文档
办公文件
生活文档
学习资料
当前位置:
首页
>
文档
>第3讲分式及其运算_2026版《初高中数学衔接》新教材17讲
第3讲分式及其运算_2026版《初高中数学衔接》新教材17讲
2026-04-17 01:13:33
2026-03-12 16:26:35
文档预览
文档信息
文档格式
pdf
文档大小
0.408 MB
文档页数
6 页
上传时间
2026-03-12 16:26:35
下载文档
文档内容
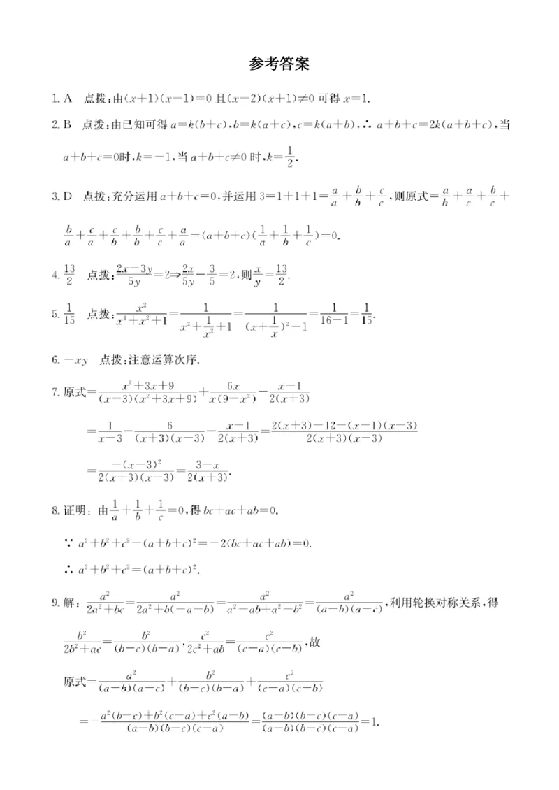
第 3 讲 分式及其运算 【归纳初中知识】 【衔接高中知识】【精讲典型例题】【检测衔接作业】参考答案
本文档来自网络内容,如有侵犯您的权益请联系我们删除,联系邮箱:wyl860211@qq.com。
上一篇
江西黑白卷生物学_初中资料合集_万唯2025万唯中考《黑白卷-地生》多地版本(已更12省)_2025《万唯中考•黑白卷》地生(江西)
下一篇
第4讲根式及其运算_2026版《初高中数学衔接》新教材17讲
最新文档
第十五套选择性必修第二册Units3~5_03高考英语_2025年新高考资料_一轮复习_2025年高考英语人教版一轮复习单元练(含解析,含听力原文及音频)
模型51旋转圆、放缩圆、磁聚焦模型(解析版)_04高考物理_新高考复习资料_2024新高考复习资料_二轮复习资料_2024高考物理二轮复习80模型最新模拟题专项训练_教师版(含答案解析)
第十二套选择性必修第一册Units3~5-学生版_03高考英语_2025年新高考资料_一轮复习_2025年高考英语人教版一轮复习单元练(含解析,含听力原文及音频)
模型4活结和死结模型(解析版)_04高考物理_新高考复习资料_2024新高考复习资料_二轮复习资料_2024高考物理二轮复习80模型最新模拟题专项训练_教师版(含答案解析)
第十七套选择性必修第三册Units1~2-学生版_03高考英语_2025年新高考资料_一轮复习_2025年高考英语人教版一轮复习单元练(含解析,含听力原文及音频)
模型47直流电路的动态变化模型(解析版)_04高考物理_新高考复习资料_2024新高考复习资料_二轮复习资料_2024高考物理二轮复习80模型最新模拟题专项训练_教师版(含答案解析)
模型47直流电路的动态变化模型(原卷版)_04高考物理_新高考复习资料_2024新高考复习资料_二轮复习资料_2024高考物理二轮复习80模型最新模拟题专项训练
模型46含电容电路和电动机电路模型(解析版)_04高考物理_新高考复习资料_2024新高考复习资料_二轮复习资料_2024高考物理二轮复习80模型最新模拟题专项训练_教师版(含答案解析)
第十一章计数原理、概率、随机变量及其分布(综合检测)一轮复习讲义2024年高考数学高频考点题型归纳与方法总结(新高考通用)原卷版_02高考数学_新高考复习资料_一轮复习资料
第十一套选择性必修第一册Units1~2_03高考英语_2025年新高考资料_一轮复习_2025年高考英语人教版一轮复习单元练(含解析,含听力原文及音频)
热门文档
第十一套选择性必修第一册Units1~2-学生版_03高考英语_2025年新高考资料_一轮复习_2025年高考英语人教版一轮复习单元练(含解析,含听力原文及音频)
第十一单元中国特色社会主义新时代—单元测试(含解析)--2024届高考历史统编版必修中外历史纲要上册二轮复习_07高考历史_2025年新高考资料_二轮复习
第六节抛物线教案_02高考数学_新高考复习资料_2022年新高考资料_2022届一轮复习讲练结合_第八章解析几何_第六节抛物线
