当前位置:首页>文档>电解质溶液中微粒关系(原卷版)_05高考化学_新高考复习资料_2024年新高考资料_一轮复习资料_2024届高三化学一轮复习—专项训练

电解质溶液中微粒关系(原卷版)_05高考化学_新高考复习资料_2024年新高考资料_一轮复习资料_2024届高三化学一轮复习—专项训练

  • 2026-04-02 14:35:37 2026-03-28 22:16:02

文档预览

电解质溶液中微粒关系(原卷版)_05高考化学_新高考复习资料_2024年新高考资料_一轮复习资料_2024届高三化学一轮复习—专项训练
电解质溶液中微粒关系(原卷版)_05高考化学_新高考复习资料_2024年新高考资料_一轮复习资料_2024届高三化学一轮复习—专项训练
电解质溶液中微粒关系(原卷版)_05高考化学_新高考复习资料_2024年新高考资料_一轮复习资料_2024届高三化学一轮复习—专项训练
电解质溶液中微粒关系(原卷版)_05高考化学_新高考复习资料_2024年新高考资料_一轮复习资料_2024届高三化学一轮复习—专项训练
电解质溶液中微粒关系(原卷版)_05高考化学_新高考复习资料_2024年新高考资料_一轮复习资料_2024届高三化学一轮复习—专项训练
电解质溶液中微粒关系(原卷版)_05高考化学_新高考复习资料_2024年新高考资料_一轮复习资料_2024届高三化学一轮复习—专项训练
电解质溶液中微粒关系(原卷版)_05高考化学_新高考复习资料_2024年新高考资料_一轮复习资料_2024届高三化学一轮复习—专项训练
电解质溶液中微粒关系(原卷版)_05高考化学_新高考复习资料_2024年新高考资料_一轮复习资料_2024届高三化学一轮复习—专项训练
电解质溶液中微粒关系(原卷版)_05高考化学_新高考复习资料_2024年新高考资料_一轮复习资料_2024届高三化学一轮复习—专项训练
电解质溶液中微粒关系(原卷版)_05高考化学_新高考复习资料_2024年新高考资料_一轮复习资料_2024届高三化学一轮复习—专项训练
电解质溶液中微粒关系(原卷版)_05高考化学_新高考复习资料_2024年新高考资料_一轮复习资料_2024届高三化学一轮复习—专项训练
电解质溶液中微粒关系(原卷版)_05高考化学_新高考复习资料_2024年新高考资料_一轮复习资料_2024届高三化学一轮复习—专项训练
电解质溶液中微粒关系(原卷版)_05高考化学_新高考复习资料_2024年新高考资料_一轮复习资料_2024届高三化学一轮复习—专项训练
电解质溶液中微粒关系(原卷版)_05高考化学_新高考复习资料_2024年新高考资料_一轮复习资料_2024届高三化学一轮复习—专项训练
电解质溶液中微粒关系(原卷版)_05高考化学_新高考复习资料_2024年新高考资料_一轮复习资料_2024届高三化学一轮复习—专项训练
电解质溶液中微粒关系(原卷版)_05高考化学_新高考复习资料_2024年新高考资料_一轮复习资料_2024届高三化学一轮复习—专项训练
电解质溶液中微粒关系(原卷版)_05高考化学_新高考复习资料_2024年新高考资料_一轮复习资料_2024届高三化学一轮复习—专项训练
电解质溶液中微粒关系(原卷版)_05高考化学_新高考复习资料_2024年新高考资料_一轮复习资料_2024届高三化学一轮复习—专项训练
电解质溶液中微粒关系(原卷版)_05高考化学_新高考复习资料_2024年新高考资料_一轮复习资料_2024届高三化学一轮复习—专项训练
