金属疲劳断裂研究工具取得里程碑进展,有望显著提升关键构件寿命与可靠性
近年来,深度学习技术在多个工程领域取得了显著突破,特别是在疲劳与断裂分析中的应用。传统的疲劳分析方法依赖于物理模型和实验数据,然而,随着结构复杂性的增加和多物理场交互的挑战,传统方法的计算成本和准确性已无法满足高精度要求。深度学习通过强大的数据处理和模式识别能力,能够有效地从大量复杂数据中提取特征,进而提供更高效、更精准的分析。特别是在疲劳寿命预测、裂纹检测与扩展、以及多物理场耦合分析等方面,深度学习展现了巨大的潜力,能够弥补传统方法的不足,提升工程分析的效率与可靠性。
材料力学的传统分析方法在面对多维度、多物理场的复杂问题时,往往需要大量的实验数据支持,并且计算过程繁琐。而人工智能,特别是深度学习的应用,正在推动材料科学领域的革命。通过将物理学定律与深度学习模型结合,如物理信息神经网络(PINN),工程师可以实现更为精确的疲劳与断裂分析。AI技术的引入,不仅使得传统的疲劳与断裂分析方法更为高效,而且能够自动处理非结构化数据,如图像、传感器数据等,打破了传统方法的限制,提升了预测的精度和应用的广泛性。
随着航空航天、风电、桥梁等关键基础设施领域对安全性和可靠性要求的提高,在工程实践中的前沿趋势与挑战方面,深度学习在疲劳与断裂分析中的应用正日益重要。在这些领域,传统的疲劳分析方法面临着复杂负载谱、材料不均匀性和裂纹扩展行为等多方面的挑战,急需更高效、更智能的解决方案。深度学习,尤其是卷积神经网络(CNN)和生成对抗网络(GAN)的引入,为实时监测、裂纹扩展预测和疲劳寿命评估提供了新的方向。未来,结合深度学习与传统方法的混合分析模型,将在智能化、自动化的工程决策过程中扮演越来越重要的角色,推动结构安全与维护管理向更高水平发展。
课程一、深度学习助力材料疲劳与断裂应用研究课程二、深度学习PINN大模型辅助编程+量子计算
课程三、流固耦合与深度学习
课程一、深度学习助力材料疲劳与断裂应用研究


教学概述



随着航空航天、新能源、高速铁路等重大装备对材料服役性能要求的不断提升,金属材料的疲劳与断裂问题已成为制约结构安全性与寿命的关键瓶颈。传统基于物理模型的疲劳分析方法在面对复杂载荷、多场耦合及微观结构演化时,往往难以兼顾精度与效率。与此同时,深度学习技术在图像识别、时序预测等领域的突破,为解决上述难题提供了全新的研究范式。
本课程旨在系统阐述深度学习技术与金属疲劳断裂力学交叉融合的前沿理论与工程实践。内容围绕两大主轴展开:
一是理论核心。系统讲解金属疲劳与断裂的经典力学理论(S-N曲线、Paris法则、应力强度因子等),并深入剖析深度学习(CNN、LSTM、PINN等)处理力学数据的核心原理。
二是实践驱动。 深度融合航空结构、风电装备、船舶海洋、腐蚀环境、复合材料及高温极端条件等领域的真实案例,通过“力学原理-算法剖析-代码复现-案例研讨”四位一体的教学模式,培养学生运用深度学习技术解决金属疲劳寿命预测、裂纹智能检测、断裂参数反演、多尺度损伤建模等实际工程问题的能力。课程特别引入DeepSeek大模型在疲劳断裂科研中的辅助应用,提升分析与诊断效率。
课程定位



适用对象:材料科学与工程、力学、机械工程、航空航天、船舶与海洋工程等相关专业的研究生,以及从事结构健康监测、寿命评估的科研人员与工程师。
先修知识:具备材料力学/弹性力学基础,了解金属疲劳基本概念;熟悉Python编程,对PyTorch或TensorFlow有基本了解;掌握线性代数与概率统计基础知识。
课程性质:跨学科前沿课,强调理论深度与工程实践的紧密结合。
教学方法



本课程采用“四位一体”的教学模式,将理论深度、文献前沿、代码实现与工程案例有机融合。
理论研讨:精讲经典力学理论与深度学习核心算法,剖析前沿文献的数学原理与模型创新点。
文献精读:选取代表性文献,拆解其方法论与实验设计。
代码复现:基于PyTorch框架,复现论文中的关键模型(如CNN裂纹分割、LSTM裂纹扩展预测、PINN物理约束求解、GAN多尺度数据生成),实现“从论文到代码”的转化。
案例研讨:针对航空发动机涡轮盘、风电主轴轴承、船舶结构、腐蚀环境管道、复合材料风机叶片、高温蠕变部件等真实场景,引导学生设计并讨论基于深度学习的疲劳分析解决方案。
课程目标



1.理解核心原理:掌握金属疲劳断裂的经典力学理论(应力强度因子、Paris公式、Miner准则),理解CNN、LSTM、Transformer、PINN、GAN等深度学习模型处理力学数据的基本原理。
2.掌握处理流程: 独立完成金属疲劳数据(SN曲线、裂纹扩展记录、微观图像、载荷谱、电化学信号)的预处理、特征工程与表示学习,并能针对不同数据类型(时序、图像、结构化数据)选择合适的网络架构。
3.实现关键模型:设计并实现基于深度学习的裂纹检测模型(UNet)、疲劳寿命预测模型(ANN/CNN)、裂纹扩展时序预测模型(LSTM)、物理信息神经网络(PINN)、多尺度数据生成模型(GAN),并能将物理规律嵌入神经网络。
4.批判性分析文献:熟练检索并评述Web of Science、Scopus等数据库中疲劳与深度学习交叉领域的高质量文献,理解其技术贡献与局限性。
5.解决工程问题:针对航空结构疲劳寿命评估、风电装备健康监测、船舶裂纹量化、腐蚀疲劳分析、复合材料寿命预测、高温蠕变疲劳交互等具体场景,设计出可行的、基于深度学习的智能疲劳分析方案。
深度学习助力材料疲劳与断裂应用研究大纲



Day 1:深度学习基础与疲劳断裂力学理论
【切入式问题:为什么同样材料的两个试件,在相同载荷下疲劳寿命可能相差数倍?这背后是微观缺陷的随机性与深度学习的用武之地】
(一)深度学习基础与物理信息神经网络:从神经网络到PINN
教学目标:建立对深度学习核心模型的系统认知,理解物理信息神经网络(PINN)如何将力学定律融入数据驱动建模。
1.深度学习基础
(1)神经网络核心组件:神经元模型、激活函数(ReLU、Tanh)、前馈传播。
(2)训练算法:反向传播与梯度下降优化器(SGD、Adam)。
(3)常见网络架构:
①全连接网络(ANN):处理结构化数据(材料成分、工艺参数、载荷条件)。
②卷积神经网络(CNN):局部连接、权值共享、池化操作;适用于裂纹图像、微观组织图谱。
③循环神经网络(RNN/LSTM):门控机制与长期依赖建模;适用于时序载荷谱、裂纹扩展历史。
2.物理信息神经网络(PINN)原理
(1)核心思想:将物理控制方程(如弹性力学方程、Paris公式)作为损失函数的正则项,迫使网络输出满足物理定律。
(2)自动微分:如何利用深度学习框架的自动微分计算物理残差。
(3)损失函数设计:数据拟合损失 + 物理残差损失 + 边界/初始条件损失。
(4)应用场景:裂纹尖端应力场重构、疲劳寿命外推、数据稀疏下的力学行为预测。

3.前沿拓展
(1)探讨PINN框架在疲劳裂纹扩展预测中的实现细节与优势。


(2)DeepSeek应用:如何利用DeepSeek大模型辅助文献检索、代码生成与实验设计思路启发。
(二)金属疲劳与断裂力学基础
教学目标:系统掌握金属疲劳与断裂的关键力学理论,为后续深度学习方法的应用奠定物理基础。
1.材料力学与断裂力学基础
(1)应力应变分析:胡克定律、塑性变形与本构关系。
(2)断裂力学关键参数:应力强度因子K、J积分、能量释放率G、断裂韧性K_IC。
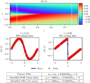
(3)裂纹扩展准则:Paris公式 da/dN = C(ΔK)^m 及其变体(Forman公式、Walker公式)。
2.金属疲劳寿命预测理论
(1)疲劳现象:裂纹萌生(驻留滑移带、夹杂物界面脱粘)与扩展(短裂纹、长裂纹)的微观机制。
(2)寿命描述方法:S-N曲线(应力-寿命法)、ε-N曲线(应变-寿命法)、Miner线性累积损伤准则。
(3)概率疲劳建模:疲劳数据的分散性、Weibull分布、概率S-N曲线。
(4)缺陷主导的疲劳模型:Murakami模型(考虑夹杂物尺寸与位置)、El Haddad模型(短裂纹修正)、Kitagawa-Takahashi图。


3.实践演练:Python实现概率疲劳寿命预测
(1)数据集:使用公开的疲劳S-N数据(如来自NIMS疲劳数据 sheets)或模拟生成的Weibull分布数据。

(2)任务:
①编写代码读取并可视化S-N数据。
②使用SciPy拟合Weibull分布参数,绘制不同存活概率下的P-S-N曲线。
③基于Miner准则计算随机载荷谱下的累积损伤与寿命。
④文献关联:此实践为理解Chang等(2025)中基于机器学习的寿命预测与不确定性量化奠定基础。


4.Workbench仿真简介
(1)简要介绍:ANSYS Workbench在应力应变分析、断裂参数计算中的基本操作。
(2)目的:为后续深度学习与有限元结合打下基础,理解仿真数据的生成与利用。
(3)实操演示:展示一个简单缺口试样的应力分析流程,输出应力云图。
5.前沿拓展
通过精确控制微观组织与夹杂物实现钢中超高疲劳强度的研究,探讨如何将微观组织特征作为深度学习模型的输入特征。
Day 2:金属疲劳裂纹扩展与深度学习核心应用
【切入式问题:如何让计算机像材料专家一样,自动从扫描电镜图像中识别出微米级的疲劳裂纹?】
(一)裂纹扩展与智能检测技术
教学目标:掌握疲劳裂纹扩展的多尺度分析方法,并能够利用深度学习模型实现裂纹的自动检测与量化。
1.疲劳裂纹扩展的多尺度分析
(1)微观尺度:位错运动、晶界阻碍、夹杂物诱发裂纹。
(2)细观尺度:短裂纹扩展、微观结构敏感性。
(3)宏观尺度:长裂纹扩展、Paris区、失稳断裂。
(4)跨尺度关联:基于微观机制的裂纹萌生寿命模型与宏观Paris法则的衔接。

