试(第1套)
第二章二次函数(选拔卷)-单元测试九年级数学下册尖子生选拔卷(北师大版)(解析版)_北师大初中数学_9下-北师大版初中数学_05习题试卷_2单元试卷_单元测试(第1套)
第二章二次函数(选拔卷)-单元测试九年级数学下册尖子生选拔卷(北师大版)(解析版)_北师大初中数学_9下-北师大版初中数学_05习题试卷_2单元试卷_单元测试(第1套)
第二章二次函数(选拔卷)-单元测试九年级数学下册尖子生选拔卷(北师大版)(解析版)_北师大初中数学_9下-北师大版初中数学_05习题试卷_2单元试卷_单元测试(第1套)
第二章二次函数(选拔卷)-单元测试九年级数学下册尖子生选拔卷(北师大版)(解析版)_北师大初中数学_9下-北师大版初中数学_05习题试卷_2单元试卷_单元测试(第1套)
第二章二次函数(选拔卷)-单元测试九年级数学下册尖子生选拔卷(北师大版)(解析版)_北师大初中数学_9下-北师大版初中数学_05习题试卷_2单元试卷_单元测试(第1套)
第二章二次函数(选拔卷)-单元测试九年级数学下册尖子生选拔卷(北师大版)(解析版)_北师大初中数学_9下-北师大版初中数学_05习题试卷_2单元试卷_单元测试(第1套)
第二章二次函数(选拔卷)-单元测试九年级数学下册尖子生选拔卷(北师大版)(解析版)_北师大初中数学_9下-北师大版初中数学_05习题试卷_2单元试卷_单元测试(第1套)
第二章二次函数(选拔卷)-单元测试九年级数学下册尖子生选拔卷(北师大版)(解析版)_北师大初中数学_9下-北师大版初中数学_05习题试卷_2单元试卷_单元测试(第1套)
第二章二次函数(选拔卷)-单元测试九年级数学下册尖子生选拔卷(北师大版)(解析版)_北师大初中数学_9下-北师大版初中数学_05习题试卷_2单元试卷_单元测试(第1套)
第二章二次函数(选拔卷)-单元测试九年级数学下册尖子生选拔卷(北师大版)(解析版)_北师大初中数学_9下-北师大版初中数学_05习题试卷_2单元试卷_单元测试(第1套)
第二章二次函数(选拔卷)-单元测试九年级数学下册尖子生选拔卷(北师大版)(解析版)_北师大初中数学_9下-北师大版初中数学_05习题试卷_2单元试卷_单元测试(第1套)
第二章二次函数(选拔卷)-单元测试九年级数学下册尖子生选拔卷(北师大版)(解析版)_北师大初中数学_9下-北师大版初中数学_05习题试卷_2单元试卷_单元测试(第1套)
第二章二次函数(选拔卷)-单元测试九年级数学下册尖子生选拔卷(北师大版)(解析版)_北师大初中数学_9下-北师大版初中数学_05习题试卷_2单元试卷_单元测试(第1套)
第二章二次函数(选拔卷)-单元测试九年级数学下册尖子生选拔卷(北师大版)(解析版)_北师大初中数学_9下-北师大版初中数学_05习题试卷_2单元试卷_单元测试(第1套)
第二章二次函数(选拔卷)-单元测试九年级数学下册尖子生选拔卷(北师大版)(解析版)_北师大初中数学_9下-北师大版初中数学_05习题试卷_2单元试卷_单元测试(第1套)
第二章二次函数(选拔卷)-单元测试九年级数学下册尖子生选拔卷(北师大版)(解析版)_北师大初中数学_9下-北师大版初中数学_05习题试卷_2单元试卷_单元测试(第1套)
第二章二次函数(选拔卷)-单元测试九年级数学下册尖子生选拔卷(北师大版)(解析版)_北师大初中数学_9下-北师大版初中数学_05习题试卷_2单元试卷_单元测试(第1套)
第二章二次函数(选拔卷)-单元测试九年级数学下册尖子生选拔卷(北师大版)(解析版)_北师大初中数学_9下-北师大版初中数学_05习题试卷_2单元试卷_单元测试(第1套)
第二章二次函数(选拔卷)-单元测试九年级数学下册尖子生选拔卷(北师大版)(解析版)_北师大初中数学_9下-北师大版初中数学_05习题试卷_2单元试卷_单元测试(第1套)
第二章二次函数(选拔卷)-单元测试九年级数学下册尖子生选拔卷(北师大版)(解析版)_北师大初中数学_9下-北师大版初中数学_05习题试卷_2单元试卷_单元测试(第1套)
第二章二次函数(选拔卷)-单元测试九年级数学下册尖子生选拔卷(北师大版)(解析版)_北师大初中数学_9下-北师大版初中数学_05习题试卷_2单元试卷_单元测试(第1套)
第二章二次函数(选拔卷)-单元测试九年级数学下册尖子生选拔卷(北师大版)(解析版)_北师大初中数学_9下-北师大版初中数学_05习题试卷_2单元试卷_单元测试(第1套)
第二章二次函数(选拔卷)-单元测试九年级数学下册尖子生选拔卷(北师大版)(解析版)_北师大初中数学_9下-北师大版初中数学_05习题试卷_2单元试卷_单元测试(第1套)
第二章二次函数(选拔卷)-单元测试九年级数学下册尖子生选拔卷(北师大版)(解析版)_北师大初中数学_9下-北师大版初中数学_05习题试卷_2单元试卷_单元测试(第1套)
第二章二次函数(选拔卷)-单元测试九年级数学下册尖子生选拔卷(北师大版)(解析版)_北师大初中数学_9下-北师大版初中数学_05习题试卷_2单元试卷_单元测试(第1套)
第二章二次函数(选拔卷)-单元测试九年级数学下册尖子生选拔卷(北师大版)(解析版)_北师大初中数学_9下-北师大版初中数学_05习题试卷_2单元试卷_单元测试(第1套)