电解质溶液中微粒关系(原卷版)_05高考化学_新高考复习资料_2024年新高考资料_一轮复习资料_2024届高三化学一轮复习—专项训练
电解质溶液中微粒关系(原卷版)_05高考化学_新高考复习资料_2024年新高考资料_一轮复习资料_2024届高三化学一轮复习—专项训练
电解质溶液中微粒关系(原卷版)_05高考化学_新高考复习资料_2024年新高考资料_一轮复习资料_2024届高三化学一轮复习—专项训练
电解质溶液中微粒关系(原卷版)_05高考化学_新高考复习资料_2024年新高考资料_一轮复习资料_2024届高三化学一轮复习—专项训练

文档信息

文档格式
docx
文档大小
2.981 MB
文档页数
19 页
上传时间
2026-03-28 22:16:02

文档内容

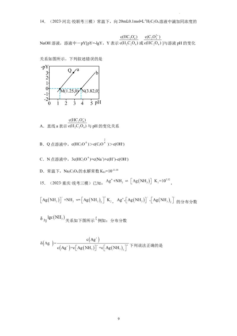
专项训练 电解质溶液中微粒关系 1.(2023·全国·统考高考真题)下图为 和 在水中达沉淀溶 解平衡时的 关系图( ; 可认为 离子沉淀完全)。下列叙述正确的是 A.由 点可求得 B. 时 的溶解度为 C.浓度均为 的 和 可通过分步沉淀进行分离 D. 混合溶液中 时二者不会同时沉淀 2.(2023·全国·统考高考真题)向 饱和溶液(有足量 固体)中滴加氨水,发 生反应 和 , 与 的关系如下图所示(其中M代表 、 、 1 学科网(北京)股份有限公司或 )。 下列说法错误的是 A.曲线I可视为 溶解度随 浓度变化曲线 B. 的溶度积常数 C.反应 的平衡常数K的值为 D. 时,溶液中 3.(2023·全国·统考高考真题)一定温度下,AgCl和Ag CrO 的沉淀溶解平衡曲线如 2 4 图所示。 下列说法正确的是 A.a点条件下能生成Ag CrO 沉淀,也能生成AgCl沉淀 2 4 B.b点时,c(Cl-)=c(CrO ),K (AgCl)=K (Ag CrO) sp sp 2 4 C.Ag CrO+2Cl- 2AgCl+CrO 的平衡常数K=107.9 2 4 D.向NaCl、NaCrO 均为0.1mol·L-1的混合溶液中滴加AgNO 溶液,先产生Ag CrO 2 4 3 2 4 沉淀 试卷第2页,共16页4.(2023·辽宁·统考高考真题)某废水处理过程中始终保持HS饱和,即 2 ,通过调节pH使 和 形成硫化物而分离,体系中 与 关系如下图所示,c为 和 的浓度,单位为 。已知 ,下列说法正确的是 A. B.③为 与 的关系曲线 C. D. 5.(2023·湖北·统考高考真题) 为某邻苯二酚类配体,其 , 。常温下构建 溶液体系,其中 , 。体系中含Fe物种的组分分布系数δ与pH的关系如图所示, 分布系数 ,已知 , 。下列说法正确的是 3 学科网(北京)股份有限公司A.当 时,体系中 B.pH在9.5~10.5之间,含L的物种主要为 C. 的平衡常数的lgK约为14 D.当 时,参与配位的 6.(2023·湖南·统考高考真题)常温下,用浓度为 的 标准溶液滴 定浓度均为 的 和 的混合溶液,滴定过程中溶液的 随 ( )的变化曲线如图所示。下列说法错误的是 A. 约为 试卷第4页,共16页B.点a: C.点b: D.水的电离程度: 7.(2023·河北张家口·统考三模)25℃时,用 溶液滴定 溶液,加入NaOH溶液的体积、混合溶液中的离子浓度与pH 的变化关系如图所示。 下列说法错误的是 A. 的第二步电离常数 的数量级为 B.