2.智能裂纹检测与特征提取
(1)数字图像相关(DIC)技术:原理、应变场计算、与深度学习结合的潜力。

(2)深度学习在裂纹图像分析中的应用:
①语义分割:U-Net架构及其变体(Res-UNet、Attention U-Net)用于像素级裂纹分割。
②目标检测:YOLO系列、Faster R-CNN用于裂纹位置定位与尺寸估计。
③分类:ResNet、EfficientNet用于裂纹阶段分类(萌生/扩展/失稳)。
④可解释性:利用Grad-CAM、SHAP分析模型关注的微观特征(如夹杂物、晶界)。
3.实践演练:基于U-Net的裂纹分割
(1)数据集:使用公开的金属微观裂纹数据集或合成数据。
(2)任务:
①使用PyTorch搭建U-Net模型。
②加载裂纹图像与对应的掩膜标签,进行数据增强(旋转、翻转、弹性变形)。
③训练模型并评估IoU、Dice系数等指标。
④可视化分割结果,分析模型对微小裂纹的识别能力。


4.前沿拓展:基于监测数据的裂纹量化,探讨如何从应变传感器数据中反演裂纹深度与长度
(二)深度学习在疲劳与断裂中的应用
教学目标:掌握利用深度学习进行疲劳寿命预测和断裂参数反演的方法,并理解时序模型在裂纹扩展预测中的作用。
1.数据驱动的疲劳寿命预测模型
(1)问题定义:将疲劳寿命预测建模为回归任务,输入为材料属性、载荷谱、几何特征等,输出为循环周次。
(2)模型选择:
①全连接网络(ANN):处理结构化表格数据。
②卷积神经网络(CNN):处理一维载荷谱或二维微观图像。
③图神经网络(GNN):处理材料微观结构的图表示(晶粒为节点,晶界为边)。


(3)多轴疲劳预测:利用深度学习处理复杂应力状态
2.时序模型与裂纹扩展预测
(1)LSTM与GRU:门控机制详解,适用于裂纹长度随时间演化的预测。
(2)序列到序列模型:用于多步裂纹扩展预测。
(3)融合物理的LSTM:将Paris公式作为先验知识引入LSTM损失函数或网络结构。
(4)注意力机制:Transformer在时序预测中的应用。
3.实践演练:构建LSTM预测裂纹扩展
(1)数据集:使用疲劳裂纹扩展实验数据(如铝合金2024-T3的a-N曲线),或从文献中提取数据。

(2)任务:
①预处理裂纹扩展数据,构造滑动窗口样本。
②使用PyTorch搭建LSTM模型,输入历史裂纹长度与载荷循环数,预测未来裂纹长度。
③训练模型并与传统Paris公式拟合结果对比。
④(进阶)实现一个简单的物理信息LSTM,将Paris公式的残差加入损失函数。
4.前沿拓展:大规模疲劳数据集,讨论在模型预训练与基准测试中的价值

Day 3:深度学习的工程应用
【切入式问题:航空发动机涡轮盘和风电主轴轴承,哪个的疲劳分析更具挑战性?】
(一)航空结构疲劳与断裂分析
教学目标:深入理解深度学习在航空结构疲劳分析中的具体应用,掌握多尺度分析框架与超分辨率重建技术,能结合有限元与深度学习构建应力场预测代理模型。

1.飞机蒙皮裂纹多尺度分析框架
(1)多尺度建模逻辑:微观(晶粒、夹杂)裂纹萌生机制与宏观(结构应力场)裂纹扩展行为的关联建模。
(2)深度学习加速策略:用轻量 CNN 替代细观尺度有限元计算,提升多尺度仿真效率。
(3)数据融合:整合微观组织图像、宏观载荷谱、有限元仿真数据为模型多源输入。

2.超分辨率重建技术在裂纹检测中的应用
(1)核心模型:超分辨率卷积神经网络(SRCNN/ESRGAN)原理与网络架构设计。
(2)实操要点:低分辨率显微裂纹图像的预处理、超分模型的微调与效果评估。
(3)工程案例:航空铝合金 7075-T6 早期微裂纹的识别与量化,对比超分前后的检测精度。
3.裂纹尖端应力场预测与分析

(1)有限元-深度学习融合思路:以有限元仿真数据为训练集,构建 CNN/ANN 代理模型快速预测应力强度因子。
(2)模型构建步骤:裂纹几何 / 载荷特征提取、代理模型训练、预测结果与有限元解的误差验证。
(3)工程案例:涡轮盘榫槽部位裂纹尖端应力场重构,实现毫秒级应力因子预测。
4. 疲劳寿命预测模型与数据驱动方法
(1)多特征融合:将载荷谱、温度场、材料微观组织特征作为深度学习模型输入,预测涡轮盘低循环疲劳寿命。
(2)模型优化:引入注意力机制,让模型自动关注对疲劳寿命影响显著的载荷特征。
(3)验证方法:结合台架试验数据,采用MAE、RMSE、R² 等指标评估模型预测精度。

5.前沿拓展:探讨热-力耦合疲劳的PINN建模
Zou C L, Tan B Z, Zhang Y J, et al. Thermo-mechanical fatigue damage mechanism and life prediction of compacted graphite iron with high strength[J]. International Journal of Fatigue, 2025, 197: 108931.
(二)新能源装备疲劳分析
教学目标:掌握风电、海洋、桥梁工程领域疲劳问题的深度学习解决方法,能实现风电主轴轴承剩余寿命预测,掌握 PINN 在工程疲劳分析中的落地要点。
1.风电主轴承疲劳分析与寿命预测



(1)风电装备失效特征:风机主轴轴承、塔筒法兰的疲劳失效模式,风载随机性带来的载荷谱非平稳特性。
(2)海洋新能源结构:波浪载荷下海洋平台钢结构的疲劳累积,流-固耦合效应对裂纹扩展的影响。
(3)工程案例:基于LSTM的风机主轴轴承剩余寿命预测,输入振动、转速、温度等 SCADA 监测数据。
2.物理信息神经网络(PINN)在疲劳断裂中的深入应用
(1)PINN工程化建模要点:针对工程场景的物理损失项设计、边界条件的嵌入方法、模型训练的收敛性优化。
(2)四大典型应用:
①PINN求解弹性力学方程:以二维裂纹问题为例,构建满足平衡方程和边界条件的应力场。
②基于Paris公式的裂纹扩展PINN:将Paris定律作为物理约束,预测裂纹扩展速率。
③热-力耦合疲劳的PINN建模:结合热传导方程与力学方程,预测热机械疲劳寿命。
④混合驱动模型:物理模型(如Murakami模型)与神经网络并行/串行融合,提升泛化能力。
3.桥梁工程裂纹疲劳分析
(1)桥梁疲劳特征:钢筋混凝土 / 钢结构桥梁的裂纹类型,交通载荷谱的统计特征与疲劳累积规律。
(2)深度学习应用:基于 YOLO 的桥梁表面裂纹定位、基于 LSTM 的桥梁裂纹扩展趋势预测。

4.载荷谱分析与多物理场耦合模型
(1)多物理场数据融合:风 – 浪 – 流、热 – 力 – 环境等多场数据的特征对齐、归一化与融合方法。
(2)模型挑战与解决:针对工程场景数据稀缺、噪声大的问题,采用数据增强、迁移学习提升模型性能。
(3)在线更新策略:结合实时监测数据,实现深度学习模型的增量训练与疲劳寿命的动态更新。

5.实践演练:PyTorch实现风电主轴轴承寿命预测
(1)数据集:公开风机 SCADA 数据集或模拟生成的轴承监测数据(含振动、转速、温度、寿命标签)。
(2)任务:
①数据预处理:缺失值填充、异常值剔除、时间序列特征提取(均值、方差、峰值)。
②搭建模型:选择LSTM/MLP/CNN模型,构建输入(监测特征)-输出(剩余寿命)的回归模型。
③训练与评估:采用交叉验证训练模型,以MAE、RMSE评估精度,对比不同输入特征的预测效果。
④模型轻量化:通过剪枝、量化实现模型压缩,为工程落地做准备。

6.实践演练2:简易PINN实现塔筒裂纹应力场预测
(1)数据集:ANSYS Workbench仿真生成的塔筒裂纹二维应力场数据。
(2)任务:
①搭建全连接 PINN 模型,嵌入弹性力学平衡方程作为物理损失项。
②设计总损失函数:数据拟合损失 +λ× 物理残差损失,调试 λ 的最优取值。
③训练模型并对比:有无物理约束下模型对未见过的裂纹工况的应力场预测精度。


Day 4:先进材料与复杂环境下的疲劳分析
【切入式问题:海水腐蚀与交变载荷共同作用下,材料的寿命如何预测?】
(一)腐蚀疲劳分析
教学目标:理解腐蚀与疲劳耦合机理,掌握利用深度学习方法处理电化学-力学数据。
1.腐蚀-疲劳耦合的基本理论
(1)耦合损伤机制:腐蚀对裂纹萌生的加速作用(点蚀坑作为裂纹源)、交变应力对腐蚀速率的促进作用(应力腐蚀开裂)。
(2)腐蚀疲劳的寿命特征:与纯疲劳、纯腐蚀相比,腐蚀 – 疲劳耦合下材料寿命的衰减规律与失效形式。
(3)关键影响因素:腐蚀介质浓度、温度、载荷频率、材料耐蚀性对耦合损伤的影响。
2.电化学-力学耦合分析方法
(1)监测数据类型:电化学信号(极化曲线、电化学噪声、阻抗谱)、力学响应数据(应变、载荷、裂纹长度)。
(2)多模态数据预处理:
①电化学数据:特征提取(腐蚀电流密度、自腐蚀电位)、时间序列对齐、归一化。
②力学数据:应变信号去噪、载荷谱重构、裂纹扩展速率计算。
(3)深度学习融合模型:CNN+LSTM 多模态模型,CNN 提取电化学谱图特征,LSTM 处理时序力学数据,全连接层融合特征预测疲劳寿命。
3.迁移学习在腐蚀疲劳分析中的应用