第二章二次函数(选拔卷)-单元测试九年级数学下册尖子生选拔卷(北师大版)(解析版)_北师大初中数学_9下-北师大版初中数学_05习题试卷_2单元试卷_单元测试(第1套)
第二章二次函数(选拔卷)-单元测试九年级数学下册尖子生选拔卷(北师大版)(解析版)_北师大初中数学_9下-北师大版初中数学_05习题试卷_2单元试卷_单元测试(第1套)
第二章二次函数(选拔卷)-单元测试九年级数学下册尖子生选拔卷(北师大版)(解析版)_北师大初中数学_9下-北师大版初中数学_05习题试卷_2单元试卷_单元测试(第1套)
第二章二次函数(选拔卷)-单元测试九年级数学下册尖子生选拔卷(北师大版)(解析版)_北师大初中数学_9下-北师大版初中数学_05习题试卷_2单元试卷_单元测试(第1套)
第二章二次函数(选拔卷)-单元测试九年级数学下册尖子生选拔卷(北师大版)(解析版)_北师大初中数学_9下-北师大版初中数学_05习题试卷_2单元试卷_单元测试(第1套)
第二章二次函数(选拔卷)-单元测试九年级数学下册尖子生选拔卷(北师大版)(解析版)_北师大初中数学_9下-北师大版初中数学_05习题试卷_2单元试卷_单元测试(第1套)

文档信息

文档格式
docx
文档大小
1.484 MB
文档页数
42 页
上传时间
2026-04-14 21:13:25

文档内容

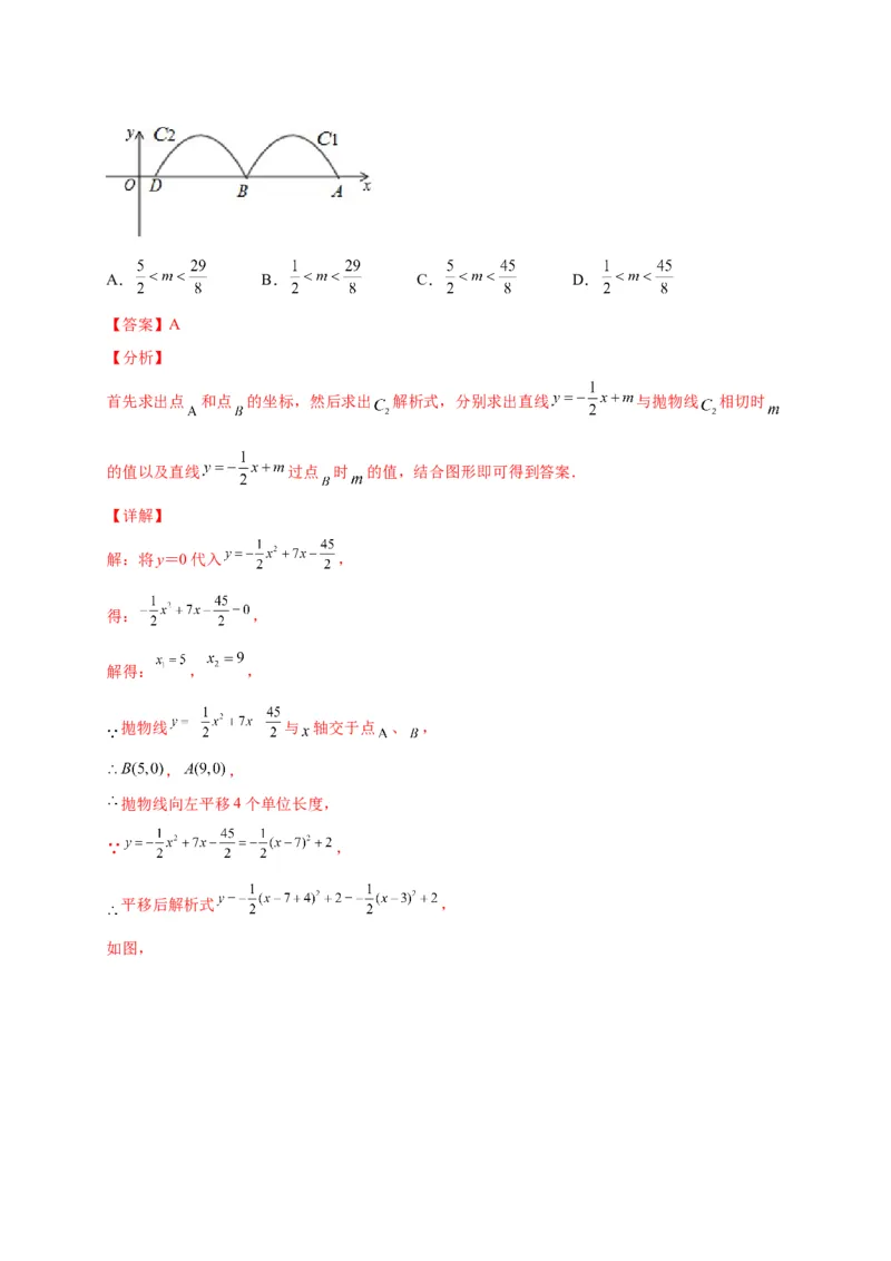
第二章 二次函数(北师大版) 选拔卷 (考试时间:60分钟 试卷满分:100分) 一、选择题:本题共12个小题,每小题3分,共36分。在每小题给出的四个选项中,只有一项是 符合题目要求的。 1.(2021·河北·廊坊市第六中学九年级月考)设y=y﹣y,y 与x成正比例,y 与x2成正比例, 1 2 1 2 则y与x的函数关系是( ) A.正比例函数 B.一次函数 C.二次函数 D.以上均不正确 【答案】C 【分析】 设y=kx,y=kx2,根据y=y﹣y 得到y=kx﹣k x2,由此得到答案. 1 1 2 2 1 2 1 2 【详解】 解:设y=kx,y=kx2, 1 1 2 2 则y=kx﹣k x2, 1 2 所以y是关于x的二次函数, 故选:C. 【点睛】 此题考查列函数关系式,正确理解正比例函数的定义是解题的关键. 2.(2021·四川眉山·中考真题)在平面直角坐标系中,抛物线 与 轴交于点 ,则 该抛物线关于点 成中心对称的抛物线的表达式为( ) A. B. C. D. 【答案】A 【分析】 先求出C点坐标,再设新抛物线上的点的坐标为(x,y),求出它关于点C对称的点的坐标,代入 到原抛物线解析式中去,即可得到新抛物线的解析式. 【详解】解:当x=0时,y=5, ∴C(0,5); 设新抛物线上的点的坐标为(x,y), ∵原抛物线与新抛物线关于点C成中心对称, 由 , ; ∴对应的原抛物线上点的坐标为 ; 代入原抛物线解析式可得: , ∴新抛物线的解析式为: ; 故选:A. 【点睛】 本题综合考查了求抛物线上点的坐标、中心对称在平面直角坐标系中的运用以及求抛物线的解析式 等内容,解决本题的关键是设出新抛物线上的点的坐标,求出其在原抛物线上的对应点坐标,再代 入原抛物线解析式中求新抛物线解析式,本题属于中等难度题目,蕴含了数形结合的思想方法等. 3.(2021·河北东光·九年级期中)如图,在平面直角坐标系中,平行于x轴的直线 ,与二次函 数 , 分别交于A、B和C、D,若 ,则a为( ) A.4 B. C.2 D. 【答案】B 【分析】 先求出点A、B的坐标由此得到AB的长,由此得到CD的长,点D的坐标,代入解析式即可得到答 案. 【详解】解:如图,设直线AB交y轴于点E, ∵直线 与二次函数 交于A、B, ∴当 时, ,得 , ∴ , ∴ , ∵ , ∴CD=4 , 由二次函数的对称性可得CE=DE=2 , ∴D(2 ,2), 将点D的坐标代入 ,得8a=2, 解得a= , 故选:B. 【点睛】 此题考查二次函数图象上点的坐标特点,正确掌握二次函数图象的对称性、图象上点的坐标特点是 解题的关键. 4.(2021·安徽宣城·九年级期中)二次函数y=ax2+bx+c(abc≠0)的图象如图所示,反比例函数 y= 与正比例函数y=bx在同一坐标系内的大致图象是( )A. B. C. D. 【答案】D 【分析】 先根据二次函数的图象可得 的符号,再根据反比例函数的图象、正比例函数的图象特点即可得. 【详解】 解: 抛物线的开口向上,与 轴的交点位于 轴的正半轴, , 抛物线的对称轴位于 轴的右侧, , , 由 可知,反比例函数 的图象位于第一、三象限, 由 可知,正比例函数 的图象经过原点,且经过第二、四象限, 观察四个选项可知,只有选项D符合, 故选:D. 【点睛】 本题考查了二次函数、反比例函数和正比例函数的图象,熟练掌握各函数的图象特点是解题关键.5.(2021·全国·八年级课时练习)有一块缺角矩形地皮 (如图),其中 .现准备用此块地建一座地基为长方形(图中用阴影 部分表示)的实验大楼,以下四个方案中,地基面积最大的是( ) A. B. C. D. 