当前位置:首页>文档>专题19解析几何中的定值、定点和定线问题(练)解析版_2.2025数学总复习_2023年新高考资料_二轮复习_备战2023年高考数学二轮复习考点精讲练(新教材·新高考)

专题19解析几何中的定值、定点和定线问题(练)解析版_2.2025数学总复习_2023年新高考资料_二轮复习_备战2023年高考数学二轮复习考点精讲练(新教材·新高考)

  • 2026-04-04 16:37:28 2026-03-16 15:44:04

文档预览

专题19解析几何中的定值、定点和定线问题(练)解析版_2.2025数学总复习_2023年新高考资料_二轮复习_备战2023年高考数学二轮复习考点精讲练(新教材·新高考)
专题19解析几何中的定值、定点和定线问题(练)解析版_2.2025数学总复习_2023年新高考资料_二轮复习_备战2023年高考数学二轮复习考点精讲练(新教材·新高考)
专题19解析几何中的定值、定点和定线问题(练)解析版_2.2025数学总复习_2023年新高考资料_二轮复习_备战2023年高考数学二轮复习考点精讲练(新教材·新高考)
专题19解析几何中的定值、定点和定线问题(练)解析版_2.2025数学总复习_2023年新高考资料_二轮复习_备战2023年高考数学二轮复习考点精讲练(新教材·新高考)
专题19解析几何中的定值、定点和定线问题(练)解析版_2.2025数学总复习_2023年新高考资料_二轮复习_备战2023年高考数学二轮复习考点精讲练(新教材·新高考)
专题19解析几何中的定值、定点和定线问题(练)解析版_2.2025数学总复习_2023年新高考资料_二轮复习_备战2023年高考数学二轮复习考点精讲练(新教材·新高考)
专题19解析几何中的定值、定点和定线问题(练)解析版_2.2025数学总复习_2023年新高考资料_二轮复习_备战2023年高考数学二轮复习考点精讲练(新教材·新高考)
专题19解析几何中的定值、定点和定线问题(练)解析版_2.2025数学总复习_2023年新高考资料_二轮复习_备战2023年高考数学二轮复习考点精讲练(新教材·新高考)
专题19解析几何中的定值、定点和定线问题(练)解析版_2.2025数学总复习_2023年新高考资料_二轮复习_备战2023年高考数学二轮复习考点精讲练(新教材·新高考)
专题19解析几何中的定值、定点和定线问题(练)解析版_2.2025数学总复习_2023年新高考资料_二轮复习_备战2023年高考数学二轮复习考点精讲练(新教材·新高考)
专题19解析几何中的定值、定点和定线问题(练)解析版_2.2025数学总复习_2023年新高考资料_二轮复习_备战2023年高考数学二轮复习考点精讲练(新教材·新高考)
专题19解析几何中的定值、定点和定线问题(练)解析版_2.2025数学总复习_2023年新高考资料_二轮复习_备战2023年高考数学二轮复习考点精讲练(新教材·新高考)
专题19解析几何中的定值、定点和定线问题(练)解析版_2.2025数学总复习_2023年新高考资料_二轮复习_备战2023年高考数学二轮复习考点精讲练(新教材·新高考)
专题19解析几何中的定值、定点和定线问题(练)解析版_2.2025数学总复习_2023年新高考资料_二轮复习_备战2023年高考数学二轮复习考点精讲练(新教材·新高考)
专题19解析几何中的定值、定点和定线问题(练)解析版_2.2025数学总复习_2023年新高考资料_二轮复习_备战2023年高考数学二轮复习考点精讲练(新教材·新高考)
专题19解析几何中的定值、定点和定线问题(练)解析版_2.2025数学总复习_2023年新高考资料_二轮复习_备战2023年高考数学二轮复习考点精讲练(新教材·新高考)
专题19解析几何中的定值、定点和定线问题(练)解析版_2.2025数学总复习_2023年新高考资料_二轮复习_备战2023年高考数学二轮复习考点精讲练(新教材·新高考)
专题19解析几何中的定值、定点和定线问题(练)解析版_2.2025数学总复习_2023年新高考资料_二轮复习_备战2023年高考数学二轮复习考点精讲练(新教材·新高考)
专题19解析几何中的定值、定点和定线问题(练)解析版_2.2025数学总复习_2023年新高考资料_二轮复习_备战2023年高考数学二轮复习考点精讲练(新教材·新高考)
专题19解析几何中的定值、定点和定线问题(练)解析版_2.2025数学总复习_2023年新高考资料_二轮复习_备战2023年高考数学二轮复习考点精讲练(新教材·新高考)