第一步电离和第二步电离的滴定所选指示剂不同 C.P点溶液中存在 D.M点和N点溶液中 相等 8.(2023·安徽马鞍山·统考三模)25 °C时,1L 0.1mol·L-1的某二元酸HRO 溶液中各 2 3 含R物种的pc-pOH关系如图所示。图中pc表示各含R物种的浓度负对数[pc=-lgc, pOH= -lgc(OH)]。下列说法正确的是 5 学科网(北京)股份有限公司A.曲线③表示pc( )随pOH的变化 B.y点的溶液中:c(HRO)+2c( )=0.1mol·L-1 2 3 C.HRO 的K =1.0×10-6.7 2 3 a1 D.2 HRO+ 的平衡常数K=1.0×10-5.3 2 3 9.(2023·山西阳泉·统考三模)HPO 是一种三元酸。室温下,向0.1mol·L-1的HPO 3 4 3 4 溶液中滴加NaOH溶液调节pH值。混合溶液中lgX[表示 、 、 )]随溶液pH值的变化如图所示。下列说法不正确的是 A.室温下NaHPO 溶液显碱性 2 4 B.HPO 二级电离常数K 的数量级为10-8 3 4 a2 C.随着pH增大, 比值不断减小 D.pH=2.15时,c(Na+)+c(H+)=c( )+2c( )+3c( )+c(OH-) 试卷第6页,共16页10.(2023·山东济南·统考三模)2-碘苯甲酸(简写为HX)与3-碘苯甲酸(简写为HY)均 为一元弱酸,且Ka(HX)=1.38×10-3,向20mL0.1mol/L的NaY溶液中逐滴滴加等浓度的 HX溶液,溶液中 与 的变化关系如图所示: 下列说法错误的是 A. B. 时, C.滴入HX溶液20mL时, D.滴入HX溶液10mL时, 11.(2023·新疆阿勒泰·统考三模)常温下,难溶物YX与ZX在水中的沉淀溶解平衡 2 曲线如图所示,若定义其坐标图示:p(A)=--lgc(A),Mn+表示Y+或Z2+。下列说法错误 的是 A.N表示ZX的溶解平衡曲线 B.常温下,YX的分散系在c点时为悬浊液 2 C.向b点溶液中加入NaX饱和溶液,析出ZX固体 2 D.ZX(s)+2Y+(aq) YX(s)+Z2+(aq)的平衡常数K=1014 2 7 学科网(北京)股份有限公司12.(2023·广东·广州市第二中学校联考三模)已知 ,初始温度 25℃时,向 氨水中滴加 的稀盐酸,测得混合溶液的温度 T、pOH随加入稀盐酸体积V的变化如图所示。下列说法不正确的是 A.水的电离程度:cc(NO )>c(Ag+)>c(H+)>c(OH-) D.相同实验条件下,若改为 0.05 mol/L NaCl和NaCrO 溶液,则曲线L 中N点移到 2 4 2 P点 试卷第8页,共16页14.(2023·河北·校联考三模)常温下,向20mL0.1mol•L-1HC O 溶液中滴加同浓度的 2 2 4 NaOH溶液,溶液中-pY[pY=-lgY,Y表示 或 ]与溶液pH的变化 关系如图所示。下列叙述错误的是 A.直线a表示 与pH的变化关系 B.Q点溶液中,c(HC O )>c(C O )>c(OH-) 2 2 C.N点溶液中,3c(HC O )=c(Na+)+c(H+)-c(OH-) 2 D.常温下,NaC O 的水解常数K =10-11.18 2 2 4 h1 15.(2023·重庆·统考三模)已知: , , 的分布分数 与 关系如下图所示 例如:分布分数 下列说法正确的是 9 学科网(北京)股份有限公司A.曲线b代表 B. C. 的平衡常数 D.当 时, 16.