【答案】A 【分析】 本题利用矩形的性质,等腰直角三角形的性质以及函数的性质进行做题. 【详解】 解:如图,作DG⊥AB于G,EF⊥BC于F,DG,EF交于O,设CN=x, 那么∠EDO=∠EDC-90°=45°, 因此△EOD是等腰直角三角形,同理△EQR,△RPD均为等腰直角三角形, ∴EO=OD=AB-CD=20,RP=DP=CN=x,EQ=QR=AM=EO-RP=20-x,AE=BC-OD=60, 如果设阴影部分MRNB的面积为y, 那么y=MR•RN=(AE+QR)•(CD+RP)=(80-x)(x+90)=7200-10x-x2 因为y是x的开口向下的抛物线,其对称轴为直线x=-5, 所以当x≥0时,二次函数为减函数, 所以此函数的最大值就是当x=0时,y=7200, 故选:A. 【点睛】 本题主要考查了矩形的性质,等腰直角三角形的性质以及函数的性质等知识点的应用,要注意多知识点的融会贯通. 6.(2021·全国·九年级专题练习)如图所示,正方形ABCD的边长为1.E、F、G、H分别为各边 上的点,且AE=BF=CG=DH,设小正方形EFGH的面积为S,AE为 ,则S关于 的函数图象大 致是( ) A. B. C. D. 【答案】B 【分析】 根据条件可知 ,设 为 ,则 ,根据勾股定理 ,进而可求出函数解析式,由此可求出答案. 【详解】 解: 四边形ABCD是正方形, ∴ , , 又∵ , ∴ , (SAS). 设 为 ,则 ,根据勾股定理,得 , 即 , 所求函数图象是一条开口向上的抛物线,对称轴是直线 . 由题意可知自变量的取值范围是 . 故选:B. 【点睛】 本题考查了正方形的性质,全等三角形的判定与性质,勾股定理的应用以及二次函数的综合运用. 关键是根据题意,列出函数关系式,判断二次函数的自变量取值范围,开口方向及对称轴. 7.(2021·湖北武昌·九年级期中)二次函数y=ax2+bx+c(a、b、c为常数,a≠0)中的x与y的部 分对应值如表: x ﹣1 0 3 y n 3 3 当n<0时,下列结论中一定正确的有( )个. ①abc<0;②若点(﹣2,y),D(π,y)在该抛物线上,则y<y;③n<4a;④对于任意实数t,总 1 2 1 2 有4(at2+bt)≤9a+6b. A.1 B.2 C.3 D.4 【答案】C 【分析】 根据表格数据求出二次函数的对称轴为直线x=1.5,然后根据二次函数的性质对各小题分析判断即 可得解. 【详解】 解:①∵n<0,由图表中数据可得出二次函数y=ax2+bx+c开口向下, 且对称轴为x= =1.5,∴a<0,b>0, 又∵x=0时,y=3, ∴c=3>0, ∴abc<0,故①正确; ②∵二次函数y=ax2+bx+c开口向下,且对称轴为x=1.5, ∴点C(﹣2,y)到对称轴的距离大于D(π,y)到对称轴的距离, 1 2 ∴y<y,故②正确; 1 2 ③∵c=3, ∴二次函数y=ax2+bx+3, ∵当x=﹣1时,y=n, ∴a﹣b+3=n, ∵﹣ =1.5, ∴b=﹣3a, ∴a+3a+3=n, ∴4a<n,故③错误; ④∵二次函数y=ax2+bx+c开口向下,且对称轴为x=1.5, ∴对于任意实数t,at2+bt+c≤ a+ b+c, ∴4(at2+bt)≤9a+6b,故④正确. 故选:C. 【点睛】 本题考查了二次函数的图像与性质,熟练掌握二次函数的系数与图像的关系是解本题的关键. 8.(2020·山东潍坊·模拟预测)已知二次函数 (其中 是自变量),当 时, 随 的增大而增大,且当 时, 的最大值为9,则 的值为( ) A.-1 B.1 C.-2 D.2 【答案】B 【分析】 先求出二次函数的对称轴,再根据二次函数的增减性得出抛物线开口向上a>0,然后由-2≤x≤1时, y的最大值为9,可得x=1时,y=9,即可求出a. 【详解】∵二次函数y=ax2+2ax+3a2+3(其中x是自变量), ∴对称轴是直线x=- =-1, ∵当x≥2时,y随x的增大而增大, ∴a>0, ∵-2≤x≤1时,y的最大值为9, ∴x=1时,y=a+2a+3a2+3=9, ∴3a2+3a-6=0, ∴a=1,或a=-2(不合题意舍去). 故选:B. 【点睛】 此题考查二次函数的性质,解题关键在于掌握其其定义. 9.(2021·浙江·温州市实验中学九年级月考)如图,抛物线 (a>0)与x轴交于 A,B,顶点为点D,把抛物线在x轴下方部分关于点B作中心对称,顶点对应D′,点A对应点C, 连接DD′,CD′,DC,当△CDD′是直角三角形时,a的值为( ) A. 或 B. 或 C. 或 D. 或 【答案】A 【分析】 先求出点A(-3,0),点B(1,0),由点B为中心对称,求出点C(5,0),把抛物线配方为顶 点式可得D(-1,-4a),点D与点D′关于点B对称,D′(3,4a),DD′ ,CD=,CD′= ,由△CDD′是直角三角形,分两种情况,当∠CD′D=90°, ∠DCD′=90°时利用勾股定理列出方程,解方程即可. 