专题19解析几何中的定值、定点和定线问题(练)解析版_2.2025数学总复习_2023年新高考资料_二轮复习_备战2023年高考数学二轮复习考点精讲练(新教材·新高考)
专题19解析几何中的定值、定点和定线问题(练)解析版_2.2025数学总复习_2023年新高考资料_二轮复习_备战2023年高考数学二轮复习考点精讲练(新教材·新高考)
专题19解析几何中的定值、定点和定线问题(练)解析版_2.2025数学总复习_2023年新高考资料_二轮复习_备战2023年高考数学二轮复习考点精讲练(新教材·新高考)
专题19解析几何中的定值、定点和定线问题(练)解析版_2.2025数学总复习_2023年新高考资料_二轮复习_备战2023年高考数学二轮复习考点精讲练(新教材·新高考)
专题19解析几何中的定值、定点和定线问题(练)解析版_2.2025数学总复习_2023年新高考资料_二轮复习_备战2023年高考数学二轮复习考点精讲练(新教材·新高考)
专题19解析几何中的定值、定点和定线问题(练)解析版_2.2025数学总复习_2023年新高考资料_二轮复习_备战2023年高考数学二轮复习考点精讲练(新教材·新高考)
专题19解析几何中的定值、定点和定线问题(练)解析版_2.2025数学总复习_2023年新高考资料_二轮复习_备战2023年高考数学二轮复习考点精讲练(新教材·新高考)
专题19解析几何中的定值、定点和定线问题(练)解析版_2.2025数学总复习_2023年新高考资料_二轮复习_备战2023年高考数学二轮复习考点精讲练(新教材·新高考)
专题19解析几何中的定值、定点和定线问题(练)解析版_2.2025数学总复习_2023年新高考资料_二轮复习_备战2023年高考数学二轮复习考点精讲练(新教材·新高考)
专题19解析几何中的定值、定点和定线问题(练)解析版_2.2025数学总复习_2023年新高考资料_二轮复习_备战2023年高考数学二轮复习考点精讲练(新教材·新高考)
专题19解析几何中的定值、定点和定线问题(练)解析版_2.2025数学总复习_2023年新高考资料_二轮复习_备战2023年高考数学二轮复习考点精讲练(新教材·新高考)
专题19解析几何中的定值、定点和定线问题(练)解析版_2.2025数学总复习_2023年新高考资料_二轮复习_备战2023年高考数学二轮复习考点精讲练(新教材·新高考)
专题19解析几何中的定值、定点和定线问题(练)解析版_2.2025数学总复习_2023年新高考资料_二轮复习_备战2023年高考数学二轮复习考点精讲练(新教材·新高考)
专题19解析几何中的定值、定点和定线问题(练)解析版_2.2025数学总复习_2023年新高考资料_二轮复习_备战2023年高考数学二轮复习考点精讲练(新教材·新高考)
专题19解析几何中的定值、定点和定线问题(练)解析版_2.2025数学总复习_2023年新高考资料_二轮复习_备战2023年高考数学二轮复习考点精讲练(新教材·新高考)
专题19解析几何中的定值、定点和定线问题(练)解析版_2.2025数学总复习_2023年新高考资料_二轮复习_备战2023年高考数学二轮复习考点精讲练(新教材·新高考)
专题19解析几何中的定值、定点和定线问题(练)解析版_2.2025数学总复习_2023年新高考资料_二轮复习_备战2023年高考数学二轮复习考点精讲练(新教材·新高考)
专题19解析几何中的定值、定点和定线问题(练)解析版_2.2025数学总复习_2023年新高考资料_二轮复习_备战2023年高考数学二轮复习考点精讲练(新教材·新高考)
专题19解析几何中的定值、定点和定线问题(练)解析版_2.2025数学总复习_2023年新高考资料_二轮复习_备战2023年高考数学二轮复习考点精讲练(新教材·新高考)
专题19解析几何中的定值、定点和定线问题(练)解析版_2.2025数学总复习_2023年新高考资料_二轮复习_备战2023年高考数学二轮复习考点精讲练(新教材·新高考)
专题19解析几何中的定值、定点和定线问题(练)解析版_2.2025数学总复习_2023年新高考资料_二轮复习_备战2023年高考数学二轮复习考点精讲练(新教材·新高考)
专题19解析几何中的定值、定点和定线问题(练)解析版_2.2025数学总复习_2023年新高考资料_二轮复习_备战2023年高考数学二轮复习考点精讲练(新教材·新高考)
专题19解析几何中的定值、定点和定线问题(练)解析版_2.2025数学总复习_2023年新高考资料_二轮复习_备战2023年高考数学二轮复习考点精讲练(新教材·新高考)

文档信息

文档格式
docx
文档大小
2.049 MB
文档页数
43 页
上传时间
2026-03-16 15:44:04