(1)迁移学习适用场景:不同腐蚀介质(实验室盐水→实际海水)、不同材料牌号、不同载荷条件下的疲劳数据稀缺问题。
(2)具体实现步骤:
①预训练:在实验室丰富数据集上训练腐蚀疲劳预测基准模型。
②微调:用少量实际工程数据对模型最后 1-2 层进行微调,适配新场景。
③特征迁移:采用领域自适应方法,减小实验室与工程场景的特征分布差异。
(3)工程案例:从3.5%NaCl盐水环境迁移至实际海水环境的船舶钢腐蚀疲劳寿命预测。
4.腐蚀疲劳模型的实验验证
(1)验证数据集:文献公开的腐蚀疲劳实验数据(如 Q345 钢、海洋工程用钢 E36)。
(2)模型评估指标:除 MAE/RMSE 外,引入相对误差率、寿命预测置信区间作为工程评估指标。
(3)典型问题解决:氢脆、材料老化对腐蚀疲劳模型的影响,以及对应的模型修正方法。
(二)复合材料疲劳与损伤分析
教学目标:掌握复合材料疲劳损伤机理,能利用 CNN 处理应变分配图像并提取损伤特征,构建物理-数据融合的复合材料疲劳寿命预测模型。
1. 复合材料疲劳损伤机理
(1)多形式损伤演化:基体开裂→界面脱粘→分层→纤维断裂的渐进式损伤过程,以及各损伤形式的相互作用。
(2)宏观性能退化:疲劳载荷下复合材料的刚度退化、强度衰减规律,刚度退化与剩余寿命的关联关系。
(3)典型复合材料:风电叶片玻璃纤维 / 环氧树脂层合板、航空碳纤维复合材料的疲劳特性差异。
2.应变分配图像的CNN特征提取技术
(1)应变图像获取:数字图像相关(DIC)技术采集复合材料疲劳过程中的表面应变分配图。

(2)CNN特征提取流程:
①图像预处理:去噪、裁剪、归一化,标注损伤区域(分层、裂纹)。
②模型选择:采用ResNet/EfficientNet作为特征提取骨干网络,冻结浅层权重,微调深层权重。
③特征可视化:通过Grad-CAM查看模型关注的损伤特征区域,验证模型的物理合理性。
(3)损伤量化:将CNN提取的特征与损伤程度(裂纹密度、分层面积)进行关联,实现损伤的定量评估。
3.复合材料疲劳寿命的预测方法
(1)物理-数据融合建模:将复合材料刚度退化模型(物理模型)作为损失项,嵌入深度学习模型,提升预测的物理一致性。
(2)多输入特征融合:整合应变分配图像特征、载荷谱特征、材料铺层特征,构建多源输入预测模型。
(3)工程案例:风电叶片玻璃纤维层合板的疲劳寿命预测,结合湿热环境因子优化模型。
4.多场耦合分析与疲劳预测
(1)多场影响因素:湿热环境、温度场、交变载荷对复合材料疲劳的耦合作用。
(2)特征工程:将环境因子(湿度、温度)、铺层角度作为模型的额外输入特征,提升模型的工程适配性。
(3)模型泛化:采用交叉验证,验证模型对不同铺层、不同环境条件的复合材料疲劳寿命预测能力。

5.实践演练:Keras构建复合材料疲劳寿命预测模型
(1)数据集:公开的复合材料疲劳数据集(含应变分配图像、载荷谱、刚度退化、寿命标签)。
(2)任务
①用CNN提取应变分配图像的损伤特征,用全连接层处理载荷谱与铺层特征。
②融合多特征搭建预测模型,引入刚度退化物理约束作为损失项。
③训练模型并对比:有无物理约束、有无图像特征时的模型预测性能。

Day5:极端环境与多尺度疲劳分析
【切入式问题:在600℃高温下,材料的疲劳行为与室温有何不同?如何用AI建模?】
(一)高温/极端环境下的金属疲劳
教学目标:理解高温疲劳、蠕变-疲劳交互损伤机理,掌握PINN在热-力-蠕变耦合疲劳建模中的应用,能利用GAN生成微观损伤演化数据。
1.高温疲劳机理与特征
(1)高温对金属变形的影响:动态应变时效、晶界滑移、氧化腐蚀等高温特有现象。
(2)蠕变-疲劳交互损伤机制:
①蠕变对疲劳的影响:应力松弛导致的滞回环收缩、空洞萌生与长大。
②疲劳对蠕变的影响:交变载荷加速晶界裂纹扩展,降低材料蠕变寿命。
(3)滞回环特征:高温蠕变 – 疲劳下滞回环的演化规律,以及滞回环特征参数(面积、峰值应变)与损伤的关联。
2.蠕变金属疲劳的PINN建模
(1)物理方程融合:将蠕变本构方程(Norton 公式)、疲劳损伤模型(Coffin-Manson 公式)与热传导方程融合,构建多物理约束的 PINN 模型。
(2)损失函数设计:总损失=数据拟合损失(滞回环/寿命数据)+蠕变物理损失+疲劳物理损失+热传导物理损失。
(3)模型训练要点:多物理损失项的权重调试、高温材料参数的温度相关性嵌入、模型的收敛性优化。
(4)工程案例:镍基高温合金Inconel 718 的蠕变-疲劳寿命预测,结合高温拉伸、疲劳实验数据验证模型。

3.蠕变金属材料的多尺度损伤分析方法
(1)跨尺度损伤关联:微观(空洞、位错)演化→细观(晶界裂纹)→宏观(结构裂纹)的损伤传递规律。
(2)深度学习加速跨尺度仿真:用神经网络替代微观晶体塑性有限元(CPFEM)计算,提升多尺度建模效率。
(3)GAN生成微观损伤数据:利用条件 GAN,基于少量微观实验图像,生成不同高温/载荷下的微观空洞演化序列。
(二)多尺度建模、不确定性量化与未来展望
教学目标:了解多尺度建模与不确定性量化方法,把握深度学习在疲劳断裂领域的未来发展趋势。
1.多尺度建模与深度学习加速
(1)多尺度框架:宏观(连续介质)←→ 细观(RVE)←→ 微观(晶体塑性)。
(2)深度学习加速策略:
用神经网络替代细观尺度的RVE均质化计算(FE-NN)。
用神经网络替代微观尺度的晶体塑性有限元(CPFEM)。

(3)案例:基于深度学习的材料微观结构-宏观性能关系预测。
2.宏-微观数据传递的GAN架构
利用条件GAN生成不同微观结构下的疲劳响应数据,扩充训练集。
实践演练:使用PyTorch实现简单的GAN生成微观应力分布(1小时)。
3.不确定性量化
(1)不确定性来源:数据噪声、模型误差、参数不确定性。
(2)贝叶斯神经网络:将权重视为分布,通过变分推断估计预测不确定性。
(3)蒙特卡洛Dropout:在测试时开启Dropout,多次前向传播得到预测分布。
(4)深度集成:训练多个模型,用其输出的均值与方差表征不确定性。
(5)应用:如何量化疲劳寿命预测的置信区间
(三)挑战与未来方向
数据稀缺:小样本学习、迁移学习、生成模型(GAN/扩散模型)合成数据。
可解释性:如何让“黑箱”模型提供物理上有意义的解释。
外推能力:模型在未经历载荷谱下的可靠性。
数字孪生:结合实时监测数据与物理模型,实现结构的在线寿命更新。
基础模型:构建类似GPT的“材料疲劳基础模型”,通过海量无标注数据预训练,微调后适应各类下游任务。
(四)综合案例研讨:航空发动机涡轮盘疲劳寿命评估
1.场景描述
某型涡轮盘材料为镍基高温合金,承受复杂的循环热-力载荷,需评估其低循环疲劳寿命。

2.任务
(1)梳理可用数据:材料级疲劳试验数据(S-N、裂纹扩展速率)、微观组织图像、载荷谱、几何模型。
(2)设计技术路线:选择哪些深度学习方法(CNN处理微观图像、LSTM处理载荷谱、PINN融合物理)?如何融合多源数据?
(3)讨论不确定性来源与量化方案。
(4)提出部署方案:边缘计算?云端?
深度学习助力材料疲劳与断裂应用老师



本课程由长期从事材料疲劳与断裂研究的教师团队授课。主讲教师在疲劳寿命评估、裂纹扩展行为、断裂机理分析与结构健康监测等方向具有系统研究积累,形成了“机理建模—数据驱动—工程验证”相结合的研究路径。近年来,团队围绕人工智能赋能材料疲劳与断裂分析开展持续研究,在《International Journal of Fatigue》《Engineering Fracture Mechanics》《Theoretical and Applied Fracture Mechanics》等行业相关期刊上持续发表学术成果,研究内容面向航空航天、能源装备与高端制造等应用场景。课程将基于上述研究基础,采用理论讲授、文献解读与案例实践相结合的方式,帮助学员建立可迁移的学术与工程分析能力。
课程二、深度学习PINN大模型辅助编程+量子计算


