当前位置:首页>文档>专练43_05高考化学_通用版(老高考)复习资料_2023年复习资料_专项复习_2023《微专题·小练习》·化学·L-6

专练43_05高考化学_通用版(老高考)复习资料_2023年复习资料_专项复习_2023《微专题·小练习》·化学·L-6

  • 2026-04-02 21:12:26 2026-03-27 02:53:32

文档预览

专练43_05高考化学_通用版(老高考)复习资料_2023年复习资料_专项复习_2023《微专题·小练习》·化学·L-6
专练43_05高考化学_通用版(老高考)复习资料_2023年复习资料_专项复习_2023《微专题·小练习》·化学·L-6
专练43_05高考化学_通用版(老高考)复习资料_2023年复习资料_专项复习_2023《微专题·小练习》·化学·L-6
专练43_05高考化学_通用版(老高考)复习资料_2023年复习资料_专项复习_2023《微专题·小练习》·化学·L-6
专练43_05高考化学_通用版(老高考)复习资料_2023年复习资料_专项复习_2023《微专题·小练习》·化学·L-6
专练43_05高考化学_通用版(老高考)复习资料_2023年复习资料_专项复习_2023《微专题·小练习》·化学·L-6
专练43_05高考化学_通用版(老高考)复习资料_2023年复习资料_专项复习_2023《微专题·小练习》·化学·L-6
专练43_05高考化学_通用版(老高考)复习资料_2023年复习资料_专项复习_2023《微专题·小练习》·化学·L-6

文档信息

文档格式
docx
文档大小
0.190 MB
文档页数
4 页
上传时间
2026-03-27 02:53:32

文档内容

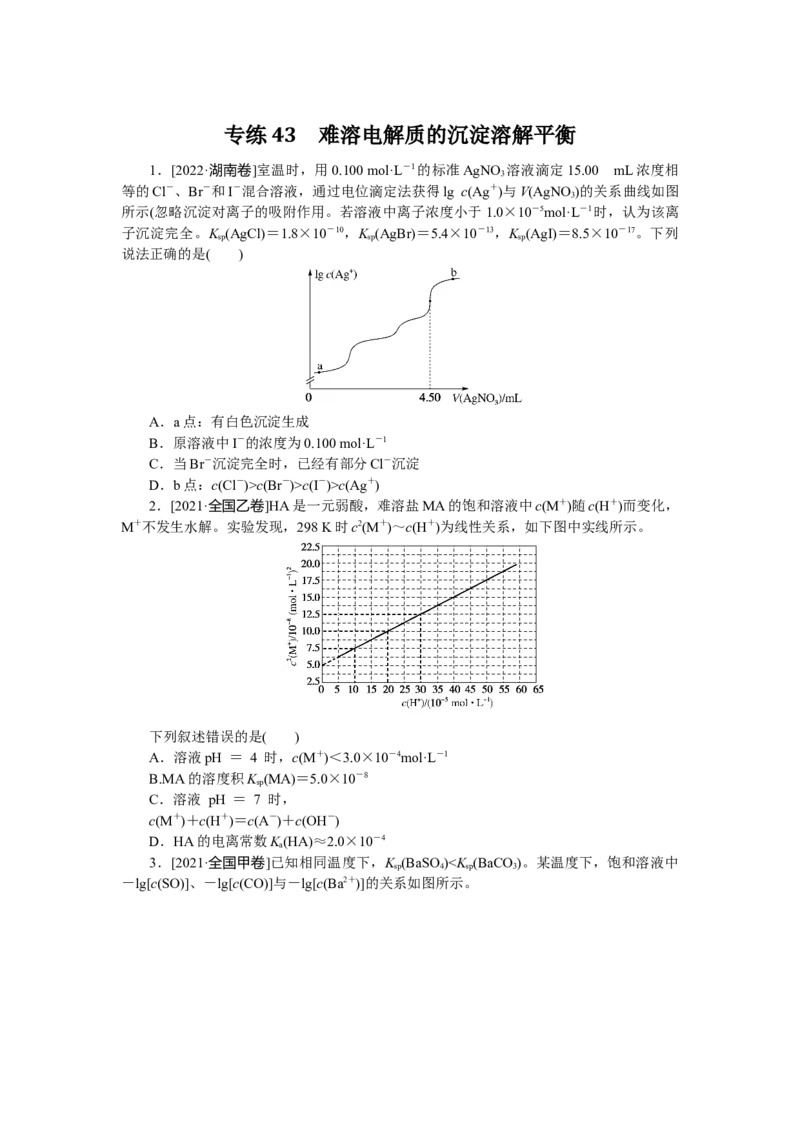
专练 43 难溶电解质的沉淀溶解平衡 1.[2022·湖南卷]室温时,用0.100 mol·L-1的标准AgNO 溶液滴定15.00 mL浓度相 3 等的Cl-、Br-和I-混合溶液,通过电位滴定法获得lg c(Ag+)与V(AgNO)的关系曲线如图 3 所示(忽略沉淀对离子的吸附作用。若溶液中离子浓度小于 1.0×10-5mol·L-1时,认为该离 子沉淀完全。K (AgCl)=1.8×10-10,K (AgBr)=5.4×10-13,K (AgI)=8.5×10-17。下列 sp sp sp 说法正确的是( ) A.a点:有白色沉淀生成 B.原溶液中I-的浓度为0.100 mol·L-1 C.当Br-沉淀完全时,已经有部分Cl-沉淀 D.b点:c(Cl-)>c(Br-)>c(I-)>c(Ag+) 2.[2021·全国乙卷]HA是一元弱酸,难溶盐MA的饱和溶液中c(M+)随c(H+)而变化, M+不发生水解。实验发现,298 K时c2(M+)~c(H+)为线性关系,如下图中实线所示。 下列叙述错误的是( ) A.溶液pH = 4 时,c(M+)<3.0×10-4mol·L-1 B.MA的溶度积K (MA)=5.0×10-8 sp C.溶液 pH = 7 时, c(M+)+c(H+)=c(A-)+c(OH-) D.HA的电离常数K(HA)≈2.0×10-4 a 3.[2021·全国甲卷]已知相同温度下,K (BaSO)