文档内容

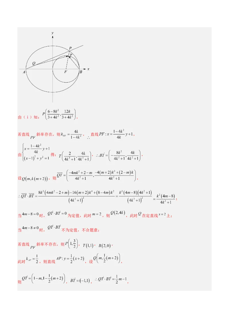
第一篇 热点、难点突破篇 专题19解析几何中的定值、定点和定线问题(练) 【对点演练】 一、单选题 1.(2022·吉林·东北师大附中校考模拟预测)过点 且与双曲线 有且只有一个公共点的直线有 ( )条. A.0 B.2 C.3 D.4 【答案】D 【分析】过点 且分别与渐近线平行的两条直线与双曲线有且仅有一个交点; 过点 且与双曲线相切的直线与双曲线有且仅有一个公共点. 【详解】由双曲线 得其渐近线方程为 . ①过点 且分别与渐近线平行的两条直线 与双曲线有且仅有一个交点; ②设过点 且与双曲线相切的直线为 ,联立 , 化为 得到 ,解得 . 则切线 分别与双曲线有且仅有一个公共点. 综上可知:过点 且与双曲线 仅有一个公共点的直线共有4条. 故选: . 2.(2023秋·山东潍坊·高三统考期末)已知 为坐标原点, 是抛物线 上的动点,且 , 过点 作 ,垂足为 ,下列各点中到点 的距离为定值的是( ) A. B. C. D. 【答案】B【分析】根据题意可设直线 的方程 ,联立抛物线方程再利用 ,可得 ,法一:可知H 在圆上运动进行判断,法二再由 得出 的方程为 ,解得 ,代入选项逐一 验证是否为定值即可得出答案. 【详解】法一:设直线 方程为 , 联立直线和抛物线方程整理得 , 所以 又 ,即 ,所以 可得 ,即 ; 则直线 过定点D(4,0)因为 ,则点H在为直径的圆上(其中圆心坐标为OD中点 (2,0)),故(2,0)到H的距离为定值 故选:B 法二:设直线 方程为 , 联立直线和抛物线方程整理得 , 所以 又 ,即 ,所以 可得 ,即 ; 又因为 ,所以 的方程为 ,解得 对于A, 到点 的距离为 不是定值; 对于B, 到点 的距离为 为定值;对于C, 到点 的距离为 不是定值; 对于D, 到点 的距离为 不是定值. 故选:B 【点睛】方法点睛:定值问题通常思路为设出直线方程,与圆锥曲线方程联立,得到两根之和,两根之积,应 用设而不求的思想,进行求解;注意考虑直线方程的斜率存在和不存在的情况. 二、多选题 3.(2023·全国·高三专题练习)椭圆 的上下顶点分别 ,焦点为 , 为椭圆上 异于 的一动点,离心率为 ,则( ) A. 的周长为 B.离心率 越接近 ,则椭圆 越扁平 C.直线 的斜率之积为定值 D.存在点 使得 ,则 【答案】ABD 【分析】根据椭圆定义可知焦点三角形周长为 ,结合离心率转化即可知A正确;根据椭圆离心率与椭 圆形状的关系可知B正确;设 ,结合两点连线斜率公式化简可得斜率之积,知C错误;将问题转化 为当 为短轴端点时, ,利用余弦定理可构造齐次不等式求得 的范围,知D正确. 【详解】对于A,由椭圆定义知: ,又 , , 的周长为 ,A正确;对于B, , 当 越接近 时, 的值越小,则椭圆越扁平,B正确; 对于C,设 ,则 ,又 , , ,C错误; 对于D,由椭圆性质知:当 为短轴端点时, 最大, 若存在点 使得 ,则当 为短轴端点时, , 此时 ,即 , , 又 , ,D正确. 故选;ABD. 4.(2023·全国·模拟预测)已知抛物线 , 为 轴正半轴上一点,则( ) A.存在点 ,使得过点 任意作弦 ,总有 为定值 B.不存在点 ,使得过点 任意作弦 ,有 为定值 C.存在点 ,使得过点 任意作弦 ,总有 为定值 D.不存在点 ,使得过点 任意作弦 ,有 为定值 【答案】AD 【分析】设 , , ,联立直线与抛物线方程得,由两点间的距离公式可得 ,当 时,则有 ,从而可判断A正确,B错误;进而可得 , 可得此式不为定值,即可得故C错误,D正确. 【详解】解:设 , , , 由 ,可得 , 则有 , 所以 , , 所以 + , 所以当且仅当 时, , 即存在点 ,使得 为定值 ,故A正确,B错误; 由题意可得 ,, 所以 , 如果 为定值, 则必有 ,而此方程组无解, 所以 不为定值,故C错误,D正确. 故选:AD. 三、解答题 5.(2022秋·江西萍乡·高三统考期末)已知椭圆E的中心在原点,周长为8的 的顶点, 为椭 圆E的左焦点,顶点B,C在E上,且边BC过E的右焦点. (1)求椭圆E的标准方程; (2)椭圆E的上、下顶点分别为M,N,点 若直线PM,PN与椭圆E的另一个交点分别为点 S,T,证明:直线ST过定点,并求该定点坐标. 【答案】(1) (2)证明见解析, 【分析】(1)根据椭圆定义直接求解即可; (2)求出 的坐标,写出直线 方程即可求出定点坐标.