【详解】 解:∵抛物线 (a>0)与x轴交于A,B, ∴ ∵a>0 解得 ∴点A(-3,0),点B(1,0), ∵点B为中心对称, ∴点C的横坐标为:1+(1+3)=5, ∴点C(5,0), ∴抛物线 , ∴D(-1,-4a), 点D与点D′关于点B对称, 点D′的横坐标为1+(1+1)=3,纵坐标为4a, ∴D′(3,4a), DD′= ,CD= , CD′= , ∵△CDD′是直角三角形, 当∠CD′D=90°, 根据勾股定理,CD′2+DD′2=CD2,即 , 解得 , ∵a>0,∴ ; 当∠DCD′=90°, 根据勾股定理,CD′2+CD2=DD′2,即 , 解得 , ∴ , ∴综合得a的值为 或 . 故答案选:A. 【点睛】 本题考查待定系数法求抛物线解析式,分类思想的应用,勾股定理,中心对称性质,掌握待定系数 法求抛物线解析式,分类思想的应用,勾股定理,中心对称性质是解题关键. 10.(2021·湖南长沙·九年级期中)如图,抛物线 与抛物线 交于点 ,且它们分别与 轴交于点 、 .过点 作 轴的平行线,分别与两抛物线交于 点 、 ,则以下结论: ①无论 取何值, 总是负数; ②抛物线 可由抛物线 向右平移3个单位,再向下平移3个单位得到; ③当 时,随着 的增大, 的值先增大后减小; ④四边形 为正方形.其中正确的是( ) A.①② B.①②④ C.③④ D.①②③【答案】B 【分析】 ①根据非负数的相反数或者直接由图像判断即可;②先求抛物线 的解析式,再根据抛物线 的顶点坐标,判断平移方向和平移距离即可判断②;③先根据题意得出 时,观察图像可知 ,然后计算 ,进而根据一次函数的性质即可判断;④分别计算出 的坐标, 根据正方形的判定定理进行判断即可. 【详解】 ① , , , 无论 取何值, 总是负数, 故①正确; ② 抛物线 与抛物线 交于点 , , 即 , 解得 , 抛物线 , 抛物线 的顶点 ,抛物线 的顶点为 , 将 向右平移3个单位,再向下平移3个单位即为 , 即将抛物线 向右平移3个单位,再向下平移3个单位可得到抛物线 , 故②正确; ③ ,将 代入抛物线 , 解得 , , 将 代入抛物线 , 解得 , , ,从图像可知抛物线 的图像在抛物线 图像的上方, 当 ,随着 的增大, 的值减小, 故③不正确; ④设 与 轴交于点 , , , 由③可知 , , , , 当 时, ,即 , , , 四边形 是平行四边形, , 四边形 是正方形, 故④正确, 综上所述,正确的有①②④, 故选B. 【点睛】 本题考查了二次函数图像与性质,一次函数的性质,平移,正方形的判定定理,综合运用以上知识 是解题的关键. 11.(2021·广东·深圳市新华中学九年级期末)如图,预防新冠肺炎疫情期间,某校在校门口用塑 料膜围成一个临时隔离区,隔离区一面靠长为 的墙,隔离区分成两个区域,中间用塑料膜隔开. 已知整个隔离区塑料膜总长为 ,如果隔离区出入口的大小不计,并且隔离区靠墙的一面不能超 过墙长.小明认为:隔离区的最大面积为 ;小亮认为:隔离区的面积可能为 ,则( ) A.小明正确,小亮错误 B.小明错误,小亮正确 C.两人均正确 D.两 人均错误 【答案】B 【分析】 设隔离区靠近墙的长度为x m(0<x≤5),隔离区的面积为S m2,根据矩形的面积公式列出S关于 x的二次函数关系式,求得其对称轴,根据二次函数的性质可得S的最大值;令S=9,求得方程的 解并根据自变量的取值范围作出取舍,则可判断小亮的说法. 【详解】 解:设隔离区靠近墙的长度为x m(0<x≤5),隔离区的面积为S m2,由题意得:= , ∴对称轴为x= , ∵0<x≤5,抛物线开口向下,在对称轴左侧,S随x的增大而增大, ∴当x=5时,S有最大值: S = max ∵9< <12, ∴小明错误; 令S=9得:9= , 解得:x=9(舍),x=3, 1 2 ∴x=3时,S=9. ∴隔离区的面积可能为9m2. 故选:B. 【点睛】 本题考查了二次函数在实际问题中的应用,数形结合并熟练掌握二次函数的性质是解题的关键. 12.(2021·福建省福州格致中学九年级期中)如图,抛物线y= x2+7x﹣ 与x轴交于点A, B,把抛物线在x轴及共上方的部分记作C 将C 向左平移得到C ,C 与x轴交于点B,D,若直线 1 1 2 2 y= x+m与C ,C 共3个不同的交点,则m的取值范是( ) 1 2A. B. C. D. 【答案】A 【分析】 首先求出点 和点 的坐标,然后求出 解析式,分别求出直线 与抛物线 相切时 的值以及直线 过点 时 的值,结合图形即可得到答案. 【详解】 解:将y=0代入 , 得: , 解得: , , 抛物线 与 轴交于点 、 , , , 抛物线向左平移4个单位长度, ∵ , 平移后解析式 , 如图,当直线 过 点,有2个交点, , 解得: , 当直线 与抛物线 相切时,有2个交点, , 整理得: , 相切, , 解得: , 若直线 与 、 共有3个不同的交点, , 故选:A. 【点睛】 本题主要考查抛物线与 轴交点以及二次函数图象与几何变换的知识,解答本题的关键是正确地画 出图形,利用数形结合进行解题,此题有一定的难度. 二、填空题:本题共6个小题,每小题3分,共18分。 