模型44带电粒子在交变电场中运动模型(解析版)_04高考物理_新高考复习资料_2024新高考复习资料_二轮复习资料_2024高考物理二轮复习80模型最新模拟题专项训练_教师版(含答案解析)
模型43电偏转模型(解析版)_04高考物理_新高考复习资料_2024新高考复习资料_二轮复习资料_2024高考物理二轮复习80模型最新模拟题专项训练_教师版(含答案解析)
模型43电偏转模型(原卷版)_04高考物理_新高考复习资料_2024新高考复习资料_二轮复习资料_2024高考物理二轮复习80模型最新模拟题专项训练
模型42电容器模型(解析版)_04高考物理_新高考复习资料_2024新高考复习资料_二轮复习资料_2024高考物理二轮复习80模型最新模拟题专项训练_教师版(含答案解析)
第六章:数列(模块综合调研卷)(A4版-教师版)_02高考数学_2025年新高考资料_一轮复习_备战2025年高考数学一轮复习考点帮_备战2025年高考数学一轮复习考点帮(新高考通用)(完结)
第六章:数列(模块综合调研卷)(A4版-学生版)_02高考数学_2025年新高考资料_一轮复习_备战2025年高考数学一轮复习考点帮_备战2025年高考数学一轮复习考点帮(新高考通用)(完结)
第六章:数列(模块综合调研卷)(A3版-学生版)_02高考数学_2025年新高考资料_一轮复习_备战2025年高考数学一轮复习考点帮_备战2025年高考数学一轮复习考点帮(新高考通用)(完结)
随机文档
第六章数列(测试)(解析版)_02高考数学_新高考复习资料_2024年新高考资料_一轮复习资料_完2024年高考数学一轮复习讲练测(课件+讲义+练习)(新高考)_第六章数列
第六章数列(测试)(解析版)_02高考数学_2025年新高考资料_一轮复习_2025年高考数学一轮复习讲练测(新教材新高考,含2024高考真题)_第六章数列
第六章数列(测试)(原卷版)_02高考数学_新高考复习资料_2024年新高考资料_一轮复习资料_完2024年高考数学一轮复习讲练测(课件+讲义+练习)(新高考)_第六章数列
第六章数列(测试)(原卷版)_02高考数学_2025年新高考资料_一轮复习_2025年高考数学一轮复习讲练测(新教材新高考,含2024高考真题)_第六章数列
第六章平面向量、复数(综合检测)一轮复习讲义2024年高考数学高频考点题型归纳与方法总结(新高考通用)解析版_02高考数学_新高考复习资料_2024年新高考资料_一轮复习资料
第六章平面向量、复数(综合检测)一轮复习讲义2024年高考数学高频考点题型归纳与方法总结(新高考通用)参考答案_02高考数学_新高考复习资料_2024年新高考资料_一轮复习资料
第六章平面向量、复数(综合检测)一轮复习讲义2024年高考数学高频考点题型归纳与方法总结(新高考通用)原卷版_02高考数学_新高考复习资料_2024年新高考资料_一轮复习资料
第六章 培优点9 新情景、新定义下的数列问题_02高考数学_2025年新高考资料_一轮复习_2025高考大一轮复习讲义+课件(完结)_2025高考大一轮复习数学(北师大版)_学生用书Word版文档
第六章 培优点9 新情景、新定义下的数列问题_02高考数学_2025年新高考资料_一轮复习_2025高考大一轮复习讲义+课件(完结)_2025高考大一轮复习数学(人教A版)_第五章~第六章
第六章 §6.6 数列中的综合问题_02高考数学_2025年新高考资料_一轮复习_2025高考大一轮复习讲义+课件(完结)_2025高考大一轮复习数学(苏教版)_学生用书Word版文档_一轮复习83练