【详解】(1)由题意知,椭圆E的焦点在x轴上, 所以设椭圆方程为 ,焦距为 , 所以 周长为 ,即 , 因为左焦点 ,所以 , , 所以 , 所以椭圆E的标准方程为 (2)由题意知, ,直线 斜率均存在, 所以直线 ,与椭圆方程联立得 , 对 恒成立, 则 ,即 ,则 , 同理 , , 所以 , 所以直线 方程为: , 所以直线 过定点,定点坐标为 6.(2022秋·四川成都·高三成都实外校考阶段练习)已知椭圆 : ,若点 , , , 中恰有三点在椭圆 上. (1)求 的方程;(2)点 是 的左焦点,过点 且与 轴不重合的直线 与 交于不同的两点 , ,求证: 内切 圆的圆心在定直线上. 【答案】(1) ; (2)证明见解析. 【分析】(1)根据对称性 , 定在椭圆上,然后分别讨论 , 在椭圆上的情况,从而可求出椭圆方程, (2)设 , , : ,将问题转化为证明 的角平分线为定直线,只要证 ,将直线方程代入椭圆方程消去 ,利用根与系数的关系,代入上式化简即可得结论. 【详解】(1)根据对称性 , 定在椭圆上, 若 也在椭圆上,则 ,方程组无解, 所以 为椭圆上第三个点, 所以 ,解得 , 所以椭圆 的方程为: ; (2)由(1)得 : , ,设 , , : . 要证明 内切圆的圆心在定直线上,由对称性和内心的定义,即证明 的角平分线为定直线, 即证 ,即 ,即证 , 只要证 ,由 ,得 , ,得 , 所以 所以 成立, 即 得证, 即 内切圆的圆心在定直线 上. 7.(2022秋·山东青岛·高三统考期末)已知 为坐标原点,动直线 与双曲线 的渐近线交于A,B两点,与椭圆 交于E,F两点.当 时, . (1)求双曲线 的方程; (2)若动直线 与 相切,证明: 的面积为定值. 【答案】(1) (2) 的面积为定值 ,证明见解析 【分析】(1)设 ,由题意有 ,直线 与双曲线的渐 近线联立方程组,求得 ,直线 与椭圆联立方程组,利用韦达定理求得 ,根据方程解出 ,得双 曲线 的方程. (2)根据(1)中解得的 两点坐标,表示出 的面积,由直线 与 相切,联立方程组消元后判别式为0,化简后得定值. 【详解】(1)设 因为 ,所以 由 , 得 ; 同理可得 ,所以 , 由 ,得 ,所以 所以 即 ,由 ,解得 , 所以双曲线 的方程为 . (2)双曲线的渐近线方程为 , 由 得 , , , 所 , , , 由 , 得 ,因为直线 与双曲线 相切,所以 ,即 , 所以 为定值. 【点睛】思路点睛:1.双曲线 的渐近线方程为 ,而双曲线 的渐近线方程为 (即 ),应注意其区别与联系. 2.解答直线与椭圆的题目时,时常把两个曲线的方程联立,消去x(或y)建立一元二次方程,然后借助根与系数 的关系,并结合题设条件建立有关参变量的等量关系.强化有关直线与椭圆联立得出一元二次方程后的运算能 力,重视根与系数之间的关系、弦长、斜率、三角形的面积等问题. 8.(2023秋·浙江丽水·高三浙江省丽水中学校联考期末)已知 为双曲线 左右顶 点,焦点到渐近线的距离为 ,直线 上一点 与点 连线与双曲线右支交于另一点 ,点 与点 连线 与双曲线右支交于另一点D. (1)求双曲线的标准方程; (2)直线 是否经过定点?若是,求出该定点. 【答案】(1) ; (2)经过定点,定点坐标为 . 【分析】(1)由题意即可得到答案 (2)设出 ,直线 ,联立直线与双曲线方程得到关于 的韦达定理,由 三点共线得 , 三点共线,得 ,化简得到 ,即可得到答案.【详解】(1)依题可知 ,双曲线的渐近线方程为 , 所以焦点到渐近线的距离为 ,即双曲线方程为 . (2)设 ,直线 , 由 得 ,所以 又 三点共线,则 ①, 三点共线,则 ②, 联立①②得 ,化简得 , 即 (*) 将 , ,代入(*)式化简得 . 所以 ,即直线 是否经过定点 .9.(2023秋·天津滨海新·高三大港一中校考阶段练习)已知椭圆 的左、右顶点分别为 ,右焦点为 ,且 ,以 为圆心, 为半径的圆 经过点 . (1)求 的方程; (2)过点 且斜率为 的直线 交椭圆 于 , (ⅰ)设点 在第一象限,且直线 与 交于 .若 ,求 的值; (ⅱ)连接 交圆 于点 ,射线 上存在一点 ,且 为定值,已知点 在定直线上,求 所在定 直线方程. 【答案】(1) (2)(ⅰ) 或 ;(ⅱ) 【分析】(1)由 , 可求得 ,结合椭圆 关系可得 ,由此可得椭圆方程; (2)(ⅰ)设 ,与直线 联立可得 坐标;与椭圆方程联立,结合韦达定理可求得 点坐标;利用正弦定理化简已知等式可得 ,即 ,利用向量坐标运算可构造方程求得 的值; (ⅱ)设 ,由 点坐标可求得 斜率,进而得到 方程,与圆的方程联立可得 点坐标; 设 ,利用向量数量积坐标运算表示出 ,可知若 为定值,则 , 知 ;当直线 斜率不存在时,验证可知 满足题意,由此可得定直线方程. 