(2023·辽宁·校联考三模)用 溶液滴定 溶 液,加入的碳酸氢钠溶液体积与溶液pH变化曲线如图所示,其中 时溶液中 无沉淀,之后出现白色浑浊且逐渐增多,当滴加的 溶液体积为25.00mL时, 溶液的pH稳定在7.20左右,整个滴定过程中未见气泡产生。下列叙述错误的是 已知: , 。 A.a点的混合溶液, B.a→b的过程中,水的电离程度不断增大 C.总反应的化学方程式: 试卷第10页,共16页D.b点的混合溶液, 17.(2023·天津·统考三模)常温下,As(III)和As(V)水溶液中含砷的各物种的分布分 数(平衡时某物种的浓度占各物种浓度之和的分数)与pH的关系如图所示。 下列说法不正确的是 A.常温下,酸性:HAsO >H AsO 3 4 3 3 B.常温下,HAsO +H AsO HAsO +H AsO K=102.4 2 2 3 3 C.常温下,pH=8时,溶液中c(HAsO ):c(HAsO ):c(HAsO ): c(AsO )=1: 3 4 2 105.7:106.9:103.3 D.常温下,同浓度的NaAsO 溶液与NaHAsO 溶液,前者碱性强 3 4 2 3 18.(2023·辽宁沈阳·统考三模)0.1mol/L 溶液中存在多个平衡,若仅需考虑 如下平衡: (ⅰ) (25℃) (ⅱ) (25℃) 25℃时,溶液中 随pH的变化关系如图。下列说法中正确的是 11 学科网(北京)股份有限公司A.加入少量NaOH固体,反应(ⅰ)的平衡逆向移动 B.加入少量 固体,平衡时 增大 C.当 时, D.当 时,溶液 的平衡浓度约为 19.(2023·河北秦皇岛·统考三模) 溶液中存在多个平衡。本题条件下仅需考 虑如下平衡: (i) (ii) 时, 溶液中 随 的变化关系如图。 下列有关 溶液的说法正确的是 A.加入少量 溶液,反应(i)的平衡逆向移动 B.溶液中 试卷第12页,共16页C.加入少量 固体,则平衡时 的比值减小 D.当pH=9.0时,溶液中 的平衡浓度约为 20.(2023·辽宁·校联考三模)25℃,用0.1 mol⋅L NaOH溶液滴定某二元弱酸 , pH与粒子的分布分数δ[如 ], 的关系如 图所示。下列说法正确的是 A. 时,应选择酚酞溶液作指示剂 B. 的数量级为 C.NaHA溶液中 D.Na A溶液中 ₂ 21.(2023·河北唐山·统考三模)常温下向20mL0.10mol/L的氨水中滴加未知浓度的稀 HSO ,测得混合溶液的电导率、pH随加入稀硫酸体积的变化如下图所示。已知电导 2 4 率是用来描述物质中电荷流动难易程度的参数。溶液中离子浓度越大,电导率越大。 下列说法不正确的是 13 学科网(北京)股份有限公司A.稀HSO 的物质的量浓度为0.10 2 4 B.x=11 C.a点时溶液中存在: D.a、b、c三点对应水的电离程度:b>a>c 22.(2023·福建·校联考三模)常温下,向20 mL 0.1 mol/L H S溶液中缓慢加入少量溶 2 于水的MSO 粉末(已知MS难溶,忽略溶液体积变化),溶液中 与 变化如 4 图所示。已知: , 。下列说法错误的是 A.a点溶液的pH约为5 B.a、b、c三点溶液中由水电离产生的 最大的是a点 C.b点溶液中, D.c点溶液中, 23.(2023·湖南衡阳·校联考三模)已知: 、 在水溶液中的溶解平衡分 别为 、 试卷第14页,共16页。常温下,分别向 等浓度的 溶液和 溶液中滴加等浓度的 溶液,所加硝酸银溶液的体积与阴离子的 浓度关系如图所示。下列说法错误的是 A. B. 