13.(2021·辽宁甘井子·九年级月考)如图,正方形 的边长是 , 是 上一点, 是延长线上的一点, .四边形 是矩形,矩形 的面积 与 的长 的函数关系是______. 【答案】 ## 【分析】 由已知图形可以分析得到矩形 的长 为 cm,宽 为 cm,由面积公式即可 计算得到正确答案. 【详解】 解:∵正方形 的边长是 ,且 ∴矩形 的长 的长为 cm,宽 的长为 cm ∴矩形 的面积为: 故答案为: 【点睛】 本题考查变量之间的关系,由矩形面积推导二次函数关系式等知识点.数形结合列式计算是解此类 题的关键. 14.(2020·福建·莆田市城厢区南门学校九年级期中)如图,正方形 的边长为2, 与 负 半轴的夹角为15°,点 在抛物线 的图象上,则 的值为_.【答案】 【分析】 连接OB,过点B作BD⊥x轴于D,根据正方形的性质求得∠BOA=45°,OB= ,根据三角函数 和勾股定理可得点B的坐标为( , ),代入抛物线 即可求解. 【详解】 如图,连接OB,过点B作BD⊥x轴于D, ∵四边形OABC是边长为2的正方形, ∴∠BOA=45°,OB= , ∵AC与x轴负半轴的夹角为15°, ∴∠AOD=45°﹣15°=30°, ∴BD= OB= ,OD= = = , ∴点B的坐标为( , ), ∵点B在抛物线 的图象上, 则: , 解得: , 故答案为故答案为: . 【点睛】 本题主要考查根据坐标求解析式,涉及到正方形的性质、勾股定理、三角函数值,解题的关键是熟 练掌握所学知识求得点B的坐标. 15.(2021·四川·成都嘉祥外国语学校九年级期中)有四张正面分别标有数字﹣4,﹣3,﹣2,1, 的不透明卡片,它们除数字不同外其他全部相同,现将它们背面朝上,洗匀后从中抽取一张,将该 卡片上的数字记为a,放回后洗匀,再从中抽取一张,将该卡片上的数字记为b,则a,b使得二次 函数y=x2﹣(a+5)x+3当x≤1时y随x的增大而减小,且一元二次方程(a+2)x2+bx+1=0有解的 概率为 ___. 【答案】 【分析】 根据二次函数满足的条件先求出a的取值范围,然后再由一元二次方程有解,确定a,b满足的范 围,再根据概率公式求解即可. 【详解】 解:∵二次函数y=x2﹣(a+5)x+3,二次项系数为1,大于0, ∴抛物线开口向上,对称轴为直线 , ∵要使得当x≤1时,y随x的增大而减小, ∴应满足 , 解得: ; ∵一元二次方程(a+2)x2+bx+1=0有解, ∴ 且 ,∴ 且 , ∴由题意可知,a仅能取-3或1, 当 时, , ∴b取﹣4,﹣3,﹣2,1时,均满足 ; 当 时, , ∴仅有b取﹣4时,满足 ; 综上分析,当 时,b取﹣4,﹣3,﹣2,1,满足题意;当 时,b取﹣4满足题意;共有5 种情况满足题意; ∵由题意可得,两次抽取共有16种情况发生, ∴两次抽取后满足题意的概率为 , 故答案为: . 【点睛】 本题考查概率公式求解概率,涉及到二次函数的性质,一元二次方程的定义和根的判别式,理解二 次函数的基本性质,掌握一元二次方程的根的判别式以及概率公式是解题关键. 16.(2021·内蒙古呼和浩特·九年级期中)如图,已知抛物线y=ax2+bx+3经过点B(3,0),C (4,3),与y轴交于点A.把抛物线向上平移,使得顶点E落在x轴上点F处,点A平移至点D 处,则两条抛物线、对称轴EF和y轴围成的图形(图中阴影部分)的面积为 ___. 【答案】2 【分析】将点 、点 的坐标代入抛物线中,求出抛物线的解析式,计算出点 的坐标,从而可以得出点 的坐标,得出 的长,再根据阴影部分的面积等于平行四边形 的面积,进行计算即可求解. 【详解】 解:如图所示,连接 , ∵抛物线y=ax2+bx+3经过点B(3,0),C(4,3) ∴ 解得: ∴抛物线的解析式为: ∵ ∴点 坐标为 ∵抛物线向上平移,使得顶点E落在x轴上点F处 ∴ ∴ ∵阴影部分的面积等于平行四边形 的面积 ∴ ∴阴影部分的面积等于2 【点睛】本题主要考查了用待定系数法求二次函数的解析式,二次函数的性质,以及二次函数图像与几何变 换,根据平移的性质将阴影部分的面积转化为平行四边形 的面积进行计算是解答此题的关键. 17.(2021·浙江·瑞安市安阳实验中学九年级期中)如图所示,从高为2m的点 处向右上抛一个 小球 ,小球路线呈抛物线 形状,小球水平经过2m时达到最大高度6m,然后落在下方台阶B处 弹起,己知 m, m, m,若小球弹起形成一条与 形状相同 的抛物线,且落点 与 , 在同一直线上,则小球弹起时的最大高度是 _______________________m 【答案】 【分析】 以OC为x轴,OA为y轴,建立平面直角坐标系,根据点A(0,2),抛物线的顶点(2,6)设抛 物线的解析式为 ,求出 ,点B的纵坐标为2,将y=2代入解析式, ,得出点B(4,2),再求点D(2.8,3)利用待定系数法直线BD解析式为 ,可求点Q( ,0),过BQ的抛物线解析式为 ,代入坐标得 解方程组即可 【详解】 解:以OC为x轴,OA为y轴,建立平面直角坐标系, 点A(0,2),抛物线的顶点(2,6)设抛物线的解析式为 代入A点坐标得 解得 , ∴抛物线的解析式为 , 点B的纵坐标为MN-EF-CD=4-1-1=2, ∴y=2时, , 解得 , ∴点B(4,2), 点D的横坐标=4-CB=4-1.2=2.8,点D的纵坐标2+1=3, 点D(2.8,3) 设直线BD解析式为 代入坐标得 解得 直线BD解析式为 当y=0时, 点Q( ,0) 过BQ的抛物线解析式为 ,代入坐标得解得 ∴小球弹起时的最大高度是 m 故答案为 【点睛】 本题考查建立平面直角坐标系,待定系数法求抛物线解析式以及直线解析式,求抛物线最值掌握建 立平面直角坐标系,待定系数法求抛物线解析式以及直线解析式,求抛物线最值是解题关键 18.