【详解】(1) 以 为圆心, 为半径的圆 经过点 , ,即 , , , , , 椭圆 的方程为: . (2)(ⅰ)由(1)得: ,可设 , , 由 得: ,即 ; 由 得: , , , , , ;在 中,由正弦定理得: , , , 则由 得: , , ,即 , , , ,解得: 或 . (ⅱ)由题意知:圆 方程为: ; , ; 不妨令 位于第一象限,可设 ,由(ⅰ)知: , 若直线 斜率存在,则 , 直线 , 由 得: , , 设 ,则 , ; 当 时, 为定值,此时 ,则 ,此时 在定直线 上; 当 时, 不为定值,不合题意; 若直线 斜率不存在,则 , , , 此时 ,则直线 ,设 , 则 , , ,则 时, ,满足题意; 综上所述:点 在定直线 上. 10.(2023·全国·高三专题练习)已知抛物线 的焦点为F,准线为l,记准线l与x轴的交点 为A,过A作直线交抛物线C于 , 两点. (1)若 ,求 的值; (2)若M是线段AN的中点,求直线 的方程; (3)若P,Q是准线l上关于x轴对称的两点,问直线PM与QN的交点是否在一条定直线上?请说明理由. 【答案】(1) (2) (3)在定直线上,理由见解析 【分析】(1)根据焦半径公式即可求出; (2)设直线MN的方程 ,与抛物线联立即可利用M是线段AN的中点求出m,从而求出直线 的 方程; (3)设 ,即可求出直线PM与QN的方程,联立即可解出交点,从而可以判断交点在 定直线上. 【详解】(1)根据题意,得 因为抛物线 ,所以准线为 ,所以 ; (2)由题意可知,直线 的斜率不为0,故设直线 的方程 , 联立 ,消去 ,可得 , 所以 ,即 , , , 而M是线段AN的中点,所以 ,故 , 解得 ,故 ,解得 , 所以直线MN的方程为 ,即 ; (3)直线MN的方程 ,设 , 则 , , 联立消去 可得: ,即 ,整理得: , 将 , 代入得 ,故 ,, 所以直线PM与QN的交点在定直线 上. 【冲刺提升】 1.(2022秋·安徽合肥·高三统考期末)在平面直角坐标系xOy中, , ,直线AP,BP 相交于 点 P,且它们的斜率之积是1,记点P的轨迹为C.(1)求证:曲线C是双曲线的一部分: (2)设直线l与C相切,与其渐近线分别相交于 M、N两点,求证: 的面积为定值 【答案】(1)证明见解析 (2)证明见解析 【分析】(1)设P的坐标 , ,根据斜率乘积为1列出方程,求出轨迹方程,判断出曲线C是双曲 线的一部分; (2)设切点坐标为 ,得到直线l的方程,与双曲线方程联立,由根的判别式等于0得到 ,结合 得到 ,解得 ,求出直线l的方程为: ,与两渐近线联立求出 两点坐标,求出 ,结合以△OMN为直角三角形求出面积 为定值4. 【详解】(1)设点P的坐标为 ,由已知得 , 则直线AP,BP的斜率分别为: 由已知 ,化简得 . 故曲线C的方程为: , 所以曲线C是除去顶点的双曲线,是双曲线的一部分; (2)设直线l与C相切的切点坐标为 ,斜率为k,则 , 则直线l的方程为: ,与 联立整理得: ①, 双曲线 渐近线为 ,故 , 且方程①有两个相等的实数根,故 , 化简得: ②, 又 ,即 ③, 由②③得, ,即 ,所以 , 故直线l的方程为: . 双曲线C的两条渐近线方程为 ,所以△OMN为直角三角形. 不妨设 与 交点为M,解得 , 同理,设 与 交点为N,解得 , 可求得: , 所以△OMN的面积 , 故△OMN的面积为定值. 【点睛】定值问题常见方法:(1)从特殊入手,求出定值,再证明这个值与变量无关; (2)直接推理计算,并在计算推理的过程中消去变量,从而得到定值. 2.(2023·全国·校联考模拟预测)已知椭圆 的中心为坐标原点,对称轴为 轴、 轴,且过 、 两点. (1)求 的方程; (2)若 ,过 的直线 与 交于 、 两点,求证: .【答案】(1) (2)证明见解析 【分析】(1)设椭圆 的方程为 ,将点 、 的坐标代入椭圆 的方程,可得出关于 、 的方 程组,解出这两个未知数的值,即可得出椭圆 的方程; (2)分两种情况讨论:①直线 与 轴重合,直接验证结论成立;②直线 不与 轴重合,设直线 的方程为 ,设点 、 ,将直线 的方程与椭圆 的方程联立,列出韦达定理,计算得出 ,可得出 轴平分 ,利用角平分线的性质可证得结论成立.综合可得出结论. 