前沿背景



1. 物理信息神经网络(PINN)的兴起
近年来,物理信息神经网络(Physics-Informed Neural Networks, PINN)成为计算科学与人工智能交叉领域的前沿方向。传统数值方法(如有限差分法、有限单元法)在高维、强非线性或反演问题中面临计算效率低、网格依赖性强等瓶颈。PINN通过将控制方程、边界条件等物理先验嵌入神经网络,以无网格方式实现微分方程求解,在流体力学、固体力学、传热学等领域展现出突破性潜力。其核心论文(引用超13,000次)开创了物理驱动深度学习的范式,成为Nature、CMAME等顶刊的研究热点。
2. 传统数值方法与机器学习的融合需求
有限差分法(FDM)和有限单元法(FEM)虽成熟但依赖离散化,难以处理复杂几何与多物理场耦合问题。机器学习(如CNN、GNN)虽具备强大的数据拟合能力,但缺乏物理可解释性。PINN通过融合物理定律与数据驱动,显著减少训练数据需求,提升泛化性能,并在参数反演、方程发现等逆问题中展现独特优势。此外,深度能量法(DEM)等变体进一步结合能量变分原理,为固体力学问题提供高效解决方案。
3. 大模型赋能科学计算的新机遇
以DeepSeek、ChatGPT为代表的大模型技术,正在颠覆传统科学编程模式。通过自然语言交互生成PINN代码,可加速复杂瞬态问题的求解流程。本课程结合大模型辅助编程,探索其在微分方程求解、代码调试及多任务优化中的应用,推动“AI for Science”的工程化落地。
4. 下个革命性的技术风口量子计算
量子计算对科学计算领域至关重要。传统超级计算机在模拟复杂分子结构、新材料属性等关键科学问题时已接近算力极限。量子计算凭借量子叠加与纠缠特性,有望实现对薛定谔方程等核心科学模型的高效求解,为催化反应、药物设计等领域带来革命性突破。开展针对性培训,能使科研人员掌握量子算法(如VQE、QAOA)与编程工具,将量子硬件转化为解决实际科学问题的强大工具,抢占前沿科研的制高点。这不仅是技能的提升,更是科研范式的革新。
课程目标



1. 掌握PINN理论与传统数值方法的核心联系
理解固体力学、流体力学、传热学中的典型偏微分方程(如Navier-Stokes方程、弹性本构方程)及其数学分类(椭圆/抛物/双曲型)。
对比有限差分法、有限单元法与PINN的底层原理,揭示物理约束与数据驱动的协同机制。
2. 构建PINN与深度能量法的实践能力
从零实现一维谐振子、渗流、弹塑性力学等案例的PINN求解代码(基于PyTorch/DeepXDE/SciANN)。
掌握能量驱动损失函数设计、自动微分等关键技术,复现中科院一区顶刊(如CMAME)中的创新方法。
3. 探索多领域工业级应用场景
流体力学:层流模拟、涡旋捕捉与Nature子刊级diffusion-reaction模拟。
固体力学:超弹性材料大变形、弹塑性问题与能量法优化。
反问题:材料参数辨识、隐藏物理规律发现。
4. 精通开源工具链与大模型辅助编程
熟练使用DeepXDE、SciANN等PINN专用库,配置复杂边界条件与多物理场耦合。
利用DeepSeek、ChatGPT生成高鲁棒性PINN代码,解决瞬态偏微分方程问题。
5. 培养跨学科研究与创新能力
通过顶刊论文复现(如CMAME、Computers and Geotechnics)与代码对比,深化对物理编码、因果约束、混合变量方案等前沿方向的理解。
为计算力学、工业仿真、AI辅助设计等领域的科研与工程实践提供方法论支持。
本课程旨在打通物理建模、数值计算与深度学习的知识壁垒,培养兼具理论深度与工程能力的复合型人才,推动智能科学计算在工业4.0与数字孪生中的创新应用。
深度学习PINN大模型辅助编程+量子计算大纲



Day 1 什么是微分方程(固体、流体、传热)?什么是有限差分法和有限单元法?和机器学习有什么联系?
1. 学会偏微分方程手动推导
0.0. 一般形式的微分方程推导
0.1 散度算子与平衡项的关系
0.2. 输运方程的对流项
0.3 偏微分方程的三种形式:强形式、弱形式、变分形式
1.1. 固体力学的偏微分方程
1.1.1. 平衡方程
1.1.2. 线弹性本构
1.1.3. 超弹性本构
1.1.4. 塑性本构
1.2. 流体力学的偏微分方程
1.2.1. 无黏、无旋的势流方程
1.2.2. 忽略黏性效应的欧拉方程
1.2.3. 不可压缩纳维-斯托克斯方程
1.3. 传热学的偏微分方程
1.3.1. 稳态热传导
1.3.2. 瞬态热传导
1.4. 一般形式的偏微分方程
1.4.1. 椭圆偏微分方程
1.4.2. 抛物偏微分方程
1.4.3. 双曲偏微分方程
2. 偏微分方程数值解
2.1. 有限差分法原理
2.2. 有限单元法原理
2.3. 实战演练:使用COMSOL求解固体力学和渗流,保存数据
2.4. 实战演练:使用Abaqus求解弹塑性固体力学,保存数据
3. 使用Python写一个机器学习的程序
3.1. 三种运行Python程序的方法
3.2. 常用科学计算库:Numpy和Scipy
3.3. 机器学习的万能python库:scikit-learn
3.4. 如何在Ubuntu系统上运行python程序
Day 2 什么是深度学习?什么是物理数据双驱动神经网络PINN?
4. 数据驱动深度神经网络
4.1 激活函数
4.2 神经元
4.3 自动微分方法
4.4 损失函数的构建与正则化
4.5 最优化方法
4.6. 实践:基于Pytorch建立深度神经网络模型并调优
5. 深度学习进阶
5.1 卷积神经网络CNN(为什么使用CNN?)
5.2 循环神经网络RNN
5.2.1. 长短记忆神经网络LSTM
5.2.2. 门控循环单元网络GRU
5.3. 图神经网络GNN(居然与CNN一模一样?)
5.4. Transformer (Attention is all you need! )
6. PINN=数据+PDE方程,数据需求锐减!泛化性能提升!
从零开始构建一维谐振子物理信息神经网络(Physics-Informed Neural Networks, PINN)为核心目标,系统讲解如何将物理定律与深度学习结合,实现微分方程的高效求解与物理系统建模。课程从一维谐振子的动力学方程出发,剖析PINN的核心思想:通过神经网络隐式编码控制方程、初始/边界条件等物理约束,将微分方程求解转化为损失函数优化的机器学习问题。学习者将逐步掌握谐振子问题的数学建模方法,利用Python和深度学习框架(如PyTorch)搭建神经网络架构,设计融合数据驱动项与物理残差项(如运动方程残差)的复合损失函数,并通过自动微分技术计算高阶导数,实现从随机初始化到物理规律自洽的模型训练。

Day 3 PINN引用一万三论文详解+深度能量法+ PINN的python库Deep XDE讲解
7. 物理信息神经网络:一个用于解决涉及非线性偏微分方程的正问题和逆问题的深度学习框架,一万三千次引用的论文讲解和复现
PINN开山之作:Physics-informed neural networks: A deep learning framework for solving forward and inverse problems involving nonlinear partial differential equations
1.1 传统数值方法的瓶颈(网格生成、高维问题、反问题不适定性)
1.2 深度学习的优势与局限:数据驱动与物理规律缺失
1.3 PINN的诞生:物理原理与数据智能的深度融合
一、 引言:求解PDE的范式转移
1.1 传统数值方法的瓶颈(网格生成、高维问题、反问题不适定性)
1.2 深度学习的优势与局限:数据驱动与物理规律缺失
1.3 PINN的诞生:物理原理与数据智能的深度融合
二、 PINN的核心机理与数学基础
2.1 框架总览:将物理域作为神经网络的输入空间
2.2 损失函数构造:物理残差、初始/边界条件与实测数据的多目标平衡
2.3 关键技术:自动微分为何是高效计算PDE高阶导数的核心
三、 PINN求解正问题:以Burgers方程为例
3.1 问题描述:强非线性与激波现象的挑战
3.2 网络架构设计与训练技巧
3.3 结果分析:与高精度数值解的比较及泛化能力验证
四、 PINN求解反问题:以参数辨识为例
4.1 问题定义:从稀疏观测数据中学习隐藏的PDE系数
4.2 可微学习机制:物理模型与神经网络参数的联合优化
4.3 案例演示:材料属性或未知物理规律的反演
五、 进阶应用与挑战展望
5.1 复杂场景拓展:Navier-Stokes方程与跨尺度问题
5.2 当前挑战:训练难度、收敛性及计算成本分析
5.3 未来方向:优化算法、多保真度融合与物理机理模型

8. 通过机器学习求解计算力学偏微分方程的能量方法:概念、实现和应用
深度能量/深度里兹法物理数据双驱动网络 Deep energy method/Deep Ritz method,DEM,DRM,中科院一区TOP数值计算顶刊CMAME:An energy approach to the solution of partial differential equations in computational mechanics via machine learning: Concepts, implementation and applications
一、 引言:当能量变分原理遇见深度学习
1.1 计算力学的核心:从偏微分方程到能量极小化原理
1.2 传统有限元方法的局限与无网格求解的需求
1.3 新范式:用神经网络参数化力学场,将物理规律作为优化目标
二、 能量法的核心理论:从物理原理到损失函数
2.1 理论基础:最小势能原理与深度学习优化目标的数学同构性
2.2 框架构建:如何将总势能泛函转化为神经网络的训练目标
2.3 优势解析:为何能量法能天然满足物理约束并规避离散困难
三、 实现路径:损失函数设计与自动微分技术
3.1 损失函数设计:应变能主导的物理约束与边界条件的嵌入
3.2 关键引擎:自动微分技术在精确计算能量泛函梯度中的作用
3.3 实现流程:从场参数化到模型训练的全链路解析
四、 典型案例分析:从线弹性到材料非线性
4.1 案例一:弹性力学静动态问题求解
4.2 案例二:超弹性材料大变形分析
4.3 性能对比:与数据驱动模型及传统有限元法的优势对比
五、 方法总结与前沿展望
5.1 方法优势总结:预测精度、计算效率与外推能力
5.2 当前挑战与局限性分析
9. PINN库:DeepXDE讲解
第一章:DeepXDE入门——核心概念与环境搭建
1.1 引言:为何选择DeepXDE?—— 高效PINN开发的关键特性
1.2 环境配置指南:在本地与云端快速配置DeepXDE运行环境
1.3 初识核心API:dde.data、dde.geometry、dde.nn模块概览
1.4 第一个PINN实例:求解一维泊松方程的完整工作流
第二章:几何定义与边界条件设置——构建物理计算域
2.1 几何定义详解:一维区间(Interval)与二维矩形(Rectangle)的创建
2.2 进阶几何:复杂几何(圆形、多边形)与时空域(TimeDomain)的处理
2.3 边界条件编码:DirichletBC、NeumannBC、RobinBC的API用法
2.4 初始条件编码:IC及其在时空问题中的应用
第三章:定义控制方程——PDE残差的灵活表达
3.1 使用Lambda函数快速定义PDE残差(推荐入门)
3.2 自定义偏微分算子:处理复杂或高阶微分方程
3.3 多未知数方程组(PDE系统)的定义方法
3.4 反问题中PDE参数的定义与设置
第四章:神经网络架构配置与优化——平衡效率与精度
4.1 网络架构选择:前馈网络(FNN)与修改版(MFNN)等
4.2 激活函数实战:从tanh到自适应激活函数(如sin)的性能对比
4.3 权重初始化策略:Glorot normal与 He normal的影响
4.4 损失函数配置:平衡PDE残差、边界条件与数据项的权重策略
第五章:综合实战:从一维到高维经典案例
5.1 案例一(一维):Burgers方程激波捕捉
5.2 案例二(二维):稳态/非稳态热传导方程求解
5.3 案例三(反问题):从稀疏数据中反演拉普拉斯方程源项
5.4 案例四(高维):参数化PDE的快速求解