与 溶液反应对应曲线② C. 可作为 溶液标定 溶液浓度的指示剂 D.欲使图中a点或b点向左平移可增大 溶液的浓度 24.(2023·湖南郴州·统考三模)常温下,某同学在特制容器中加入20 mL 0.4 mol⋅L 溶液,用0.4mol⋅L HCl溶液滴定,利用pH计和气体压力传感器检测, 得到如图曲线。下列说法错误的是 A.整个滴定过程中应先用酚酞溶液、后用甲基橙溶液作指示剂 B.a→f点对应的溶液中,水的电离程度一直在减小 C. D.f点对应的溶液中存在: 15 学科网(北京)股份有限公司25.(2023·山东聊城·校联考三模)常温下,用0.5mol/LNaHCO 溶液滴定 3 25.00mL0.25mol/LCaCl 溶液,测得混合溶液的pH随滴加NaHCO 溶液体积的变化如 2 3 图所示,当滴加25.00mL NaHCO 溶液时出现较为明显的白色沉淀[已知:常温下, 3 、 、 、 ]。 下列说法错误的是 A.常温下,向饱和NaHCO 溶液中加入少量NaHCO 固体, 不变 3 3 B.从 点到 点, 的电离平衡正向移动 C. 点溶液中 D. 点溶液中 26.(2023·安徽·校联考三模)25℃时,用0.2mol·L-1盐酸滴定20.00mL0.2mol·L-1一元 弱碱MOH溶液,所得溶液的pH与滴加盐酸体积的关系如图1所示;不同pH时MOH 溶液中不同形态的含M元素粒子的分布分数(δ)如图2所示(已知lg2=0.3;忽略溶液体 积和温度变化)。 下列叙述正确的是 A.c点溶液中水电离出的c(H+)>10-7mol·L-1 B.K(MOH)=5×10-5 b 试卷第16页,共16页C.d点溶液中存在离子浓度关系: =109.3 D.图2中的e点对应图1中的b点 27.(2023·江西景德镇·统考三模)二元弱酸HA溶液中各组分百分含量δ随pH的变 2 化如图所示。难溶盐MA的溶度积k (MA)=4.0×10-8,M2+离子不水解。已知 sp ≈3.2,下列说法错误的是 A.HA的二级电离常数K 的数量级为10-5 2 a2 B.C点的pH为2.75 C.反应HA(aq)+M2+(aq) MA(s)+2H+(aq)的平衡常数K≈80 2 D.向MA的饱和溶液中加酸调节至中性,则一定存在:2c(M2+)=2c(A2-)+c(HA-) 28.(2023·福建南平·统考三模)常温下,向 的 溶液中滴入NaOH溶 液,随着pH变化溶液中浓度最大的含磷微粒如图所示。下列说法正确的是 A. 时, B. 时, C. 时, D.若用 的 溶液进行实验, 将向左移动 29.(2023·山东泰安·统考三模)25℃时,向25 mL 0.1 mol⋅L 溶液中加入 17 学科网(北京)股份有限公司KOH固体或通入HCl气体,混合溶液中pc[ 或 ]与pH的关 系如图所示(忽略溶液体积变化和 可能逸出)。下列有关叙述错误的是 A.c点 mol⋅L B. 的 约为 C.b点有关微粒浓度的大小关系为 D.从b点到e点,水电离产生的 先减小后增大 30.(2023·福建厦门·厦门一中校考三模)百里酚蓝(以下记为 )是一种有机弱酸, 结构如图1所示,其电离平衡可表示为: 、 , 时 溶液中, 的分布分数 与pH的 变化关系如图2所示。已知: ,下列说法不正确的 是 试卷第18页,共16页A.溶液由黄色变为蓝色原因是酚羟基发生了变化 B. C. 时 D.NaOH滴定 ,可用 作指示剂,溶液由红色变为橙色且半分钟内不复 原即为滴定终点 19 学科网(北京)股份有限公司