【详解】(1)解:设椭圆 的方程为 , 将点 、 的坐标代入椭圆 的方程可得 ,解得 , 因此,椭圆 的方程为 . (2)证明:若直线 与 轴重合,则 、 为椭圆 长轴的端点, 不妨设点 ,则点 ,则 , , 成立; 若直线 不与 轴重合,设直线 的方程为 ,设点 、 , 联立 可得 , , 由韦达定理可得 , ,, 所以, 轴平分 ,所以, . 综上所述, . 3.(2023春·湖南长沙·高三雅礼中学校考阶段练习)如图,椭圆 和圆 , 已知圆 将椭圆 的长轴三等分,椭圆 右焦点到右顶点的距离为 ,椭圆 的下顶点为E,过坐标原 点O且与坐标轴不重合的任意直线l与圆 相交于点A,B. (1)求椭圆 的方程; (2)若直线 分别与椭圆 相交于另一个交点为点P,M.求证:直线 经过定点. 【答案】(1) (2)证明见解析 【分析】(1)根据题意列式求解 ,即可得答案; (2)设直线 的方程,与椭圆方程联立求 的坐标,进而可求直线 的方程,即可得结果. 【详解】(1)由题意可得: ,则 ,∵ ,解得 , ∴椭圆 的方程为 . (2)由题意知直线 的斜率存在且不为0,设直线 的斜率为k,则直线 , 联立方程 ,解得 或 , ∴ , ∵ 为圆 的直径,点E在圆 上,则 ,即 , ∴ ,则直线 , 故用 去替代k得 , ∵ , ∴直线 ,即 , ∴直线 经过定点 . 【点睛】方法点睛:利用韦达定理法解决直线与圆锥曲线相交问题的基本步骤如下: (1)设直线方程,设交点坐标为 ; (2)联立直线与圆锥曲线的方程,得到关于 (或 )的一元二次方程,必要时计算 ; (3)列出韦达定理;(4)将所求问题或题中的关系转化为 、 (或 、 )的形式; (5)代入韦达定理求解. 4.(2022秋·福建福州·高三校考期末)已知椭圆C: 过点 .右焦点为F,纵坐标 为 的点M在C上,且AF⊥MF. (1)求C的方程; (2)设过A与x轴垂直的直线为l,纵坐标不为0的点P为C上一动点,过F作直线PA的垂线交l于点Q,证明: 直线PQ过定点. 【答案】(1) (2)过定点 ;证明过程见详解 【分析】(1)由题可得 ,结合条件可知 ,将点 的坐标代入椭圆 的方程,即可得解; (2)设点 ,求出点 的坐标,写出直线 的方程,结合条件变形即得. 【详解】(1)设点 ,其中 ,则 , 因为椭圆 过点 ,则 , 将点 的坐标代入椭圆 的方程得 , 所以 ,解得 , 因此椭圆 的标准方程为 ; (2)设点 , 则 ,所以直线 的垂线的斜率为 ,由题可知 ,故直线 的方程为 , 在直线 的方程中,令 ,可得 ,即点 , 所以直线 的方程为 , 即 , 因为 ,所以 , 所以 , 所以 , 所以直线 过定点 . 【点睛】求解直线过定点问题常用方法如下: (1)“特殊探路,一般证明”:即先通过特殊情况确定定点,再转化为有方向、有目的的一般性证明; (2)“一般推理,特殊求解”即设出定点坐标,根据题设条件选择参数,建立一个直线系或曲线的方程,再 根据参数的任意性得到一个关于定点坐标的方程组,以这个方程组的解为坐标的点即为所求点; (3)求证直线过定点 ,常利用直线的点斜式方程 或截距式 来证明.5.(2023·全国·高三专题练习)已知椭圆C: 的右焦点为F,上顶点为 ,下顶点为 , 为等腰直角三角形,且直线 与圆 相切. (1)求椭圆C的方程; (2)过 的直线l交椭圆C于D,E两点(异于点 , ),直线 , 相交于点Q.证明:点Q在一 条平行于x轴的直线上. 【答案】(1) (2)证明见解析 【分析】(1)由题意可知 ,因为直线 与圆 相切,则原点O到直线 的距离为1,根据点 到直线的距离公式解得 ,椭圆中满足 ,即可求出椭圆方程; (2)设 , ,直线l方程为 ,与椭圆方程联立得 ,由 韦达定理可得 , ,设直线 和 的交点为 ,联立两直线方程求交点, 再根据韦达定理,即可得到 ,得证点Q在一条平行于x轴的直线 上. 【详解】(1)解:由题可知, , , , 为等腰直角三角形, ,又直线 与圆 相切,所以原点O到直线 的距离为1, 直线 的方程为 ,即 ,所以 , 解得 , 又 ,所以椭圆C的标准方程为 . (2) 由过 的直线l不过 , ,可设其直线方程为 , 把 代入 ,得 , ,即 , 设 , ,则 , , 直线 的方程为 , 直线 的方程为 设直线 和 的交点为 ,则 , 把 及 代入上式,得 ,整理得 , 故点Q在一条平行于x轴的直线 上,得证. 6.(2023·全国·高三专题练习)已知椭圆 : 的离心率为 , 是 上一点. (1)求 的方程. (2)设 , 分别为椭圆 的左、右顶点,过点 作斜率不为0的直线 , 与 交于 , 两点,直线 与直线 交于点 ,记 的斜率为 , 的斜率为 .证明:① 为定值;②点 在定直线上. 【答案】(1) ; (2)①证明见解析;②证明见解析. 