Day 4 PINN在流体力学中的应用 + Nature子刊详解
10. 中科院一区论文与代码复现:渗流
中科院一区顶刊论文复现,A physics-informed data-driven approach for consolidation analysis
第一章:DeepXDE入门——核心概念与环境搭建
1.1 引言:为何选择DeepXDE?—— 高效PINN开发的关键特性
1.2 环境配置指南:在本地与云端快速配置DeepXDE运行环境
1.3 初识核心API:dde.data、dde.geometry、dde.nn模块概览
1.4 第一个PINN实例:求解一维泊松方程的完整工作流
第二章:几何定义与边界条件设置——构建物理计算域
2.1 几何定义详解:一维区间(Interval)与二维矩形(Rectangle)的创建
2.2 进阶几何:复杂几何(圆形、多边形)与时空域(TimeDomain)的处理
2.3 边界条件编码:DirichletBC、NeumannBC、RobinBC的API用法
2.4 初始条件编码:IC及其在时空问题中的应用
第三章:定义控制方程——PDE残差的灵活表达
3.1 使用Lambda函数快速定义PDE残差(推荐入门)
3.2 自定义偏微分算子:处理复杂或高阶微分方程
3.3 多未知数方程组(PDE系统)的定义方法
3.4 反问题中PDE参数的定义与设置
第四章:神经网络架构配置与优化——平衡效率与精度
4.1 网络架构选择:前馈网络(FNN)与修改版(MFNN)等
4.2 激活函数实战:从tanh到自适应激活函数(如sin)的性能对比
4.3 权重初始化策略:Glorot normal与 He normal的影响
4.4 损失函数配置:平衡PDE残差、边界条件与数据项的权重策略
第五章:综合实战:从一维到高维经典案例
5.1 案例一(一维):Burgers方程激波捕捉
5.2 案例二(二维):稳态/非稳态热传导方程求解
5.3 案例三(反问题):从稀疏数据中反演拉普拉斯方程源项

11. 物理信息网络求解不可压缩层流的深度学习问题
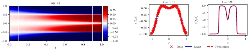
近年来,基于物理的深度学习引起了人们对解决计算物理问题的极大兴趣,其基本概念是嵌入物理定律来约束/通知神经网络,需要更少的数据来训练可靠的模型。这可以通过将物理方程的残差纳入损失函数来实现。通过最小化损失函数,网络可以近似解。本文提出了一种用于流体动力学的物理信息神经网络(PINN)的混合变量方案,并将其应用于模拟低雷诺数下的稳态和瞬态层流。参数研究表明,混合变量方案可以提高PINN的可训练性和求解精度。还将所提出的PINN方法预测的速度场和压力场与参考数值解进行了比较。仿真结果表明,所提出的PINN在高精度流体流动模拟方面具有巨大的潜力。


https://github.com/Raocp/PINN-laminar-flow/blob/master/PINN_steady/SteadyFlowCylinder_mixed.py
12. CMAME顶刊:考虑因果关系的流体力学PINN改进+学习用JAX实现PINN
中科院一区TOP数值计算顶刊CMAME:Respecting causality for training physics-informed neural networks
第一章:引言
1.1 研究背景:计算物理与深度学习融合的趋势
1.2 物理信息神经网络(PINN)基本原理:物理约束与损失函数
1.3 流体动力学模拟中的挑战与PINN的优势
1.4 本文主要工作与创新点:提出一种混合变量PINN方案
第二章:混合变量物理信息神经网络方法
2.1 控制方程:低雷诺数流动的Navier-Stokes方程
2.2 传统PINN方法在流体模拟中的局限性
2.3 混合变量方案的构建与理论框架
2.4 网络架构与损失函数设计
第三章:数值实验与讨论
3.1 实验设置:稳态与瞬态层流算例
3.2 参数研究:混合变量方案对可训练性与精度的影响
3.3 结果对比:速度场/压力场的PINN预测与参考解可视化比较
3.4 误差分析与讨论
第四章:结论与展望
4.1 研究结论总结
4.2 所提方法的优势与潜在应用价值
4.3 当前局限性与未来工作方向

13. 有限差分法转化为神经网络,nature 子刊精讲
Encoding physics to learn reaction–diffusion processes
13.1. 物理编码时空学习
13.2. PDE系统的正演分析
13.3. PDE系统的反演分析
13.4. PeRCNN的结构
13.5. ∏块的普适多项式逼近
13.6. 方程发现与强泛化能力

Day 5 PINN在固体力学中应用 + PINN的库SciANN讲解 + 大模型辅助编程
14. PINN和深度能量法的对比
中科院一区TOP数值计算顶刊Computers and Geotechnics: A Comprehensive Investigation of Physics-Informed Learning in Forward and Inverse Analysis of Elastic and Elastoplastic Footing
15.Footing问题背景与Ritz方法(正问题)
– 问题背景:Footing问题的物理意义与工程应用
– 数学模型:Footing问题的数学描述与控制方程
– Ritz方法:Ritz方法在正演建模中的应用与实现
– PINN框架:论文中PINN实现的核心思路与框架解读


16. Footing问题的逆问题求解
– 损失函数构建:PINN中物理驱动损失函数的设计与实现
– 自适应采样:自适应采样方法的原理与实现细节
– 指数加速:逆问题求解中的指数加速技术
– 代码复现与结果分析:代码实现与结果分析(数据集大小、高斯噪声的影响)


17. JCP顶刊:混合能量法解决固体力学的应力集中问题
计算力学顶刊Journal of Computational Physics:The mixed Deep Energy Method for resolving concentration features in finite strain hyperelasticity
物理知情神经网络(PINN)的引入导致人们对深度神经网络作为固体力学界PDE的通用近似器的兴趣日益浓厚。最近,深能法(DEM)被提出。DEM基于能量最小化原理,与基于PDE残差的PINN相反。DEM的一个显著优点是,与基于强形式残差的公式相比,它需要对低阶导数进行近似。然而,DEM和经典PINN公式都难以解决应力场和位移场的精细特征,例如固体力学应用中的浓度特征。提出了对深能法(DEM)的扩展,以解决有限应变超弹性的这些特征。开发的称为混合深能法(mDEM)的框架引入了应力测量,作为最近引入的纯位移公式的NN的额外输出。使用这种方法,可以更准确地近似Neumann边界条件,并提高通常导致高浓度的空间特征的精度。为了使所提出的方法更加通用,我们引入了一种基于Delaunay积分的数值积分方案,该方案使mDEM框架能够用于具有应力集中的计算域(即具有孔、凹口等的域)通常需要的随机训练点位置集。我们强调了所提出方法的优点,同时展示了经典PINN和DEM公式的缺点。该方法在涉及具有精细几何特征和集中载荷的域的具有挑战性的计算实验的正向计算方面提供了与有限元法(FEM)相当的结果,但还为解决超弹性背景下的逆问题和参数估计提供了独特的能力。

18. PINN库:SciANN讲解与实操
SciANN是一个高级人工神经网络API,使用Keras和TensorFlow后端用Python编写。它的开发重点是实现不同网络架构的快速实验,并强调科学计算、基于物理的深度学习和反演。能够用几行代码开始深度学习是做好研究的关键。

19. DeepSeek、ChatGPT、Grok生成PINN代码解偏微分方程
1 DeepSeek大模型简介
2. DeepSeek大模型生成PINN代码求解椭圆偏微分方程
2.1. Prompt与任务分解
2.2. 代码运行、可视化和Debug
3. ChatGPT大模型生成PINN代码求解抛物偏微分方程
3.1. Prompt与任务分解
3.2. 代码运行、可视化和Debug
4. DeepSeek、Chat GPT、Grok大模型生成PINN代码效果对比
20. 量子计算入门
1 三个基本命题及其拓展
1.1 局部性命题
1.2 概率命题
1.3 邱奇图灵命题
2 双缝干涉实验与几率幅
3 量子比特
4 量子门操作与量子电路
深度学习PINN+大模型辅助编程老师



讲师曾在香港和美国工作和学习,具有计算机和经典数值方法的双重教育背景,在中科院一区Top等计算力学顶刊CMAME以一作发表二十篇SCI论文,包括多篇PINN和传统数值主题的顶刊论文。
课程三、流固耦合与深度学习


前言总结



当前多物理场与流固耦合研究正从“高精度数值模拟”迈向“机理约束的数据智能求解”。在算法层面,物理信息神经网络(PINN)、算子学习(DeepONet/FNO)与多保真代理模型正在加速替代部分高成本迭代过程;在工程层面,流固耦合数字孪生、实时状态评估与不确定性量化逐步成为行业应用重点。相关研究持续发表于《Computer Methods in Applied Mechanics and Engineering》《Journal of Computational Physics》等期刊,显示出“机理+数据”融合方法在复杂边界、强非线性与跨尺度问题中的显著潜力。
课程概述



在航空航天、能源动力、生物医疗等高端制造领域,多物理场/流固耦合仿真已成为产品研发的核心支撑,但传统仿真面临三大瓶颈:底层算法黑箱化导致优化困难、复杂模型收敛调试消耗30%-50%研发时间、单物理场方法难以处理多变量耦合问题。流固耦合作为流体力学与固体力学交叉的力学分支,是多物理场研究的核心方向,其两相介质的相互作用特性决定了仿真建模的复杂性,传统方法在处理大变形、双向耦合等场景时存在效率与收敛性难题。
本课程深度融合多物理场仿真核心理论、流固耦合工程实践与深度学习前沿方法,构建“传统仿真筑基→Python数值实现→AI加速创新”的完整技术链。通过“算法原理-代码复现-工程实战”三位一体的教学模式,系统讲授从有限元底层算法、COMSOL高级建模到物理信息神经网络(PINN)替代求解器的全流程,配套工业级案例与独家SCI复现代码库,助力学员破解仿真效率低、非线性难处理等痛点,具备复现顶刊算法的能力。
课程目标