(2021·江苏姑苏·九年级期中)如图①,在平面直角坐标系中,点A、C分别在y轴和x轴上, AB∥x轴,cosB= .点P从B点出发,以1cm/s的速度沿边BA匀速运动,点Q从点A出发,沿 线段AO﹣OC﹣CB匀速运动.点P与点Q同时出发,其中一点到达终点,另一点也随之停止运动. 设点P运动的时间为t(s),△BPQ的面积为S(cm2),已知S与t之间的函数关系如图②中的曲 线段OE、线段EF与曲线段FG.说法正确的是__________.①点Q的运动速度为3cm/s; ②点B的坐标为(9,18); ③线段EF段的函数解析式为S= t; ④曲线FG段的函数解析式为S=﹣ t2+9t; ⑤若△BPQ 的面积是四边形 OABC 的面积的 ,则时间t=2 或t= . 【答案】①③④⑤ 【分析】 ①、②结合函数图象得出当3秒时,BP=3,此时△BPQ的面积为13.5cm2,进而求出AO为9cm, 即可得出Q点的速度,进而求出AB的长即可; ③由①、②可知 EF段表示的是△BPQ底在增大,高不变的过程; ④首先得出PB=t,BQ=30﹣3t,则QM= (30﹣3t)=18﹣ t,利用S = t(18﹣ t)求 PBQ △ 出即可; ⑤首先得出△BPQ的面积,房两种情形分别列出方程即可解决问题; 【详解】 解:①由题意可得出:当3秒时,△BPQ的面积的函数关系式改变,则Q在AO上运动3秒, 当3秒时,BP=3,此时△BPQ的面积为13.5cm2, ∴AO为9cm, ∴点Q的运动速度为:9÷3=3(cm/s), 故答案①正确; ②当运动到5秒时,函数关系式改变,则CO=6cm, ∵cosB= , ∴可求出AB=6+12=18(cm), ∴B(18,9); 故答案②错误; ③S = t×9= t(3≤t≤5) PBQ △ ∴线段 EF段的函数解析式为S= t;故答案③正确; ④如图(1):PB=t,BQ=30﹣3t, 过点Q作QM⊥AB于点M, 则QM= (30﹣3t)=18﹣ t,, ∴S = t(18﹣ t)=﹣ t2+9t;(5≤t≤10), PBQ △ 即曲线FG段的函数解析式为:S=﹣ t2+9t; 故答案④正确; ⑤∵S = (6+18)×9=108, 梯形OABC ∴S= ×108=12, 当0<t<3时,S= t2,S=12时,t=2 或﹣2 (舍弃), 当5<t<10时,12=﹣ t2+9t; 解得t= 或 (舍弃), 综上所述:t=2 或t= ,△BPQ的面积是四边形OABC的面积的 . 故答案⑤正确; 所以正确答案为:①③④⑤ 【点睛】 此题主要考查了动点问题的函数图象以及三角形,面积求法和待定系数法求函数解析式等知识,具体的关键是学会以分类讨论的思想思考问题,学会理由方程的思想解决问题,属于中考压轴题 三、解答题(19题6分,其余每题8分,共46分) 19.(2021·全国·九年级课时练习)(1)你知道下面每一个图形中各有多少个小圆圈吗?第5个图 形中应该有多少个小圆圈?为什么? (2)完成下表: 边上的小圆圈数 1 2 3 4 5 每个图中小圆圈的总 数 (3)如果用n表示六边形边上的小圆圈数,m表示这个六边形中小圆圈的总数,那么m和n的关 系是什么? 【答案】(1)第1个图形:1个;第2个图形:7个;第3个图形:19个;第4个图形:37个;第 5个图形:61个,理由见解析;(2)1,7,19,37,61;(3) 【分析】 (1)首先,观察每个图形的特点,算出每一个图形中的小圆圈数,据此推过推算即可得到第5个 图中小圆圈的个数; (2)直接将(1)算出的结果填入下列表格即可; (3)接下来通过对表格进行分析,即可得到每一个图形的小圆圈数与该图形一条边上的小圆圈数 之间的关系. 【详解】 (1)观察每个图形的特点,就可以算出第1个图形的小圆圈有1个, 第2个图形的小圆圈有2+3+2=7个, 第3个图形的小圆圈有3+4+5+4+3=19个, 第4个图形的小圆圈有4+5+6+7+6+5+4=37个, 由此可推知第5个图形的小圆圈有5+6+7+8+9+8+7+6+5=61个; (2)将(1)算出的结果填入下列表格,如下表所示, 边上的小圆圈数 1 2 3 4 5 每个图中小圆圈的总 1 7 1 37 61数 9 (3)结合(1)(2)可知, 与 之间的函数关系为: 首尾相加得 . 【点睛】 本题主要考察根据图形和数字寻找规律的知识.解决此类找规律的题目一般从特殊的数据入手,根 据前后式子之间的异同推断出规律,再利用发现的规律解决相关问题. 