【分析】(1)由条件列出关于 的方程,解方程可得 ,由此可得椭圆 的方程; (2)①联立方程组,利用设而不求法结合两点斜率公式求 即可证明; ②求出直线 与直线 方程,联立求点 的坐标,由此证明点 在定直线上. 【详解】(1)由题意,椭圆的离心率为 , 是椭圆 上一点, 所以 ,解得 , 所以椭圆的方程为 ; (2)①因为过点 且斜率不为0,所以可设 的方程为 ,代入椭圆方程 得,方程 的判别式 ,设 , , 则 , . 两式相除得 , . 因为 分别为椭圆 的左、右顶点,所以点 的坐标为 ,点 的坐标为 ,所以 , . 从而 ; ②由①知 ,设 ,则 ,所以直线 的方程为: ,直线 的方程为 ,联立 可得 ,所以直线 与直线 的交点 的坐标为 ,所以点 在定直线 上. 【点睛】过x轴上定点 斜率不为0的动直线方程可设为 ;过y轴上定点(0,y0)斜率存在的动直 线方程可设为 . 7.(2023·全国·高三专题练习)在平面直角坐标系 中,已知点 、 ,点 满足 ,记 的轨迹为 . (1)求 的方程;(2)设点 在直线 上,过 的两条直线分别交 于 两点和 , 两点,且 ,求直 线 的斜率与直线 的斜率之和,并求出该定值. 【答案】(1) (2)证明见解析,定值为0. 【分析】(1)利用双曲线的定义可知轨迹 是以点 、 为左、右焦点双曲线的右支,求出 、 的值,从 而求得轨迹 的方程; (2)设出点的坐标和直线方程,联立直线方程与曲线C的方程,结合韦达定理化简计算可得 的值. 【详解】(1)因为 、 ,所以 , 所以轨迹 是以点 、 为左、右焦点的双曲线的右支, 设轨迹 的方程为 ,则 ,得 , , 所以轨迹 的方程为 . (2)如图所示,设 , 设直线 的方程为 , . 联立 ,化简得 ,则 , 故 , 则 , 设 的方程为 ,同理: , 因为 ,所以 , 化简得 , 所以 ,即 ,即 , 因为 ,所以 ,故该定值为0. 8.(2022·全国·高三专题练习)已知双曲线 的中心为原点 ,左、右焦点分别为 、 ,离心率为 ,且过点 ,又 点是直线 上任意一点,点 在双曲线 上,且满足 . (1)求双曲线的方程; (2)证明:直线 与直线 的斜率之积是定值; (3)若点 的纵坐标为 ,过点 作动直线 与双曲线右支交于不同的两点 、 ,在线段 上取异于点 、 的点 ,满足 ,证明点 恒在一条定直线上.【答案】(1) 1 (2)证明见解析 (3)证明见解析 【分析】(1)由离心率公式和点满足双曲线的方程,结合双曲线的 , , 的关系,即可求得 , ,进而 得到双曲线的方程; (2)设出 , ,代入双曲线的方程,再由 ,再由直线的斜率公式,得到直线 与 直线 的斜率之积,化简整理,运用代入,即可得到定值 ; (3)设点 ,且过点 的直线 与双曲线 的右支交于不同两点 , ,设 ,代入可得求出坐标之间的关系,化简可得点 恒在定直线 上. (1) 双曲线 , , 由于离心率为 ,即 , 代入双曲线的方程可得 , 解得 , , , 即有双曲线的方程为 ; (2) 由于点 是直线 上任意一点, 可设 , 再由 为双曲线 上一点,可设 ,则 ,即 . 由 , 则 , 即有 ,即有 , 则 , 则直线 与直线 的斜率之积是定值 ; (3) 设点 , 且过点 的直线 与双曲线 的右支交于不同两点 , , 则 , 即 , , 设 , 则 . 即由 , 得 , 将 , ,代入 , 得 , 将 代入 ,得 , 所以点 恒在定直线 上. 9.(2023秋·重庆·高三统考学业考试)已知抛物线 的焦点为F,过点F的直线l交抛物线C 于M,N两点,交y轴于P点,点N位于点M和点P之间. (1)若 ,求直线l的斜率; (2)若 ,证明: 为定值. 【答案】(1) (2)证明见解析 【分析】(1)设出直线l为 ,联立抛物线方程,设 ,得到两根之和,两根之积, 由 得到 ,从而求出 ,分两种情况,求出直线斜率; (2)设直线l为 ,得到 ,联立抛物线方程,设 ,得到两根之和,两 根之积,表达出 , ,求出 . 【详解】(1)设 ,因为过点 的直线l交抛物线C于M,N两点,所以直线斜率存在,且不为0, 设直线l为 , 联立 与 得: , 则 , , 因为 ,所以 , 故 ,解得: , 当 时, ,此时 ,解得: , 直线l的斜率为 ,满足点N位于点M和点P之间, 当 时, ,此时 ,解得: , 直线l的斜率为 ,满足点N位于点M和点P之间, 综上:直线l的斜率为 ; (2)设 , 因为过点 的直线l交抛物线C于M,N两点,所以直线斜率不为0, 设直线l为 ,令 得: ,故 , 联立 与 得: , 则 , ,因为 , 所以 , , 解得: , , 所以 , 故 为定值-1. 