1.核心原理:掌握多物理场/流固耦合核心理论(精准概念、耦合机制、控制方程、求解方法、数据传递规则)与传统仿真方法(有限元、COMSOL高级建模)。
2.处理流程:精通深度学习核心模型(MLP、PINN、DeepONet、FNO)在仿真中的应用,能独立用Python实现数值求解与AI加速。
3.融合部署:学会流固耦合问题的AI仿真全流程:数据预处理、物理约束编码、模型构建、训练调优与结果验证,能区分并适配单向/双向流固耦合的AI建模策略。
4.批判分析:能复现顶刊相关算法,解决工业级流固耦合痛点(如瞬态响应、大变形耦合、仿真效率优化、非对应网格数据传递)。
5.解决问题:具备独立设计多物理场AI仿真方案的能力,可应用于学术论文发表、工业产品研发等场景。
流固耦合与深度学习大纲

Day 1:流固耦合核心理论与深度学习入门
教学目标:建立流固耦合完整基础理论框架与深度学习基础认知,掌握Python科学计算环境与神经网络核心实现,完成从理论到代码的初步落地。
(一)理论精讲:核心概念与数学基础
1.多物理场/流固耦合核心理论
(1)多物理场耦合机制:热-力-流耦合原理、场间相互作用规律。
(2)流固耦合核心概念:流体力学(CFD)与固体力学(CSM)交叉分支,两相介质相互作用的核心特征(流体载荷致固体变形/运动,固体变形反作用于流场并改变载荷分布),适用场景判定(同时涉及流场+结构场,且二者存在显著相互作用)。
核心描述方法:欧拉描述与拉格朗日描述的适用场景,耦合边界条件的基本要求(位移连续、应力平衡、热通量连续)。

(3)流固耦合求解方法分类:按耦合程度分为强耦合/弱耦合,对应直接解法/分离解法。
两种方法的核心原理、适用场景与工程局限性(直接解法适用于大固体变形/生物隔膜运动,工程应用难;分离解法为商业软件主流,适用于大规模实际问题)
(4)流固耦合经典控制方程框架:流体控制方程(连续性、动量N-S、能量方程)、固体控制方程;流固耦合交界面四大守恒/相等方程(应力、位移、热流量、温度);热-流-固耦合的补充方程(热传导方程)。

2.深度学习与仿真适配性
(1)神经网络核心组件:面向多物理场/流固耦合的场景化设计
MLP结构:多层感知机(MLP)作为全连接神经网络的基础,是深度学习在多物理场/流固耦合中最基础的建模工具,其输入-隐藏层-输出的层级结构可直接映射仿真中的“参数-场量”关系。

激活函数(ReLU/Tanh/Sigmoid):基于场量特性与非线性程度的选型策略。激活函数的核心作用是为网络引入非线性,以拟合多物理场/流固耦合中的非线性关系,其选择需严格匹配场量的连续性、取值范围、非线性耦合强度。核心原则:流固耦合静态、非负场量优先选 ReLU(兼顾效率与精度);大变形、双向场量、瞬态波动优先选 Tanh(适配强非线性);仅在局部概率性子问题中使用 Sigmoid,不用于整体场量建模。
|
激活函数 |
数学特性 |
多物理场/ 流固耦合适配场景 |
避坑点 |
|
ReLU |
非负、单侧饱和、计算高效 |
流场速度/ 压力分布预测、固体应力 / 位移场拟合、热流固耦合的非负场量(热通量、密度)建模 |
不适用于大变形流固耦合的负向场量变化(如固体压缩位移),易出现“梯度消失” |
|
Tanh |
值域[-1,1]、双侧连续、非线性强 |
大变形流固耦合的双向场量变化(如固体的拉伸/ 压缩位移)、瞬态流固耦合的场量波动预测、多场强耦合的非线性映射 |
计算量略高于ReLU,需配合梯度裁剪防止训练震荡 |
|
Sigmoid |
值域[0,1]、两端饱和 |
流固耦合的概率性场景(如网格畸变的风险预测、耦合面数据传递的插值权重计算) |
易出现梯度消失,不适用于深层网络与大规模场量预测 |
损失函数:融合数据拟合与物理约束的双目标设计。损失函数是深度学习模型的“优化标尺”,多物理场/流固耦合的AI建模摒弃纯数据驱动的损失函数设计,采用“数据损失+物理约束损失”的组合形式,既保证模型贴合真实仿真/实验数据,又强制模型满足物理定律与耦合规则。

(2)优化算法对比:SGD、Adam、RMSprop在数值求解中的收敛性差异。
①随机梯度下降(SGD):基础稳定,适配简单线性耦合问题。
核心特点:以样本的随机梯度更新参数,学习率固定,收敛速度慢,但训练过程稳定,不易出现参数震荡;
仿真收敛性表现:在多物理场/流固耦合的线性/弱非线性问题(如小变形单向流固耦合、简单热-结构耦合)中收敛稳定,能逐步逼近最优解;但在强非线性问题(如大变形双向流固耦合、热-流-固多场强耦合)中,因学习率固定,易陷入局部最优,难以最小化物理约束损失(如PDE残差);
适配场景:多物理场/流固耦合的基础线性建模、小样本简单问题,或作为高级算法的基础对比基准。
②Adam:自适应学习率,多物理场/流固耦合的通用首选。
核心特点:结合动量法与RMSprop的优势,自适应调整每个参数的学习率,能快速捕捉梯度变化,收敛速度快,对初始学习率的敏感性低;
仿真收敛性表现:完美适配多物理场/流固耦合的非线性、多约束、高维特点,在PINN/DeepONet等AI仿真模型中,能快速最小化“数据损失+物理约束损失”的组合损失,有效避免局部最优,对静态/瞬态流固耦合、单场/多场耦合均有良好的收敛性;
适配场景:工业级多物理场/流固耦合的主流优化算法,如圆柱绕流、血管流固耦合、汽车散热器热流固耦合等绝大多数场景。
③RMSprop:聚焦梯度平方的指数移动平均,适配瞬态耦合迭代问题。
核心特点:通过指数移动平均抑制梯度的剧烈波动,对时序性、迭代性强的问题收敛性更优,能有效处理梯度快速变化的场景;
仿真收敛性表现:在瞬态流固耦合(如挡板水流振动、油箱晃动的时序场量预测)中,因流场/结构场的场量随时间迭代变化,梯度波动大,RMSprop能有效平滑梯度,保证时序场量预测的连续性与收敛性;但在静态流固耦合中,收敛效率略低于Adam;
适配场景:多物理场/流固耦合的瞬态、时序性强的问题,也可与动量法结合(RMSprop+Momentum),进一步提升大变形瞬态耦合的收敛稳定性。
(3)深度学习与仿真的结合逻辑:数据驱动(少样本 + 物理约束)替代传统数值方法的优势与适用场景。
多物理场/流固耦合仿真面临网格畸变、迭代收敛慢、非线性难处理、耦合面数据传递精度低、逆问题求解困难等传统数值方法的固有瓶颈,深度学习通过无网格建模、物理约束嵌入、非线性拟合、高效迭代等特性,从求解器、仿真效率、建模能力、工程应用四个维度破解上述痛点。
替代传统数值求解器,解决无网格/大变形仿真难题;
加速仿真迭代,提升参数化批量仿真效率;
优化本构关系建模,拟合多物理场的强非线性耦合规律;
优化耦合面数据传递,提升非对应网格的传递精度;
解决仿真逆问题,实现从场量到参数的反向推导;
融合小样本数据与物理约束,解决仿真数据稀缺问题。
3.Python科学计算生态
核心库介绍:NumPy(张量运算)、SciPy(数值积分 / 优化)、Matplotlib(场量可视化)、PyTorch(自动微分)。
仿真数据处理规范:数据格式转换、边界条件编码、场量可视化技巧(云图、流线图、应力分布)。
(二)实践演练:环境搭建与基础实现
1.Python 实现神经网络核心
(1)手动搭建MLP:实现含输入层、隐藏层、输出层的完整网络,封装前向传播与反向传播函数。
(2)激活函数与优化器实践:对比不同激活函数在数值拟合中的表现,验证 Adam 算法对非线性方程的收敛效率。
(3)案例:用MLP拟合简单弹性力学方程(胡克定律),对比解析解与预测结果的误差。

2.COMSOL流固耦合入门
(1)基础建模流程:几何构建(二维圆柱绕流)、物理场设置(流体不可压缩流动 + 固体结构力学)、耦合条件配置。
(2)网格划分与求解器选择:结构化网格 vs 非结构化网格,稳态求解器参数调优。
(3)基础耦合设置:演示 COMSOL 中弱耦合(分离解法)的基础配置入口,理解商业软件的求解方法适配逻辑。
(4)结果提取:导出流场速度分布、固体应力数据,为后续 AI 建模准备数据集。
(三)拓展与思考
1.前沿文献导读:解析 PINN 将物理约束嵌入神经网络的核心思想。
Raissi M, Perdikaris P, Karniadakis G E. Physics-informed neural networks: A deep learning framework for solving forward and inverse problems involving nonlinear partial differential equations [J]. SIAM Review, 2020, 63 (1): 68-98.
2.项目思考
确定方向(如“圆柱绕流 AI 加速仿真”“血管流固耦合预测”),明确传统仿真痛点与 AI 解决思路。