20.(2021·福建连江·九年级期中)在平面直角坐标系中,抛物线y=ax2﹣4ax+2a﹣1(a≠0)与平 行于x轴的一条直线交与A,B两点. (1)若抛物线的图象过(0,1),求a的值; (2)若点A的坐标为(﹣1,﹣3),求点B的坐标; (3)若直线AB与抛物线的对称轴交于点N,与y轴交点的纵坐标为﹣1,且抛物线的顶点M到点 N的距离为3,求抛物线的解析式. 【答案】(1) ;(2) (3) 或 【分析】 (1)将点(0,1)代入抛物线解析式求解即可; (2)求得抛物线的对称轴,根据题意可得 关于对称轴对称,即可求解;(3)根据题意可得 的纵坐标为 ,根据题意可求得顶点 的坐标,求解即可. 【详解】 解:(1)将点(0,1)代入抛物线解析式 得 ,解得 故答案为 ; (2)由抛物线解析式 ,可得 抛物线的对称轴为 由题意可得: 关于对称轴 对称 ∵点A的坐标为(﹣1,﹣3) ∴点 的坐标为 故答案为 ; (3)根据题意可得 的纵坐标为 , 点 都在对称轴 上,∴ 当点 在点 的上方时,顶点M到点N的距离为3,则 将 代入抛物线解析式得, ,解得 此时抛物线解析是为 当点 在点 的下方时,顶点M到点N的距离为3,则 将 代入抛物线解析式得, ,解得 此时抛物线解析式为 所以抛物线解析式为 或 【点睛】 此题考查了二次函数的性质,待定系数法求解析式,解题的关键是掌握二次函数的性质,根据题意 正确求出顶点的坐标. 21.(2021·福建连江·九年级期中)二次函数y=ax2+bx+c(a≠0)的图像如图所示,根据图像回答 下列问题:(1)观察图像,当y随x的增大而减小时,自变量x的取值范围为 ; (2)一元二次方程ax2+bx+c=0的两个根为 ; (3)观察图像,当函数值小于0时,自变量x的取值范围为 . 【答案】(1) ;(2) , ;(3) 或 【分析】 (1)观察函数图像可得,在对称轴的右侧,y随x的增大而减小,即可求解; (2)由二次函数与一元二次方程的关系可得, 两点的横坐标为一元二次方程的两个根,根据 对称性求解即可; (3)函数值小于0,可得函数图像在 轴的下方,即可求解. 【详解】 解:(1)观察函数图像可得,在对称轴的右侧,y随x的增大而减小, 此时x的范围为 ; 故答案为 ; (2)由二次函数与一元二次方程的关系可得, 两点的横坐标为一元二次方程 的两个根, 由图像可得 点的横标为 ,且 两点关于 对称 所以 点的横坐标为 ∴一元二次方程 的两个根为 , 故答案为 , ; (3)当函数值小于0时,函数图像在 轴的下方,即在点 的左侧或点 的右侧 此时x的范围为 或 故答案为 或 . 【点睛】此题考查了二次函数的图像的性质,二次函数与一元二次方程和一元二次不等式之间的关系,解题 的关键是掌握它们之间的关系,利用数形结合的思想进行求解. 22.(2021·湖北武昌·九年级期中)如图1,抛物线G:y=﹣ x2+bx+c经过点B(6,0),顶点为 A,对称轴为直线x=2. (1)求抛物线G的解析式; (2)若点C为直线AB上方的抛物线上的动点,当 ABC面积最大时,求C点的坐标; (3)如图2,将抛物线G向左平移至顶点在y轴上,平移后的抛物线 与x轴交于点E、F,平行 于x轴的直线l经过点(0,8),若点P为x轴上方的抛物线 上的动点,分别连接EP、FP,并延长 交直线l于M、N两点,若M、N两点的横坐标分别为m、n,试探究m、n之间的数量关系. 【答案】(1)y=﹣ x2+x+3;(2)C(4,3) ;(3)mn=﹣16 【分析】 (1)用待定系数法即可求得解析式为y=﹣ x2+x+3; (2)连接AC、BC,过点C作y轴的平行线交AB于点H,设C的坐标为(x,﹣ x2+x+3),求出 直线AB的解析式,则可求得点H的坐标,由S=S +S =﹣ (x﹣4)2+2,即可求解; CHA CHB △ △ (3)抛物线G′的表达式为y=﹣ x2+4,则点E、F的坐标分别为(﹣4,0)、(4,0),设点P 的坐标为(p,﹣ p2+4),由点P、E的坐标可求得直线PE的表达式,当y=8时,可解得x= =m,同理可得:n= ,即可求解.【详解】 (1)由题意得: ,解得 , 故抛物线的表达式为y=﹣ x2+x+3; (2)连接AC、BC,过点C作y轴的平行线交AB于点H, 当x=2时,y=﹣ x2+x+3=4,即抛物线G的顶点A的坐标为(2,4), 设直线AB的表达式为y=kx+t, 把A、B两点的坐标代入上式中得: ,解得 , 故直线AB的表达式为y=﹣x+6, 设C的坐标为(x,﹣ x2+x+3),则点H(x,﹣x+6), ∴ 设△ACH与△BCH的边CH上的高分别为h 和h,则 1 2 设△ABC面积为S, 则 = ×4×(﹣ x2+2x-3)=﹣ (x﹣4)2+2, 故当x=4时,△ABC面积最大,则点C(4,3); (3)由于抛物线G的顶点为(2,4),则将抛物线G向左平移至顶点在y轴上,抛物线G′的表达式为y=﹣ x2+4, 令y=﹣ x2+4=0,解得x=±4,故点E、F的坐标分别为(﹣4,0)、(4,0), 设点P的坐标为(p,﹣ p2+4), 设直线PE的解析式为: , 把点P、E的坐标代入上式得: ,解得: , ∴直线PE的表达式为y=﹣ (p﹣4)x+4−p, 当y=8时,即y=﹣ (p﹣4)x+4−p=8,解得x= =m, 同理可得:n= , 故mn=﹣16. 