【点睛】方法点睛:定值问题常见方法:(1)从特殊入手,求出定值,再证明这个值与变量无关; (2)直接推理计算,并在计算推理的过程中消去变量,从而得到定值. 10.(2023秋·江苏南通·高三统考期末)已知抛物线 经过点 . (1)求抛物线 的方程; (2)动直线 与抛物线 交于不同的两点 , , 是抛物线上异于 , 的一点,记 , 的斜率分别为 , , 为非零的常数. 从下面①②③中选取两个作为条件,证明另外一个成立: ① 点坐标为 ;② ;③直线 经过点 . 【答案】(1) (2)证明见解析 【分析】(1)将 代入抛物线 即可求解; (2)选择①②,证③:设直线 ,与抛物线进行联立可得 , ,利用两点的 斜率公式即可求证;选择①③,证②和选择②③,证①,设设直线 的方程为 ,与抛物线进行联立可得 , ,利用两点的斜率公式即可求证; 【详解】(1)因为抛物线 经过点 , 所以 ,所以 ,所以抛物线 的方程为 ; (2)设 , , 方案一:选择①②,证③ 因为 , , 所以 ,所以 , 由已知可知 与 轴不平行,设直线 , 联立 消去 可得 , ,所以 , , 所以 ,所以直线 的方程为 ,所以 经过 ; 方案二:选择①③,证② 设直线 的方程为 ,联立 消去 可得 , 所以 , , , 因为 , , 所以 ; 方案三:选择②③,证①设直线 的方程为 ,联立 消去 可得 , 所以 , , , 设 ,则 , , 所以 , 所以 ,整理可得 , 因式分解可得 对任意的 恒成立, 所以 ,所以 点坐标为 . 【点睛】方法点睛:利用韦达定理法解决直线与圆锥曲线相交问题的基本步骤如下: (1)设直线方程,设交点坐标为 ; (2)联立直线与圆锥曲线的方程,得到关于 (或 )的一元二次方程,必要时计算 ; (3)列出韦达定理; (4)将所求问题或题中的关系转化为 、 (或 、 )的形式; (5)代入韦达定理求解. 11.(2023秋·山东菏泽·高三统考期末)已知点 和直线 : ,直线 过直线 上的动点M且与 直线 垂直,线段 的垂直平分线l与直线 相交于点P. (1)求点P轨迹C的方程; (2)过点F的直线l与C交于 两点.若C上恰好存在三个点 ,使得 的面积等于 ,求 l的方程. 【答案】(1)(2) 或 . 【分析】(1)根据抛物线的定义可判断东点轨迹为抛物线,即而求得抛物线方程; (2)设l的方程为 ,作与l平行且与C相切的直线 ,切点为D,表示出切点D的坐标,联立方程, 求出弦长 ,利用三角形 的面积可求得k的值,说明符合题意,C上恰好存在三个点 , 使得 的面积等于 ,即得答案. 【详解】(1)连接PF,因为MF的垂直平分线l交 于点P,所以 , 即点P到定点 的距离等于点P到直线 : 的距离, 由抛物线的定义,点P的轨迹为抛物线 , 即点P轨迹C的方程为 . (2)如图,作与l平行且与C相切的直线 ,切点为D, 由题知 的面积等于 .由题意知直线l的斜率一定存在,设l的方程为 , 方程 可化为 ,则 , 设 ,令 ,解得 , 将 代入 ,得 ,故 , 所以D到l的距离 , 由 ,消去y,得 , , 从而 , , 所以 , 故 的面积 ,从而 , 解得 或 , 此时 或 为使得 的面积等于 的一个点, 那么在直线l的上方必然也存在着一条直线和l平行,和l的距离为 , 这条直线与抛物线有两个交点也使得 的面积等于 , 即此时C上恰好存在三个点 ,使得 的面积等于 , 所以l的方程为 或 . 【点睛】关键点点睛:要满足C上恰好存在三个点 ,使得 的面积等于 ,关键在于找到使得 面积等于 时,和直线l平行且和抛物线相切的那条直线,即表示出切点坐标,从而表示出三角 形的高,进而利用面积求得答案. 12.(2023·全国·高三专题练习)设抛物线 : ,以 为圆心,5为半径的圆被抛物线 的准线截得的弦长为8. (1)求抛物线 的方程; (2)过点 的两条直线分别与曲线 交于点A,B和C,D,且满足 , ,求证:线段 的 中点在直线 上. 【答案】(1) (2)证明见解析 【分析】(1)设 到 的距离为 ,由题意可得: ,可解得 ,即可求出抛物线 的方程. (2)设 , ,由 ,表示出 点的坐标,代入抛物线的方程结合题意可得 ,同理可得: ,又因为 , 是关于 的方程 的两根,则 , 即可证明. (1) : 的准线 : 设 到 的距离为 , 由已知得 ,∴ ,∴ ,∴ ∴ 的方程为 (2) 设 ,∵ ,∴ ∴ ,∴ 代入 得 ∴ ∴ ∵点N在抛物线内部,∴ , ,∴ 同理 ∴ , 是关于 的方程 的两根, ∴ ,∴ ∴ 的中点在直线 上.