Day 2:流固耦合有限元核心与 Python 数值实现
教学目标:突破商业软件黑箱,掌握流固耦合有限元底层算法,实现OpenFOAM+FEniCS+preCICE 的开源流固耦合仿真,能用Python实现核心模块,理解传统仿真的精度控制与效率瓶颈。
(一)理论精讲:有限元核心与流固耦合建模
1.流固耦合有限元数学内核
(1)弱形式构建:流体连续性/N-S/能量方程与固体弹性方程的弱形式分别推导,流固耦合项的有限元离散处理方法,补充FEniCS固体域控制方程弱形式的推导与测试函数选择规则。
(2)单元构造:流体四边形单元与固体三角形单元的基函数生成,Gauss积分(完全积分vs减缩积分)在数值稳定性中的作用。
(3)非线性求解:牛顿-拉夫逊法在流固耦合中的迭代逻辑,收敛判据设置(残差阈值、位移增量阈值)。
2.流固耦合分离解法的工程实现
(1)分离解法的两种耦合方式:单向流固耦合(流场结果→结构场,无反向传递,适用于固体变形可忽略场景)、双向流固耦合(流场→结构场→流场的双向数据交换,适用于密度比相近/高速高压/大变形场景);两类耦合的工程应用案例区分(热交换器热应力=单向,血管壁-血液流动=双向)。
单向/双向耦合的仿真流程差异:几何建模→网格划分→物理场设置→求解时序设计→结果后处理的核心区别;双向耦合的收敛性控制技巧。
主流商业软件流固耦合实现:①ANSYS流固耦合方案(MechanicalAPDL / CFX / FLUENT组合,MFS / MFX多场求解器);COMSOL与ANSYS的分离解法实现差异与选型依据。②OpenFOAM+FEniCS 开源耦合方案:流体域 OpenFOAM(pimpleFoam 求解器)、固体域 FEniCS(Python 接口)的软硬件适配与选型。

(2)开源流固耦合核心案例:固定襟翼槽道流动
问题背景:二维槽道流动+底部中心弹性薄板的双向流固耦合特性,计算参数与边界条件(速度入口/自由出流/固定无滑移/耦合界面运动无滑移/襟翼底部位移固定);
流体/固体域控制方程适配:OpenFOAM流体域控制方程(含网格运动速度的相对速度对流项)、FEniCS固体域三大方程(力平衡/几何/本构)。
(3)隐式迭代强耦合求解策略:补充单耦合时间步内的流-固隐式迭代求解步骤,明确工业级强耦合的工程局限性(大规模强非线性系统求解效率低)。


3.流固耦合面的数据传递核心规则
(1)数据传递的基本要求:流固耦合面的网格匹配性(完美对应网格 / 非对应网格);非对应网格的插值运算必要性。
(2)ANSYS MFS 求解器插值方式:profile preserving(主动问询式,接收端节点映射到发射端单元插值)、globally conservative(被动式,发射端节点映射到接收端单元切分数据);MFS 与 MFX 的选型依据。
(3)数据传递的精度控制:插值方法对仿真结果的影响,工程中插值方式的选择技巧。
开源耦合的核心耦合变量:①位移:固体节点位移传递至流体域更新 ALE 网格位置,得到流体网格速度;②表面力:流体域压力 + 粘性应力积分得到面力,传递至固体域作为纽曼边界条件。
开源耦合适配器与耦合器使用:①openfoam-adapter:流体域面力的计算与输出;②fenicsprecice:固体域接收流体面力并插值为节点集中力;③preCICE 耦合器:实现流 – 固域的变量插值映射与数据传递。数据传递的精度控制:插值方法对仿真结果的影响,工程 / 开源中插值方式的选择技巧。
4.COMSOL/OpenFOAM/FEniCS 高级建模技巧
(1)COMSOL:动网格技术(弹性平滑、重生成),多物理场耦合设置,阻尼系数自适应调优,误差分析(网格收敛性、L²/H¹ 误差)。
动网格技术:流固耦合中的网格更新策略(弹性平滑、重生成),适用于大变形耦合场景。
多物理场耦合设置:分离式耦合 vs 全耦合的选择依据,阻尼系数自适应调优技巧(加速收敛 200%)。
误差分析:网格收敛性验证、L²/H¹ 误差计算与可视化,确保仿真结果可靠性。
(2)OpenFOAM 流体域求解逻辑:基于 pimpleFoam 求解器的时间推进实现逻辑,含网格运动速度的 N-S 方程求解要点。
(3)FEniCS 固体域求解逻辑:基于 Python 接口的弹性动力学方程求解,GeneralizedMethod(广义方法)的时间推进步骤,测试函数的选择与弱形式实现。
5.Python 数值计算核心
(1)有限元核心模块:节点编号、单元刚度矩阵组装、载荷向量构建、边界条件处理( Dirichlet/Neumann 边界)。
(2)稀疏矩阵运算:利用 SciPy 稀疏矩阵优化大型线性方程组求解效率,适配多物理场大规模计算。
(3)FEniCS Python 接口核心:固体域控制方程的代码化实现、弱形式的编写、广义时间推进方法的 Python 落地。
(二)实践演练:Python 手写有限元与 COMSOL 进阶
1.Python 实现有限元核心模块
(1)基础模块开发:编写 Gauss 积分函数、基函数计算函数、刚度矩阵组装函数。
(2)求解器实现:用 Python 求解二维弹性力学问题(悬臂梁弯曲),对比解析解与数值解。
(3)流固耦合简化实现:构基于分离解法构建二维单向流固耦合模型,建二维固定边界流固耦合模型,实现流体压力对固体的载荷传递计算。
2.COMSOL 工业案例建模

(1)案例:汽车散热器热流固耦合仿真,涵盖几何参数化建模、材料属性设置(导热系数 / 弹性模量)、对流换热边界条件配置。
(2)高级后处理:提取关键截面的温度分布、应力集中区域,生成仿真报告,分析热流场对结构强度的影响。
(3)效率瓶颈分析:记录传统仿真的计算时间,识别网格密度、求解器参数对效率的影响因素。
3.OpenFOAM+FEniCS+preCICE 实现固定襟翼槽道流动流固耦合
(1)流体域 OpenFOAM 操作:几何建模(二维槽道 + 襟翼)、网格划分、pimpleFoam 求解器配置、边界条件设置、openfoam-adapter 挂载。
(2)固体域 FEniCS 操作:Python 接口编写固体域控制方程 / 弱形式 / 广义时间推进方法,fenicsprecice 适配器配置,接收流体面力的边界条件设置。
(3)preCICE 耦合器配置:定义耦合变量(位移 / 表面力)、插值方法、收敛阈值、耦合时间步。
(4)双向耦合求解:执行流 – 固隐式迭代求解,监控耦合收敛性,记录迭代步数与收敛时间。
(5)结果提取与分析:导出流体域速度 / 压力场、固体域位移 / 应力场,提取襟翼左上角观测点的合位移 / 合力时间演化曲线。


4.数据预处理实战
(1)仿真数据清洗:处理 COMSOL 导出数据中的噪声与异常值,标准化数据格式;验证插值后数据的守恒性,剔除无效插值数据。
(2)特征工程:提取流场速度梯度、固体应变张量等关键特征,为 AI 模型输入做准备。
(3)数据集划分:训练集(70%)、验证集(15%)、测试集(15%)的科学划分,确保模型泛化能力。
(三)前沿拓展与项目深化
1.前沿文献导读:探讨非线性问题的降阶建模与 AI 结合思路。
Hesthaven J S, Ubbiali S. Non-intrusive reduced order modeling of nonlinear problems using neural networks [J]. Journal of Computational Physics, 2021, 435: 110268.(被引 200+)
2.项目深化
完成传统 COMSOL 仿真方案设计,记录仿真效率与精度基准,明确 AI 加速的目标(如计算时间缩短 80%)。
Day 3:物理信息神经网络(PINN)核心与 Python 实现
教学目标:精通 PINN 理论与实现,能用 Python 解决流固耦合正问题,掌握物理约束编码与模型调优技巧,实现传统仿真的 AI 替代。
(一)理论精讲:PINN 核心原理与流固耦合适配
1.PINN理论深度解析
(1)核心思想:物理约束嵌入神经网络的数学逻辑,损失函数构成(数据损失+PDE残差损失)。
(2)边界条件编码:Dirichlet边界(硬约束)与Neumann边界(软约束)的实现方法。
(3)PINN与传统数值方法的对比:优势(无网格、自适应、效率高)、局限性(小样本依赖、复杂边界适配难)。

2.流固耦合PINN建模策略
(1)单场PINN求解:流体N-S方程的PINN实现、固体弹性方程的PINN实现。
(2)流固耦合PINN构建:单向耦合PINN(仅嵌入流场→结构场的物理约束,单方向损失函数)、双向耦合PINN(嵌入流场-结构场双向物理约束,构建双向迭代的损失函数);耦合边界条件的编码技巧,场间数据传递的神经网络设计,适配固定襟翼槽道流动的PINN建模逻辑。
(3)调优核心技巧:学习率调度(余弦退火)、网络深度/宽度选择、PDE残差权重动态平衡。
3.DeepXDE框架实战指南
(1)框架核心功能:自动微分、PDE定义、边界条件配置、模型训练与评估。
(2)流固耦合适配:多物理场 PDE 定义模板,耦合项的代码实现。

4.流固耦合适配:多物理场PDE定义模板,耦合项的代码实现。

(二)实践演练:Python实现PINN流固耦合仿真
1.基础PINN实现:单场方程求解
(1)案例1:用PyTorch实现PINN求解泊松方程,验证物理约束对精度的提升作用。
(2)案例2:用DeepXDE求解二维N-S方程(方腔流),对比COMSOL仿真结果,分析误差来源。

2.流固耦合PINN实战
(1)案例1(单向耦合):基于汽车散热器热流固耦合数据,训练PINN模型,仅嵌入流场温度→结构场热应力的物理约束,预测结构场应力分布。

(2)案例2(双向耦合):基于挡板水流振动数据以及固定襟翼槽道流动开源仿真数据,训练双向耦合PINN模型,嵌入流场-结构场双向物理约束,预测不同时间步的流场速度与固体位移。
(3)训练调优:配置GPU加速训练,动态调整数据损失与PDE残差损失权重,监控训练过程中的误差收敛。
(4)结果验证:可视化流场速度分布、固体应力分布,与COMSOL/ANSYS传统仿真结果对比,计算L²误差。
3.顶刊算法复现
(1)文献复现:实现简化版流固耦合 PINN 模型。
基于 Raissi M 2019 年《Physics-informed neural networks for fluid mechanics》论文。