【点睛】 本题是二次函数的综合,考查了待定系数法求一次函数与二次函数的解析式,二次函数的最值,二 次函数图象的平移,三角形的面积等知识,灵活运用这些知识并数形结合是问题的关键. 23.(2021·安徽·合肥市五十中学东校九年级月考)某超市拟于中秋节前50天里销售某品牌月饼, 其进价为18元/kg.设第x天的销售价格为y(元/kg),销售量为m(kg).该超市根据以往的销 售经验得出以下的销售规律:①当1≤x≤30时,y=40;当31≤x≤50时,y与x满足一次函数关系, 且当x=36时,y=37;x=44时,y=33.②m与x的关系为m=5x+50. (1)当31≤x≤50时,求y与x的关系式; (2)x为多少时,当天的销售利润w(元)最大?最大利润为多少? (3)若超市希望第31天到第35天的日销售利润W(元)随x的增大而增大,则需要在当天销售价 格的基础上涨a元/kg,求a的最小值. 【答案】(1) ( );(2)当 时,w最大值为4410元;(3) .【分析】 (1)依据题意利用待定系数法,易得出当 时, 与 的关系式为: . (2)根据销售利润 销售量 (售价 进价),列出每天的销售利润 (元 与销售价 (元 之间的函数关系式,再依据函数的增减性求得最大利润. (3)要使第31天到第35天的日销售利润 (元 随 的增大而增大,则对称轴 ,求得 即可. 【详解】 解:(1)依题意,当 时, ; 时, , 当 时,设 , 则有 ,解得 , 与 的关系式为: . (2)依题意, , , 整理得, , 当 时, 随 增大而增大, 时,取最大值 , 当 时, ,, 时, 取得最大值,此时 , 综上所述, 为32时,当天的销售利润 (元 最大,最大利润为4410元. (3)依题意, , 第31天到第35天的日销售利润 (元 随 的增大而增大, 对称轴 ,得 , 故 的最小值为3. 【点睛】 本题考查了二次函数的性质在实际生活中的应用,熟悉相关性质是解题的关键. 24.(2021·江苏·无锡市江南中学九年级期中)如图,在Rt ABC中,∠C=90°,BC=3,AC= 4,点P,Q都是斜边AB上的动点,点P从B向A运动(不△与点B重合),点Q从A向B运动, BP=AQ.点D,E分别是点A,B以Q,P为对称中心的对称点,HQ⊥AB于Q,交AC于点H,当 点E到达顶点A时,P,Q同时停止运动,设BP的长为x,△HDE的面积为y. (1)求证:△DHQ∽△ABC; (2)求y关于x的函数解析式; (3)当x为何值时,△HDE为等腰三角形? 【答案】(1)证明见详解;(2)y与x之间的函数解析式为 ;(3)当 x的值为 , , 时,△HDE是等腰三角形.【分析】 (1)A、D关于点Q成中心对称,HQ⊥AB,可得 ,DH=AH,根据等边对等角 可得 ,可得△DHQ∽△ABC; (2)在Rt ABC中根据勾股定理求出AB= ,AQ=QD=BP=PE= x,分两种情况,①如图1,当 △ 时, ED= ,利用相似三角形性质求出QH= ,利用三角形面积可求 .②如图2,当 时,ED= ,QH= ,利 用三角形面积 即可; (3)等腰三角形分两类情况,D、E相遇前与相遇后,D、E相遇前,当DH=DE时,列方程 ;D、E相遇后分三种情况当ED=EH时,在Rt QBE中根据勾股定理列方程 △ ,当DE=DH时列方程 ,当 EH=DH时,列方程3x-5=x,然后解方程即可. 【详解】 证明(1)∵A、D关于点Q成中心对称,HQ⊥AB, ∴ ,DH=AH, ∴ , ∴△DHQ∽△ABC.解:(2)在Rt ABC中AB= ,BP的长为x,AQ=BP=x,点D,E分别是 △ 点A,B以Q,P为对称中心的对称点,AQ=QD=BP=PE= x, ①如图1,当 时, ED= , ∵HQ⊥AB, ∴∠AQH=∠C=90°, ∵∠QAH=∠CAB, ∴△QAH∽△CAB, ∴ 即 ∴QH= , 此时 . ②如图2,当 时, ∵ED= ,QH= , 此时 .∴y与x之间的函数解析式为 ; 解:(3)等腰三角形分两类情况,D、E相遇前与相遇后, D、E相遇前,当DH=DE时,QD=x,QH= , ∴DH= ,DE=5-4x, ∴ , 解得 ; 当ED=EH时,AE=5-BE=5-2 x,QE=5-3 x,QH= , 在Rt QBE中, , △ 解得 ;当DE=DH时, , 解得 ; 当EH=DH时, ∵HQ⊥ED, ∴EQ=DQ, ∵EQ=EB-QB=2x-(5-x)=3x-5, ∴3x-5=x, 解得x= ;当x的值为 , , 时,△HDE是等腰三角形. 【点睛】 本题考查轴对称性质,三角形相似判定与性质,三角形面积,以及面积函数,等腰三角形判定,一 元方程及其解法,掌握轴对称性质,三角形相似判定与性质,三角形面积,以及面积函数,等腰三 角形判定,一元方程及其解法,利用分类思想解题是解题关键.