(2)关键优化:添加梯度裁剪防止训练震荡,采用 Mini-batch 训练提升收敛效率。
(3)项目优化:调整网络结构与训练策略,实现初步的AI加速仿真,对比传统仿真的效率提升幅度。
Day 4:PINN变体与工业级流固耦合AI仿真
教学目标:掌握PINN高级变体(DeepONet、FNO),解决复杂流固耦合问题(瞬态、大变形、多场耦合),实现COMSOL与Python联合仿真。
(一)理论精讲:高级AI模型与复杂耦合建模
1.PINN变体与复杂场景适配
(1)DeepONet:算子学习框架,适用于参数化流固耦合问题(如不同流速、不同结构尺寸的批量仿真)。

(2)傅里叶神经算子(FNO):频域特征提取优势,解决高维流固耦合问题的效率提升机制。
(3)时空PINN:处理瞬态流固耦合的网络结构设计(时空分离、递归PINN)。
2.工业级流固耦合AI建模策略
(1)大变形流固耦合:网格畸变的AI补偿方法,基于PINN的自适应边界调整;双向耦合中AI模型的迭代求解时序优化。

(2)多场耦合(热-流-固):多物理场PDE残差的联合优化,场间权重动态分配。(高速飞行器流-热-固耦合)

(3)数据稀缺场景处理:小样本学习+迁移学习,利用相似问题数据提升模型泛化能力。
(4)非对应网格的AI优化:利用深度学习替代传统插值方法,构建耦合面数据传递的AI模型,提升非对应网格的数据传递精度与效率。
3.COMSOL与Python联合仿真
(1)数据交互:COMSOL仿真数据导出(CSV/Mat格式),Python数据导入与预处理;ANSYSMFS/MFX求解器插值后数据与AI模型的衔接。。
(2)模型嵌入:将训练好的AI模型导出为ONNX格式,嵌入COMSOL实现实时预测。
(3)闭环优化:基于AI预测结果反向调整COMSOL仿真参数,实现仿真-预测-优化闭环。
(二)实践演练:复杂流固耦合AI仿真实战
1.高级AI模型实现
(1)案例1:用PyTorch实现DeepONet,解决参数化圆柱绕流问题(不同来流速度下的流场预测)。
(2)案例2:用FNO实现方腔流瞬态响应预测,对比PINN与FNO的计算效率与精度。
2.工业级案例实战:血管流固耦合仿真(COMSOL/INTESIM)
(1)几何建模:导入血管CAD模型(STEP格式),COMSOL中进行几何修复与网格划分。

(2)传统仿真:设置血液流体属性(粘度、密度)、血管壁固体属性(弹性模量),进行瞬态流固耦合仿真。
(3)AI模型构建:基于COMSOL仿真数据,训练“耦合面数据传递AI模型+时空PINN仿真模型”,训练时空PINN模型,预测不同时间步的血流速度与血管壁应力。

(4)效率对比:记录COMSOL传统仿真时间(约2小时)与AI预测时间(约5分钟),分析效率提升幅度。
3.联合仿真闭环实现
(1)模型导出:将训练好的PINN模型转换为ONNX格式,通过COMSOL的Python接口导入。
(2)实时预测:在COMSOL中修改血管几何参数(如狭窄程度),利用AI模型实时预测仿真结果,验证模型泛化能力。
(三)前沿拓展与项目攻坚
(1)前沿文献导读:解析FNO在高维参数化PDE中的优势。
Li Z, Kovachki N, Azizzadenesheli K, et al. Fourier neural operator for parametric partial differential equations [J]. Science, 2020, 371 (6534): 1260-1265.(被引 2000+)
(2)项目攻坚:针对复杂场景(如瞬态响应、大变形),选择合适的AI模型(PINN/FNO/DeepONet),完成工业级AI仿真方案,解决核心技术痛点。
Day 5:前沿拓展与工程落地
教学目标:掌握模型轻量化与边缘部署技术,了解多物理场AI仿真前沿方向,完成个人项目设计与答辩,形成可落地的技术方案。
(一)理论精讲:模型优化与前沿方向
1.模型轻量化与边缘部署
(1)核心技术:知识蒸馏(教师模型→学生模型)、结构化剪枝(移除冗余神经元)、量化(32位浮点数→8位整数)。
(2)部署工具链:PyTorchMobile/TensorFlowLite模型转换,边缘设备(树莓派/JetsonNano)适配,适配开源仿真平台的边缘部署逻辑。
(3)工业部署考量:实时性要求(推理时间<1秒)、功耗约束、精度损失控制(误差<5%)。
2.多物理场AI仿真前沿方向

(1)自监督学习在仿真中的应用:无标注数据预训练,降低对标注数据的依赖,适配开源仿真数据稀缺的场景。
(2)生成式AI与仿真结合:扩散模型合成仿真数据,解决小样本问题。
(3)数字孪生融合:AI仿真模型与物理实体实时交互,实现动态预测与优化,兼顾商业/开源仿真平台的数字孪生落地。
(4)开源仿真与AI融合的前沿趋势:OpenFOAM/FEniCS与PINN/FNO的深度集成、轻量级AI模型在开源平台的边缘部署。

3.项目设计
(1)技术方案:明确问题背景、传统方法痛点、AI解决方案、实验设计与结果分析。
(2)项目要点:突出技术创新点、工程实用性、效率/精度提升数据。
(二)实践演练:模型轻量化与项目答辩
1.模型轻量化实战
(1)剪枝优化:对Day4训练的PINN模型进行结构化剪枝,移除30%冗余参数,验证精度损失。
(2)量化部署:将剪枝后的模型量化为8位整数,转换为TFLite格式,在树莓派上运行推理,测试实时性。
(3)结果分析:对比原始模型与轻量化模型的推理时间、存储空间、精度,形成优化报告。
2.开源代码库构建
(1)代码整理:将5天课程中的核心代码(有限元模块、PINN/FNO实现、COMSOL联合仿真接口)整理为可复用代码库。
(2)文档编写:添加详细注释与使用说明,包含环境配置、案例运行步骤、参数调整指南。
3.项目点评
(1)项目展示:展示个人项目,包括问题描述、技术方案、仿真结果、效率/精度对比。
(2)点评优化:针对技术方案的合理性、代码实现的规范性、工程落地的可行性进行点评,提出改进建议。
流固耦合与深度学习老师

本课程的主讲教师来自于国内顶尖高校,长期致力于人工智能与流体力学、气动声学的交叉研究,研究方向涵盖流场模态分解、降阶建模方法、声源识别与预测,以及深度学习在复杂湍流与噪声计算中的应用。教师团队在《Journal of Fluid Mechanics》《Physics of Fluids》《AIAA Journal》等国际权威期刊以及AIAA SciTech、ICSV等国际学术会议上发表了多篇论文,并主持和参与过多项与气动声学建模、机器学习和智能优化相关的科研项目。授课教师具有扎实的理论基础和丰富的工程实践经验,能够将人工智能方法与气动噪声分析的实际问题相结合,为学生提供兼具学术前沿性和应用导向的学习体验,帮助学生深入理解如何利用AI技术加速气动声学声源建模与预测,推动航空航天及工程噪声控制的创新发展。
授课时间



深度学习PINN大模型辅助编程+量子计算
2026.5.10—–全天授课(上午9:00-11:30下午13:30-17:00)
2026.5.11—–2025.5.14晚上授课(晚上19:00-22:00)
2026.5.16—–2025.5.17全天授课(上午9:00-11:30下午13:30-17:00)
腾讯会议 线上授课(共五天授课时间 提供全程回放视频)
深度学习助力材料疲劳与断裂应用研究
2026.5.16—–2026.5.17全天授课(上午9:00-11:30下午13:30-17:00)
2026.5.20—–2026.5.21晚上授课(晚上19:00-22:00)
2026.5.23—–2026.5.24全天授课(上午9:00-11:30下午13:30-17:00)
腾讯会议 线上授课(共五天授课时间 提供全程回放视频)
流固耦合与深度学习:
2026.5.1—–2026.5.2全天授课(上午9:00-11:30下午13:30-17:00)
2026.5.7—–2026.5.8晚上授课(晚上19:00-22:00)
2026.5.9—–2026.5.10全天授课(上午9:00-11:30下午13:30-17:00)
腾讯会议 线上授课(共五天授课时间 提供全程回放视频)
课程费用



深度学习助力材料疲劳与断裂应用研究/深度学习PINN大模型辅助编程+量子计算/流固耦合与深度学习
费用:每人每班¥4980元 (含报名费、培训费、资料费)
优惠政策
优惠一: 两门同报9080元
优惠二:三门同报12800元
优惠三:提前报名缴费学员+转发到朋友圈或者到学术交流群可享受每人300元优惠(仅限15名)
年报优惠:16800元(可在一年内参加我单位举办的任何课程,可获得我单位往期举办的所有录像回放与资料)
报名福利:
报名即可赠送往期课程回放专题(任选一门包含全程回放和完整代码案例等资料)
报名费用可开具正规报销发票及提供相关缴费证明、邀请函,可提前开具报销发票、文件用于报销
课程培训福利



课后学习完毕提供全程录像视频回放,针对与培训课程内容 进行长期答疑,微信解疑群永不解散,参加本次课程的学员可免费再参加一次本单位后期组织的相同的 专题培训班(任意一期都可以)
培训答疑与互动
在培训中进行答疑和问题互动,以帮助学员深入理解课程内容和解决实际问题。
学员可以提出疑问,讲师将提供详细解答,特别是针对技术难点和复杂算法。
通过小组讨论和案例分享,学员将有机会交流经验,获得实时反馈,并进行实践操作演示。
展示学员的学习成果,并提供进一步的提升建议和资源支持,为学员在未来的学习和工作中提供帮助和指导。
课程授课方式



授课方式:通过腾讯会议线上直播,从零基础开始讲解,电子PPT和教程+预习视频提前发送给学员,所有培训使用软件都会发送给学员,附赠安装教程和指导安装,培训采取开麦共享屏幕和微信群解疑,学员和老师交流、学员与学员交流,培训完毕后老师针对与培训内容长期解疑,培训群不解散,往期培训学员对于培训质量和授课方式一致评价极高
课程咨询报名联系方式



联系人:黄老师
报名咨询电话|15516685015(同微信)
近期学员好评




夜雨聆风